error_outline You can access the new MDPI.com website here. Explore and share your feedback with us.
 
 
Sign in to use this feature.

Years

Between: -

Subjects

remove_circle_outline
remove_circle_outline
remove_circle_outline
remove_circle_outline
remove_circle_outline
remove_circle_outline
remove_circle_outline
remove_circle_outline
remove_circle_outline

Journals

Article Types

Countries / Regions

remove_circle_outline
remove_circle_outline
remove_circle_outline
remove_circle_outline

Search Results (362)

Search Parameters:
Keywords = nonlinear water waves

Order results
Result details
Results per page
Select all
Export citation of selected articles as:
17 pages, 2509 KB  
Article
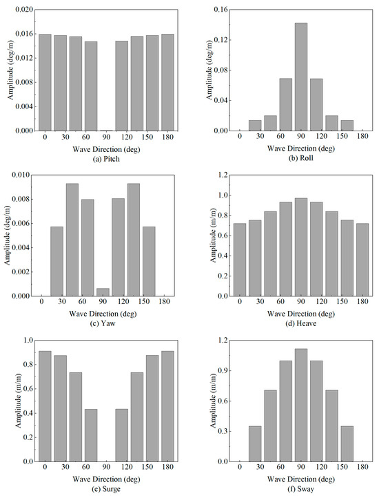
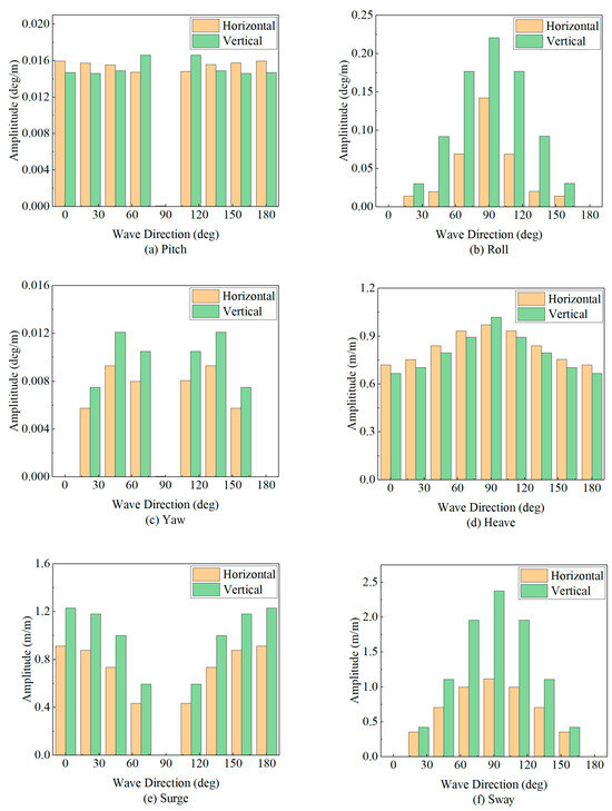
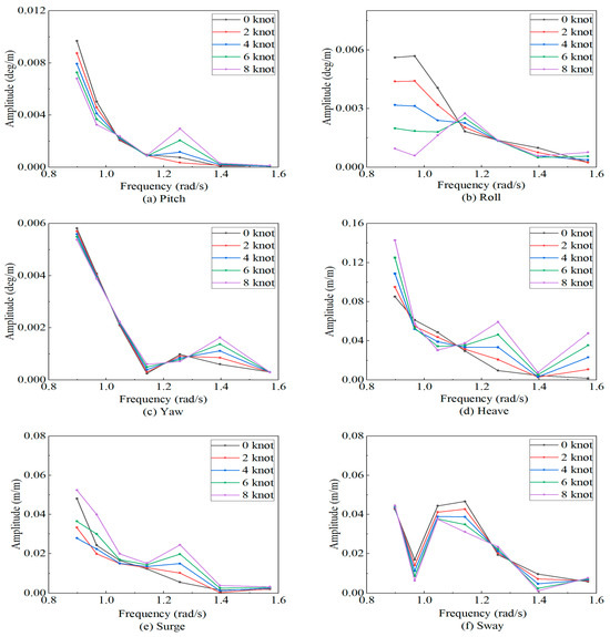
Parametric Study on the Dynamic Response of a Barge-Jacket Coupled System During Transportation
by Ruilong Shi, Xiaolan Zhang, Yanhui Xia, Ben He, Zhihong Zhang and Jianhua Zhang
J. Mar. Sci. Eng. 2026, 14(1), 100; https://doi.org/10.3390/jmse14010100 - 4 Jan 2026
Viewed by 132
Abstract
As offshore wind farms expand into deeper waters, the safe transportation of large jacket foundations presents a significant engineering challenge. This study utilizes the SESAM 2022 software suite, based on three-dimensional potential flow theory, to conduct a coupled numerical simulation and parametric analysis [...] Read more.
As offshore wind farms expand into deeper waters, the safe transportation of large jacket foundations presents a significant engineering challenge. This study utilizes the SESAM 2022 software suite, based on three-dimensional potential flow theory, to conduct a coupled numerical simulation and parametric analysis of a barge-jacket system. Finite element models of the barge and jacket are established, with mesh convergence verified. The influences of key parameters including wave frequencies (0.4–1.6 rad/s), wave directions (0–180°), forward speeds (0–8 knots) and jacket arrangement (vertical/horizontal) on the six degrees of freedom (6-DOF) dynamic responses of the coupled system are systematically investigated. Based on the observed response characteristics, optimized transportation configurations and practical engineering recommendations are proposed. The findings consolidate previous scattered parametric results into a single, repeatable SESAM-based benchmark data set, offering a reference against which future nonlinear or time-domain models can be validated. Furthermore, this work establishes a systematic parametric basis and offers practical guidance for assessing the safety of offshore wind turbine (OWT) foundation transportation in deep-water environments. Full article
(This article belongs to the Special Issue Advanced Studies in Marine Structures)
Show Figures

Figure 1

25 pages, 5206 KB  
Article
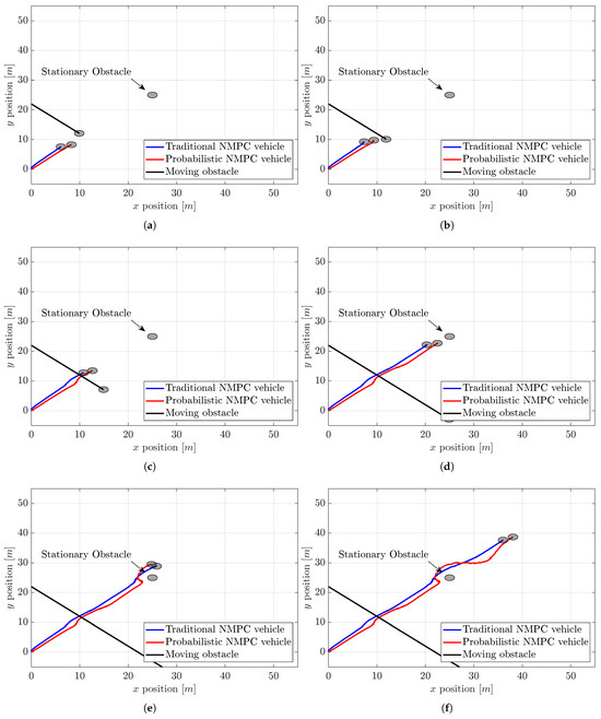
Nonlinear Probabilistic Model Predictive Control Design for Obstacle Avoiding Uncrewed Surface Vehicles
by Nurettin Çerçi and Yaprak Yalçın
Automation 2026, 7(1), 10; https://doi.org/10.3390/automation7010010 - 1 Jan 2026
Viewed by 117
Abstract
The primary objective of this research is to develop a probabilistic nonlinear model predictive control structure (NMPC) that efficiently operates uncrewed surface vehicles (USVs) in an environment that has probabilistic disturbances, such as wind, waves, and currents of the water, while simultaneously maneuvering [...] Read more.
The primary objective of this research is to develop a probabilistic nonlinear model predictive control structure (NMPC) that efficiently operates uncrewed surface vehicles (USVs) in an environment that has probabilistic disturbances, such as wind, waves, and currents of the water, while simultaneously maneuvering the vehicle in a way that avoids stationary or moving stochastic obstacles in its path. The proposed controller structure considers the mean and covariances of the inputs or state variables of the vehicle in the cost function to handle probabilistic disturbances, where an extended Kalman filter (EKF) is utilized to calculate the mean, and the covariances are calculated dynamically via a linear matrix equality based on this mean and obtained system matrices with successive linearization for every sampling instance. The proposed control structure deals with non-zero-mean probabilistic disturbances such as water current via an innovative approach that treats the mean of the disturbance as a deterministic part, which is estimated by a disturbance observer and eliminated by a control term in the controller in addition to the control signal obtained via MPC optimization; the effect of the remaining zero-mean part is handled over its covariance during the probabilistic MPC optimization. The probabilistic constraints are also dealt with by converting them to deterministic constraints, as in linear probabilistic MPC. However, unlike the linear MPC, these constraints updated each sampling instance with the information obtained via successive linearization. The control structure incorporates the velocity obstacle (VO) method for collision avoidance. In order to ensure stability, the proposed NMPC adopts a dual-mode strategy, and a stability analysis is presented. In the second mode, an LQG design that ensures stability in the existence of non-zero mean disturbance is also provided. The simulation results demonstrate that the proposed probabilistic NMPC framework effectively handles probabilistic disturbances as well as both stationary and moving obstacles, ensuring collision avoidance while reaching the desired position and orientation through optimal path tracking, outperforming the conventional NMPC. Full article
(This article belongs to the Section Control Theory and Methods)
Show Figures

Figure 1

22 pages, 13694 KB  
Article
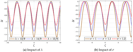
Fractional Solutions and Quasi-Periodic Dynamics of the M-Fractional Weakly Nonlinear Dispersive Water Waves Model: A Bifurcation Perspective
by Mamdouh Elbrolosy and Kawther Alarfaj
Mathematics 2026, 14(1), 79; https://doi.org/10.3390/math14010079 - 25 Dec 2025
Viewed by 107
Abstract
In this paper, we study the time-space truncated M-fractional model of shallow water waves in a weakly nonlinear dispersive media that characterizes the nano-solitons of ionic wave propagation along microtubules in living cells. A fractional wave transformation is applied, reducing the model [...] Read more.
In this paper, we study the time-space truncated M-fractional model of shallow water waves in a weakly nonlinear dispersive media that characterizes the nano-solitons of ionic wave propagation along microtubules in living cells. A fractional wave transformation is applied, reducing the model to a third-order differential equation formulated as a conservative Hamiltonian system. The stability of the equilibrium points is analyzed, and the corresponding phase portraits are constructed, providing valuable insights into the expected types of solutions. Utilizing the dynamical systems approach, a variety of predicted exact fractional solutions are successfully derived, including solitary, periodic and unbounded singular solutions. One of the most notable features of this approach is its ability to identify the real propagation regions of the desired waves from both physical and mathematical perspectives. The impacts of the fractional order and gravitational force variations on the solution profiles are systematically analyzed and graphically illustrated. Moreover, the quasi-periodic dynamics and chaotic behavior of the model are explored. Full article
Show Figures

Figure 1

17 pages, 1221 KB  
Article
Conservation Laws, Soliton Dynamics, and Stability in a Nonlinear Schrödinger Equation with Second-Order Spatiotemporal Dispersion
by Naila Nasreen, Ismat Latif, Kashifa Basheer, Muhammad Arshad and Zhaoliang Jiang
Mathematics 2026, 14(1), 54; https://doi.org/10.3390/math14010054 - 23 Dec 2025
Viewed by 212
Abstract
This paper presents the construction of exact wave solutions for the generalized nonlinear Schrödinger equation (NLSE) with second-order spatiotemporal dispersion using the modified exponential rational function method (mERFM). The NLSE plays a vital role in various fields such as quantum mechanics, oceanography, transmission [...] Read more.
This paper presents the construction of exact wave solutions for the generalized nonlinear Schrödinger equation (NLSE) with second-order spatiotemporal dispersion using the modified exponential rational function method (mERFM). The NLSE plays a vital role in various fields such as quantum mechanics, oceanography, transmission lines, and optical fiber communications, particularly in modeling pulse dynamics extending beyond the traditional slowly varying envelope estimation. By incorporating higher-order dispersion and nonlinear effects, including cubic–quintic nonlinearities, this generalized model provides a more accurate representation of ultrashort pulse propagation in optical fibers and oceanic environments. A wide range of soliton solutions is obtained, including bright and dark solitons, as well as trigonometric, hyperbolic, rational, exponential, and singular forms. These solutions offer valuable insights into nonlinear wave dynamics and multi-soliton interactions relevant to shallow- and deep-water wave propagation. Conservation laws associated with the model are also derived, reinforcing the physical consistency of the system. The stability of the obtained solutions is investigated through the analysis of modulation instability (MI), confirming their robustness and physical relevance. Graphical representations based on specific parameter selections further illustrate the complex dynamics governed by the model. Overall, the study demonstrates the effectiveness of mERFM in solving higher-order nonlinear evolution equations and highlights its applicability across various domains of physics and engineering. Full article
(This article belongs to the Section E: Applied Mathematics)
Show Figures

Figure 1

17 pages, 3079 KB  
Article
Characteristics of Coastal Trapped Waves Generated by Typhoon ‘Soudelor’ in the Northwestern South China Sea
by Xuefeng Cao, Lunyu Wu, Chuanxi Xing, Maochong Shi and Peifang Guo
J. Mar. Sci. Eng. 2026, 14(1), 4; https://doi.org/10.3390/jmse14010004 - 19 Dec 2025
Viewed by 223
Abstract
Coastal Trapped Waves (CTWs) represent an important class of mesoscale fluctuations in nearshore shelf regions and play a crucial role in modulating coastal circulation. The South China Sea (SCS), the largest semi-enclosed marginal sea in the western Pacific Ocean, features a continental shelf [...] Read more.
Coastal Trapped Waves (CTWs) represent an important class of mesoscale fluctuations in nearshore shelf regions and play a crucial role in modulating coastal circulation. The South China Sea (SCS), the largest semi-enclosed marginal sea in the western Pacific Ocean, features a continental shelf approximately 200 km wide. During summer, the SCS is frequently impacted by typhoons, which often trigger significant CTWs. This study investigates the characteristics of CTWs generated by Typhoon ‘Soudelor’ (No. 1513) in the northwestern SCS, based on current observations and numerical model simulations. Under the influence of Soudelor, CTWs characterized by elevated water levels nearshore and depressed water levels offshore were initially generated by wind-induced Ekman transport in the Taiwan Strait. These waves subsequently propagated southwestward along the coastline with phase velocities ranging from 7.2 to 18.3 m/s. Model results indicate that the CTW influenced current fields up to 160 km offshore, with a maximum CTW-induced current velocity exceeding 0.7 m/s. The vertical structure of the CTW-induced current field exhibited a barotropic characteristic. The influence of CTWs on current fields diminished with propagation distance, accompanied by a reduction in the induced current velocity. This attenuation was particularly pronounced between Xiamen (XM) and Shanwei (SW). Sensitivity experiments further revealed that the slowed propagation phase velocity of CTWs between XM and SW was attributable to strong reflection, scattering, and nonlinear effects caused by the abrupt topographic changes of the Taiwan Bank. Full article
(This article belongs to the Section Physical Oceanography)
Show Figures

Figure 1

17 pages, 5950 KB  
Article
Nonlinear Water Waves Induced by Vertical Disturbances Through a Navier–Stokes Solver with the Implementation of the Immersed Boundary Method
by Hai-Ping Ma and Hong-Xia Zhang
Water 2025, 17(24), 3573; https://doi.org/10.3390/w17243573 - 16 Dec 2025
Viewed by 394
Abstract
Nonlinear water waves (NWWs) can be generated by the vertical bottom disturbance, which represents the conceptual processes of the rise of seabed rupture under seismic loads. To explore the correlation between the disturbance parameters and the wave features, a Reynolds-averaged Navier–Stokes (RANS) model [...] Read more.
Nonlinear water waves (NWWs) can be generated by the vertical bottom disturbance, which represents the conceptual processes of the rise of seabed rupture under seismic loads. To explore the correlation between the disturbance parameters and the wave features, a Reynolds-averaged Navier–Stokes (RANS) model is applied, with the flow turbulence and fluid–structure interaction (FSI) being resolved by the k–ɛ model and the immersed boundary method (IBM), respectively. The free surface is tracked using the volume of fluid (VOF) method. After validating against the theoretical solutions and experimental results, the effects of disturbance duration and bulk on the wave features at the source region (the generation stage) and offshore direction (the propagation stage) are systematically discussed. The fixed maximal vertical displacement is considered, with four moving durations and five disturbance widths being simulated, resulting in four disturbance velocities and five disturbance bulks. The results indicate that the proposed RANS model can accurately create various wave patterns (including the linear, solitary, and tsunami-like waves) generated by bottom disturbances. Special attentions are paid to the tsunami-like wave. The wave evolution exhibits strong dependence on disturbance duration and width, with shorter durations triggering earlier soliton fission and longer widths accelerating phase celerity. These findings highlight the critical role of disturbance parameters in governing soliton formation and energy propagation patterns, which are vital in disaster forecasting. Full article
(This article belongs to the Special Issue Coastal Engineering and Fluid–Structure Interactions)
Show Figures

Figure 1

17 pages, 12485 KB  
Article
Comparative Study of Wave-Resolving Models for Typhoon-Induced Harbor Oscillations
by Shih-Feng Su, I-An Chen and Pei-Wen Wang
J. Mar. Sci. Eng. 2025, 13(12), 2305; https://doi.org/10.3390/jmse13122305 - 4 Dec 2025
Viewed by 292
Abstract
This study investigates typhoon-induced oscillations within Youngan Harbor, southwestern Taiwan, which frequently compromise port operations and cause dock overtopping. Two representative wave-resolving models, the Boussinesq-type FUNWAVE-TVD and the non-hydrostatic XBeach-NH, were applied to simulate a typhoon event and evaluate their predictive performance against [...] Read more.
This study investigates typhoon-induced oscillations within Youngan Harbor, southwestern Taiwan, which frequently compromise port operations and cause dock overtopping. Two representative wave-resolving models, the Boussinesq-type FUNWAVE-TVD and the non-hydrostatic XBeach-NH, were applied to simulate a typhoon event and evaluate their predictive performance against field observations. Both models underestimated significant wave height across all frequency bands. Spectral analysis revealed that FUNWAVE-TVD generated higher energy in the infragravity and very-low-frequency ranges, whereas XBeach-NH exhibited greater energy in the swell and wind-wave bands. Spatial resonance patterns further indicated that a berth, located in a nodal region, experienced reduced tranquility due to considerable horizontal currents. Conversely, wave overtopping at a dock was driven by amplified vertical water-level oscillations in an antinodal region. These contrasting responses highlight the sensitivity of the models to nonlinear wave interactions and underscore the critical role of simulating harbor currents, emphasizing the need for careful model selection in harbor tranquility assessment. Full article
(This article belongs to the Section Coastal Engineering)
Show Figures

Figure 1

25 pages, 13109 KB  
Article
Interpretation Analysis of Influential Variables Dominating Impulse Waves Generated by Landslides
by Xiaohan Xu, Peng Qin, Zhenyu Li, Jiangfei Wang, Yuyue Zhou, Sen Zheng and Zhenzhu Meng
J. Mar. Sci. Eng. 2025, 13(12), 2223; https://doi.org/10.3390/jmse13122223 - 21 Nov 2025
Viewed by 431
Abstract
Landslide impacts into water generate impulse waves that, in confined basins and along steep coasts, escalate swiftly into hazardous near-shore surges. In this study, we present a scenario-aware workflow using gradient boosting and k-means clustering, and explain them using Shapley additive explanations [...] Read more.
Landslide impacts into water generate impulse waves that, in confined basins and along steep coasts, escalate swiftly into hazardous near-shore surges. In this study, we present a scenario-aware workflow using gradient boosting and k-means clustering, and explain them using Shapley additive explanations (SHAPs). Two cases are addressed: forecasting at water entry (Scenario I) with predictors Froude number Fr, relative effective mass M, and relative thickness S; and pre-event assessment (Scenario II) with predictors Bingham number Bi, relative moving length L, and relative initial mass Mi. Using 270 controlled physical-model experiments, we benchmark six learning algorithms under 5-fold cross-validation. Gradient boosting delivers the best overall accuracy and cross-scenario robustness, with XGBoost close behind. Scenario I attains a coefficient of determination R2 of 0.941, while Scenario II achieves R2=0.865. Residual analyses indicate narrower spreads and lighter tails for the top models. SHAP reveals physics-consistent controls: M and Fr dominate Scenario I, whereas initial mass and the Bi dominate Scenario II; interactions Fr×S and Mi×Bi clarify non-linear amplification of wave amplitude and height. The cluster–predict–explain framework couples predictive skill with physical transparency and is directly applicable to coastal hazard screening and integration into shoreline early-warning workflows. Full article
(This article belongs to the Special Issue Coastal Disaster Assessment and Response—2nd Edition)
Show Figures

Figure 1

41 pages, 18402 KB  
Article
Trapped Modes Along Periodic Structures Submerged in a Two-Layer Fluid with Free Surface and a Background Steady Flow
by Gonçalo Dias and Bruno Pereira
Axioms 2025, 14(11), 846; https://doi.org/10.3390/axioms14110846 - 18 Nov 2025
Viewed by 251
Abstract
This study examines the trapping of linear water waves by an endless structure of stationary, three-dimensional periodic obstacles within a two-layer fluid system. The setup features a lower layer of either limited or unlimited depth, overlaid by an upper layer of finite thickness [...] Read more.
This study examines the trapping of linear water waves by an endless structure of stationary, three-dimensional periodic obstacles within a two-layer fluid system. The setup features a lower layer of either limited or unlimited depth, overlaid by an upper layer of finite thickness bounded by a free surface, with each layer exhibiting its own constant background speed relative to the fixed reference frame. For real roots to emerge in the dispersion relation, an additional stability condition on the layer velocities is necessary. By selecting adequate choices for the background flow, a non-linear eigenvalue problem is derived from the variational formulation; its reasonable approximation yields a geometric criterion that guarantees the presence of trapped modes (subject to the aforementioned stability bounds). The selection of the eigenvalue is influenced by velocity owing to the presence of an interface and free surface. Due to inherent symmetries, the overall analysis can be confined to the positive quadrant of the velocity domain. Illustrations are provided for various obstacle setups that produce trapped modes in diverse ways. Full article
(This article belongs to the Special Issue Recent Developments in Mathematical Fluid Dynamics)
Show Figures

Figure 1

16 pages, 7883 KB  
Article
Topographic Algebraic Rossby Solitary Waves: A Study Using Physics-Informed Neural Networks
by Weiqi Zhang, Quansheng Liu, Liqing Yue and Ruigang Zhang
Atmosphere 2025, 16(11), 1297; https://doi.org/10.3390/atmos16111297 - 17 Nov 2025
Viewed by 371
Abstract
This study explores the influence of topography on Rossby solitary waves by analyzing the dynamics in both inner and outer regions, with solutions matched at the boundary. Using perturbation methods, the Benjamin–Davis–Ono (BDO) equation is derived from the shallow-water equations to characterize the [...] Read more.
This study explores the influence of topography on Rossby solitary waves by analyzing the dynamics in both inner and outer regions, with solutions matched at the boundary. Using perturbation methods, the Benjamin–Davis–Ono (BDO) equation is derived from the shallow-water equations to characterize the amplitude evolution of Rossby algebraic solitary waves. The Physics-Informed Neural Networks (PINNs) method is applied to numerically solve the BDO equation, effectively capturing its nonlinear behavior and simulating the propagation of Rossby algebraic solitary waves under diverse topographic and external conditions. The results demonstrate that variations in key parameters significantly alter topographic effects, thereby impacting the amplitude of solitary waves. These findings provide valuable insights into the potential consequences of global warming and other external disturbances on the behavior of Rossby waves. Full article
(This article belongs to the Section Climatology)
Show Figures

Figure 1

21 pages, 4252 KB  
Article
Improving the Prediction of Land Surface Temperature Using Hyperparameter-Tuned Machine Learning Algorithms
by Anurag Mishra, Anurag Ohri, Prabhat Kumar Singh, Nikhilesh Singh and Rajnish Kaur Calay
Atmosphere 2025, 16(11), 1295; https://doi.org/10.3390/atmos16111295 - 15 Nov 2025
Viewed by 635
Abstract
Land surface temperature (LST) is a critical variable for understanding energy exchanges and water balance at the Earth’s surface, as well as for calculating turbulent heat flux and long-wave radiation at the surface–atmosphere interface. Remote sensing techniques, particularly using satellite platforms like Landsat [...] Read more.
Land surface temperature (LST) is a critical variable for understanding energy exchanges and water balance at the Earth’s surface, as well as for calculating turbulent heat flux and long-wave radiation at the surface–atmosphere interface. Remote sensing techniques, particularly using satellite platforms like Landsat 8 OLI/TIRS and Sentinel-2A, have facilitated detailed LST mapping. Sentinel-2 offers high spatial and temporal resolution multispectral data, but it lacks thermal infrared bands, which Landsat 8 can provide a 30 m resolution with less frequent revisits compared to Sentinel-2. This study employs Sentinel-2 spectral indices as independent variables and Landsat 8-derived LST data as the target variable within a machine-learning framework, enabling LST prediction at a 10 m resolution. This method applies grid search-based hyperparameter-tuned machine learning algorithms—Random Forest (RF), Gradient Boosting Machine (GBM), Support Vector Machine (SVM), and k-Nearest Neighbours (kNN)—to model complex nonlinear relationships between the spectral indices (NDVI, NDWI, NDBI, and BSI) and LST. Grid search, combined with cross-validation, enhanced the model’s prediction accuracy for both pre- and post-monsoon seasons. This approach surpasses earlier methods that either employed untuned models or failed to integrate Sentinel-2 data. This study demonstrates that capturing urban thermal dynamics at fine spatial and temporal scales, combined with tuned machine learning models, can enhance the capability of urban heat island monitoring, climate adaptation planning, and sustainable environmental management models. Full article
(This article belongs to the Special Issue UHI Analysis and Evaluation with Remote Sensing Data (2nd Edition))
Show Figures

Figure 1

25 pages, 10678 KB  
Article
Dynamics of Soliton Solutions to Nonlinear Dynamical Equations in Mathematical Physics: Application of Neural Network-Based Symbolic Methods
by Jan Muhammad, Aljethi Reem Abdullah, Fengping Yao and Usman Younas
Mathematics 2025, 13(21), 3546; https://doi.org/10.3390/math13213546 - 5 Nov 2025
Viewed by 606
Abstract
While recent advances have successfully integrated neural networks with physical models to derive numerical solutions, there remains a compelling need to obtain exact analytical solutions. The ability to extract closed-form expressions from these models would provide deeper theoretical insights and enhanced predictive capabilities, [...] Read more.
While recent advances have successfully integrated neural networks with physical models to derive numerical solutions, there remains a compelling need to obtain exact analytical solutions. The ability to extract closed-form expressions from these models would provide deeper theoretical insights and enhanced predictive capabilities, complementing existing computational techniques. In this paper, we study the nonlinear Gardner equation and the (2+1)-dimensional Zabolotskaya–Khokhlov model, both of which are fundamental nonlinear wave equations with broad applications in various physical contexts. The proposed models have applications in fluid dynamics, describing shallow water waves, internal waves in stratified fluids, and the propagation of nonlinear acoustic beams. This study integrates a modified generalized Riccati equation mapping approach and a novel generalized GG-expansion method with neural networks for obtaining exact solutions for the suggested nonlinear models. Researchers are currently investigating potential applications of these neural networks to enhance our understanding of complex physical processes and to develop new analytical techniques. The proposed strategies incorporate the solutions of the Riccati problem into neural networks. Neural networks are multi-layer computing approaches including activation and weight functions among neurons in input, hidden, and output layers. Here, the solutions of the Riccati equation are allocated to each neuron in the first hidden layer; thus, new trial functions are established. We evaluate the suggested models, which lead to the construction of exact solutions in different forms, such as kink, dark, bright, singular, and combined solitons, as well as hyperbolic and periodic solutions, in order to verify the mathematical framework of the applied methods. The dynamic properties of certain wave-related solutions have been shown using various three-dimensional, two-dimensional, and contour visualizations. This paper introduces a novel framework for addressing nonlinear partial differential equations, with significant potential applications in various scientific and engineering domains. Full article
(This article belongs to the Special Issue New Trends in Nonlinear Dynamics and Nonautonomous Solitons)
Show Figures

Figure 1

14 pages, 4300 KB  
Article
Quantifying the Impact of Significant Wave Height on Mariculture Productivity: An Empirical Study in the Bohai and Yellow Seas
by Zhonghao Yuan, Ning Yu, Jianping Wang, Kaili Han, Xiaoyu Chang, Guiqin Sun, Mingming Zhu, Jinlong Zhu, Yanyan Yang and Huawei Qin
Water 2025, 17(21), 3165; https://doi.org/10.3390/w17213165 - 5 Nov 2025
Viewed by 475
Abstract
Accurately understanding the impact of Significant Wave Height (SWH) on mariculture productivity is crucial for developing a sustainable blue economy and mitigating the effects of increasing marine extreme events under climate change. However, a significant research gap exists in macroscale empirical tools capable [...] Read more.
Accurately understanding the impact of Significant Wave Height (SWH) on mariculture productivity is crucial for developing a sustainable blue economy and mitigating the effects of increasing marine extreme events under climate change. However, a significant research gap exists in macroscale empirical tools capable of quantifying the complex, non-linear, and spatially non-stationary relationships between SWH and mariculture yield. Addressing this, our study focused on the Bohai and Yellow Seas, a critical mariculture region in China. We developed five novel SWH indices (LSDI, MSDI, HSDI, RSI, NDSI) to statistically link SWH with the Unit Area Yield (UAY) using buoy-calibrated ERA5 reanalysis data and regional fishery statistics. Geographically Weighted Regression (GWR) was further employed to uncover the spatial heterogeneity of this relationship. Results demonstrated that the Normalized Difference SWH Index (NDSI) most effectively captured the SWH-UAY relationship (r = 0.61, R2 = 0.37), as its non-linear form integrates the positive effects of low SWH conditions and the negative effects of high SWH conditions. GWR analysis revealed significant spatial non-stationarity, with the SWH impact on yield being stronger in the eastern and southern open waters of the Yellow Sea and weaker in the northern semi-enclosed Bohai Sea. The index framework and spatial analysis method developed in this study provide a transferable tool for quantifying the impact of physical oceanographic processes on mariculture productivity at a macro scale, which can offer a scientific basis for climate-resilient mariculture zoning and adaptive management. Full article
(This article belongs to the Section Water, Agriculture and Aquaculture)
Show Figures

Figure 1

18 pages, 4476 KB  
Article
Storm Surge Dynamics and Mechanisms in the Macao Cross Tidal Channel
by Li Li, Boshuai Zhang, Jiayi Guo, Ye Zhu, Zhiguo He and Yuezhang Xia
J. Mar. Sci. Eng. 2025, 13(11), 2087; https://doi.org/10.3390/jmse13112087 - 3 Nov 2025
Viewed by 514
Abstract
Storm surge dynamics in coastal zones and estuaries are complex, driven by coupled oceanic and terrestrial interactions that enhance the risk of coastal disasters. This study investigates storm surge characteristics and mechanisms in the Macao Cross Tidal Channel (MCTC), located in the Macao [...] Read more.
Storm surge dynamics in coastal zones and estuaries are complex, driven by coupled oceanic and terrestrial interactions that enhance the risk of coastal disasters. This study investigates storm surge characteristics and mechanisms in the Macao Cross Tidal Channel (MCTC), located in the Macao Sea Area (MSA). A tide-surge coupled numerical model was established using the unstructured grid Finite Volume Community Ocean Model (FVCOM). The model was rigorously validated against tide gauge data from Typhoon Hato, demonstrating strong performance, with a skill score of 0.95 and a correlation coefficient exceeding 0.94. The spatiotemporal characteristics and mechanisms of storm surge dynamics in the MCTC were elucidated. The results show that the MCTC’s complex geometry induces a geometric funneling effect, which substantially amplifies the storm surge compared with adjacent locations in the estuary and open sea. During the typhoon period, coastal geomorphology affects winds, tide levels, currents, and waves, which in turn spatially and temporally modulate the storm surge. Wind is the primary driver, but its effect is modulated by nonlinear interactions with waves, including enhanced bottom friction and wave set-down. In isolation, the wind-induced component contributed approximately 106% of the peak total surge. This overestimation quantitatively highlights the critical role of nonlinear interactions, where wave-enhanced bottom friction acts as a major energy sink, and wave set-down directly suppresses the water level at the channel entrance. The individual peak contributions from atmospheric pressure and wave were approximately 5% and 17%, respectively, but these peaks occurred out of phase with the storm surge. Energy transformation analysis based on the Bernoulli principle revealed a distinct conversion from potential to kinetic energy in the constricted transverse waterway, while the longitudinal waterway exhibited a more gradual energy change. These findings enhance the mechanistic understanding of storm surges in complex, constricted estuaries and can inform targeted strategies for coastal hazard mitigation in the Macao region. Full article
(This article belongs to the Section Physical Oceanography)
Show Figures

Figure 1

18 pages, 18175 KB  
Article
Observational Evidence of Distinct Excitation Pathways for Migrating and Non-Migrating Tides in the Mesosphere-Lower Thermosphere During the 2021 Sudden Stratospheric Warming
by Reuben Acheampong Asamoah, Gizaw Mengistu Tsidu, Gemechu Fanta Garuma and Leonard Kofitse Amekudzi
Atmosphere 2025, 16(11), 1254; https://doi.org/10.3390/atmos16111254 - 31 Oct 2025
Viewed by 363
Abstract
We investigate the excitation and variability of migrating and non-migrating diurnal and semi-diurnal tides in the mesosphere and lower thermosphere (MLT) during the 2021 Northern Hemisphere sudden stratospheric warming (SSW). Zonal wind data from MERRA-2 reanalysis are decomposed into tidal components using a [...] Read more.
We investigate the excitation and variability of migrating and non-migrating diurnal and semi-diurnal tides in the mesosphere and lower thermosphere (MLT) during the 2021 Northern Hemisphere sudden stratospheric warming (SSW). Zonal wind data from MERRA-2 reanalysis are decomposed into tidal components using a two-dimensional least-squares harmonic fitting technique. The migrating diurnal tide (DW1) strengthens at low latitudes following the SSW onset, whereas the migrating semi-diurnal tide (SW2) intensifies at high latitudes. Non-migrating diurnal tides (D0, DW2, DW3) arise from nonlinear interactions between DW1 and stationary planetary waves (SPWs), while non-migrating semi-diurnal tides (SW1, SW3) are modulated by stratospheric ozone variability linked to planetary-wave activity. The zonally symmetric semi-diurnal tide (S0) responds primarily to dynamical perturbations associated with the SSW. Eastward non-migrating diurnal tides (DE2, DE3) correlate strongly with total precipitable water vapor (TPWV), indicating tropospheric latent-heat forcing, whereas DE1 exhibits weak coupling. These results reveal distinct, latitude-dependent excitation pathways connecting stratospheric and tropospheric dynamics to tidal variability in the MLT during major SSW events. Full article
(This article belongs to the Special Issue Observations and Analysis of Upper Atmosphere (2nd Edition))
Show Figures

Figure 1

Back to TopTop