Sign in to use this feature.

Years

Between: -

Subjects

remove_circle_outline
remove_circle_outline
remove_circle_outline
remove_circle_outline
remove_circle_outline
remove_circle_outline
remove_circle_outline
remove_circle_outline
remove_circle_outline

Journals

remove_circle_outline
remove_circle_outline
remove_circle_outline
remove_circle_outline
remove_circle_outline

Article Types

Countries / Regions

remove_circle_outline
remove_circle_outline
remove_circle_outline

Search Results (260)

Search Parameters:
Keywords = nutrient co-accumulation

Order results
Result details
Results per page
Select all
Export citation of selected articles as:
16 pages, 3645 KB  
Article
Foliar-Applied Selenium–Zinc Nanocomposite Drives Synergistic Effects on Se/Zn Accumulation in Brassica chinensis L.
by Mengna Tao, Yusong Yao, Lian Zhang, Jie Zeng, Bingxu Cheng and Chuanxi Wang
Nanomaterials 2026, 16(1), 56; https://doi.org/10.3390/nano16010056 (registering DOI) - 31 Dec 2025
Abstract
Micronutrient malnutrition persists as a global health burden, while conventional biofortification approaches suffer from low efficiency and environmental trade-offs. This study aimed to develop and evaluate a foliar-applied selenium–zinc nanocomposite (Nano-ZSe, a mixture of zinc ionic fertilizer and nano selenium) for synergistic Se/Zn [...] Read more.
Micronutrient malnutrition persists as a global health burden, while conventional biofortification approaches suffer from low efficiency and environmental trade-offs. This study aimed to develop and evaluate a foliar-applied selenium–zinc nanocomposite (Nano-ZSe, a mixture of zinc ionic fertilizer and nano selenium) for synergistic Se/Zn co-biofortification in Brassica chinensis L., using a controlled pot experiment that integrated physiological, metabolic, molecular, and rhizosphere analyses. Application of Nano-ZSe at 0.18 mg·kg−1 (Based on soil weight) not only increased shoot biomass by 28.4% but also elevated Se and Zn concentrations in edible tissues by 7.00- and 1.66-fold (within the safe limits established for human consumption), respectively, compared to the control. Mechanistically, Nano-ZSe reprogrammed the ascorbate-glutathione redox system and redirected carbon flux through the tricarboxylic acid cycle, suppressing acetyl-CoA biosynthesis and reducing abscisic acid accumulation. This metabolic rewiring promoted stomatal opening, thereby enhancing foliar nutrient uptake. Simultaneously, Nano-ZSe triggered the coordinated upregulation of BcSultr1;1 (a sulfate/selenium transporter) and BcZIP4 (a Zn2+ transporter), enabling synchronized translocation and the tissue-level co-accumulation of Se and Zn. Beyond plant physiology, Nano-ZSe improved soil physicochemical properties, enriched rhizosphere microbial diversity, and increased crop yield and economic returns. Collectively, this work demonstrates that nano-enabled dual-nutrient delivery systems can bridge nutritional and agronomic objectives through integrated physiological, molecular, and rhizosphere-mediated mechanisms, offering a scalable and environmentally sustainable pathway toward functional food production and the mitigation of hidden hunger. Full article
(This article belongs to the Section Nanotechnology in Agriculture)
Show Figures

Graphical abstract

25 pages, 6029 KB  
Article
Physiological and Biochemical Responses of Juvenile Achachairu Trees (Garcinia humilis (Vahl) C.D. Adams) to Elevated Soil Salinity Induced by Saline Irrigation
by Federico W. Sanchez, Jonathan H. Crane, Haimanote K. Bayabil, Ali Sarkhosh, Muhammad A. Shahid and Bruce Schaffer
Horticulturae 2026, 12(1), 20; https://doi.org/10.3390/horticulturae12010020 - 25 Dec 2025
Viewed by 113
Abstract
Soil salinity affects large areas of the world and results in horticultural and biodiversity losses in tropical regions. Garcinia humilis (Vahl) C.D. Adams, fam. Clusiaceae, commonly known as achachairu, is a neotropical evergreen fruit tree native to the Amazonian forests in Bolivia. Its [...] Read more.
Soil salinity affects large areas of the world and results in horticultural and biodiversity losses in tropical regions. Garcinia humilis (Vahl) C.D. Adams, fam. Clusiaceae, commonly known as achachairu, is a neotropical evergreen fruit tree native to the Amazonian forests in Bolivia. Its tolerance and responses to soil salinity exclusive of other stressors and within a range of salinity levels have not been reported. This study assessed the physiological, biochemical, and morphological responses of G. humilis to different levels of elevated soil salinity induced by saline irrigation. Physiological variables measured included net CO2 assimilation (An), stomatal conductance of H2O (gs), intercellular CO2 concentration, leaf chlorophyll index (LCI), and the ratio of variable to maximum chlorophyll fluorescence (Fv/Fm). Leaf and root nutrient analyses were performed to assess nutrient imbalances and the accumulation of toxic ions. Antioxidant responses, including superoxide dismutase, catalase, peroxidase, guaiacol peroxidase, ascorbate peroxidase, ascorbic acid, monodehydroascorbate reductase, dehydroascorbate reductase, glutathione, and glutathione reductase; reactive oxygen species (ROS) such as hydrogen peroxide and superoxide radical; and lipid peroxidation as indicated by malonaldehyde were also measured. The results indicate that G. humilis tolerates elevated soil salinity induced by saline irrigation with an electrical conductivity of at least 6 dS m−1, which results in stress responses without fatal consequences. Soil salinity induced by saline irrigation of 6 dS m−1 reduced An and gs by approximately 50% during a 30-day period, but there was no evidence of physiological damage based on the LCI or Fv/Fm. The levels of Na+ and Cl did not reach toxic levels, and the plants were able to prevent damaging imbalances of plant nutrients, indicating an ion-avoidance strategy. Increased antioxidant response to soil salinity induced by saline irrigation possibly prevented ROS and lipid peroxidation damage. G. humilis appears to be moderately tolerant of soil salinity induced by saline irrigation of at least 30 days at 6 dS m−1. Full article
(This article belongs to the Collection Biosaline Agriculture)
Show Figures

Figure 1

19 pages, 2839 KB  
Review
Mycorrhizal Fungi, Heavy Metal Contamination, and Greenhouse Gas Fluxes in Forest Soils
by Radoslav Krchnavý, Hana Hudoková, Martin Kubov, Gabriela Jamnická, Sona Grenčíková, Martin Pavlík, Allen Kiiza, Abdul Razzak, Peter Fleischer and Peter Fleischer
Forests 2026, 17(1), 12; https://doi.org/10.3390/f17010012 - 21 Dec 2025
Viewed by 296
Abstract
Heavy metals accumulate in forest soils worldwide, yet their effects on greenhouse gas dynamics remain poorly understood. Mycorrhizal fungi lie at the heart of this issue. These symbiotic organisms regulate carbon and nutrient flow between trees and soil, positioning them to influence fluxes [...] Read more.
Heavy metals accumulate in forest soils worldwide, yet their effects on greenhouse gas dynamics remain poorly understood. Mycorrhizal fungi lie at the heart of this issue. These symbiotic organisms regulate carbon and nutrient flow between trees and soil, positioning them to influence fluxes of CO2, N2O, and CH4. However, research on mycorrhizal ecology, metal toxicology, and greenhouse gas biogeochemistry has proceeded largely in isolation. This review bridges these fields through a conceptual framework built on three contamination scenarios and four mechanistic pathways. Our confidence in these mechanisms varies by gas: well-established for CO2, developing for N2O, and mostly inferential for CH4. Critical gaps remain. Studies measuring mycorrhizal communities, metal availability, and gas emissions simultaneously are rare. Comparisons between ectomycorrhizal and arbuscular mycorrhizal systems are virtually absent. This framework establishes a basis for understanding how metal-contaminated forests regulate greenhouse gas exchange and identifies priority areas for future investigation. Full article
Show Figures

Figure 1

22 pages, 9688 KB  
Article
Effects of Changes in Environmental Factors on CO2 Partial Pressure in Mountainous River Systems
by Lisha Zhou, Zihan Wu, Hongwei Wang, Yong Li, Xiaobo Yang and Boya Su
Water 2026, 18(1), 12; https://doi.org/10.3390/w18010012 - 19 Dec 2025
Viewed by 288
Abstract
This study uses high-frequency monitoring across a river–barrier lake–reservoir continuum in the upper Minjiang River, southwestern China, to quantify the spatiotemporal dynamics and drivers of aquatic CO2 partial pressure (pCO2) and to identify the dominant controls under contrasting lotic and [...] Read more.
This study uses high-frequency monitoring across a river–barrier lake–reservoir continuum in the upper Minjiang River, southwestern China, to quantify the spatiotemporal dynamics and drivers of aquatic CO2 partial pressure (pCO2) and to identify the dominant controls under contrasting lotic and lentic conditions. River reaches were CO2-supersaturated throughout the year, with higher pCO2 in the wet season (mean 521 ppm) than in the dry season (421 ppm), indicating persistent CO2 evasion to the atmosphere. In contrast, the downstream canyon-type reservoir showed a pronounced seasonal reversal. During the wet season, surface-water pCO2 averaged 395 ppm, about 24% lower than that of the river and below atmospheric levels (~419 ppm); more than 55% of observations were undersaturated, with minima as low as 141–185 ppm, indicating temporary CO2-sink behavior. In the dry season, mean pCO2 increased to 563 ppm, exceeding both riverine and atmospheric levels and returning the reservoir to a CO2 source. The reservoir pCO2 variability was governed by the interaction of hydrology and metabolism: rising water levels and longer residence times likely enhanced CO2 accumulation from the decomposition of inundated organic matter, while warm temperatures, high light and monsoon-driven nutrient inputs promoted phytoplankton growth that removed dissolved CO2 and elevated dissolved oxygen, producing temporary sink behavior. In the river, short residence time and strong turbulence limited in-stream biological regulation, and pCO2 variability was mainly driven by catchment-scale carbon inputs along the elevation gradient. Overall, our results demonstrate that dam construction and impoundment can substantially modify carbon cycling in high-mountain rivers. Under specific conditions (warm water, sufficient nutrients, high algal biomass), lentic environments may strengthen photosynthetic CO2 uptake and temporarily transform typical riverine CO2 sources into sinks, with important implications for carbon-budget assessments and reservoir management in mountainous basins. Full article
(This article belongs to the Special Issue Research on the Carbon and Water Cycle in Aquatic Ecosystems)
Show Figures

Figure 1

18 pages, 2536 KB  
Article
The Allelopathic Inhibition of Submerged Macrophytes (Ceratophyllum demersum and Myriophyllum spicatum) in Response to Toxic and Non-Toxic Microcystis aeruginosa
by Yuanyuan Tang, Shuwen Zhang, Jing Dong, Yuanpu Sha, Guiyu Chen, Xuejun Li, Xiaofei Gao, Huatao Yuan, Jingxiao Zhang, Penghui Zhu and Yunni Gao
Microorganisms 2025, 13(12), 2797; https://doi.org/10.3390/microorganisms13122797 - 8 Dec 2025
Viewed by 267
Abstract
The present study systematically explored the purification effects and response of submerged plants, Ceratophyllum demersum and Myriophyllum spicatum, on toxic and non-toxic strains of Microcystis aeruginosa via indoor co-culture experiments. The results showed that: (1) Both plants significantly inhibited the growth of [...] Read more.
The present study systematically explored the purification effects and response of submerged plants, Ceratophyllum demersum and Myriophyllum spicatum, on toxic and non-toxic strains of Microcystis aeruginosa via indoor co-culture experiments. The results showed that: (1) Both plants significantly inhibited the growth of Microcystis and reduced the concentration of chlorophyll-a (Chla) in the water by rapidly absorbing nutrients such as nitrogen and phosphorus, with no significant differences in the inhibition between toxic and non-toxic strains, indicating that nutrient competition might be the dominant mechanism for algal suppression. (2) C. demersum had higher nitrogen and phosphorus removal efficiency than M. spicatum, but the microcystins (MCs) released by toxic M. aeruginosa inhibited the nutrient removal capacity of both plants. (3) The plants promoted cell lysis of toxic M. aeruginosa and reduced extracellular MCs in the water while accumulating MCs internally, with C. demersum showing stronger MC accumulation and removal ability. (4) Microcystis stress activated the plants’ antioxidant defense systems, increased activities of SOD (Superoxide Dismutase) and CAT (Catalase), and caused membrane lipid peroxidation, increased content of MDA (Malondialdehyde), with toxic M. aeruginosa inducing stronger oxidative stress, and M. spicatum being more severely affected. (5) Plant species and algal toxicity jointly drove changes in the attached microbial community structure. The rhizosphere of M. spicatum specifically enriched Bdellovibrionota, suggesting a potential microbial predation pathway for algal suppression, while C. demersum was more associated with Bacillus and other microbes with allelopathic potential. In summary, C. demersum performed better in nutrient removal, toxin accumulation, and physiological tolerance. This study provides further theoretical support for using submerged plants to regulate cyanobacterial blooms and remediate eutrophic water bodies. Full article
(This article belongs to the Collection Biodegradation and Environmental Microbiomes)
Show Figures

Figure 1

37 pages, 5097 KB  
Systematic Review
Zeolites and Activated Carbons in Hydroponics: A Systematic Review of Mechanisms, Performance Metrics, Techno-Economic Analysis and Life-Cycle Assessment
by Dana Akhmetzhanova, Aitugan Sabitov, Yerlan Doszhanov, Meiram Atamanov, Karina Saurykova, Arman Zhumazhanov, Tolganay Atamanova, Almagul Kerimkulova, Leticia F. Velasco, Assem Zhumagalieva, Jakpar Jandosov and Ospan Doszhanov
Sustainability 2025, 17(24), 10977; https://doi.org/10.3390/su172410977 - 8 Dec 2025
Viewed by 373
Abstract
The sustainable operation of hydroponic systems depends on maintaining the chemical stability of circulating nutrient solutions and preventing the accumulation of toxic compounds. The accumulation of phytotoxic ammonium, heavy metals, and organic metabolites in recirculating nutrient solutions remains one of the key challenges [...] Read more.
The sustainable operation of hydroponic systems depends on maintaining the chemical stability of circulating nutrient solutions and preventing the accumulation of toxic compounds. The accumulation of phytotoxic ammonium, heavy metals, and organic metabolites in recirculating nutrient solutions remains one of the key challenges limiting the efficiency, sustainability, and scalability of hydroponic cultivation. This review provides a comprehensive comparative analysis of zeolites, activated carbons (ACs), and their functionalized and composite forms as key sorbents for nutrient management, contaminant removal, and environmental safety in hydroponic cultivation. Natural zeolites, with their well-defined crystalline structure and high ion-exchange selectivity toward ammonium and heavy metal cations, enable effective NH4+/K+ balance regulation and phytotoxicity mitigation. ACs, characterized by high specific surface area and tunable surface chemistry, complement zeolites by offering extensive adsorption capacity for organic compounds, root exudates, and pesticide residues, thereby extending the operational lifespan of nutrient solutions and improving overall system performance. Further advancements include the integration of zeolites and ACs with two-dimensional (graphene, g-C3N4) and three-dimensional (MOF, COF) frameworks, yielding multifunctional materials that combine adsorption, ion exchange, photocatalysis, and nutrient regulation. Transition-metal modification, particularly with Fe, Mn, Cu, Ni, and Co, introduces redox-active centers that enhance sorption, catalysis, and phosphate stabilization. The comparative synthesis reveals that the combined application of zeolite- and carbon-based composites offers a synergistic strategy for developing adaptive and low-waste hydroponic systems. From a techno-economic and environmental standpoint, the judicious application of these materials paves the way for more resilient, efficient, and circular hydroponic systems, reducing fertilizer and water consumption, lowering contaminant discharge, and enhancing food security. This systematic review was conducted according to the PRISMA 2020 guidelines. Relevant studies were identified through Scopus, Web of Science, and Google Scholar databases using specific inclusion and exclusion criteria. Full article
Show Figures

Figure 1

14 pages, 2489 KB  
Article
Facile Fabrication of Wood Fiber–Hydrogel Composites for Enhanced Water and Nutrient Efficiency in Soilless Cultivation
by Zhengyong Yang, Yao Qu, Longqing Chen, Huishu Mo, Chunyu Ji, Nicolas Brosse, Mahdi Mubarok, Xiaojian Zhou, Yining Di and Jingjing Liao
Materials 2025, 18(23), 5461; https://doi.org/10.3390/ma18235461 - 4 Dec 2025
Viewed by 342
Abstract
Restrictive regulations on the use of peat and increasing consumption in modern horticulture production have created an irreconcilable contradiction. Wood fibers (WF) produced from forestry residues are considered as a promising peat substitution. However, their poor water- and nutrient-holding capacity limit their application. [...] Read more.
Restrictive regulations on the use of peat and increasing consumption in modern horticulture production have created an irreconcilable contradiction. Wood fibers (WF) produced from forestry residues are considered as a promising peat substitution. However, their poor water- and nutrient-holding capacity limit their application. Here, wood fiber–hydrogel composite (WF-Gel) was developed via a one-pot strategy by grafting poly(acrylic acid-co-acrylamide) (P(AA-co-AM)) onto WF. The structure of the hydrogel network incorporated with WF was confirmed by FTIR spectrophotometry, scanning electron microscopy, X-ray diffractometry, and thermogravimetric analysis. The growing substrate amended with WF-Gel showed higher physical properties, including water-filled porosity (~62.33%) and water-holding capacity (~44.93%) compared with peat incorporated with WF. The pot experiment revealed that WF-Gel significantly increases the chlorophyll content and relative growth rate of choy sum (Brassica rapa var. parachinensis), especially at the initial transplanting stage. Moreover, choy sum grown in a substrate containing WF-Gel showed a significant increase in biomass accumulation. Additionally, nutrient content and irrigation water-use efficiency data indicated that WF-Gel as a growing medium strongly promotes the water and nutrient efficiency of choy sum. Therefore, the incorporation of this hydrogel modification strategy is a promising approach to promote the water- and nutrient-use efficiency of WF as a soilless substrate component. Full article
Show Figures

Graphical abstract

16 pages, 2122 KB  
Article
Synergistic Toxicity Reduction of Cadmium in Rice Grains by Foliar Co-Application of Nano-Silica and Surfactants
by Jihao Kang, Pengyue Yu, Zhi Huang, Zhenglong Tong, Ruimin Chang, Zhiyan Xie, Shiyu Gui and Ying Huang
Toxics 2025, 13(12), 1047; https://doi.org/10.3390/toxics13121047 - 2 Dec 2025
Viewed by 441
Abstract
Cadmium (Cd) accumulation in rice poses a serious threat to global food safety and human health. Foliar application of nano-silica (Si) offers a promising remediation strategy, but its efficacy is often limited by poor droplet retention on hydrophobic leaf surfaces. This study hypothesized [...] Read more.
Cadmium (Cd) accumulation in rice poses a serious threat to global food safety and human health. Foliar application of nano-silica (Si) offers a promising remediation strategy, but its efficacy is often limited by poor droplet retention on hydrophobic leaf surfaces. This study hypothesized that surfactants could overcome this barrier by enhancing the foliar performance of nano-Si. Through field experiments, we evaluated the synergistic effects of five surfactants (Polyvinylpyrrolidone (PVP) powder, Aerosol OT (AOT), Rhamnolipid (RH), Didecyldimethylammonium bromide (DDAB), and Alkyl Polyglycoside (APG)) when combined with nano-silica. The results demonstrated that all surfactants significantly improved wetting and retention, with alkyl polyglycoside (APG) and polyvinylpyrrolidone (PVP) being the most effective. These improvements translated into a remarkable suppression of Cd translocation within rice plants. The PVP–nano-Si combination emerged as the most potent treatment, reducing grain Cd content by 50% and achieving the lowest levels of As and Cr among all treatments. Furthermore, this synergistic effect was linked to a significant increase in grain concentrations of manganese (Mn) and zinc (Zn), which exhibit a competitive relationship with Cd. The findings reveal that surfactant co-application not only optimizes the physical application of nano-Si but also triggers beneficial nutrient–Cd interactions, providing a novel and efficient strategy for mitigating Cd contamination in rice. This study provides critical theoretical support for developing efficient and environmentally friendly foliar barrier technologies and supports safe production of rice in lightly to moderately contaminated paddy fields. Full article
(This article belongs to the Special Issue Heavy Metals and Pesticide Residue Remediation in Farmland)
Show Figures

Graphical abstract

28 pages, 16974 KB  
Article
Comparative Immunomodulatory Efficacy of Chemogenic and Biogenic Manganese Nanoparticles for Inducing Arsenic Stress Resilience in Rapeseed
by Muhammad Arslan Yousaf, Muhammad Noman, Ayesha Khalil Maan, Basharat Ali, Muhammad Kamran, Muhammad Shahbaz Naeem, Mohammad Shafiqul Islam, Yiwa Hu, Skhawat Ali and Weijun Zhou
Agronomy 2025, 15(12), 2773; https://doi.org/10.3390/agronomy15122773 - 30 Nov 2025
Viewed by 366
Abstract
Arsenic (As) contamination poses a critical threat to agricultural productivity, affecting rapeseed (Brassica napus L.), an agronomically important crop. A comparative assessment was performed to evaluate the efficacy of chemogenic and biogenic manganese nanoparticles (C-MnNPs and B-MnNPs) for mitigating As toxicity. B-MnNPs [...] Read more.
Arsenic (As) contamination poses a critical threat to agricultural productivity, affecting rapeseed (Brassica napus L.), an agronomically important crop. A comparative assessment was performed to evaluate the efficacy of chemogenic and biogenic manganese nanoparticles (C-MnNPs and B-MnNPs) for mitigating As toxicity. B-MnNPs were biosynthesized using cell-free filtrate of Bacillus pumilus MAY4, while C-MnNPs were obtained from Cwnano Co., Ltd. (Shanghai, China). Greenhouse assays demonstrated that both C-MnNPs and B-MnNPs alleviated detrimental effects of As; however, B-MnNPs exhibited superior performance compared to their chemical counterparts. Compared to As-stressed plants, B-MnNPs enhanced leaf and root biomass (26.4% and 56.15%, respectively), net photosynthetic rate (64.8%), and stomatal conductance (50%). B-MnNPs more effectively reduced oxidative stress markers by activating antioxidant defense systems in both leaf and root tissues. Furthermore, B-MnNPs reduced in planta As accumulation while significantly improving uptake of essential nutrients, including potassium, phosphorous, magnesium, and manganese, etc., in rapeseed plants. Expression studies revealed that B-MnNPs upregulated antioxidant defense and redox homeostasis related stress-responsive genes under induced As stress. Biochemical assays further confirmed the enrichment of stress-responsive phytohormones, including salicylic acid, jasmonic acid, and abscisic acid, in B-MnNP-treated As-stressed rapeseed plants, indicating activation of multi-tier defense response by B-MnNPs to cope with As stress. These findings establish B-MnNPs as a highly effective nano-enabled strategy for managing As toxicity in the rapeseed cultivation system. This research provides critical insights into the molecular and physiological mechanisms underlying MnNP-mediated stress tolerance and offers a promising green nanotechnology approach for heavy metal-resilient crops. Full article
Show Figures

Figure 1

18 pages, 1844 KB  
Article
Integrated Soil Amendments Alleviate Subsoil Acidification and Enhance Ponkan Seedling Growth in a Column Experiment
by Jiacheng Zhang, Xiaoya Duan, Pengxiao Sun, Fei Zheng, Xiaochuan Ma, Yuan Yu, Yan Li and Ping Wang
Plants 2025, 14(23), 3613; https://doi.org/10.3390/plants14233613 - 26 Nov 2025
Viewed by 407
Abstract
The ponkan (Citrus reticulata Blanco cv. Ponkan), an important citrus crop, is increasingly threatened by soil acidification. This study evaluated the efficacy of various soil amendments, including lime alone (L), lime with gypsum and organic fertilizer (LGOF), lime plus K2CO [...] Read more.
The ponkan (Citrus reticulata Blanco cv. Ponkan), an important citrus crop, is increasingly threatened by soil acidification. This study evaluated the efficacy of various soil amendments, including lime alone (L), lime with gypsum and organic fertilizer (LGOF), lime plus K2CO3 (LK), and lime with chicken manure ash (LCMA), in mitigating soil acidification and improving ponkan seedling growth. Surface-applied lime raised topsoil pH and acid buffering capacity while reducing exchangeable Al. However, combined amendments (LGOF, LK, LCMA) more effectively alleviated acidity throughout the soil profile. They significantly increased pH and buffering capacity, decreased exchangeable H and Al in the 20–40 cm layer, and elevated exchangeable base cations (K+, Ca2+, Mg2+). These changes reduced Al content in roots, stems, and leaves, promoted deeper root growth, and increased biomass and nutrient uptake (N, P, K). Physiologically, combined amendments enhanced photosynthetic performance (chlorophyll, Pn, ΦPSII) and increased activity of key metabolic enzymes (Rubisco, SS, SPS, NR, GS), promoting sucrose, starch, and protein accumulation. LK rapidly raised subsoil pH and potassium levels, ideal for K-deficient orchards. LGOF and LCMA improved overall fertility by supplying Ca and Mg, with LGOF additionally enhancing soil structure in poorly structured acidic soils. Full article
(This article belongs to the Special Issue Phosphorus and pH Management in Soil–Plant Systems)
Show Figures

Figure 1

13 pages, 2064 KB  
Article
Comparative Study on Photosynthetic Characteristics and Leaf Structure of Paphiopedilum parishii in Different Growth Periods
by Li Lu, Haiying Jiang, Xinru Cai, Xi Li, Guohua He, Shuo Feng, Xiao Wei and Jianmin Tang
Agronomy 2025, 15(12), 2713; https://doi.org/10.3390/agronomy15122713 - 25 Nov 2025
Viewed by 298
Abstract
This study investigates the differences in photosynthetic characteristics of Paphiopedilum parishii (Rchb.f.) Stein during its reproductive and nutrient growth periods. Using plants from the same individual, we compared light response curves, chlorophyll content, leaf epidermal structure, and leaf anatomical structure between these two [...] Read more.
This study investigates the differences in photosynthetic characteristics of Paphiopedilum parishii (Rchb.f.) Stein during its reproductive and nutrient growth periods. Using plants from the same individual, we compared light response curves, chlorophyll content, leaf epidermal structure, and leaf anatomical structure between these two growth stages. The results show the following: (1) The overall shape of the light response curves was similar across both periods, but plants in the nutrient growth period exhibited higher net photosynthetic rates (Pn) at all light intensities compared to those in the reproductive growth period. (2) During the nutrient growth period, apparent quantum efficiency (AQY), maximum net photosynthetic rate (Pmax), and light saturation point (LSP) were all significantly higher than in the reproductive growth period, while the light compensation point (LCP) and dark respiration rate (Rd) showed no significant differences. (3) Structurally, during the nutrient growth period, stomatal density significantly increased, while stomatal area decreased. Additionally, leaf thickness and mesophyll tissue thickness both markedly increased, indicating enhanced carbon assimilation efficiency through improved CO2 uptake capacity and expanded photosynthetic area. (4) Significant differences in leaf anatomical structure between the two periods were primarily observed in leaf thickness and mesophyll tissue thickness, providing more space for energy accumulation during the post-flowering recovery phase. This study systematically reveals the dynamic changes in photosynthetic physiology and structural characteristics of P. parishii across different phenological stages, offering a theoretical foundation for its reintroduction and cultivation management. Full article
(This article belongs to the Section Plant-Crop Biology and Biochemistry)
Show Figures

Figure 1

25 pages, 6335 KB  
Article
Fungal–Algal Co-Pellets from Coffee Effluent: A Sustainable Biorefinery Approach for Bioproducts and Waste Treatment
by Dalel Daâssi, Nesrine Ghorraf, Ikram Ben Ismail, Amina Maalej, Fatma Ben Amor, Sirine Choura and Mohamed Chamkha
Catalysts 2025, 15(12), 1102; https://doi.org/10.3390/catal15121102 - 25 Nov 2025
Viewed by 695
Abstract
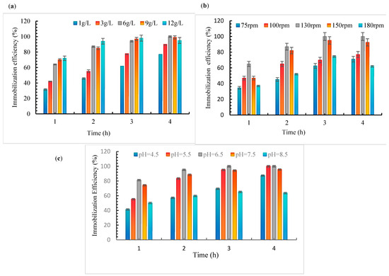
This study looked at a fungal–cyanobacterial co-pellet system for cleaning up coffee waste and producing high-value polymers. Optimization focused on the pelletization process, waste removal efficiency, and biomass yield. Optimal conditions, including pH (6.5), glucose concentration (6 g/L), and shaking speed (130 rpm), [...] Read more.
This study looked at a fungal–cyanobacterial co-pellet system for cleaning up coffee waste and producing high-value polymers. Optimization focused on the pelletization process, waste removal efficiency, and biomass yield. Optimal conditions, including pH (6.5), glucose concentration (6 g/L), and shaking speed (130 rpm), achieved a maximum cyanobacterial immobilization efficiency of up to 97% on the fungal mycelium. Scanning electron microscopy (SEM) confirmed the formation of an integrated co-pellet structure, with fungal hyphae acting as a physical scaffold and extracellular polymeric substances (EPSs) enhancing cell–cell adhesion. The co-culture system exhibited superior performance compared to fungal (20.56 g/L) and algal (1.09 g/L) monocultures. It effectively removed major coffee effluent pollutants, achieving a significant reduction in total phenolic compounds (74.5%). Furthermore, the co-pellets displayed a remarkable final biomass yield (24.33 g/L) and high production of extracellular polymeric substances (EPSs) (5.28 g/L) and intracellular polymeric substances (IPSs) (3.84 g/L). The synergistic relationship was further confirmed by high nitrogen contents in the co-pellets (15.24%), which significantly surpassed that of the individual fungal biomass, suggesting interspecies nutrient transfer. Valuable glycerol-lipids were detected and identified in the fermentative broth of the co-culture confirming a highly efficient bioconversion process. Analyses revealed a targeted metabolic flow toward the accumulation of monoglycerides, notably monooleoylglycerol and monopalmitin, highlighting a powerful cooperative compatibility for producing high-value emulsifiers. Overall, these findings firmly establish the cyano-fungal co-pellet system as a robust and sustainable biorefinery approach for treating complex industrial wastewater while producing a high-quality, value-added biomass suitable for utilization as a biofertilizer or animal feed. Full article
(This article belongs to the Section Biocatalysis)
Show Figures

Graphical abstract

25 pages, 4469 KB  
Article
Spirulina and Chlorella Dietary Supplements—Are They a Source Solely of Valuable Nutrients?
by Małgorzata Sochacka, Bartosz Kózka, Eliza Kurek and Joanna Giebułtowicz
Int. J. Mol. Sci. 2025, 26(21), 10468; https://doi.org/10.3390/ijms262110468 - 28 Oct 2025
Viewed by 3878
Abstract
Spirulina and Chlorella are nutrient-rich microalgae widely consumed as dietary supplements; however, their high biosorption capacity raises concerns regarding the accumulation of environmental contaminants. This study analyzed 52 commercially available Spirulina and Chlorella products (29 conventional, 23 organic) to assess the co-occurrence of [...] Read more.
Spirulina and Chlorella are nutrient-rich microalgae widely consumed as dietary supplements; however, their high biosorption capacity raises concerns regarding the accumulation of environmental contaminants. This study analyzed 52 commercially available Spirulina and Chlorella products (29 conventional, 23 organic) to assess the co-occurrence of heavy metals and pharmaceutical residues, as these two classes of contaminants represent distinct yet complementary indicators of environmental pollution—heavy metals reflect long-term inputs from natural and industrial sources, while pharmaceuticals signal more recent contamination linked to human activity and wastewater discharge. To the best of our knowledge, this is the first study to investigate the presence of pharmaceutical residues—including cardiovascular drugs, antidepressants, antibiotics, and sulfonamides—in both conventional and organic formulations of microalgae-based dietary supplements. The analyses were performed using Inductively Coupled Plasma Mass Spectrometry and liquid chromatography coupled to tandem mass spectrometry. Aluminum, manganese, strontium, and zinc were the dominant trace elements. All samples complied with EU regulatory limits for toxic metals. More importantly, a wide range of pharmaceutical residues was detected in the supplements. Caffeine was the most frequently found compound, followed by metronidazole, carbamazepine, benzocaine, and tramadol. Particular concern is raised by the calculated TWI (% of tolerable weekly intake) for aluminum. Principal Component Analysis revealed significant compositional differences between Spirulina and Chlorella products, with vanadium notably elevated in conventionally cultivated Spirulina. Surprisingly, no significant differences were observed between organic and conventional products within each algal type. Our findings provide a novel contribution to the field by highlighting the presence of pharmaceutical residues in microalgae-based supplements and addressing a critical knowledge gap concerning potential chronic exposure to these contaminants through dietary intake. Full article
(This article belongs to the Special Issue Metals and Metal Ions in Human Health, Diseases, and Environment)
Show Figures

Graphical abstract

14 pages, 6811 KB  
Article
Arbuscular Mycorrhizal Fungi and Their Relationships with the Soil Nutrients and Heavy Metals in Ancient Trees in Blue-Crowned Laughingthrush Habitats
by Hui Li, Pei Wei, Kongzhong Xiao, Wei Liu and Weiwei Zhang
J. Fungi 2025, 11(11), 776; https://doi.org/10.3390/jof11110776 - 28 Oct 2025
Viewed by 817
Abstract
The fragile ancient ‘Shuikoulin’ forests, which provide critical habitats for the critically endangered Blue-crowned Laughingthrush, are increasingly degraded by soil contamination and heavy metal pollution. This study examines the rhizosphere environment of four key ancient tree species in the bird’s core habitat, focusing [...] Read more.
The fragile ancient ‘Shuikoulin’ forests, which provide critical habitats for the critically endangered Blue-crowned Laughingthrush, are increasingly degraded by soil contamination and heavy metal pollution. This study examines the rhizosphere environment of four key ancient tree species in the bird’s core habitat, focusing on soil properties, heavy metal accumulation, and the structure of arbuscular mycorrhizal (AM) fungal communities. The results revealed that Liquidambar formosana showed the highest total nitrogen (TN) and available phosphorus (AP), whereas Quercus chenii had the lowest soil organic matter (SOM). The primary heavy metal contaminant across all tree species was Cd (Igeo > 2), followed by the metalloid As. We detected 41 AM fungal species spanning 7 genera, with Glomus dominating (84.19% relative abundance). OTU richness was highest in Cinnamomum camphora and L. formosana (110 each), followed by Q. chenii (88) and Castanopsis sclerophylla (75). Structural equation modeling indicated that soil nutrients (TN, TP, AP, SOM) suppressed the accumulation of V, Cr, Ni, and Cu, thereby indirectly favoring Glomus and Paraglomus. In contrast, higher pH and total potassium (TK) levels promoted Co and Zn bioavailability and negatively affected Acaulospora and other minor genera. Tree species identity directly modulated these interactions. Our findings demonstrate that ancient tree species shape AM fungal assembly through distinct rhizosphere geochemical niches, providing a mechanistic basis for restoring degraded habitats critical to endangered species conservation. Full article
(This article belongs to the Special Issue Arbuscular Mycorrhiza Under Stress, 2nd Edition)
Show Figures

Figure 1

25 pages, 10659 KB  
Article
Characteristics of Plant Community, Soil Physicochemical Properties, and Soil Fungal Community in a 22-Year Established Poaceae Mixed-Sown Grassland
by Pei Gao, Liangyu Lyu, Yunfei Xing, Jun Ma, Yan Liu, Zhijie Yang, Xin Wang and Jianjun Shi
J. Fungi 2025, 11(10), 756; https://doi.org/10.3390/jof11100756 - 21 Oct 2025
Viewed by 791
Abstract
This study aims to evaluate the restoration effect of artificially mixed-sown grasslands by investigating the characteristics of plant communities and soil fungal communities in long-term (22-year-established) artificial grasslands under six Poaceae mixture combinations. The experiment took mixed-sown grasslands of grass species established in [...] Read more.
This study aims to evaluate the restoration effect of artificially mixed-sown grasslands by investigating the characteristics of plant communities and soil fungal communities in long-term (22-year-established) artificial grasslands under six Poaceae mixture combinations. The experiment took mixed-sown grasslands of grass species established in 2002 on the Qinghai–Tibet Plateau as the research object. It employed ITS gene high-throughput sequencing technology to construct a fungal community distribution map and combined it with FUNGuild (Functional Guilds of Fungi) functional predictions to analyze fungal species abundance, structural diversity, molecular co-occurrence networks, and functional characteristics. By integrating Mantel test and RDA (redundancy analysis), we identified key environmental factors driving soil microbial community structure in mixed-sown grasslands and revealed the plant–soil–microbe interaction mechanisms in a Poaceae mixture grassland. The results showed that the HC treatment (a mixture of three grass species) significantly enhanced plant biomass and soil nutrient accumulation. In 2023 and 2024, its aboveground biomass increased by 66.14% and 60.91%, respectively, compared to the HA treatment (monoculture). Soil organic matter increased by 52.32% and 48.35%, while electrical conductivity decreased by 48.99% and 51.72%, respectively. The fungal community structure improved under the HD treatment (a mixture of four grass species), with an increased abundance of the dominant phylum Ascomycota and a 14.44% rise in the Shannon index compared to the HA treatment. The network complexity under the HF treatment (a mixture of six grass species) increased (with edge numbers reaching 494), while the functional abundance of plant pathogen was significantly lower than that under the HA treatment. Mantel test and RDA revealed that SEC (soil electrical conductivity) was significantly positively correlated with pH, while both exhibited negative correlations with other plant and soil physicochemical indicators. Moreover, SEC emerged as the core factor driving fungal community assembly. Mixed sowing of three to four grass species effectively regulated soil electrical conductivity, simultaneously enhancing plant biomass, soil nutrients, and fungal community diversity, representing an optimal strategy for artificial restoration of degraded grasslands. Full article
(This article belongs to the Section Environmental and Ecological Interactions of Fungi)
Show Figures

Figure 1

Back to TopTop