Sign in to use this feature.

Years

Between: -

Subjects

remove_circle_outline
remove_circle_outline
remove_circle_outline
remove_circle_outline
remove_circle_outline
remove_circle_outline
remove_circle_outline
remove_circle_outline
remove_circle_outline

Journals

remove_circle_outline
remove_circle_outline
remove_circle_outline
remove_circle_outline
remove_circle_outline
remove_circle_outline
remove_circle_outline
remove_circle_outline
remove_circle_outline
remove_circle_outline

Article Types

Countries / Regions

remove_circle_outline
remove_circle_outline
remove_circle_outline
remove_circle_outline
remove_circle_outline

Search Results (662)

Search Parameters:
Keywords = nitrate utilization

Order results
Result details
Results per page
Select all
Export citation of selected articles as:
24 pages, 3252 KB  
Article
Sustainable Endoglucanase Production from Lignocellulosic Waste Through Fungal Co-Culture Technology: A Step Towards Circular Economy
by Imran Ali, Hira Butt, Roheena Abdullah, Afshan Kaleem, Mahwish Aftab, Mehwish Iqtedar, Irfana Iqbal and Xiaoming Chen
Biology 2026, 15(5), 399; https://doi.org/10.3390/biology15050399 (registering DOI) - 28 Feb 2026
Abstract
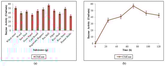
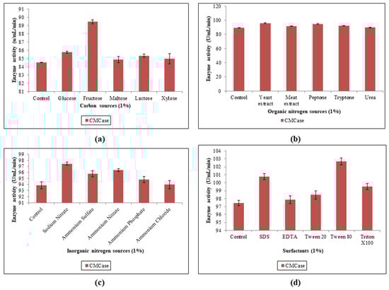
This study focused on optimizing endoglucanase production using a peculiar fungal co-culture comprising Rhizopus arrhizus and Aspergillus fumigatus, identified through morphological and 18S rDNA analyses. The co-culture achieved the highest enzyme production after 72 h of fermentation with alkaline-treated substrates. Scanning Electron [...] Read more.
This study focused on optimizing endoglucanase production using a peculiar fungal co-culture comprising Rhizopus arrhizus and Aspergillus fumigatus, identified through morphological and 18S rDNA analyses. The co-culture achieved the highest enzyme production after 72 h of fermentation with alkaline-treated substrates. Scanning Electron Microscopy (SEM) revealed substantial structural disruption in pretreated biomass, enhancing enzyme accessibility. Among the tested substrates, pea hulls proved to be the most effective for enzyme production. Optimization of physical and nutritional parameters was performed using Design of Experiments (DOE) approaches, specifically Plackett–Burman Design (PBD) for screening and Central Composite Design (CCD) for fine optimization. The maximum endoglucanase activity of 119.58 U/mL/min was obtained under the optimized conditions of 27.5 °C, pH 5.5, inoculum age 3.5 days, and supplementation with 1.5% fructose, 1.25% yeast extract, 1.25% sodium nitrate, and 1.25% Tween 80. Analysis of Variance (ANOVA) confirmed the significance of these parameters and their interactions at a 95% confidence level, with a strong model fit (R2 = 0.9052). This study demonstrates the potential of waste pea hulls as a cost-effective substrate for enzyme production, supporting waste valorization and contributing to a circular bioeconomy through sustainable biomass utilization. Full article
Show Figures

Figure 1

26 pages, 2334 KB  
Article
Pyrolysis Temperature Affects Biochar Properties in a Soil–Plant System
by Lisa Caturegli, Giacomo Bianchini, Alice Trivellini, Giulia Carmassi, Rita Maggini, Silvia Tavarini, Roberto Cardelli, Raffaele Ragucci, Paola Giudicianni, Corinna Maria Grottola, Giovanni Battista Ariemma, Davide Amato and Luciana Gabriella Angelini
Agriculture 2026, 16(5), 518; https://doi.org/10.3390/agriculture16050518 - 26 Feb 2026
Abstract
Biochar, produced by pyrolyzing biomass under limited oxygen, can improve soil quality while supporting long-term carbon sequestration. This study compared two wheat-straw biochars (BC)made at 450 °C (BC1) and 600 °C (BC2), with a commercial hardwood biochar produced at 1280 °C (BC3) using [...] Read more.
Biochar, produced by pyrolyzing biomass under limited oxygen, can improve soil quality while supporting long-term carbon sequestration. This study compared two wheat-straw biochars (BC)made at 450 °C (BC1) and 600 °C (BC2), with a commercial hardwood biochar produced at 1280 °C (BC3) using lettuce in a sandy, nutrient-poor soil under a carbon capture, utilization, and storage (CCUS) perspective. Higher pyrolysis temperature increased fixed carbon, ash, and alkalinity and reduced volatile matter, indicating greater carbon stability (BC2 > BC1). Germination tests showed good compatibility, with BC1 performing best, likely because moderate temperatures retain more labile organic fractions. In growth-chamber trials (0.75% w/w), biochar boosted lettuce biomass and root development mainly when combined with mineral fertilization, with BC2 (25% and 59%, respectively) and BC3 (18% and 52%, respectively) yielding the strongest gains; unfertilized plants responded little, confirming that biochar is mainly a soil conditioner rather than a nutrient source. Biochar also stimulated soil enzymes linked to C, N, and P cycling and improved leaf chlorophyll, nitrogen status, and antioxidant capacity under fertilization. The nutrient profiles differed by biochar: BC1 increased K and nitrate, while BC2/BC3 lowered nitrate and BC3 enhanced Ca, Mg, and P uptake. Overall, agronomic outcomes depend on feedstock and pyrolysis temperature: mid-temperature biochars enhance productivity and soil biological activity, whereas high-temperature biochars maximize carbon permanence. Full article
(This article belongs to the Section Agricultural Soils)
21 pages, 5723 KB  
Article
Sustainable Reuse of Aquaculture Wastewater in Saline–Alkali Paddy Fields: Interactive Effects of Irrigation and Microalgae on Water Nutrient Removal and Rice Yield
by Shuxuan Zhang, Yugeng Guo, Ghulam Rasool, Imran Ali Lakhiar, Shou Wang and Yiwen Zhang
Sustainability 2026, 18(5), 2185; https://doi.org/10.3390/su18052185 - 24 Feb 2026
Viewed by 132
Abstract
To identify an optimized management strategy for the safe reuse of aquaculture wastewater in saline–alkali paddy fields, a pot experiment was conducted to investigate the interactive effects of irrigation modes (flooded and shallow–wet) and Chlorella application on wastewater purification, nitrogen and phosphorus transport, [...] Read more.
To identify an optimized management strategy for the safe reuse of aquaculture wastewater in saline–alkali paddy fields, a pot experiment was conducted to investigate the interactive effects of irrigation modes (flooded and shallow–wet) and Chlorella application on wastewater purification, nitrogen and phosphorus transport, and rice yield. The results showed that Chlorella effectively improved the removal rates of nitrogen and phosphorus in field surface water, but its efficacy depended on the irrigation mode. The purification efficiency of shallow–wet combined with Chlorella (ISCW) was highest, and the removal rate of total phosphorus at the heading stage was 88.67%. The leaching risk of deep nitrate nitrogen (NO3-N) was the lowest, but the rice yield was significantly reduced. In contrast, flooded irrigation combined with Chlorella (IFCW) produced the highest rice yield, whereas its water purification effect was moderate. The entropy-weighted TOPSIS evaluation further indicated a clear trade-off. ISCW improved phosphorus removal in surface water, but reduced grain yield by 60.7% compared with IFCW. These findings demonstrate that irrigation mode is a key factor in regulating the purification effect of Chlorella and its trade-off with rice yield. These findings provide theoretical support for wastewater resource utilization in saline–alkali regions and contribute to the sustainable development of coastal agriculture. Full article
Show Figures

Figure 1

14 pages, 1399 KB  
Article
CRU–Urea Mixtures Improve Maize Protein Yield and Nitrogen Use Efficiency in the Black Soil Region of Northeast China
by Lele Tian, Chunyan Yin, Liang Feng, Xiaorong Wu, Li Han, Jinhu Yang, Fang Luo, Ju Zhao and Lijun Li
Plants 2026, 15(5), 675; https://doi.org/10.3390/plants15050675 - 24 Feb 2026
Viewed by 103
Abstract
Excessive nitrogen fertilizer application in the black soil region of Northeast China leads to nitrate leaching and gaseous nitrogen loss, posing environmental risks. This study aimed to evaluate the effectiveness of controlled-release urea (CRU) mixed with conventional urea in synchronizing nitrogen fertilizer supply [...] Read more.
Excessive nitrogen fertilizer application in the black soil region of Northeast China leads to nitrate leaching and gaseous nitrogen loss, posing environmental risks. This study aimed to evaluate the effectiveness of controlled-release urea (CRU) mixed with conventional urea in synchronizing nitrogen fertilizer supply with maize nitrogen requirements, improving nitrogen fertilizer use efficiency (NUE), and increasing economic benefits. A two-year field trial (2023–2024) tested six nitrogen fertilizer application strategies, all with a total nitrogen application rate of 168 kg N ha−1, including no nitrogen fertilizer application (CK), conventional fractionated urea application (C0), and four controlled-release urea–urea mixed application schemes, where CRU supplied 100%, 70%, 50%, and 30% of the total nitrogen (C100, C70, C50, and C30). The results showed that the C70 treatment had the highest maize grain yield and protein yield, at 12,502.92 kg ha−1 and 1567.65 kg ha−1, respectively, and NUE increased by 10.07% in 2024 compared to the C0 treatment. The C70 strategy also reduced nitrate concentrations in deeper soil layers, decreasing nitrogen loss by 29.04–31.21% compared to the C0 treatment. Furthermore, the C70 strategy yielded the highest net benefit, reaching $2817 ha−1. These results indicate that in black soil systems, a single basal application of C70 mixed fertilizer is an effective strategy for increasing maize yield, improving nitrogen fertilizer use efficiency, and reducing environmental risks. Full article
23 pages, 5150 KB  
Article
Analysis of Hydrochemical Characteristics and Groundwater Quality Assessment in the North China Plain Region
by Han Yan, Xiaocheng Zhou, Zhaojun Zeng, Bingyu Yao, Yucong Yan, Yuwen Wang, Wan Zheng, Ruibin Li, Gaoyuan Xing, Shihan Cui, Miao He, Jiao Tian and Yixi Wang
Water 2026, 18(5), 531; https://doi.org/10.3390/w18050531 - 24 Feb 2026
Viewed by 217
Abstract
The North China Plain is one of the largest plains in China, where domestic water supply, agricultural irrigation, and industrial production rely on groundwater resources. Groundwater quality is increasingly affected by the combined effects of intense human activity and geological conditions. To ensure [...] Read more.
The North China Plain is one of the largest plains in China, where domestic water supply, agricultural irrigation, and industrial production rely on groundwater resources. Groundwater quality is increasingly affected by the combined effects of intense human activity and geological conditions. To ensure sustainable groundwater utilization, it is crucial to investigate the hydrogeochemical processes linked to hydrogeological conditions. In this study, 85 samples were collected from cold wells and 56 samples from geothermal wells in North China. By integrating self-organizing mapping (SOM), hydrochemical and isotopic analysis, nitrate distribution, water quality index (WQI), and human health risk assessment (HHRA) methodologies, we systematically evaluated the spatial variability of groundwater quality and the associated health risks in the region. Hydrochemical analysis indicates that groundwater recharge is primarily driven by atmospheric precipitation. Shallow cold groundwater in Cluster 1 exhibited a mixed phase, whereas geothermal water in Clusters 2 and 3 and cold groundwater in Cluster 4 predominantly displayed a Na-Cl type. Cation exchange processes are the primary factors controlling ion composition. Water quality assessment studies indicate that 75.15% of the groundwater is suitable for drinking. The average water quality index of the geothermal water was higher than that of the cold water. Shallow groundwater in plains is significantly affected by agricultural activities, typically manifested as elevated NO3 concentrations. Arsenic and boron are the primary non-carcinogenic risk pollutants in geothermal water, and children are more vulnerable than adults. The non-carcinogenic risk zones for cold wells were primarily distributed in Shijiazhuang, Baoding, and the coastal areas downstream of the Yellow River. Tianjin has high-risk geothermal water. Therefore, effective strategies must be implemented to protect this valuable water resource and achieve sustainable development in the region. Full article
(This article belongs to the Section Water Quality and Contamination)
Show Figures

Figure 1

15 pages, 2521 KB  
Article
Effects of Root-Cutting Treatment on Biomass, Photosynthetic Characteristics, and Soil Nutrients in Jerusalem Artichoke
by Hanyu Xu, Xin Li, Tiexia Zhu, Entian Zhang, Siyu Liu, Rongyu Dai, Jingkun Qin and Kai Gao
Agriculture 2026, 16(4), 411; https://doi.org/10.3390/agriculture16040411 - 11 Feb 2026
Viewed by 165
Abstract
Helianthus tuberosus L. tubers are the primary part utilized by humans for bioenergy and bioproduct production. Therefore, achieving high tuber yield is a core issue in Jerusalem artichoke cultivation and management. In this study, red-skinned Jerusalem artichoke was used as an experimental material. [...] Read more.
Helianthus tuberosus L. tubers are the primary part utilized by humans for bioenergy and bioproduct production. Therefore, achieving high tuber yield is a core issue in Jerusalem artichoke cultivation and management. In this study, red-skinned Jerusalem artichoke was used as an experimental material. Under field conditions from 2022 to 2023, different root-cutting treatments were established to investigate their effects on Jerusalem artichoke biomass, photosynthetic characteristics, and rhizosphere (non-rhizosphere) soil nutrient content, aiming to provide a theoretical basis for high-yield cultivation of Jerusalem artichoke. During the vegetative growth stage (70–75 days after planting), a “vertical cutting method” was applied; centered on the plant, vertical cuts were made through the horizontal root system at radii of 20 cm, 30 cm, 40 cm, and 50 cm to implement root-cutting treatments. The total biomass, underground biomass, tuber yield and root/shoot ratio of Jerusalem artichoke increased by 11.59–25.97%, 15.77–46.33%, 7.69–49.09% and 11.72–62.69%, respectively. The tuber yield was greatest under D1 (20 cm) (0.94 kg·plant−1 and 0.98 kg·plant−1). On the 7th and 15th days after root breakage, the photosynthetic characteristics and transpiration rate of the Jerusalem artichoke gradually increased with increasing root-cutting radius and were lower than those of the control. On the 21st day after the root-cutting treatment, the photosynthetic characteristics and transpiration rate of the Jerusalem artichoke plants gradually decreased with increasing root-cutting radius and were greater than those of the control plants. The water use efficiency of Jerusalem artichoke increased with increasing root-cutting radius. The contents of C, N, P, available phosphorus, alkali-hydrolyzed nitrogen, nitrate nitrogen showed that proper root-cutting can increase tuber yield of Jerusalem artichoke and improve rhizosphere soil nutrients. Full article
(This article belongs to the Section Agricultural Soils)
Show Figures

Figure 1

19 pages, 4137 KB  
Article
Investigation of Nitrate Respiration in Cupriavidus necator for Application in Life Support System
by Pierre Joris, Eric Lombard, Alexis Paillet, Gregory Navarro, Stephane E. Guillouet and Nathalie Gorret
Fermentation 2026, 12(2), 81; https://doi.org/10.3390/fermentation12020081 - 2 Feb 2026
Viewed by 574
Abstract
Cupriavidus necator is a well-studied microorganism with potential application in bioregenerative life support systems for single-cell protein and bioplastic production. Most studies have been carried out in autotrophy or heterotrophy, requiring O2 as the final electron acceptor. In the context of inhabited [...] Read more.
Cupriavidus necator is a well-studied microorganism with potential application in bioregenerative life support systems for single-cell protein and bioplastic production. Most studies have been carried out in autotrophy or heterotrophy, requiring O2 as the final electron acceptor. In the context of inhabited missions, access to O2 will primarily be limited to the crew. In this study, we investigated the capacity of C. necator to carry out nitrate respiration as a strategy to limit oxygen supply to the cultures by providing nitrate from another compartment of the Bioregenerative Life Support System (BLSS). Batch bioreactor experiments were carried out to determine the best conditions for nitrate utilization in terms of pH and aeration. Continuous cultures were then performed under two carbon sources (glucose vs. acetic acid) and two substrate limitations (nitrate vs. carbon). The optimal conditions were found to be pH 7.5 under anaerobiosis. They were applied in chemostats, where three steady-states were obtained at a low dilution rate. In all cases, the biomass consisted of a mixture of protein (from 29 ± 1% Cell Dry Weight (CDW) to 39 ± 2% CDW) and polyhydroxybutyrate (from 45 ± 2% CDW to 57 ± 3% CDW), which was found to be a key component for nitrate respiration metabolism. Microaerobic conditions were also tested in batch culture, reporting for the first time aerobic nitrate respiration in C. necator. Under these conditions, growth parameters improved during the nitrate phase; however, the specific growth rate during the nitrite phase was lower than that observed under strictly anaerobic conditions. Full article
(This article belongs to the Section Fermentation Process Design)
Show Figures

Figure 1

24 pages, 6844 KB  
Article
Arbuscular Mycorrhizal Fungi-Mediated Reconfiguration of Poplar Leaf C-N-P Metabolic Networks: Environment-Dependent Synergies and Nutrient Interactions
by Xiaan Tang, Mengmeng Chen, Panpan Meng and Junyu Song
J. Fungi 2026, 12(2), 105; https://doi.org/10.3390/jof12020105 - 2 Feb 2026
Viewed by 384
Abstract
The regulatory mechanisms by which AMF modulate the integrated carbon (C)-nitrogen (N)-phosphorus (P) metabolic network in woody plant leaves remain unclear. We investigated how varying nitrate (NO3) and phosphate (Pi) supply, with or without AMF inoculation, reshapes the leaf metabolic [...] Read more.
The regulatory mechanisms by which AMF modulate the integrated carbon (C)-nitrogen (N)-phosphorus (P) metabolic network in woody plant leaves remain unclear. We investigated how varying nitrate (NO3) and phosphate (Pi) supply, with or without AMF inoculation, reshapes the leaf metabolic network in poplar seedlings. Key findings reveal that AMF acts as a central metabolic hub, optimizing C-N-P coordination in an environment-dependent manner. Under low Pi, NO3 supply enhanced P remobilization and photosynthetic efficiency, boosting growth. AMF further optimized low-Pi adaptation by promoting P storage and buffering, significantly improving photosynthesis and biomass. Under high Pi, NO3 supply shifted focus towards enhancing Rubisco-mediated carbon assimilation. AMF synergistically improved carbon assimilation efficiency and suppressed non-essential P recycling. N metabolism effects of Pi were contingent on NO3 availability, and AMF reprogrammed N assimilation pathways accordingly, balancing uptake and utilization under different N regimes. Critically, AMF orchestrated environment-specific metabolic adjustments, reinforcing P buffering and photosynthetic gain under Pi limitation, and enhancing C assimilation efficiency while minimizing P waste under Pi sufficiency. This study demonstrates that poplar leaf C-N-P networks are reconfigured through N-P synergisms modulated by AMF, positioning AMF as a pivotal integrator of nutrient acquisition and allocation. These insights provide a physiological foundation for developing efficient forestry nutrient management and mycorrhizal application strategies. Full article
(This article belongs to the Special Issue Fungal Metabolomics and Genomics, 2nd Edition)
Show Figures

Figure 1

22 pages, 6646 KB  
Article
Integrating Milk Protein Hydrolysate and Plasma-Activated Water as Alternative Nitrogen Inputs for Growth, Nutrition, and Postharvest Quality of Hydroponic Cos Lettuce Under Low Nutrient Supply
by Aryanis Mutia Zahra, Apiradee Uthairatanakij, Natta Laohakunjit, Pongphen Jitareerat, Nattapon Kaisangsri and Arak Tira-Umphon
Nitrogen 2026, 7(1), 18; https://doi.org/10.3390/nitrogen7010018 - 1 Feb 2026
Viewed by 344
Abstract
The application of plasma-activated water and biostimulants offers a sustainable approach to supporting plant growth under reduced-nutrient conditions by supplying bioavailable nitrogen. This study investigated the growth and postharvest performance of hydroponically grown cos lettuce (Lactuca sativa L.) supplied with three Hoagland-based [...] Read more.
The application of plasma-activated water and biostimulants offers a sustainable approach to supporting plant growth under reduced-nutrient conditions by supplying bioavailable nitrogen. This study investigated the growth and postharvest performance of hydroponically grown cos lettuce (Lactuca sativa L.) supplied with three Hoagland-based nutrient treatments: half-strength solution prepared with tap water (HS), half-strength solution with plasma-activated water (HS+PAW), and half-strength solution with plasma-activated water containing 1 mL L−1 milk protein hydrolysate (HS+PAW+MPH). Plants treated with PAW, particularly those in the HS+PAW+MPH, exhibited increases in growth, biomass accumulation, and mineral composition, with reduced nitrate content compared to controls. At harvest, lettuce under HS+PAW+MPH exhibited nearly double fresh yield and enhanced dry matter, protein, lipid, phenolic, and flavonoid profiles as well as increased antioxidant capacity, indicating improved nitrogen utilization and nutritional quality under reduced nutrient input. Postharvest quality was evaluated by packing samples in polypropylene bags and storing them at 10 ± 1 °C and 95–98% relative humidity for 21 days. The HS+PAW+MPH treatment substantially suppressed respiration and production of ethylene, limited weight loss and color change, and better preserved pigments, bioactive compounds, and antioxidant stability compared to HS and HS+PAW, indicating HS+PAW+MPH as a sustainable nutrient management approach for hydroponic systems. Full article
Show Figures

Graphical abstract

15 pages, 1313 KB  
Article
A Protein Hydrolysate Mitigates the Adverse Effect of Chilling Stress on Cucumber Plants
by Dobrinka Balabanova, Adelina Harizanova, Lyubka Koleva-Valkova, Veselin Petrov and Andon Vassilev
Stresses 2026, 6(1), 5; https://doi.org/10.3390/stresses6010005 - 30 Jan 2026
Viewed by 239
Abstract
Chilling has been recognized as a stress factor adversely impacting plant growth and productivity. Even a slight decrease in temperature may significantly reduce crop yield. Recently, biostimulants have emerged as a new tool for enhancing the chilling tolerance of cold-sensitive plants. The early [...] Read more.
Chilling has been recognized as a stress factor adversely impacting plant growth and productivity. Even a slight decrease in temperature may significantly reduce crop yield. Recently, biostimulants have emerged as a new tool for enhancing the chilling tolerance of cold-sensitive plants. The early stages of cucumber growth often occur under suboptimal temperatures, which motivated the aim of the current study to assess the effect of a protein hydrolysate (PH) on the physiological performance of young cucumber plants subjected to chilling stress. The results showed that low temperatures caused severe chilling stress by inducing changes in growth, photosynthesis, and nitrogen assimilation. These adverse effects were mitigated when the PH was supplied. The ameliorating effect could be due to a remedial influence on photosynthetic pigment content, facilitating light harvesting and energy utilization. The potential impact of the PH treatment on the redox balance was demonstrated by the activation of the G6PD gene. The possible effect of the biostimulant on nitrate assimilation was tested by measuring nitrate reductase activity, which improved after application of the biostimulant. Moreover, the activity of phenylalanine ammonia-lyase (PAL) in PH-supplied plants was also increased, further confirming the enhanced protective capacity of the plants. All obtained results indicate the beneficial effect of PH application on cucumber plants and their chilling resilience. Full article
(This article belongs to the Section Plant and Photoautotrophic Stresses)
Show Figures

Graphical abstract

20 pages, 4131 KB  
Article
Calcium Nitrate Supplementation Improves Meat Quality in Hu Sheep via Microbial and Transcriptomic Regulation
by Yuanshu Zheng, Chen Zheng, Kang Sun, Huihui Liu, Huiyu Fan, Yi Wang, Xuan Nan, Lijing An, Faming Pan, Xinji Wang, Guoyan Xu and Ting Liu
Animals 2026, 16(2), 325; https://doi.org/10.3390/ani16020325 - 21 Jan 2026
Viewed by 289
Abstract
Research has demonstrated that incorporating nitrate into animal feed can effectively decrease methane production in ruminants, though its impact on carcass characteristics and meat attributes in Hu sheep requires further investigation. This experiment examined how a dietary inclusion of 3% calcium nitrate (CN) [...] Read more.
Research has demonstrated that incorporating nitrate into animal feed can effectively decrease methane production in ruminants, though its impact on carcass characteristics and meat attributes in Hu sheep requires further investigation. This experiment examined how a dietary inclusion of 3% calcium nitrate (CN) influenced slaughter parameters, meat properties, gut microbial populations, and host gene regulation in Hu sheep. The study involved sixty healthy male Hu sheep aged 120 days with comparable body weights (31.11 ± 3.39 kg), randomly allocated into two groups: a control group receiving standard feed (CON) and a CN-supplemented group. The trial lasted 60 days, including a 15-day adaptation period and a 45-day formal trial period. They were housed individually and fed twice daily (at 8:00 and 18:00). The findings revealed that CN supplementation notably reduced the water loss rate in the longissimus dorsi muscle (LD), elevated meat color brightness, and enhanced the proportion of polyunsaturated fatty acids (PUFA), particularly n-6 PUFA, along with the n-3/n-6 PUFA ratio. Conversely, it reduced the levels of saturated fatty acids such as myristic acid (C14:0) and oleic acid (C18:1n9t). Additionally, the treatment boosted ruminal Ammoniacal nitrogen content and total short-chain fatty acid production, thereby contributing to energy metabolism in the animals. Microbiological examination demonstrated that CN supplementation led to a decrease in Fibrobacterota and Methanobrevibacter populations within the ruminal environment, while promoting the growth of Proteobacteria in the duodenal region. The gene expression profiling of digestive tract tissues showed an increased activity in nitrogen processing genes (including CA4) and oxidative phosphorylation pathways (such as ATP6), indicating an improved metabolic efficiency and acid–base homeostasis in the host animals. These findings demonstrate that CN-enriched diets enhance the carcass characteristics of Hu sheep by modifying intramuscular lipid profiles through gastrointestinal microbial community restructuring and metabolic pathway adjustments. Such modifications affect energy utilization and acid–base equilibrium, ultimately impacting muscle characteristics and adipose tissue distribution, presenting viable approaches for eco-friendly livestock farming practices. Full article
Show Figures

Graphical abstract

20 pages, 9516 KB  
Article
Denitrifiers Make Great Contribution to Antibiotic Resistance Genes Dissemination in the Gut of Earthworms
by Maria Rafraf Ali, Yongjing Chen, Mingjun Li, Muhammad Jafir, Mamona Rafraf Ali, Guowei Zhou and Qingye Sun
Int. J. Mol. Sci. 2026, 27(2), 797; https://doi.org/10.3390/ijms27020797 - 13 Jan 2026
Viewed by 255
Abstract
Antibiotic resistance genes (ARGs) pose a serious threat to the environment worldwide. The guts of soil animals are a hotspot for ARGs and denitrification in soils. However, it is unclear how denitrification affects the spread of ARG in the earthworm’s gut. In this [...] Read more.
Antibiotic resistance genes (ARGs) pose a serious threat to the environment worldwide. The guts of soil animals are a hotspot for ARGs and denitrification in soils. However, it is unclear how denitrification affects the spread of ARG in the earthworm’s gut. In this study, the typical soil earthworm Pheretima guillelmi was employed, and was used for performing anoxic incubation with gut content amended with nitrate and nitrite. To analyze the data, a combination of chemical analysis, 16S rRNA-based Illumina sequencing, and high-throughput qPCR were employed. Nitrate treatments, particularly at 5 mM, caused substantial reductions in nitrate concentrations, with a corresponding increase in nitrite, nitrous oxide (N2O), and nitric oxide (NO) emissions compared to the treatments with the addition of 1 and 2 mM nitrate. Nitrite (0.2, 0.5 and 1 mM) amendments also enhanced the accumulation of nitrogen intermediates. Organic acid production, including acetate and pyruvate, was the highest under the 5 mM nitrate treatment. This treatment also promoted the highest level of glucose utilization, suggesting that glucose metabolism supports enhanced organic acid production. Both nitrate and nitrite treatments exhibited the pronounced enrichment in ARGs, particularly for beta-lactam and multidrug resistance genes. Denitrifying bacteria such as Aeromonas, Bacillus, Raoultella, and Enterobacter were identified as key hosts for these ARGs. These results emphasized that denitrifying bacteria play a pivotal role in the horizontal transfer of ARGs, underscoring the need for careful nitrogen management in agricultural practices to control the spread of antibiotic resistance in natural environments. Full article
(This article belongs to the Section Molecular Microbiology)
Show Figures

Figure 1

31 pages, 4380 KB  
Article
Nitrogen-Enriched Nanobiochar Enhances Spinach Growth via Improved Nitrogen Retention and Uptake Mechanisms
by Kashaf, Sumera Anwar, Fahad Shafiq, Abida Kausar, Shahbaz Khan, Muhammad Ashraf and Syed Ahmed Shah
Nitrogen 2026, 7(1), 11; https://doi.org/10.3390/nitrogen7010011 - 13 Jan 2026
Viewed by 515
Abstract
The increasing demand for sustainable agriculture requires innovative strategies to enhance nitrogen use efficiency while minimizing environmental losses associated with conventional fertilizers. This study aimed to develop and compare ammonium chloride- and ammonium nitrate-modified nanobiochar as controlled-release nitrogen carriers and to elucidate their [...] Read more.
The increasing demand for sustainable agriculture requires innovative strategies to enhance nitrogen use efficiency while minimizing environmental losses associated with conventional fertilizers. This study aimed to develop and compare ammonium chloride- and ammonium nitrate-modified nanobiochar as controlled-release nitrogen carriers and to elucidate their effects on nitrogen retention, soil properties, and physiological nitrogen utilization in spinach (Spinacia oleracea L.). Nitrogen-modified nanobiochar was synthesized using ammonium chloride (NB-AC) and ammonium nitrate (NB-AN) at three nitrogen rates (0.03, 0.06, and 0.12 g N g−1 NB) and applied to soil at 1% (w/w). Soil properties, nutrient dynamics, and plant growth and physiological traits were analyzed after 15 and 30 days. Nitrogen modification significantly improved soil nitrogen retention and nutrient availability compared with unmodified nanobiochar. The highest nitrogen loading treatments (NB-AC3 and NB-AN3) notably improved spinach growth, photosynthetic efficiency, pigment content, nitrogen metabolism enzymatic activities, and accumulation of key metabolites (soluble sugars, flavonoids). Nitrogen-release assessments indicated a pronounced controlled-release with reduced nitrogen leaching and greater retention, particularly under NB-AN3. Overall, this study demonstrates that nitrogen-modified nanobiochar functions as an effective nitrogen carrier that enhances nitrogen utilization and growth. These findings provide mechanistic insights into its potential as a sustainable alternative to conventional nitrogen fertilizers. Full article
Show Figures

Figure 1

23 pages, 3378 KB  
Article
Fungal Endophyte Comprehensively Orchestrates Nodulation and Nitrogen Utilization of Legume Crop (Arachis hypogaea L.)
by Xing-Guang Xie, Hui-Jun Jiang, Kai Sun, Yuan-Yuan Zhao, Xiao-Gang Li, Ting Han, Yan Chen and Chuan-Chao Dai
J. Fungi 2026, 12(1), 65; https://doi.org/10.3390/jof12010065 - 13 Jan 2026
Viewed by 470
Abstract
(1) Background: Improving nitrogen use efficiency in peanuts is essential for achieving a high yield with reduced nitrogen fertilizer input. This study investigates the role of the fungal endophyte Phomopsis liquidambaris in regulating nitrogen utilization throughout the entire growth cycle of peanuts. (2) [...] Read more.
(1) Background: Improving nitrogen use efficiency in peanuts is essential for achieving a high yield with reduced nitrogen fertilizer input. This study investigates the role of the fungal endophyte Phomopsis liquidambaris in regulating nitrogen utilization throughout the entire growth cycle of peanuts. (2) Methods: Field pot experiments and a two-year plot trial were conducted. The effects of Ph. liquidambaris colonization on the rhizosphere microbial community, soil nitrogen forms, and peanut physiology were analyzed. (3) Results: Colonization by Ph. liquidambaris significantly suppressed the abundance of ammonia-oxidizing archaea (AOA) and bacteria (AOB) in the rhizosphere at the seedling stage. This led to a transient decrease in nitrate and an increase in ammonium availability, which enhanced nodulation-related physiological responses. Concurrently, the peanut-specific rhizobium Bradyrhizobium sp. was enriched in the rhizosphere, and the root exudates induced by the fungus further stimulated nodulation activity. These early-stage effects promoted the establishment of peanut–Bradyrhizobium symbiosis. During the mid-to-late growth stages, the fungus positively reshaped the composition of key functional microbial groups (including diazotrophs, AOA, and AOB), thereby increasing rhizosphere nitrogen availability. (4) Conclusions: Under low nitrogen fertilization, inoculation with Ph. liquidambaris maintained yield stability in long-term monocropped peanuts by enhancing early nodulation and late-stage rhizosphere nitrogen availability. This study provides a promising microbe-based strategy to support sustainable legume production with reduced nitrogen fertilizer application. Full article
(This article belongs to the Special Issue Plant Symbiotic Fungi)
Show Figures

Figure 1

12 pages, 3129 KB  
Article
In Situ Analysis of Surface Properties, Supersaturation, and Solution Density Effects on Aqueous KNO3 Incrustation in a Cooling Crystallization Process
by Mohsen H. Al-Rashed, Adel F. Alenzi, Abubaker Mohammad and Khaled H. A. E. Alkhaldi
Processes 2026, 14(2), 201; https://doi.org/10.3390/pr14020201 - 7 Jan 2026
Viewed by 251
Abstract
The incrustation process represents a significant industrial challenge that affects various aspects of crystallization systems. It proceeds through successive stages, beginning with the induction period. This is followed by a transport phase, in which additional crystals are generated and sustained by overall supersaturation [...] Read more.
The incrustation process represents a significant industrial challenge that affects various aspects of crystallization systems. It proceeds through successive stages, beginning with the induction period. This is followed by a transport phase, in which additional crystals are generated and sustained by overall supersaturation and the presence of seed crystals, leading to further attachment to surfaces. Ultimately, the process progresses to crystal removal and aging stages. In this study, a 1.2 dm3 thermostated crystallizer was utilized to investigate the incrustation phenomenon of potassium nitrate (KNO3). Deposits formed on three smooth and artificially roughened wall-surfaces, i.e., stainless steel (Type 316), copper, and acrylic, were examined. Contact angle measurements were conducted for all surfaces. The experiments covered a saturation temperature range of 303.15–333.15 K (±0.01 K) for various KNO3 solution concentrations between 5.0 and 60.0% w/w. The results show that deposit adhesion is stronger on rough surfaces than on smooth ones, and that the induction period for incrustation is shorter on rougher surfaces. Moreover, the influence of surface wettability and contact angle on incrustation becomes more pronounced at higher degrees of surface roughness. This highlights the coupled role of surface properties and thermal control in governing incrustation behavior. Full article
(This article belongs to the Special Issue Process Control and Intensification in Chemical Engineering)
Show Figures

Graphical abstract

Back to TopTop