Sign in to use this feature.

Years

Between: -

Subjects

remove_circle_outline
remove_circle_outline
remove_circle_outline
remove_circle_outline
remove_circle_outline
remove_circle_outline
remove_circle_outline
remove_circle_outline
remove_circle_outline

Journals

remove_circle_outline
remove_circle_outline
remove_circle_outline
remove_circle_outline

Article Types

Countries / Regions

remove_circle_outline
remove_circle_outline
remove_circle_outline
remove_circle_outline
remove_circle_outline

Search Results (250)

Search Parameters:
Keywords = nonlinear transport equation

Order results
Result details
Results per page
Select all
Export citation of selected articles as:
19 pages, 351 KB  
Article
A Fully Discrete Numerical Scheme for Nonlinear Fractional PDEs with Caputo Derivatives and Fredholm Integral Terms
by Xiaolong Shi and Ruiqi Cai
Fractal Fract. 2026, 10(1), 26; https://doi.org/10.3390/fractalfract10010026 - 4 Jan 2026
Viewed by 158
Abstract
In this work, we propose a nonlinear fractional partial differential equation model incorporating a Caputo fractional derivative in time, a second-order spatial derivative, and a nonlinear Fredholm integral term. This model accounts for memory effects, anomalous diffusion, and nonlocal interactions, offering a more [...] Read more.
In this work, we propose a nonlinear fractional partial differential equation model incorporating a Caputo fractional derivative in time, a second-order spatial derivative, and a nonlinear Fredholm integral term. This model accounts for memory effects, anomalous diffusion, and nonlocal interactions, offering a more realistic description of complex transport phenomena compared to classical integer-order models. To solve the model numerically, we develop a fully discrete scheme that combines Lagrange interpolation-based approximation for the Caputo fractional derivative in time with central difference discretization for the spatial derivative. This approach ensures accuracy and flexibility in handling both the fractional derivative and the nonlinear integral term. A comprehensive convergence and stability analysis is conducted, establishing second-order accuracy in space and nearly second-order accuracy in time. Rigorous error estimates confirm the reliability and robustness of the proposed scheme for practical computations. Finally, a numerical example with a known exact solution is solved to validate the method. Errors are computed in both the L2 and maximum norms, and the temporal and spatial convergence orders are verified. The results, summarized in tables, demonstrate the effectiveness of the fully discrete scheme and underscore the practical utility of the proposed fractional model in complex physical and engineering systems. Full article
Show Figures

Figure 1

20 pages, 3425 KB  
Article
Sensing Through Tissues Using Diffuse Optical Imaging and Genetic Programming
by Ganesh M. Balasubramaniam, Ami Hauptman and Shlomi Arnon
Sensors 2026, 26(1), 318; https://doi.org/10.3390/s26010318 - 3 Jan 2026
Viewed by 355
Abstract
Diffuse optical imaging (DOI) uses scattered light to non-invasively sense and image highly diffuse media, including biological tissues such as the breast and brain. Despite its clinical potential, widespread adoption remains limited because physical constraints, limited available datasets, and conventional reconstruction algorithms struggle [...] Read more.
Diffuse optical imaging (DOI) uses scattered light to non-invasively sense and image highly diffuse media, including biological tissues such as the breast and brain. Despite its clinical potential, widespread adoption remains limited because physical constraints, limited available datasets, and conventional reconstruction algorithms struggle with the strongly nonlinear, ill-posed inverse problem posed by multiple photon scattering. We introduce Diffuse optical Imaging using Genetic Programming (DI-GP), a physics-guided and fully interpretable genetic programming framework for DOI. Grounded in the diffusion equation, DI-GP evolves closed-form symbolic mappings that enable fast and accurate 2-D reconstructions in strongly scattering media. Unlike deep neural networks, Genetic Programming (GP) naturally produces symbolic expressions, explicit rules, and transparent computational pipelines—an increasingly important capability as regulatory and high-stakes domains (e.g., FDA/EMA, medical imaging regulation) demand explainable and auditable AI systems, and where training data are often scarce. DI-GP delivers substantially faster inference and improved qualitative and quantitative reconstruction performance compared to analytical baselines. We validate the approach in both simulations and tabletop experiments, recovering targets without prior knowledge of shape or location at depths exceeding ~25 transport mean-free paths. Additional experiments demonstrate centimeter-scale imaging in tissue-like media, highlighting the promise of DI-GP for non-invasive deep-tissue imaging and its potential as a foundation for practical DOI systems. Full article
Show Figures

Figure 1

42 pages, 1106 KB  
Article
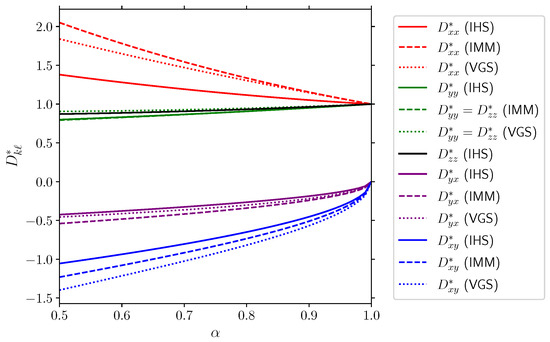
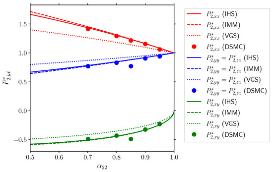
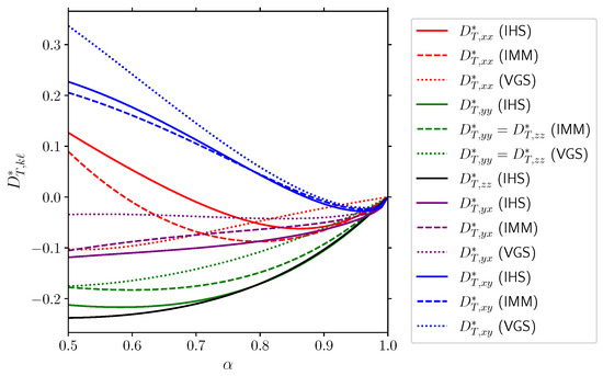
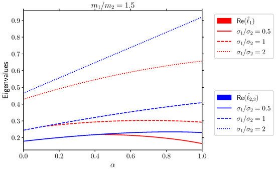
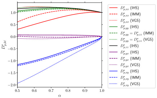
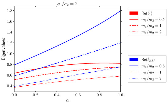
Nonlinear Transport of Tracer Particles Immersed in a Strongly Sheared Dilute Gas with Inelastic Collisions
by David González Méndez and Vicente Garzó
Mathematics 2026, 14(1), 179; https://doi.org/10.3390/math14010179 - 3 Jan 2026
Viewed by 124
Abstract
Nonlinear transport of tracer particles immersed in a sheared dilute gas with inelastic collisions is analyzed within the framework of the Boltzmann kinetic equation. Two different yet complementary approaches are employed to obtain exact results. First, we maintain the structure of the inelastic [...] Read more.
Nonlinear transport of tracer particles immersed in a sheared dilute gas with inelastic collisions is analyzed within the framework of the Boltzmann kinetic equation. Two different yet complementary approaches are employed to obtain exact results. First, we maintain the structure of the inelastic Boltzmann collision operator but consider inelastic Maxwell models (IMMs) instead of the realistic model of inelastic hard spheres (IHS). Using IMMs enables us to compute the collisional moments of the inelastic Boltzmann operator for mixtures without explicitly knowing the velocity distribution functions of the mixture. Second, we consider a kinetic model of the Boltzmann equation for IHS. This kinetic model is based on the equivalence between a gas of elastic hard spheres subjected to a drag force proportional to the particle velocity and a gas of IHS. We solve the Boltzmann–Lorentz kinetic equation for tracer particles using a generalized Chapman–Enskog-like expansion around the shear flow distribution. This reference distribution retains all hydrodynamic orders in the shear rate. The mass flux is obtained to first order in the deviations of the concentration, pressure, and temperature from their values in the reference state. Due to the anisotropy induced in the velocity space by shear flow, the mass flux is expressed in terms of tensorial quantities rather than conventional scalar diffusion coefficients. Unlike the previous results obtained for IHS using different approximations, the results derived in this paper are exact. Generally, the comparison between the IHS results and those found here shows reasonable quantitative agreement, especially for IMM results. This good agreement shows again evidence of the reliability of IMMs for studying rapid granular flows. Finally, we analyze segregation by thermal diffusion as an application of the theory. Phase diagrams illustrating segregation are presented and compared with previous IHS results, demonstrating qualitative agreement. Full article
Show Figures

Figure 1

21 pages, 4282 KB  
Article
Hybrid Nanoparticle Geometry Optimization for Thermal Enhancement in Solar Collectors Using Neural Network Models
by Shahryar Hajizadeh, Payam Jalili and Bahram Jalili
Energies 2026, 19(1), 18; https://doi.org/10.3390/en19010018 - 19 Dec 2025
Viewed by 303
Abstract
This study investigates the thermal transport behavior of a time-dependent viscoelastic nanofluid moving over a widening cylindrical surface. A steady magnetic influence is introduced along the transverse direction due to photonic heating, thermal sources, or absorbers, and modified Fourier conduction. A mixture of [...] Read more.
This study investigates the thermal transport behavior of a time-dependent viscoelastic nanofluid moving over a widening cylindrical surface. A steady magnetic influence is introduced along the transverse direction due to photonic heating, thermal sources, or absorbers, and modified Fourier conduction. A mixture of CoFe2O4 and Fe3O4 nanoparticles are uniformly distributed in ethylene glycol to form a hybrid nanofluid. Using a suitable similarity transformation, the governing equations were reformulated into a set of nonlinear ordinary differential equations. The collocation method (CM) is employed as a discretization approach, combined with feedforward neural networks (FNNs) to enhance computational accuracy. Unsteady patterns in both fluid motion and heat distribution were identified, with the localized Nusselt coefficient influenced by relevant scaling parameters. Results are illustrated through plots and structured data formats for various nanoparticle geometries, including spherical, brick, and platelet forms. The analysis revealed that spherical nanoparticles enhance heat transfer by up to 18–22% compared with brick and platelet forms under strong unsteadiness and relaxation effects. As temporal fluctuation indicators intensify, the thermal distribution increases; however, increasing the relaxation coefficient in the heat response leads to diminished energy levels. Full article
(This article belongs to the Special Issue Advances in Solar Energy and Energy Efficiency—2nd Edition)
Show Figures

Figure 1

18 pages, 2448 KB  
Article
Integrated Numerical Approach to Glyphosate Transport in Soil Profiles Under Farming Conditions
by Jesús García-Gallego, Sebastian Fuentes, Teobaldis Mercado-Fernández, Eusebio Ventura-Ramos, José Treviño-Reséndez, Josué D. García-Espinoza, Carlos Fuentes and Carlos Chávez
Water 2025, 17(24), 3569; https://doi.org/10.3390/w17243569 - 16 Dec 2025
Viewed by 484
Abstract
Glyphosate is the most widely used herbicide in the world for weed control; however, due to lixiviation, wind and runoff effects, an important fraction can reach the soil, aquifers and surface waters, affecting environmental and human health. The behavior of glyphosate in two [...] Read more.
Glyphosate is the most widely used herbicide in the world for weed control; however, due to lixiviation, wind and runoff effects, an important fraction can reach the soil, aquifers and surface waters, affecting environmental and human health. The behavior of glyphosate in two agricultural soils (C1: silty clay texture, and C2: silty loam texture) was analyzed in this study using a laboratory-scale model. Water transfer was modeled with the Richards equation, while glyphosate transport was modeled using the advection–dispersion equation, with both solved using finite difference methods. The glyphosate dispersion coefficient was obtained from laboratory concentration data derived from the soil profile via inverse modeling using a non-linear optimization algorithm. The goals of this study were to (i) quantify glyphosate retention in soils with different physical and chemical properties, (ii) calibrate a numerical model for the estimation of dispersivity and simulation of short- and long-term scenarios, and (iii) assess vulnerability to groundwater contamination. The results showed that C1 retained a greater amount of glyphosate in the soil profile, while C2 was considered more vulnerable as it liberated the contaminant more easily. The model accurately reproduced the measured concentrations, as evidenced by the RMSE and R2 statistics, thus supporting further scenario simulations allowing for prediction of the fate of the herbicide in soils. The approach utilized in this study may be useful as a tool for authorities in environmental fields, enabling better control and monitoring of soil contamination. These findings highlight potential risks of contamination and reinforce the importance of agricultural management strategies. Full article
(This article belongs to the Special Issue Soil and Groundwater Quality and Resources Assessment, 2nd Edition)
Show Figures

Figure 1

25 pages, 1007 KB  
Article
Impact of Cattaneo–Christov Fluxes on Bio-Convective Flow of a Second-Grade Hybrid Nanofluid in a Porous Medium
by Mapule Pheko, Sicelo P. Goqo, Salma Ahmedai and Letlhogonolo Moleleki
AppliedMath 2025, 5(4), 180; https://doi.org/10.3390/appliedmath5040180 - 12 Dec 2025
Viewed by 379
Abstract
This paper investigates the flow of a second-grade hybrid nanofluid through a Darcy–Forchheimer porous medium under Cattaneo–Christov heat and mass flux models. The hybrid nanofluid, composed of alumina and copper nanoparticles in water, enhances thermal and mass transport, while the second-grade model captures [...] Read more.
This paper investigates the flow of a second-grade hybrid nanofluid through a Darcy–Forchheimer porous medium under Cattaneo–Christov heat and mass flux models. The hybrid nanofluid, composed of alumina and copper nanoparticles in water, enhances thermal and mass transport, while the second-grade model captures viscoelastic effects, and the Darcy–Forchheimer medium accounts for both linear and nonlinear drag. Using similarity transformations and the spectral quasilinearisation method, the nonlinear governing equations are solved numerically and validated against benchmark results. The results show that hybrid nanoparticles significantly boost heat and mass transfer, while Cattaneo–Christov fluxes delay thermal and concentration responses, reducing the near-wall temperature and concentration. The distributions of velocity, temperature, concentration, and microorganism density are markedly affected by porosity, the Forchheimer number, the bio-convection Peclet number, and relaxation times. The results illustrate that hybrid nanoparticles significantly increase heat and mass transfer, whereas thermal and concentration relaxation factors delay energy and species diffusion, thickening the associated boundary layers. Viscoelasticity, porous medium resistance, Forchheimer drag, and bio-convection all have an influence on flow velocity and transfer rates, highlighting the subtle link between these mechanisms. These breakthroughs may be beneficial in establishing and enhancing bioreactors, microbial fuel cells, geothermal systems, and other applications that need hybrid nanofluids and non-Fourier/non-Fickian transport. Full article
(This article belongs to the Special Issue Advanced Mathematical Modeling, Dynamics and Applications)
Show Figures

Figure 1

19 pages, 2349 KB  
Article
Enhancing Extrapolation of Buckley–Leverett Solutions with Physics-Informed and Transfer-Learned Fourier Neural Operators
by Yangnan Shangguan, Junhong Jia, Ke Wu, Xianlin Ma, Rong Zhong and Zhenzihao Zhang
Appl. Sci. 2025, 15(24), 13005; https://doi.org/10.3390/app152413005 - 10 Dec 2025
Viewed by 342
Abstract
Accurate modeling of multiphase flow in porous media remains challenging due to the nonlinear transport and sharp displacement fronts described by the Buckley–Leverett (B-L) equation. Although Fourier Neural Operators (FNOs) have recently emerged as powerful surrogates for parametric partial differential equations, they exhibit [...] Read more.
Accurate modeling of multiphase flow in porous media remains challenging due to the nonlinear transport and sharp displacement fronts described by the Buckley–Leverett (B-L) equation. Although Fourier Neural Operators (FNOs) have recently emerged as powerful surrogates for parametric partial differential equations, they exhibit limited robustness when extrapolating beyond the training regime, particularly for shock-dominated fractional flows. This study aims to enhance the extrapolative performance of FNOs for one-dimensional B-L displacement. Analytical solutions were generated using Welge’s graphical method, and datasets were constructed across a range of mobility ratios. A baseline FNO was trained to predict water saturation profiles and evaluated under both interpolation and extrapolation conditions. While the standard FNO accurately reconstructs saturation profiles within the training window, it misestimates shock positions and saturation jumps when extended to longer times or higher mobility ratios. To address these limitations, we develop Physics-Informed FNOs (PI-FNOs), which embed PDE residuals and boundary constraints, and Transfer-Learned FNOs (TL-FNOs), which adapt pretrained operators to new regimes using limited data. Comparative analyses show that both approaches markedly improve extrapolation accuracy, with PI-FNOs achieving the most consistent and physically reliable performance. These findings demonstrate the potential of combining physics constraints and knowledge transfer for robust operator learning in multiphase flow systems. Full article
(This article belongs to the Special Issue Artificial Intelligence (AI) for Energy Systems)
Show Figures

Figure 1

9 pages, 664 KB  
Opinion
Conservation in High-Field Quantum Transport
by Mukunda P. Das and Frederick Green
Condens. Matter 2025, 10(4), 59; https://doi.org/10.3390/condmat10040059 - 27 Nov 2025
Viewed by 312
Abstract
This article provides an overview of the role of microscopic conservation in charge transport at small scales and at driving fields beyond the linear-response limit. As a practical example, we recall the measurement and theory of interband coupling effects in a quantum point [...] Read more.
This article provides an overview of the role of microscopic conservation in charge transport at small scales and at driving fields beyond the linear-response limit. As a practical example, we recall the measurement and theory of interband coupling effects in a quantum point contact driven far from equilibrium. Full article
(This article belongs to the Special Issue New Advances in Condensed Matter Physics, 2nd Edition)
Show Figures

Figure 1

32 pages, 2523 KB  
Article
Hybrid Nanofluid Flow and Heat Transfer in Inclined Porous Cylinders: A Coupled ANN and Numerical Investigation of MHD and Radiation Effects
by Muhammad Fawad Malik, Reem Abdullah Aljethi, Syed Asif Ali Shah and Sidra Yasmeen
Symmetry 2025, 17(11), 1998; https://doi.org/10.3390/sym17111998 - 18 Nov 2025
Viewed by 587
Abstract
This study investigates the thermal characteristics of two hybrid nanofluids, single-walled carbon nanotubes with titanium dioxide (SWCNTTiO2) and multi-walled carbon nanotubes with copper (MWCNTCu [...] Read more.
This study investigates the thermal characteristics of two hybrid nanofluids, single-walled carbon nanotubes with titanium dioxide (SWCNTTiO2) and multi-walled carbon nanotubes with copper (MWCNTCu), as they flow over an inclined, porous, and longitudinally stretched cylindrical surface with kerosene as the base fluid. The model takes into consideration all of the consequences of magnetohydrodynamic (MHD) effects, thermal radiation, and Arrhenius-like energy of activation. The outcomes of this investigation hold practical significance for energy storage systems, nuclear reactor heat exchangers, electronic cooling devices, biomedical hyperthermia treatments, oil and gas transport processes, and aerospace thermal protection technologies. The proposed hybrid ANN–numerical framework provides an effective strategy for optimizing the thermal performance of hybrid nanofluids in advanced thermal management and energy systems. A set of coupled ordinary differential equations is created by applying similarity transformations to the governing nonlinear partial differential equations that reflect conservation of mass, momentum, energy, and species concentration. The boundary value problem solver bvp4c, which is based in MATLAB (R2020b), is used to solve these equations numerically. The findings demonstrate that, in comparison to the MWCNTCu/kerosene nanofluid, the SWCNTTiO2/kerosene hybrid nanofluid improves the heat transfer rate (Nusselt number) by up to 23.6%. When a magnetic field is applied, velocity magnitudes are reduced by almost 15%, and the temperature field is enhanced by around 12% when thermal radiation is applied. The impact of important dimensionless variables, such as the cylindrical surface’s inclination angle, the medium’s porosity, the magnetic field’s strength, the thermal radiation parameter, the curvature ratio, the activation energy, and the volume fraction of nanoparticles, is investigated in detail using a parametric study. According to the comparison findings, at the same flow and thermal boundary conditions, the SWCNTTiO2/kerosene hybrid nanofluid performs better thermally than its MWCNTCu/kerosene counterpart. These results offer important new information for maximizing heat transfer in engineering systems with hybrid nanofluids and inclined porous geometries under intricate physical conditions. With its high degree of agreement with numerical results, the ANN model provides a computationally effective stand-in for real-time thermal system optimization. Full article
(This article belongs to the Special Issue Integral/Differential Equations and Symmetry)
Show Figures

Figure 1

25 pages, 552 KB  
Article
Energy Dynamics of Long-Wave Low-Amplitude Disturbances in an Anharmonic One-Dimensional Lattice
by Stepan Shcherbinin, Julia Baimova and Anton Krivtsov
Materials 2025, 18(22), 5224; https://doi.org/10.3390/ma18225224 - 18 Nov 2025
Viewed by 502
Abstract
We present analytical investigations of evolution of localized disturbances during their propagation in an infinite monoatomic nonlinear one-dimensional lattice, specifically the α-Fermi-Pasta-Ulam (FPU) chain. We focus on two key disturbance characteristics: the position of the energy center and the energy radius. Restricting [...] Read more.
We present analytical investigations of evolution of localized disturbances during their propagation in an infinite monoatomic nonlinear one-dimensional lattice, specifically the α-Fermi-Pasta-Ulam (FPU) chain. We focus on two key disturbance characteristics: the position of the energy center and the energy radius. Restricting our analysis to long-wave low-amplitude disturbances, we investigate the dynamics in the α-FPU chain and its two continuous versions described by the Boussinesq and Korteweg–de Vries (KdV) equations. Utilizing the energy dynamics approach and leveraging the known property of the KdV equation that any localized disturbance eventually decomposes into a set of non-interacting solitons and a dispersive oscillatory tail, we establish a similarity between the behavior of the disturbance in the linear chain and the nonlinear chain under consideration. Namely, at large time scales, the disturbance energy center propagates and the energy radius increases linearly in time, meaning dispersion also occurs at a constant velocity, analogous to the linear case. It was also found that, prior to its decomposition into non-interacting components, a disturbance in the KdV equation generally evolves as if subjected to an effective force from the medium. Furthermore, for two reduced versions of the KdV equation—one lacking the dispersive term and the other lacking the nonlinear term—the energy center of any disturbance moves with constant velocity. These results generalize the behavior observed in harmonic chains to weakly nonlinear systems and provide a unified framework for understanding energy transport. Full article
Show Figures

Figure 1

15 pages, 293 KB  
Article
Relaxed Boundary Conditions in Poisson–Nernst–Planck Models: Identifying Critical Potentials for Multiple Cations
by Xiangshuo Liu, Henri Ndaya, An Nguyen, Zhenshu Wen and Mingji Zhang
Membranes 2025, 15(11), 339; https://doi.org/10.3390/membranes15110339 - 13 Nov 2025
Viewed by 826
Abstract
Ion channels are protein pores that regulate ionic flow across cell membranes, enabling vital processes such as nerve signaling. They often conduct multiple ionic species simultaneously, leading to complex nonlinear transport phenomena. Because experimental techniques provide only indirect measurements of ion channel currents, [...] Read more.
Ion channels are protein pores that regulate ionic flow across cell membranes, enabling vital processes such as nerve signaling. They often conduct multiple ionic species simultaneously, leading to complex nonlinear transport phenomena. Because experimental techniques provide only indirect measurements of ion channel currents, mathematical models—particularly Poisson–Nernst–Planck (PNP) equations—are indispensable for analyzing the underlying transport mechanisms. In this work, we examine ionic transport through a one-dimensional steady-state PNP model of a narrow membrane channel containing multiple cation species of different valences. The model incorporates a small fixed charge distribution along the channel and imposes relaxed electroneutrality boundary conditions, allowing for a slight charge imbalance in the baths. Using singular perturbation analysis, we first derive approximate solutions that capture the boundary-layer structure at the channel—reservoir interfaces. We then perform a regular perturbation expansion around the neutral reference state (zero fixed charge with electroneutral boundary conditions) to obtain explicit formulas for the steady-state ion fluxes in terms of the system parameters. Through this analytical approach, we identify several critical applied potential values—denoted Vka (for each cation species k), Vb, and Vc—that delineate distinct transport regimes. These critical potentials govern the sign of the fixed charge’s influence on each ion’s flux: depending on whether the applied voltage lies below or above these thresholds, a small positive permanent charge will either enhance or reduce the flux of each ion species. Our findings thus characterize how a nominal fixed charge can nonlinearly modulate multi-ion currents. This insight deepens the theoretical understanding of nonlinear ion transport in channels and may inform the interpretation of current–voltage relations, rectification effects, and selective ionic conduction in multi-ion channel experiments. Full article
25 pages, 8667 KB  
Article
An Efficient Method for Simulating High-Velocity Non-Darcy Gas Flow in Fractured Reservoirs Based on Diffusive Time of Flight
by Jingjin Bai, Qingquan Li, Jiazheng Liu, Wenzhuo Zhou and Bailu Teng
Energies 2025, 18(22), 5891; https://doi.org/10.3390/en18225891 - 9 Nov 2025
Viewed by 469
Abstract
In gas reservoirs, high gas velocity causes significant inertial effects, leading to a nonlinear relationship between pressure gradient and velocity, especially near wellbores or fractures. In such cases, Darcy’s law is inadequate, and the Forchheimer equation is commonly used to model nonlinear flow [...] Read more.
In gas reservoirs, high gas velocity causes significant inertial effects, leading to a nonlinear relationship between pressure gradient and velocity, especially near wellbores or fractures. In such cases, Darcy’s law is inadequate, and the Forchheimer equation is commonly used to model nonlinear flow behavior. Although the Forchheimer equation improves simulation accuracy for high-velocity flow in porous media, incorporating it into conventional numerical simulations greatly increases computational time, as nonlinear flow equations must be solved over the entire reservoir. This difficulty is exacerbated in heterogeneous fractured reservoirs, where complex fracture–matrix interactions and localized high-velocity flow complicate solving nonlinear equations. To address this, this work proposes a fast numerical simulation method based on diffusive time of flight (DTOF). By using DTOF as a spatial coordinate, the original three-dimensional flow equations incorporating the Forchheimer equation are reduced to a one-dimensional form, enhancing computational efficiency. DTOF represents the diffusive time for a pressure disturbance from a well to reach a specific reservoir location and can be efficiently computed by solving the Eikonal equation via the fast marching method (FMM). Once the DTOF field is obtained, the three-dimensional problem is transformed into a one-dimensional problem. This dimensionality reduction enables fast and reliable modeling of nonlinear high-velocity gas transport in complex reservoirs. The proposed method’s results show good agreement with those from COMSOL Multiphysics, confirming its accuracy in capturing nonlinear gas flow behavior. Full article
Show Figures

Figure 1

14 pages, 1557 KB  
Article
Enhanced Thermal Performance of Variable-Density Maxwell Nanofluid Flow over a Stretching Sheet Under Viscous Dissipation: A Maritime Technology Perspective
by A. M. Amer, Nourhan I. Ghoneim, Shadi Alghaffari, Mohammad E. Gommosani and Ahmed M. Megahed
Modelling 2025, 6(4), 134; https://doi.org/10.3390/modelling6040134 - 22 Oct 2025
Viewed by 626
Abstract
This scientific research examines the intricate dynamics of Maxwell nanofluid flow across a stretching surface with Stefan blowing impacts, with a particular focus on maritime thermal management applications. The analysis integrates multiple physical phenomena including magnetohydrodynamic forces, the energy dissipation phenomenon, and thermal [...] Read more.
This scientific research examines the intricate dynamics of Maxwell nanofluid flow across a stretching surface with Stefan blowing impacts, with a particular focus on maritime thermal management applications. The analysis integrates multiple physical phenomena including magnetohydrodynamic forces, the energy dissipation phenomenon, and thermal density variations within Darcy porous media. Special attention is given to Stefan blowing’s role in modifying thermal and mass transfer boundary layers. We derive an enhanced mathematical formulation that couples Maxwell fluid properties with nanoparticle transport under combined magnetic and density-gradient conditions. Computational results demonstrate the crucial influence of viscous heating and blowing intensity on thermal performance, with direct implications for naval cooling applications. The reduced governing equations form a nonlinear system that requires robust numerical treatment. We implemented the shooting technique to solve this system, verifying its precision through systematic comparison with established benchmark solutions. The close correspondence between results confirms both the method’s reliability and our implementation’s accuracy. The primary results of this study indicate that raising the Stefan blowing and density parameters causes notable changes in the temperature and concentration fields. The Stefan blowing parameter enhances both temperature and concentration near the wall by affecting thermal diffusion and nanoparticle distribution. In contrast, the density parameter reduces these values because of increased fluid resistance. Full article
Show Figures

Figure 1

18 pages, 5635 KB  
Article
Multi-Soliton Propagation and Interaction in Λ-Type EIT Media: An Integrable Approach
by Ramesh Kumar Vaduganathan, Prasanta K. Panigrahi and Boris A. Malomed
Photonics 2025, 12(10), 1034; https://doi.org/10.3390/photonics12101034 - 19 Oct 2025
Viewed by 519
Abstract
Electromagnetically induced transparency (EIT) is well known as a quantum optical phenomenon that permits a normally opaque medium to become transparent due to the quantum interference between transition pathways. This work addresses multi-soliton dynamics in an EIT system modeled by the integrable Maxwell–Bloch [...] Read more.
Electromagnetically induced transparency (EIT) is well known as a quantum optical phenomenon that permits a normally opaque medium to become transparent due to the quantum interference between transition pathways. This work addresses multi-soliton dynamics in an EIT system modeled by the integrable Maxwell–Bloch (MB) equations for a three-level Λ-type atomic configuration. By employing a generalized gauge transformation, we systematically construct explicit N-soliton solutions from the corresponding Lax pair. Explicit forms of one-, two-, three-, and four-soliton solutions are derived and analyzed. The resulting pulse structures reveal various nonlinear phenomena, such as temporal asymmetry, energy trapping, and soliton interactions. They also highlight coherent propagation, elastic collisions, and partial storage of pulses, which have potential implications for the design of quantum memory, slow light, and photonic data transport in EIT media. In addition, the conservation of fundamental physical quantities, such as the excitation norm and Hamiltonian, is used to provide direct evidence of the integrability and stability of the constructed soliton solutions. Full article
(This article belongs to the Section Quantum Photonics and Technologies)
Show Figures

Figure 1

24 pages, 13931 KB  
Article
Iterative Investigation of the Nonlinear Fractional Cahn–Allen and Fractional Clannish Random Walker’s Parabolic Equations by Using the Hybrid Decomposition Method
by Sarfaraz Ahmed, Ibtisam Aldawish, Syed T. R. Rizvi and Aly R. Seadawy
Fractal Fract. 2025, 9(10), 656; https://doi.org/10.3390/fractalfract9100656 - 11 Oct 2025
Cited by 5 | Viewed by 674
Abstract
In this work, we numerically investigate the fractional clannish random walker’s parabolic equations (FCRWPEs) and the nonlinear fractional Cahn–Allen (NFCA) equation using the Hybrid Decomposition Method (HDM). The analysis uses the Atangana–Baleanu fractional derivative (ABFD) in the Caputo sense, which has a nonsingular [...] Read more.
In this work, we numerically investigate the fractional clannish random walker’s parabolic equations (FCRWPEs) and the nonlinear fractional Cahn–Allen (NFCA) equation using the Hybrid Decomposition Method (HDM). The analysis uses the Atangana–Baleanu fractional derivative (ABFD) in the Caputo sense, which has a nonsingular and nonlocal Mittag–Leffler kernel (MLk) and provides a more accurate depiction of memory and heredity effects, to examine the dynamic behavior of the models. Using nonlinear analysis, the uniqueness of the suggested models is investigated, and distinct wave profiles are created for various fractional orders. The accuracy and effectiveness of the suggested approach are validated by a number of example cases, which also support the approximate solutions of the nonlinear FCRWPEs. This work provides significant insights into the modeling of anomalous diffusion and complex dynamic processes in fields such as phase transitions, biological transport, and population dynamics. The inclusion of the ABFD enhances the model’s ability to capture nonlocal effects and long-range temporal correlations, making it a powerful tool for simulating real-world systems where classical derivatives may be inadequate. Full article
(This article belongs to the Special Issue Applications of Fractional Calculus in Modern Mathematical Modeling)
Show Figures

Figure 1

Back to TopTop