Sign in to use this feature.

Years

Between: -

Subjects

remove_circle_outline
remove_circle_outline
remove_circle_outline
remove_circle_outline
remove_circle_outline
remove_circle_outline
remove_circle_outline
remove_circle_outline
remove_circle_outline

Journals

Article Types

Countries / Regions

remove_circle_outline
remove_circle_outline
remove_circle_outline

Search Results (610)

Search Parameters:
Keywords = ocean surface waves

Order results
Result details
Results per page
Select all
Export citation of selected articles as:
22 pages, 3096 KB  
Article
Mechanical Stability Evaluation Method and Application for Subsea Christmas Tree-Wellhead Systems Considering Seismic and Corrosion Effects
by Xuezhan Zhao, Guangjin Chen, Yi Hong, Shuzhan Li, Zhiqiang Hu, Yongqi Ma, Xingpeng Zhang, Qian Xiang, Xingshang Chen and Bingzhen Gao
Processes 2026, 14(3), 431; https://doi.org/10.3390/pr14030431 - 26 Jan 2026
Abstract
To address the failure risks associated with long-term service of subsea Christmas tree-wellhead systems under the complex marine environment of the South China Sea, a multi-factor coupled mechanical analysis method is proposed to evaluate the system’s mechanical characteristics and ensure the safety of [...] Read more.
To address the failure risks associated with long-term service of subsea Christmas tree-wellhead systems under the complex marine environment of the South China Sea, a multi-factor coupled mechanical analysis method is proposed to evaluate the system’s mechanical characteristics and ensure the safety of deepwater oil and gas production. A dynamic model of lateral vibration under seismic loading is established, considering the combined effects of earthquakes, ocean currents, and seabed soil resistance. Based on the actual operating parameters of a well in the Lingshui area of the South China Sea, a three-dimensional finite element model of the subsea Christmas tree-wellhead assembly was developed in ABAQUS 2023. The combined effects of ocean currents, seismic loading, and corrosion over long-term service were simulated to compute and analyze the distributions of stress, bending moment, and associated failure risk. The results indicate that, under a once-in-a-century current combined with seismic waves of intensity V–VI, the system risk remains controllable. However, when the seismic intensity exceeds level VII, the maximum stress and bending moment reach 324.9 MPa and 6.02 MN·m, respectively, surpassing the allowable limits for an X56-grade surface conductor. Considering corrosion effects over a 25-year service life, the extreme stress values increase by 1–5% while the bending moment increases slightly; corrosion significantly amplifies the system’s failure risk. An analysis of the mudline burial height of the subsea wellhead during long-term service shows that, within a range of 1–7 m, variations in system loading are minimal. Based on the mechanical characteristics analysis, it is recommended that the design of subsea Christmas trees and wellheads incorporate regional seismic history, specify X56-grade surface conductors to mitigate corrosion effects, and install leakage-monitoring devices at critical locations to ensure the long-term service safety of the subsea Christmas tree-wellhead system. Full article
(This article belongs to the Special Issue Advanced Research on Marine and Deep Oil & Gas Development)
17 pages, 3783 KB  
Article
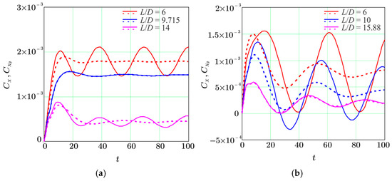
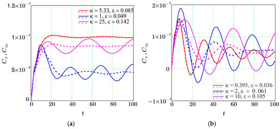
Body Motion Under an Ice Cover in the Presence and Absence of Ocean Waves
by Alexandra Pogorelova
J. Mar. Sci. Eng. 2026, 14(3), 253; https://doi.org/10.3390/jmse14030253 - 25 Jan 2026
Viewed by 48
Abstract
This study investigates the unsteady motion of a slender body in a fluid beneath an ice cover, both in the presence and absence of the ocean waves propagating through the ice–water system, using the Fourier and Laplace integral transforms. The influence of the [...] Read more.
This study investigates the unsteady motion of a slender body in a fluid beneath an ice cover, both in the presence and absence of the ocean waves propagating through the ice–water system, using the Fourier and Laplace integral transforms. The influence of the progressive wave on ice cover deflections, specifically the Bernoulli hump and Kelvin wake angle, induced by the motion of the underwater body near the surface, is analyzed numerically. Additionally, the effect of the progressive wave on the wave resistance of the body is investigated. Conditions are derived that relate the L/D ratio to a dimensionless parameter characterizing the elastic forces of the plate, under which the presence of the ocean wave produces a minimal effect on the body’s wave resistance. Full article
(This article belongs to the Section Physical Oceanography)
Show Figures

Figure 1

29 pages, 2013 KB  
Article
Investigation of Floating-Body Motion Responses in a Flexible Wave-Dissipating System Under Combined Wind–Wave–Current Action
by Haihua Zhang, Yan Yang, Jiang Lü, Feng Diao, Tianyu Liu, Qijie Liu and Gang Xu
J. Mar. Sci. Eng. 2026, 14(3), 248; https://doi.org/10.3390/jmse14030248 - 24 Jan 2026
Viewed by 79
Abstract
To address the lack of efficient flexible protection measures for ocean engineering equipment operating in complex coupled wind–wave–current environments, this study develops a coupled “flexible wave-dissipating system” numerical model based on a validated three-dimensional numerical wave tank. The model is used to investigate, [...] Read more.
To address the lack of efficient flexible protection measures for ocean engineering equipment operating in complex coupled wind–wave–current environments, this study develops a coupled “flexible wave-dissipating system” numerical model based on a validated three-dimensional numerical wave tank. The model is used to investigate, under both regular and irregular wave conditions, the influence of different wind and current incidence angles and the presence or absence of the breakwater on wave propagation and hydrodynamic responses. By comparing the significant wave height, transmission coefficient and wave dissipation efficiency in the sheltered region along with the drag force and free-surface pressure, the wave-attenuation and load-reduction performance of the flexible breakwater is quantitatively evaluated. The results demonstrate that deploying a flexible breakwater can significantly attenuate wave energy in the sheltered region, enhance wave dissipation efficiency, and reduce the transmission coefficient, thereby concurrently decreasing both the drag force and free-surface pressure. Under both wind and current conditions, the maximum loads occur at 0° head-on incidence. However, under 30° oblique wind–wave action, the flexible breakwater yields the most pronounced increase in dissipation efficiency compared to the case without a breakwater. A stable correlation is observed between dissipation efficiency and hydrodynamic loads, which can serve as a unified evaluation metric for assessing the protective performance of flexible breakwaters in ocean engineering applications. Full article
(This article belongs to the Section Coastal Engineering)
17 pages, 11315 KB  
Article
Dispersion Features of Scholte-like Waves in Ice over Shallow Water: Modeling, Analysis, and Application
by Dingyi Ma, Yuxiang Zhang, Chao Sun, Rui Yang and Xiaoying Liu
J. Mar. Sci. Eng. 2026, 14(2), 232; https://doi.org/10.3390/jmse14020232 - 22 Jan 2026
Viewed by 34
Abstract
Acoustic propagation in the ice cover of the Polar Ocean is of increasing interest from both scientific and engineering perspectives. The low-frequency elastic waves propagating in floating ice are primarily governed by waveguides stemming from the layered structure of the medium. For shallow [...] Read more.
Acoustic propagation in the ice cover of the Polar Ocean is of increasing interest from both scientific and engineering perspectives. The low-frequency elastic waves propagating in floating ice are primarily governed by waveguides stemming from the layered structure of the medium. For shallow water areas, experimental observation indicates that two Scholte-like waves are observed at low frequencies, i.e., the quasi-Scholte (QS) and Scholte–Stoneley (SS) waves, which are different from deep-sea cases. Due to the finite depths of ice, water, and sediment layers, both waves are dispersive. By modeling the waveguide of an ice-covered shallow-water (ICSW) system, the dispersion characteristics of both waves are derived, validated through numerical simulation, and analyzed with respect to layer structure for both soft and hard sediment. Results indicate a consistent conclusion; the QS wave exhibits a unique sensitivity to ice thickness, whereas the SS wave shows marginal sensitivity to ice thickness, and is controlled by the ratio of water depth to sediment depth, regardless of their absolute values. Based on these dispersion characteristics, a two-step inversion procedure is developed and applied to the synthetic signals from a numerical simulation. The conditional observability of the SS wave at the ice surface is also investigated and discussed. Full article
Show Figures

Figure 1

21 pages, 7043 KB  
Article
Strength and Fatigue Assessment of the Coupled Riser–Landing String System for Deepwater Completion and Testing
by Longgui Wei, Jin Yang, Shaochen Wang, Shaodong Ju and Nanding Hu
Appl. Sci. 2026, 16(2), 1063; https://doi.org/10.3390/app16021063 - 20 Jan 2026
Viewed by 116
Abstract
During deepwater completion and testing, the platform and riser system are subjected to long-term motions induced by ocean currents, which may cause structural damage and potential failure of the landing string. This study investigates the mechanical and fatigue performance of a subsea Christmas [...] Read more.
During deepwater completion and testing, the platform and riser system are subjected to long-term motions induced by ocean currents, which may cause structural damage and potential failure of the landing string. This study investigates the mechanical and fatigue performance of a subsea Christmas tree and landing string under environmental conditions of the LH11-1 Oilfield in the South China Sea. A global–local simulation framework is used to build a coupled dynamic model of the riser–landing string system and a local model for the landing string, considering load-transfer characteristics, current profiles, periodic features, and two representative environmental conditions (typhoon and non-typhoon). For seventeen typical operating scenarios, the strength of the riser–landing string system is evaluated, and wave-induced and vortex-induced fatigue analyses are performed for the key components. The stress distribution strongly depends on operating conditions, but local strength results confirm that stresses in the primary landing string components remain below allowable limits in all scenarios. Fatigue analysis indicates that the most severe wave-induced damage in the riser occurs at its bottom section, with a fatigue life of about 15.12 years, while in the landing string, it is concentrated near the lower end, with an estimated life of about 52.68 years. The maximum vortex-induced fatigue damage occurs near the riser surface region, with a corresponding fatigue life of about 18.52 years. Full article
Show Figures

Figure 1

19 pages, 4041 KB  
Article
MODIS Photovoltaic Thermal Emissive Bands Electronic Crosstalk Solution and Lessons Learned
by Carlos L. Perez Diaz, Truman Wilson, Tiejun Chang, Aisheng Wu and Xiaoxiong Xiong
Remote Sens. 2026, 18(2), 349; https://doi.org/10.3390/rs18020349 - 20 Jan 2026
Viewed by 94
Abstract
The photovoltaic (PV) bands on the mid-wave and long-wave infrared (MWIR and LWIR) cold focal plane assemblies of Terra and Aqua MODIS have suffered from gradually increasing electronic crosstalk contamination as both instruments have continued to operate in their extended missions, respectively. This [...] Read more.
The photovoltaic (PV) bands on the mid-wave and long-wave infrared (MWIR and LWIR) cold focal plane assemblies of Terra and Aqua MODIS have suffered from gradually increasing electronic crosstalk contamination as both instruments have continued to operate in their extended missions, respectively. This contamination has considerable impact, particularly for the PV LWIR bands, which includes image striping and radiometric bias in the Level-1B (L1B)-calibrated radiance products as well as higher level (and mostly atmospheric but also land and oceanic) products (e.g., cloud phase particle, cloud mask, land and sea surface temperatures). The crosstalk was characterized early in the mission, and test corrections were developed then. Ultimately, the groundwork for a robust electronic crosstalk correction algorithm was developed in 2016 and implemented in MODIS Collection 6.1 (C6.1) back in 2017 for the Terra MODIS PV LWIR bands. It was later introduced in Aqua MODIS C6.1 for the same group of bands in April 2022. Additional improvements were made in MODIS Collection 7 (C7) to better characterize the electronic crosstalk in the PV LWIR bands, and the electronic crosstalk correction algorithm was also extended to select detectors in the MODIS MWIR bands. This work will describe the electronic crosstalk correction algorithm and its application on the MODIS L1B product, the differences in application between C6.1 and C7, as well as additional improvements made to enhance the contamination correction and improve image quality for the Aqua MODIS PV LWIR bands. The electronic crosstalk correction coefficient time series for the MODIS PV bands will be discussed, and some cases will be presented to illustrate how image quality improves on the L1B and Level 2 products after the correction is applied. Lastly, experiences gained regarding the PV bands electronic crosstalk and the strategy used to correct it will be discussed to provide future data users and scientists with an insight as to how to improve on the legacy record that the Terra and Aqua MODIS sensors will leave behind after both spacecrafts are decommissioned. Full article
Show Figures

Figure 1

29 pages, 25804 KB  
Review
Rhodoliths as Global Contributors to a Carbonate Ecosystem Dominated by Coralline Red Algae with an Established Fossil Record
by Markes E. Johnson
J. Mar. Sci. Eng. 2026, 14(2), 169; https://doi.org/10.3390/jmse14020169 - 13 Jan 2026
Viewed by 326
Abstract
Rhodoliths (from Greek etymology meaning red + stone) are spheroidal accretions composed of various types of crustose coralline red algae that dwell in relatively shallow waters where sunlight allows for photosynthesis. Unlike most other kinds of algae that are attached to the seabed [...] Read more.
Rhodoliths (from Greek etymology meaning red + stone) are spheroidal accretions composed of various types of crustose coralline red algae that dwell in relatively shallow waters where sunlight allows for photosynthesis. Unlike most other kinds of algae that are attached to the seabed by a holdfast, rhodoliths are free to roll about by circumrotary movements stimulated mainly by gentle wave action and bottom currents, as well as by disruptions by associated fauna. Frequent movement exposes every part of the algal surface to an equitable amount of sunlight, which generally results in an evenly concentric pattern of growth over time. Individual structures may attain a diameter of 10 to 20 cm, representing 100 years of growth or more. Initiation typically involves encrustation by founder cells on a rock pebble or shell fragment. In life, the functional outer surface is red or pink in complexion, whereas the structure’s inner core amounts to dead weight. Chemically, rhodoliths are composed of high magnesium calcite [(Ca,Mg)CO3], with examples known around many oceanic islands and virtually all continental shelves in the present world. The oldest fossil rhodoliths appeared during the early Cretaceous, 113 million years ago. Geologically, rhodoliths may occur in massive limestone beds composed of densely packed accumulations. Living rhodoliths commonly occur in waters as shallow as −2 to −10 m, as well as seaward in mesophotic waters up to −100 m under exceptional conditions of water clarity. Especially in shallower waters, rhodoliths are vulnerable to transfer by storm waves to supratidal settings, which result in bleaching under direct sunlight and death. Increasingly, marine biologists recognize that rhodolith beds represent a habitat that offers shelter to a community of other algae and diverse marine invertebrates. Full article
(This article belongs to the Special Issue Feature Review Papers in Geological Oceanography)
Show Figures

Figure 1

18 pages, 7746 KB  
Article
A Multicomponent OBN Time-Shift Joint Correction Method Based on P-Wave Empirical Green’s Functions
by Dongxiao Jiang, Bingyu Chen, Lei Cheng, Chang Chen, Yingda Li and Yun Wang
J. Mar. Sci. Eng. 2026, 14(1), 60; https://doi.org/10.3390/jmse14010060 - 29 Dec 2025
Viewed by 296
Abstract
To address clock drift arising from the absence of GPS synchronization during ocean-bottom seismic observations, we propose a time-offset correction and quality-control scheme that uses the correlation of P-wave empirical Green’s functions (EGFs) as the metric, and we demonstrate its efficacy in mitigating [...] Read more.
To address clock drift arising from the absence of GPS synchronization during ocean-bottom seismic observations, we propose a time-offset correction and quality-control scheme that uses the correlation of P-wave empirical Green’s functions (EGFs) as the metric, and we demonstrate its efficacy in mitigating cross-correlation asymmetry caused by azimuthal noise in shallow-water environments. The method unifies the time delays of the four components into a single objective function, estimates per-node offsets via sparse weighted least squares with component-specific weights, applies spatial second-difference smoothing to suppress high-frequency oscillations, and performs spatiotemporally constrained regularized iterative optimization initialized by the previous day’s inversion to achieve a robust solution. Tests on a real four-component ocean-bottom node (4C-OBN) hydrocarbon exploration dataset show that, after conventional linear clock-drift correction of the OBN system, the proposed method can effectively detect millisecond-scale time jumps on individual nodes; compared with traditional noise cross-correlation time-shift calibration based on surface-wave symmetry, our four-component fusion approach achieves superior robustness and accuracy. The results demonstrate a marked increase in the coherence of the four-component cross-correlations after correction, providing a reliable temporal reference for subsequent multicomponent seismic processing and quality control. Full article
(This article belongs to the Section Geological Oceanography)
Show Figures

Figure 1

19 pages, 10269 KB  
Article
Semantic Segmentation of Typical Oceanic and Atmospheric Phenomena in SAR Images Based on Modified Segformer
by Quankun Li, Xue Bai, Lizhen Hu, Liangsheng Li, Yaohui Bao, Xupu Geng and Xiao-Hai Yan
Remote Sens. 2026, 18(1), 113; https://doi.org/10.3390/rs18010113 - 28 Dec 2025
Viewed by 337
Abstract
Synthetic Aperture Radar (SAR) images of the sea surface reveal a variety of oceanic and atmospheric phenomena. Automatically detecting and identifying these phenomena is essential for understanding ocean dynamics and ocean–atmosphere interactions. This study selected 2383 Sentinel-1 Wave (WV) mode images and 2628 [...] Read more.
Synthetic Aperture Radar (SAR) images of the sea surface reveal a variety of oceanic and atmospheric phenomena. Automatically detecting and identifying these phenomena is essential for understanding ocean dynamics and ocean–atmosphere interactions. This study selected 2383 Sentinel-1 Wave (WV) mode images and 2628 Interferometric Wide swath (IW) mode sub-images to construct a semantic segmentation dataset covering 12 typical oceanic and atmospheric phenomena, with a balanced distribution of approximately 400 sub-images per category, culminating in a comprehensive dataset of 5011 samples. The images in this dataset have a resolution of 100 m and dimensions of 256 × 256 pixels. We propose Segformer-OcnP model based on Segformer for the semantic segmentation of these multiple oceanic and atmospheric phenomena. Experimental results demonstrate that Segformer-OcnP outperforms classic CNN-based models (U-Net, DeepLabV3+) and mainstream Transformer-based models (SETR, the original Segformer), achieving 80.98% mDice, 70.32% mIoU, and 86.77% Overall Accuracy, verifying its superior segmentation performance. Full article
(This article belongs to the Special Issue Microwave Remote Sensing on Ocean Observation)
Show Figures

Figure 1

27 pages, 12778 KB  
Article
Oil Spill Trajectories and Beaching Risk in Brazil’s New Offshore Frontier
by Daniel Constantino Zacharias, Guilherme Landim Santos, Carine Malagolini Gama, Elienara Fagundes Doca Vasconcelos, Beatriz Figueiredo Sacramento and Angelo Teixeira Lemos
J. Mar. Sci. Eng. 2026, 14(1), 40; https://doi.org/10.3390/jmse14010040 - 25 Dec 2025
Viewed by 493
Abstract
The present study has applied a probabilistic oil spill modeling framework to assess the potential risks associated with offshore oil spills in the Foz do Amazonas sedimentary basin, a region of exceptional ecological importance and increasing geopolitical and socio-environmental relevance. By integrating a [...] Read more.
The present study has applied a probabilistic oil spill modeling framework to assess the potential risks associated with offshore oil spills in the Foz do Amazonas sedimentary basin, a region of exceptional ecological importance and increasing geopolitical and socio-environmental relevance. By integrating a large ensemble of simulations with validated hydrodynamic, atmospheric and wave-driven forcings, the analysis of said simulations has provided a robust and seasonally resolved assessment of oil drift and beaching patterns along the Guianas and the Brazilian Equatorial Margin. The model has presented a total of 47,500 simulations performed on 95 drilling sites located across the basin, using the Lagrangian Spill, Transport and Fate Model (STFM) and incorporating a six-year oceanographic and meteorological variability. The simulations have included ocean current fields provided by HYCOM, wind forcing provided by GFS and Stokes drift provided by ERA5. Model performance has been evaluated by comparisons with satellite-tracked surface drifters using normalized cumulative Lagrangian separation metrics and skill scores. Mean skill scores have reached 0.98 after 5 days and 0.95 after 10 days, remaining above 0.85 up to 20 days, indicating high reliability for short to intermediate forecasting horizons and suitability for probabilistic applications. Probabilistic simulations have revealed a pronounced seasonal effect, governed by the annual migration of the Intertropical Convergence Zone (ITCZ). During the JFMA period, shoreline impact probabilities have exceeded 40–50% along extensive portions of the French Guiana and Amapá state (Brazil) coastlines, with oil reaching the coast typically within 10–20 days. In contrast, during the JASO period, beaching probabilities have decreased to below 15%, accompanied by a substantial reduction in impact along the coastline and higher variability in arrival times. Although coastal exposure has been markedly reduced during JASO, a residual probability of approximately 2% of oil intrusion into the Amazonas river mouth has persisted. Full article
(This article belongs to the Special Issue Oil Transport Models and Marine Pollution Impacts)
Show Figures

Figure 1

22 pages, 1677 KB  
Article
Wave Scattering by Inverse T-Type Compound Breakwater with Ocean Currents: An Analytical and Numerical Study
by Aman Kumar Kushwaha, Harekrushna Behera and Vinay Kumar Gupta
Mathematics 2026, 14(1), 22; https://doi.org/10.3390/math14010022 - 21 Dec 2025
Viewed by 265
Abstract
The present work focuses on wave scattering generated by an inverse T-type compound breakwater in the presence of the ocean current. The boundary value problem (BVP) is investigated using two distinct strategies: an exact formulation derived from the eigenfunction expansion method (EEM) and [...] Read more.
The present work focuses on wave scattering generated by an inverse T-type compound breakwater in the presence of the ocean current. The boundary value problem (BVP) is investigated using two distinct strategies: an exact formulation derived from the eigenfunction expansion method (EEM) and a computational framework developed with the boundary element method (BEM). A comparison of outcomes from both techniques with established studies confirms the consistency and accuracy of the present formulations. Reflection and transmission coefficients, along with the time-domain simulations of the free surface, are evaluated under different wave conditions and structural configurations. In the long-wave region, the reflection coefficient exhibits strong dependence on the wavenumber, with higher values observed as the height and width of the porous section increase. Increasing the friction coefficient within the porous layer considerably reduces wave transmission to the leeside, demonstrating the important role of friction in energy dissipation. Furthermore, greater ocean current velocity leads to an increase in the reflection curve, highlighting the significant effect of hydrodynamic conditions on wave–structure interaction. The time-domain simulations of the free surface are also presented to provide a clear visualization of the wave behavior on the surface, both with and without the presence of an ocean current. The findings shed light on the combined influence of breakwaters and ocean currents, enabling the development of coastal protection measures that enhance resilience, sustainability, and safety from erosion and damage. Full article
(This article belongs to the Section C: Mathematical Analysis)
Show Figures

Figure 1

18 pages, 3503 KB  
Article
Madden–Julian Oscillation Modulation of Antarctic Sea Ice
by Bradford S. Barrett, Donald M. Lafleur and Gina R. Henderson
Glacies 2025, 2(4), 16; https://doi.org/10.3390/glacies2040016 - 13 Dec 2025
Viewed by 378
Abstract
Convection associated with the leading mode of subseasonal variability of the tropical atmosphere, the Madden–Julian Oscillation (MJO), can excite Rossby wave trains that extend well into the extratropics and allow the MJO to modulate many components of the Earth system. To improve our [...] Read more.
Convection associated with the leading mode of subseasonal variability of the tropical atmosphere, the Madden–Julian Oscillation (MJO), can excite Rossby wave trains that extend well into the extratropics and allow the MJO to modulate many components of the Earth system. To improve our understanding of teleconnections between the MJO and Antarctic sea ice, composite anomalies of daily change in sea ice concentration (ΔSIC) from 1989 to 2019 were binned by phase 0–20 days after an active MJO and compared to anomalies of surface air temperature, the meridional component of surface wind, and sea-level pressure. In May, ΔSIC anomalies were strongest in the Indian Ocean (IO) sector, 16 days after phase 8. There, a wavenumber-three pattern in sea-level pressure anomalies associated with the MJO resulted in anomalously poleward winds and warmer temperatures over the central and eastern IO that were collocated with anomalously negative ΔSIC. Furthermore, anomalously equatorward winds and colder temperatures in the western IO were collocated with anomalously positive ΔSIC. In July, ΔSIC anomalies were strongest in the Weddell Sea (WS) sector nine days after an active MJO in phase 2. There, a wavenumber-three pattern in sea-level pressure anomalies resulted in anomalously poleward winds and warmer temperatures over the western and central WS that were collocated with negative ΔSIC anomalies; anomalously equatorward winds and colder temperatures over the eastern WS were collocated with positive ΔSIC anomalies. In September, the largest ΔSIC anomalies were observed in the IO and WS sectors six days after an active MJO in phase 8. No meaningful modulation of sea ice anomalies was found after an active MJO in November or January. These results extend our understanding of teleconnections between the MJO and Antarctic sea ice on the subseasonal time scale. Full article
Show Figures

Figure 1

25 pages, 9833 KB  
Review
Examinations of Surface Waves and Ocean Circulation During Severe Weather Conditions over the Northwest Atlantic Using a Coupled Wave–Current Modelling System: An Overview
by Jinyu Sheng, Qiantong Pei, Shangfei Lin and Colin Hughes
J. Mar. Sci. Eng. 2025, 13(12), 2351; https://doi.org/10.3390/jmse13122351 - 10 Dec 2025
Viewed by 358
Abstract
Upper oceans are highly energetic during a severe weather event, with large surface waves and intense ocean currents over areas affected by the storm. An advanced and coupled wave–current modelling system for the northwestern Atlantic (WCMS-NWA) was developed by the Regional Modelling Group [...] Read more.
Upper oceans are highly energetic during a severe weather event, with large surface waves and intense ocean currents over areas affected by the storm. An advanced and coupled wave–current modelling system for the northwestern Atlantic (WCMS-NWA) was developed by the Regional Modelling Group at Dalhousie University for simulating surface waves and three-dimensional ocean currents over the eastern Canadian shelf and adjacent waters. Applications of this modelling system during different weather events have been discussed separately in the past. In this overview, the model performances of WCMS-NWA and major hydrodynamics over the study region during 11 severe storms are summarized. Comparisons of model results with in situ oceanographic observations and satellite data demonstrate the suitability and accuracy of WCMS-NWA in simulating ocean circulation and surface waves during normal weather conditions and intense ocean currents and extreme surface waves during severe storm events. It is shown that satisfactory model performance of WCMS-NWA requires reliable temporal–spatial representations of atmospheric forcing and inclusions of interactions between waves and currents (WCIs). Important contributions from WCIs during these severe weather conditions are discussed based on the model results. Full article
Show Figures

Figure 1

20 pages, 4460 KB  
Article
Numerical Comparison of Piston-, Flap-, and Double-Flap-Type Wave Makers in a Numerical Wave Tank
by Kaicheng Yan, Haoyu Dou, Jungkeun Oh and Daewon Seo
J. Mar. Sci. Eng. 2025, 13(12), 2273; https://doi.org/10.3390/jmse13122273 - 28 Nov 2025
Viewed by 406
Abstract
In naval and ocean engineering, accurate simulation of incident waves is essential for predicting the motion response of offshore structures. Traditional wave generation methods, such as piston- and flap-type wave makers, often face challenges in accurately replicating the orbital motion of water particles [...] Read more.
In naval and ocean engineering, accurate simulation of incident waves is essential for predicting the motion response of offshore structures. Traditional wave generation methods, such as piston- and flap-type wave makers, often face challenges in accurately replicating the orbital motion of water particles beneath the free surface, which can limit their applicability in high-fidelity simulations. In this study, a numerical investigation is conducted to compare the performance of piston-type, flap-type, and double-flap-type wave makers using STAR-CCM+2310(18.06.006-R8). The influence of water depth on wave height accuracy is evaluated across different measurement locations within a numerical wave tank. Theoretical analysis of wave generation mechanisms is incorporated to clarify the applicability limits of linear theory and to better interpret the numerical results. Results indicate that, under the tested two-dimensional CFD conditions, the double-flap-type wave maker tended to provide closer agreement with theoretical predictions, particularly at greater depths, compared with conventional methods. These findings suggest potential advantages of the double-flap configuration and provide insights for refining wave generation techniques in numerical and experimental wave tanks, thereby supporting more reliable hydrodynamic analyses of floating structures. Full article
(This article belongs to the Section Ocean Engineering)
Show Figures

Figure 1

18 pages, 7817 KB  
Article
ENSO-Modulated Spatio-Temporal Variability of Evaporation Duct Height in the South China Sea
by Jingju Wang, Shi Wang, Xiaoju Pan, Shaoqing Zhang, Xing Liu, Yimin Zhang, Guangyu Yi and Ziru Li
J. Mar. Sci. Eng. 2025, 13(12), 2261; https://doi.org/10.3390/jmse13122261 - 27 Nov 2025
Viewed by 335
Abstract
The evaporation duct, formed above the ocean surface by sharp vertical gradients of humidity, would significantly influence electromagnetic wave propagation. It is a quasi-permanent feature over the sea, and its strength is quantified by the evaporation duct height (EDH). While previous studies have [...] Read more.
The evaporation duct, formed above the ocean surface by sharp vertical gradients of humidity, would significantly influence electromagnetic wave propagation. It is a quasi-permanent feature over the sea, and its strength is quantified by the evaporation duct height (EDH). While previous studies have focused on how local factors influence evaporation ducts, the impact of El Niño–Southern Oscillation (ENSO) on EDH in the South China Sea (SCS) remains undocumented. Using correlation analysis, empirical orthogonal function (EOF) decomposition, and wavelet transform, this study shows that evaporation is the dominant environmental factor controlling EDH variability across seasonal and inter-annual timescales in the SCS, while wind speed and relative humidity play secondary roles with contrasting effects between the northern and southern regions. ENSO drives the inter-annual variability of EDH by modulating evaporation. During El Niño events, anomalous anticyclonic circulations near the Philippine Sea, which weaken (strengthen) the evaporation in the northern (southern) SCS, alter EDH and contribute to the formation of the meridional dipole structure, particularly within the 2-to-6-year ENSO band. These results provide new insights into the mechanisms controlling EDH in the SCS and highlight the critical role of ENSO in shaping its spatial distribution. Full article
(This article belongs to the Section Physical Oceanography)
Show Figures

Figure 1

Back to TopTop