Sign in to use this feature.

Years

Between: -

Subjects

remove_circle_outline
remove_circle_outline
remove_circle_outline
remove_circle_outline
remove_circle_outline
remove_circle_outline
remove_circle_outline
remove_circle_outline
remove_circle_outline

Journals

remove_circle_outline
remove_circle_outline
remove_circle_outline
remove_circle_outline
remove_circle_outline
remove_circle_outline

Article Types

Countries / Regions

remove_circle_outline
remove_circle_outline
remove_circle_outline
remove_circle_outline

Search Results (325)

Search Parameters:
Keywords = nocturnal activity

Order results
Result details
Results per page
Select all
Export citation of selected articles as:
22 pages, 3882 KB  
Article
Construction of a Nocturnal Low-Temperature Tolerance Index for Strawberry and Its Correlation with Yield
by Hongbo Cui, Qingyan Han, Yanni Liu, Qian Zhang, Jun Liu, Jianfeng Wang and Huanyu Zhang
Horticulturae 2026, 12(1), 81; https://doi.org/10.3390/horticulturae12010081 - 9 Jan 2026
Viewed by 65
Abstract
Strawberry is widely cultivated due to its short growth cycle, high yield, and significant profits. In high-latitude cold regions, the planting area of overwintering strawberry has expanded rapidly in recent years. However, although daytime temperatures inside solar greenhouses rise quickly with solar radiation, [...] Read more.
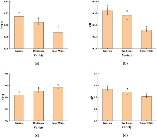
Strawberry is widely cultivated due to its short growth cycle, high yield, and significant profits. In high-latitude cold regions, the planting area of overwintering strawberry has expanded rapidly in recent years. However, although daytime temperatures inside solar greenhouses rise quickly with solar radiation, plants are frequently subjected to persistent nocturnal low-temperature stress (nocturnal temperature below 10 °C). This stress restricts photosynthesis, delays growth, and markedly reduces yield. Therefore, accurately evaluating the tolerance of strawberry varieties to low nocturnal temperatures is crucial for unheated overwintering production in cold regions. This study selected Snow White, Benihoppe, and Kaorino as experimental materials for overwintering cultivation trials in a typical cold-region solar greenhouse. We measured and analyzed growth and development, photosynthetic characteristics, phenological traits, and fruit yield. Based on photosynthetic physiology and phenotypic traits, we constructed the Photosynthesis–Fluorescence Index (PFI), the Production–Phenotype Index (PPI), and the Nocturnal Cold Tolerance Index (NCTI). The results showed that Kaorino exhibited significantly higher values in all three indices compared with Benihoppe and Snow White. After exposure to low night temperatures, Kaorino exhibited rapid photosynthetic induction, strong maintenance of PSII activity, vigorous growth, early maturation, and high yield. Moreover, all three composite indices were strongly and positively correlated with total yield (R2 > 0.97), demonstrating their effectiveness in distinguishing the nocturnal low-temperature tolerance of strawberry cultivars. These composite indices provide a scientifically robust method for selecting suitable cultivars for unheated overwinter strawberry production in high-latitude cold regions. Full article
(This article belongs to the Section Vegetable Production Systems)
Show Figures

Figure 1

38 pages, 2813 KB  
Article
Long COVID Does Not Impair Hemodynamic, Vascular, or Autonomic Responses to Maximal Exercise: Sex-Stratified Study in Young Adults
by Carla Nascimento dos Santos Rodrigues, Fernanda Rico Angelotto, Vitória Luiz Diotto, Daniel da Motta Cristofoletti, Tatiana Oliveira Passos de Araújo, Marco Antonio de Lima, José Campanholi Neto, Jonato Prestes, James Navalta and Guilherme Borges Pereira
J. Pers. Med. 2026, 16(1), 38; https://doi.org/10.3390/jpm16010038 - 7 Jan 2026
Viewed by 206
Abstract
Background/Objectives: Long COVID (LC) has been linked to fatigue, exercise intolerance, and autonomic dysfunction, but sex-stratified data on cardiovascular responses to maximal exercise—an essential component of personalized medicine—are scarce. This study aimed to examine hemodynamic, autonomic, and functional responses during and up [...] Read more.
Background/Objectives: Long COVID (LC) has been linked to fatigue, exercise intolerance, and autonomic dysfunction, but sex-stratified data on cardiovascular responses to maximal exercise—an essential component of personalized medicine—are scarce. This study aimed to examine hemodynamic, autonomic, and functional responses during and up to 24 h after a cardiopulmonary exercise test (CPET) in young adults with and without Long COVID (LC). Methods: In this cross-sectional study, we assessed 38 physically active adults, who were allocated into four subgroups stratified by clinical condition (LC or control) and biological sex: control–female (CON-F; n = 10), LC–female (LC-F; n = 10), control–male (CON-M; n = 10), and LC–male (LC-M; n = 8). Outcomes included systolic (SBP) and diastolic blood pressure (DBP), heart rate (HR), cardiac output (CO), total (TPR) and peripheral vascular resistance (PVR), pulse wave velocity (PWV), augmentation index (AIx@75), and heart rate variability (HF, LF, LF/HF), assessed at rest, peak effort, recovery (1, 3, 5, 10, 30, and 60 min), and through 24 h ambulatory blood pressure monitoring (ABPM) after CPET. Results: SBP increase appropriately during exercise, with higher peaks in males (p < 0.01), and returned to baseline within 5 min across all groups. HR recovery was preserved; however, LC-F showed lower values than CON-F at 3, 5, and 10 min (126 vs. 144 bpm, p = 0.020; 119 vs. 136 bpm, p = 0.020; 94 vs. 109 bpm, p = 0.011), though all groups normalized by 60 min. PWV, AIx@75, TPR and PVR exhibited expected sex-related patterns without LC-related impairments. HRV indices showed transient post-exercise shifts (HF↓, LF↑, LF/HF↑). Ambulatory monitoring confirmed preserved circadian modulation, with normal systolic dipping (11–13%) and no abnormal nocturnal patterns. Conclusions: Young physically active adults with LC showed preserved hemodynamic, autonomic, and vascular responses during and after maximal exercise. These findings contribute to personalized medicine by showing that individualized, sex-stratified cardiovascular assessments reveal no clinically relevant impairments in this population, supporting tailored clinical decision making and exercise prescription. Full article
Show Figures

Figure 1

18 pages, 1050 KB  
Review
Therapeutic Antibodies in Hematology: Advances in Malignant and Non-Malignant Disorders
by Hiroshi Yasui, Masashi Idogawa, Tadao Ishida and Kohzoh Imai
Cells 2026, 15(1), 46; https://doi.org/10.3390/cells15010046 - 25 Dec 2025
Viewed by 591
Abstract
Therapeutic antibodies have revolutionized hematology, offering targeted and effective treatments for both malignant and non-malignant diseases. In hematologic malignancies, anti-CD20, anti-CD19, anti-CD38, and anti–B-cell maturation antigen (BCMA) antibodies have markedly improved survival outcomes, whereas antibody–drug conjugates and bispecific antibodies continue to expand therapeutic [...] Read more.
Therapeutic antibodies have revolutionized hematology, offering targeted and effective treatments for both malignant and non-malignant diseases. In hematologic malignancies, anti-CD20, anti-CD19, anti-CD38, and anti–B-cell maturation antigen (BCMA) antibodies have markedly improved survival outcomes, whereas antibody–drug conjugates and bispecific antibodies continue to expand therapeutic possibilities. Besides cancer, complement inhibitors such as eculizumab, ravulizumab, and the recently approved crovalimab have redefined paroxysmal nocturnal hemoglobinuria and atypical hemolytic uremic syndrome management, and the bispecific antibody emicizumab has transformed prophylaxis in hemophilia A. Furthermore, novel antibody formats such as the trifunctional anti-CD38 × CD3 antibody (Tri-31C2) exhibit enhanced anti-myeloma activity compared to chimeric CD38 antibodies, underscoring the future potential of T-cell–redirecting designs. This review summarizes key developments in therapeutic antibodies for hematological disorders, their action mechanisms, and emerging strategies to further optimize their efficacy and safety. Full article
Show Figures

Figure 1

13 pages, 706 KB  
Review
Late-Night Feeding, Sleep Disturbance, and Nocturnal Congestion Mediated by Hyperglycemia, Renal Sodium Retention, and Cortisol: A Narrative Review
by Ronald B. Brown
Clocks & Sleep 2026, 8(1), 1; https://doi.org/10.3390/clockssleep8010001 - 24 Dec 2025
Viewed by 1899
Abstract
Late-night feeding, defined in the present review as feeding after 8:00 pm when evening insulin secretion and sensitivity are low, is increasingly prevalent in Western society and is recognized as a disruptor of metabolic homeostasis. Yet health problems related to late-night feeding are [...] Read more.
Late-night feeding, defined in the present review as feeding after 8:00 pm when evening insulin secretion and sensitivity are low, is increasingly prevalent in Western society and is recognized as a disruptor of metabolic homeostasis. Yet health problems related to late-night feeding are largely ignored in time-restricted feeding studies that generally do not extend past an 8:00 pm feeding window. This paper proposes a novel cascade linking late-night hyperglycemia with sleep disturbances and nasal congestion mediated by renal sodium retention, increased plasma osmolarity, and stress hormone release by hypothalamic–pituitary–adrenal axis activation. The narrative describes the circadian decline in insulin sensitivity, which amplifies postprandial glucose surges following late-night feeding. Elevated glucose levels drive renal glucose reabsorption via sodium–glucose cotransporters, promoting sodium retention independent of insulin. Increased sodium retention raises extracellular osmolarity, activating hypothalamic osmoreceptors and stimulating the hypothalamic–pituitary–adrenal axis. Cortisol release promotes alertness, while fluid retention and mucosal edema contribute to nasal congestion and early waking. Supine fluid redistribution during sleep further exacerbates airway narrowing, increasing the risk of sleep fragmentation and obstructive sleep apnea. The present paper fills a gap in current time-restricted feeding literature by integrating renal, osmotic, and neuroendocrine pathways that may be overlooked as underlying mechanisms of dysregulated glucose control and hormone dysfunction. Reviewed evidence suggests that symptoms such as nocturnal congestion and sleep disruption are not merely incidental to late-night feeding but frame late night feeding as a risk factor with underlying physiological stressors that could contribute to cardiometabolic risk. Full article
(This article belongs to the Section Human Basic Research & Neuroimaging)
Show Figures

Figure 1

31 pages, 2989 KB  
Article
Percentile-Based Outbreak Thresholding for Machine Learning-Driven Pest Forecasting in Rice (Oryza sativa L.) Farming: A Case Study on Rice Black Bug (Scotinophara coarctata F.) and the White Stemborer (Scirpophaga innotata W.)
by Gina D. Balleras, Sailila E. Abdula, Cristine G. Flores and Reymark D. Deleña
Sustainability 2026, 18(1), 182; https://doi.org/10.3390/su18010182 - 24 Dec 2025
Viewed by 605
Abstract
Rice (Oryza sativa L.) production in the Philippines remains highly vulnerable to recurrent outbreaks of the Rice Black Bug (RBB; Scotinophara coarctata F.) and White Stemborer (WSB; Scirpophaga innotata W.), two of the most destructive pests in Southeast Asian rice ecosystems. Classical [...] Read more.
Rice (Oryza sativa L.) production in the Philippines remains highly vulnerable to recurrent outbreaks of the Rice Black Bug (RBB; Scotinophara coarctata F.) and White Stemborer (WSB; Scirpophaga innotata W.), two of the most destructive pests in Southeast Asian rice ecosystems. Classical economic threshold levels (ETLs) are difficult to estimate in smallholder settings due to the lack of cost–loss data, often leading to either delayed or excessive pesticide application. To address this, the present study developed an adaptive outbreak-forecasting framework that integrates the Number–Size (N–S) fractal model with machine learning (ML) classifiers to define and predict pest regime transitions. Seven years (2018–2024) of light-trap surveillance data from the Philippine Rice Research Institute–Midsayap Experimental Station were combined with daily climate variables from the NASA POWER database, including air temperature, humidity, precipitation, wind, soil moisture, and lunar phase. The N–S fractal model identified natural breakpoints in the log–log cumulative frequency of pest counts, yielding early-warning and severe-outbreak thresholds of 134 and 250 individuals for WSB and 575 and 11,383 individuals for RBB, respectively. Eight ML algorithms such as Logistic Regression, Decision Tree, Random Forest, Support Vector Machine, Balanced Bagging, LightGBM, XGBoost, and CatBoost were trained on variance-inflation-filtered climatic and temporal predictors. Among these, CatBoost achieved the highest predictive performance for WSB at the 94.3rd percentile (accuracy = 0.932, F1 = 0.545, ROC–AUC = 0.957), while Logistic Regression performed best for RBB at the 75.1st percentile (F1 = 0.520, ROC–AUC = 0.716). SHAP (SHapley Additive exPlanations) analysis revealed that outbreak probability increases under warm nighttime temperatures, high surface soil moisture, moderate humidity, and calm wind conditions, with lunar phase exerting additional modulation of nocturnal pest activity. The integrated fractal–ML approach thus provides a statistically defensible and ecologically interpretable basis for adaptive pest surveillance. It offers an early-warning system that supports data-driven integrated pest management (IPM), reduces unnecessary pesticide use, and strengthens climate resilience in Philippine rice ecosystems. Full article
(This article belongs to the Special Issue Advanced Agricultural Economy: Challenges and Opportunities)
Show Figures

Figure 1

15 pages, 875 KB  
Article
Heat-Treated Limosilactobacillus fermentum PS150 Improves Sleep Quality with Severity-Dependent Benefits: A Randomized, Placebo-Controlled Trial
by Mon-Chien Lee, Chao-Yuan Chen, Ching-Yun Chen and Chi-Chang Huang
Nutrients 2026, 18(1), 14; https://doi.org/10.3390/nu18010014 - 19 Dec 2025
Viewed by 537
Abstract
Background: Insomnia is prevalent and difficult to treat safely over the long term. Given the role of the microbiota–gut–brain axis in melatonin and hypothalamic–pituitary–adrenal (HPA) regulation, and preclinical evidence for Limosilactobacillus fermentum PS150, we evaluated whether a heat-treated formulation (HT-PS150) could improve [...] Read more.
Background: Insomnia is prevalent and difficult to treat safely over the long term. Given the role of the microbiota–gut–brain axis in melatonin and hypothalamic–pituitary–adrenal (HPA) regulation, and preclinical evidence for Limosilactobacillus fermentum PS150, we evaluated whether a heat-treated formulation (HT-PS150) could improve sleep and modulate endocrine/circadian markers in adults with poor sleep. Methods: In a randomized, double-blind, placebo-controlled trial, 84 adults aged 20–60 years with PSQI ≥ 5 and ISI < 22 were assigned to receive either placebo or HT-PS150 for eight weeks. Outcomes included patient-reported sleep (PSQI, ISI), anxiety/depression (GAD-7, PHQ-9), quality of life (QLESQ-SF), gastrointestinal symptoms (VAS-GI), wrist actigraphy (Fitbit Inspire 3), and sleep-relevant biomarkers measured from urine, saliva, and/or blood samples (melatonin, cortisol, orexin, serotonin, GABA, and/or norepinephrine). Repeated measures were analyzed using generalized estimating equations. An exploratory proportional regulation analysis classified individual biomarker changes as up- or down-regulated and compared proportions between study arms. Per-protocol analyses required ≥80% compliance. Results: Improvements in the primary outcomes, PSQI and ISI, were observed over time in both groups, while no significant group × time interactions were detected. In exploratory proportional analyses, a higher proportion of participants in the HT-PS150 group exhibited up-regulated nocturnal melatonin secretion and improved daytime plasma orexin levels, as well as a tendency toward greater reductions in nocturnal salivary cortisol compared with placebo. In subgroup analyses with higher baseline insomnia severity (ISI ≥ 8), HT-PS150 was associated with greater improvements in PSQI (notably sleep duration and efficiency) and reduction in anxiety (GAD-7) upon post hoc testing. Conclusions: Although group mean scores on sleep symptom scales did not differ significantly in the full cohort, HT-PS150 appeared to modulate sleep–wake regulation by enhancing nocturnal melatonin secretion, attenuating HPA-axis activity, and stabilizing wakefulness. Clinical benefits were most evident among participants with greater baseline symptom burden, suggesting potential utility in more symptomatic populations. Full article
Show Figures

Figure 1

22 pages, 567 KB  
Review
Current and Emerging Technologies for Continuous Intraocular Pressure Monitoring in the Control of Glaucoma Progression: A Scoping Review
by Daniel Monsálvez-Romín, Noelia Martínez-Albert, Mari Carmen García-Domene and Susana Ortí-Navarro
J. Clin. Med. 2025, 14(24), 8795; https://doi.org/10.3390/jcm14248795 - 12 Dec 2025
Viewed by 681
Abstract
Background/Objectives: Glaucoma affects over 70 million people worldwide and is a major cause of irreversible blindness, with elevated intraocular pressure (IOP) as the only modifiable risk factor. Conventional techniques like Goldmann applanation tonometry (GAT) are widely used but cannot provide continuous or nocturnal [...] Read more.
Background/Objectives: Glaucoma affects over 70 million people worldwide and is a major cause of irreversible blindness, with elevated intraocular pressure (IOP) as the only modifiable risk factor. Conventional techniques like Goldmann applanation tonometry (GAT) are widely used but cannot provide continuous or nocturnal monitoring, limiting the detection of pressure peaks relevant to disease progression. Emerging technologies, including home-based devices, wearable sensors, such as contact lens-based sensors (CLBS), and implantable biomedical microelectromechanical systems (bioMEMS), offer more comprehensive and continuous assessment of IOP patterns. Thus, this scoping review aimed to map the available evidence on technologies for continuous IOP monitoring, summarizing their performance and agreement with traditional tonometry. Methods: A systematic search of electronic databases was conducted to identify studies published in the last 10 years evaluating self-tonometry devices, CLBS, or implantable systems designed for continuous IOP monitoring. Two reviewers independently screened articles, applied eligibility criteria, charted relevant data, including device characteristics and agreement with GAT, and reported clinical applications. Results: Self-tonometry devices demonstrated generally good agreement with GAT while enabling patients to monitor IOP outside clinical settings. These devices provided valuable information on diurnal and nocturnal IOP fluctuations, especially in individuals with rapid progression or those undergoing postoperative follow-up. BioMEMS-based wearable and implantable sensors showed promise for continuous long-term monitoring and revealed previously unrecognized fluctuation patterns, including activity-related changes. Conclusions: Emerging IOP-monitoring technologies appear to complement standard clinical methods by offering more detailed IOP profiles. Their integration into clinical practice may support individualized risk assessment and improved management of glaucoma progression. Full article
(This article belongs to the Section Ophthalmology)
Show Figures

Figure 1

17 pages, 2190 KB  
Article
Spatiotemporal Niche Differentiation of Ungulates in the Southwest Mountains, China
by Qingsong Jiang, Hangshu Xiao, Huaqiang Zhou, Ying Li, Jinghui Fu, Assan Meshach, Qiuxian Li, Liwen Kang, Li Yan, Yixin Shu, Jing Zhang, Zejun Zhang, Mingsheng Hong and Jianmei Xie
Animals 2025, 15(23), 3490; https://doi.org/10.3390/ani15233490 - 3 Dec 2025
Viewed by 462
Abstract
Spatiotemporal niche differentiation plays a critical role in facilitating mutual adaptation and sustaining coexistence among sympatric species. We investigated these patterns in sympatric ungulates through an infrared camera trap survey conducted in the Kazila Mountain region of southwestern China from July 2023 to [...] Read more.
Spatiotemporal niche differentiation plays a critical role in facilitating mutual adaptation and sustaining coexistence among sympatric species. We investigated these patterns in sympatric ungulates through an infrared camera trap survey conducted in the Kazila Mountain region of southwestern China from July 2023 to May 2025. A total of seven species were recorded across 54 camera sites, with tufted deer (Elaphodus cephalophus) being the most frequently detected, while forest musk deer (Moschus berezovskii) and Chinese goral (Naemorhedus griseus) were the least. Nocturnality indices (β > 0.54 indicating nocturnal, β < 0.54 indicating diurnal, and β = 0.54 indicating no distinct diel preference) revealed significant differences in activity patterns among the five species. Tufted deer (β = 0.415), alpine musk deer (Moschus chrysogaster) (β = 0.438), and wild boar (Sus scrofa) (β = 0.234) were predominantly diurnal. In contrast, sambar (Rusa unicolor) (β = 0.571) was nocturnal, while the Chinese serow (Capricornis milneedwardsii) (β = 0.534) showed no strong diel preference. Nine of ten species pairs exhibited significant diel rhythm differences, with the exception of sambar-Chinese serow, and these rhythms showed marked seasonal variation, particularly in tufted deer, Chinese serow, and sambar. Temporal overlap was generally higher in the cold season for seven species pairs, suggesting that such overlap may be related to resource availability and increased interspecific competition under harsher conditions. Pianka’s overlap index (Oik) (ranging from 0 to 1, where 0 indicates no overlap and 1 indicates complete overlap) was used to assess spatial niche overlap, with values ranging from 0.16 (alpine musk deer–wild boar) to 0.86 (tufted deer–wild boar). Spatial autocorrelation and clustering analysis showed that tufted deer exhibited significant positive spatial autocorrelation, indicating a clustered high-value distribution, while the other species were randomly distributed. Spatial hotspot analysis revealed substantial overlap between tufted deer and wild boar, while the remaining species showed higher levels of spatial segregation. Collectively, these results suggest that seasonal variation in activity patterns, coupled with spatial segregation, mitigates interspecific competition and supports the stable sympatric coexistence of ungulates in this montane ecosystem. Full article
(This article belongs to the Section Wildlife)
Show Figures

Figure 1

29 pages, 2488 KB  
Article
SILDSO: Dynamic Switching Optimization Scheme for Solar Insecticidal Lamp Based on Multi-Pest Phototactic Rhythm
by Heyang Yao, Lei Shu, Xing Yang, Kailiang Li and Miguel Martínez-García
Sensors 2025, 25(23), 7332; https://doi.org/10.3390/s25237332 - 2 Dec 2025
Viewed by 334
Abstract
Grain crops are regarded as fundamental to China’s agricultural production and food security. Effective control of nocturnal phototactic pests is essential for ensuring crop yields and achieving sustainable agricultural development. However, traditional solar insecticidal lamps often suffer from low energy utilization efficiency, dynamic [...] Read more.
Grain crops are regarded as fundamental to China’s agricultural production and food security. Effective control of nocturnal phototactic pests is essential for ensuring crop yields and achieving sustainable agricultural development. However, traditional solar insecticidal lamps often suffer from low energy utilization efficiency, dynamic switching control schemes, and poor adaptability in multi-pest coexistence scenarios. A multi-period intelligent switching control optimization scheme based on integrating a multi-pest phototactic rhythm is proposed, focusing on Cnaphalocrocis medinalis and Chilo suppressalis in rice fields. By considering the phototactic behavioral rhythm, energy consumption patterns, and residual energy levels, the proposed scheme dynamically optimizes the switching cycles of solar insecticidal lamps to maximize pest control effectiveness and energy efficiency. The rhythm modeling approach and dynamic adjustment mechanisms are employed to accurately align insecticidal working hours with varying pest activity patterns, thereby improving the pest control effectiveness of IoT-based solar insecticidal lamps. Simulation experiments demonstrate that, compared to traditional switching control schemes, the dynamic switching control scheme improves the average insecticidal rate by 17.7%, increases the effective insecticidal energy efficiency value by approximately 66.1%, and enhances the energy utilization rate by about 38.5%. The proposed dynamic switching control and intelligent energy management scheme not only improves the precision of pest control and energy utilization but also promotes the more efficient application of networked solar insecticidal lamps in smart agriculture. This work provides theoretical support and practical reference for intelligent pest control in complex agricultural environments, promoting the precision and sustainability of pest management practices. Full article
(This article belongs to the Special Issue Wireless Sensor Networks in Industrial/Agricultural Environments)
Show Figures

Figure 1

16 pages, 2936 KB  
Article
New Insight into the Identification and Activity Pattern of Asiatic Black Bear in a Protected Area of Northeastern Bangladesh
by Raf Ana Rabbi Shawon, Md. Matiur Rahman, Md Mehedi Iqbal, Haris Debbarma and Junji Moribe
Ecologies 2025, 6(4), 83; https://doi.org/10.3390/ecologies6040083 - 2 Dec 2025
Viewed by 793
Abstract
The monitoring of wildlife habitats is crucial for effective conservation efforts, particularly where biodiversity faces significant threats. This study aimed to monitor the biodiversity of wild mammals in a protected area (PA) of Northeastern Bangladesh, with a particular focus on detecting previously unrecorded [...] Read more.
The monitoring of wildlife habitats is crucial for effective conservation efforts, particularly where biodiversity faces significant threats. This study aimed to monitor the biodiversity of wild mammals in a protected area (PA) of Northeastern Bangladesh, with a particular focus on detecting previously unrecorded species using camera traps. We deployed nine camera traps across 19 locations inside the PAs of Satchari National Park (SNP) from May 2024 to April 2025. Further, the camera-trap data were analyzed to evaluate the existing wild mammals, along with their activity patterns and seasonal variations, in SNP. Our study identified the Asiatic black bear in SNP for the first time, representing a significant contribution to biodiversity records of Bangladesh. Among the other frequently documented wild mammals were the wild boar, northern pig-tailed macaque, and barking deer, whereas less commonly detected species included the crab-eating mongoose and jungle cat. Activity pattern analysis of Asiatic black bear revealed a predominantly nocturnal-to-crepuscular behavior, with distinct bimodal peaks during early morning and evening. The present study showed that the Asiatic black bear was active in pre-monsoon and winter; however, it was absent during the rainy season, suggesting seasonal habitat use or detectability challenges. This is the first study to confirm the presence of Asiatic black bears in PAs of SNP using camera traps. These findings also highlight the importance of long-term biodiversity monitoring for continued conservation efforts to protect the diverse wildlife of SNP. The detection of previously undocumented wild mammals highlights the ecological importance of SNP, urging authorities to tighten the ongoing conservation initiatives. Understanding the diel and seasonal activity patterns would instruct the timing of conservation and habitat management strategies. This study also makes the integration of camera-trap monitoring into long-term biodiversity management to guide evidence-based conservation policies in Bangladesh’s PAs. Full article
Show Figures

Graphical abstract

17 pages, 2903 KB  
Article
Ontogeny of Melatonin Secretion and Functional Maturation of the Pineal Gland in the Embryonic Turkey (Meleagris gallopavo)
by Magdalena Prusik
Animals 2025, 15(23), 3437; https://doi.org/10.3390/ani15233437 - 28 Nov 2025
Viewed by 358
Abstract
The pineal gland is a key component of the avian circadian system, responsible for melatonin (MLT) secretion that reflects and regulates daily rhythmicity. While the post-hatching turkey is known for its highly sensitive and efficient pineal system, the functional development of this gland [...] Read more.
The pineal gland is a key component of the avian circadian system, responsible for melatonin (MLT) secretion that reflects and regulates daily rhythmicity. While the post-hatching turkey is known for its highly sensitive and efficient pineal system, the functional development of this gland during embryogenesis has not been described. To determine the measurable onset and regulation of MLT secretion, pineal glands from turkey embryos aged 22, 24, and 26 days (ED 22–26) were incubated in a superfusion culture under various light conditions and with or without norepinephrine (NE). MLT concentrations in the medium were measured by radioimmunoassay. Under the experimental conditions, MLT secretion was first reliably measurable at ED 22 and increased thereafter toward hatching. Under a 12L:12D cycle, pinealocytes exhibited a stable circadian rhythm with a fourfold amplitude between night and day. The glands adapted to a reversed light–dark cycle and responded strongly to a 3 h nocturnal light pulse with a 30% decrease in MLT levels. Rhythmic MLT secretion persisted under constant light or darkness, indicating an active endogenous oscillator. NE markedly suppressed MLT secretion in all embryos, confirming the early development of adrenergic regulation. Thus, by ED 22 the embryonic turkey pineal exhibits photosensitivity, endogenous rhythmicity, and NE responsiveness, although secretion at earlier stages cannot be excluded due to detection limits. These results fill a gap in understanding avian pineal ontogeny and establish the turkey embryo as a good model for studying the early development of circadian regulation in birds. Full article
(This article belongs to the Special Issue Chronophysiology and Body Temperature Homeostasis in Domestic Animals)
Show Figures

Figure 1

20 pages, 2187 KB  
Article
Redox on the Clock: Sex-Dependent Dynamics of Xanthine Oxidoreductase Isoforms and Melatonin
by Elżbieta Cecerska-Heryć, Martyn Zoń, Marta Budkowska, Natalia Serwin, Anna Michalczyk, Małgorzata Goszka, Aleksandra Polikowska, Bartosz Wojciuk and Barbara Dołęgowska
Int. J. Mol. Sci. 2025, 26(23), 11272; https://doi.org/10.3390/ijms262311272 - 21 Nov 2025
Cited by 1 | Viewed by 601
Abstract
Melatonin, a key regulator of the circadian rhythm, exerts strong antioxidant effects by scavenging reactive oxygen species (ROS) and modulating enzymatic redox balance. Xanthine oxidoreductase (XOR), a molybdenum- and iron–sulfur-containing enzyme, catalyzes the oxidation of hypoxanthine to xanthine and xanthine to uric acid—the [...] Read more.
Melatonin, a key regulator of the circadian rhythm, exerts strong antioxidant effects by scavenging reactive oxygen species (ROS) and modulating enzymatic redox balance. Xanthine oxidoreductase (XOR), a molybdenum- and iron–sulfur-containing enzyme, catalyzes the oxidation of hypoxanthine to xanthine and xanthine to uric acid—the final steps of purine catabolism—serving as an important enzymatic source of ROS under physiological conditions. XOR exists in three interconvertible isoforms: xanthine dehydrogenase (XDH), which uses NAD+ as an electron acceptor; xanthine oxidase (XO), which transfers electrons to oxygen, producing superoxide and hydrogen peroxide; and an intermediate form (XDO) that reflects the redox-dependent interconversion between the two. This study aimed to evaluate temporal and sex-dependent variations in XOR isoforms and their relationship with melatonin levels in healthy individuals. Sixty-six volunteers (33 women aged 24–38 and 33 men aged 24–44) were examined. Blood samples were collected at 02:00, 08:00, 14:00, and 20:00. Serum melatonin was measured using ELISA, and XOR isoform activities were determined spectrophotometrically. Melatonin exhibited a precise 24 h rhythm with a nocturnal peak at 02:00 (~98 pg/mL) and a daytime nadir at 14:00 (~9 pg/mL). XO activity varied significantly (p < 0.01), showing an inverse correlation with melatonin in men (ρ = −0.52, p = 0.006), while XDO activity correlated positively with melatonin in women at 14:00 (ρ = 0.48, p = 0.01). These findings indicate sex-specific and time-dependent regulation of XOR isoforms, suggesting that redox homeostasis is modulated differently in men and women throughout the day. Understanding these dynamics may refine the interpretation of oxidative stress biomarkers and help optimize diagnostic and chronotherapeutic approaches in redox-related disorders. Full article
(This article belongs to the Special Issue Molecular Mechanism of Circadian Rhythm)
Show Figures

Figure 1

19 pages, 2796 KB  
Article
Real-Time Physiological Activity and Sleep State Monitoring System Using TS2Vec Embeddings and DBSCAN Clustering for Heart Rate and Motor Response Analysis in IoMT
by Arifin Arifin, Harmiati Harbi, Andi Silvia Indriani, Ida Laila, Bualkar Abdullah, Alridho, Irfan Idris and Jalu Ahmad Prakosa
Signals 2025, 6(4), 67; https://doi.org/10.3390/signals6040067 - 17 Nov 2025
Viewed by 865
Abstract
Monitoring physiological activity and sleep states in real time is challenging, particularly for continuous assessment in daily life settings using wearable IoMT devices. We developed a 24 h wearable system that integrates electrocardiogram (ECG) electrodes for heart rate measurement and a glove-mounted flex [...] Read more.
Monitoring physiological activity and sleep states in real time is challenging, particularly for continuous assessment in daily life settings using wearable IoMT devices. We developed a 24 h wearable system that integrates electrocardiogram (ECG) electrodes for heart rate measurement and a glove-mounted flex sensor for motor responses, connected through an Internet of Medical Things (IoMT) platform. Flex signals were combined using principal component analysis (PCA) to generate a single kinematic channel, then standardized with heart rate. Time-series windows were embedded using TS2Vec and clustered with DBSCAN, while t-SNE was applied only for visualization. The framework identified four physiologically coherent states: (i) nocturnal sleep with the lowest heart rate and minimal motion, (ii) evening pre-sleep with low movement and moderately higher heart rate, (iii) daytime activity with variable motion and mid-range heart rate, and (iv) late-day high-intensity activity with the highest heart rate and increased motor responses. A few outliers were observed during transient body movements or sensor readjustments, which were identified and excluded during preprocessing to ensure stable clustering results. Across 24 h, heart rate ranged from 52 to 96 bpm (mean 77.4), while flexion spanned 0 to 165° (mean 52.5°), showing alignment between movement intensity and cardiac response. This integrated sensing and analytics pipeline provides an interpretable, subject-specific state map that enables continuous remote monitoring of physiological activity and sleep patterns. Full article
Show Figures

Figure 1

29 pages, 11531 KB  
Article
Influence of Urban Greenery on Microclimate Across Temporal and Spatial Scales
by Isidora Simović, Mirjana Radulović, Jelena Dunjić, Stevan Savić and Ivan Šećerov
Forests 2025, 16(11), 1729; https://doi.org/10.3390/f16111729 - 14 Nov 2025
Viewed by 513
Abstract
This study investigates the influence of urban greenery on microclimate conditions in Novi Sad, a city characterized by a temperate oceanic climate, by integrating high-resolution remote sensing data with in situ measurements from 12 urban climate stations. Sentinel-2 imagery was used to capture [...] Read more.
This study investigates the influence of urban greenery on microclimate conditions in Novi Sad, a city characterized by a temperate oceanic climate, by integrating high-resolution remote sensing data with in situ measurements from 12 urban climate stations. Sentinel-2 imagery was used to capture vegetation patterns, including tree lines and small green patches, while air temperature data were collected across two climatically contrasting years. Vegetation extent and structural characteristics were quantified using NDVI thresholds (0.6–0.8), capturing variability in vegetation activity and canopy density. Results indicate that high-activity vegetation, particularly dense tree canopies, exerts the strongest cooling effects, significantly influencing air temperatures up to 750 m from measurement sites, whereas total green area alone showed no significant effect. Cooling effects were most pronounced during summer and autumn, with temperature reductions of up to 2 °C in areas dominated by mature trees. Diurnal–nocturnal analyses revealed consistent spatial cooling patterns, while seasonal variability highlighted the role of evergreen and deciduous composition. Findings underscore that urban heat mitigation is driven more by vegetation structure and composition than by green area size, emphasizing the importance of preserving high-canopy trees in urban planning. This multidimensional approach provides actionable insights for optimizing urban greenery to enhance microclimate resilience. Full article
(This article belongs to the Special Issue Urban Forests and Greening for Sustainable Cities)
Show Figures

Figure 1

28 pages, 19798 KB  
Article
Study on the Diurnal Difference of the Impact Mechanism of Urban Green Space on Surface Temperature and Sustainable Planning Strategies
by Mengrong Shu, Yichen Lu, Rongxiang Chen, Kaida Chen and Xiaojie Lin
Sustainability 2025, 17(22), 10193; https://doi.org/10.3390/su172210193 - 14 Nov 2025
Viewed by 799
Abstract
Urban densification intensifies the heat island effect, threatening ecological security. Green spaces, as crucial spatial elements in regulating the urban thermal environment, remain poorly understood in terms of their morphological characteristics and regulatory mechanisms, with a lack of systematic quantification and recognition of [...] Read more.
Urban densification intensifies the heat island effect, threatening ecological security. Green spaces, as crucial spatial elements in regulating the urban thermal environment, remain poorly understood in terms of their morphological characteristics and regulatory mechanisms, with a lack of systematic quantification and recognition of diurnal variations. This study, focusing on Shanghai’s main urban area, constructs physiological, physical, and morphological variables of green spaces based on high-resolution remote sensing data and the MSPA landscape morphology analysis framework. By integrating machine learning models with the SHAP interpretation algorithm, it analyses the influence mechanism of green spaces on Land Surface Temperature (LST) and its non-linear characteristics from the perspective of diurnal variation. The results indicate the following: (1) Green spaces exhibit pronounced diurnal variation in LST influence. Daytime cooling is primarily driven by vegetation cover, vegetation activity, and surface albedo through evapotranspiration and shading; night-time cooling depends on soil moisture and green space spatial structure and is achieved via thermal storage-radiative heat dissipation and cold air transport. (2) Green space indicators exhibit pronounced nonlinearity and threshold effects on LST. Optimal cooling efficiency occurs under moderate vegetation activity and moderate humidity conditions, whereas extreme high humidity or high vegetation activity may induce heat retention effects. (3) Day–night thermal regulation mechanisms differ markedly. Daytime cooling primarily depends on vegetation transpiration and shading to suppress surface warming; night-time cooling is dominated by soil thermal storage release, longwave radiation dissipation, and ventilation transport, enabling cold air to diffuse across the city and establishing a stable, three-dimensional nocturnal cooling effect. This study systematically reveals the distinct diurnal cooling mechanisms of high-density urban green spaces, providing theoretical support for refined urban thermal environment management. Full article
Show Figures

Figure 1

Back to TopTop