Nitrogen-Enriched Nanobiochar Enhances Spinach Growth via Improved Nitrogen Retention and Uptake Mechanisms
Abstract
1. Introduction
2. Materials and Methods
2.1. Synthesis of Nitrogen-Modified Nanobiochar
2.2. Characterization of Nanobiochar and Nitrogen-Modified Nanobiochar
2.2.1. Surface Morphology and Elemental Mapping
2.2.2. Swelling Ratio and Equilibrium Water Content
2.2.3. Nitrate, Ammonium, and Total Nitrogen Content
- i.
- Determination of nitrate content
- ii.
- Determination of ammonium content
- iii.
- Determination of total nitrogen
2.2.4. Nitrogen Slow-Release Efficiency
2.3. Experimental Setup and Treatments
2.4. Soil Physicochemical Characteristics
2.4.1. Electrical Conductivity and pH
2.4.2. Organic Matter
2.4.3. Primary Macronutrient Analyses from Soil
- i.
- Available phosphorus
- ii.
- Available potassium
- iii.
- Total nitrogen
- iv.
- Ammonium and nitrate contents
2.4.4. Soil Saturation Percentage and Water Retention
2.5. Growth, Physiological, and Ion Attributes of Spinach
2.5.1. Growth Characteristics
2.5.2. Allometric Analyses
2.5.3. Photosynthetic Activity
2.5.4. Photosynthetic Pigments
2.5.5. Total Free Amino Acids and Total Soluble Sugars
2.5.6. Nitrogen Metabolizing Enzymes
- i.
- Nitrite reductase activity (NiR)
- ii.
- Nitrate reductase activity (NR)
2.5.7. Nutrient Analysis of Leaf
2.6. Statistical Analysis
3. Results
3.1. Effects of Nitrogen Modification on the Structural and Functional Properties of Nanobiochar
3.1.1. Structural Properties
3.1.2. Swelling Ratio and Equilibrium Water Content
3.1.3. Nitrate, Ammonium, and Total Nitrogen Content
3.1.4. Nitrogen-Release Efficiency
3.2. Effects of Nanobiochar and Modified Nanobiochar on Soil Properties
3.2.1. Soil Chemical and Nutrient Properties
3.2.2. Water Retention and Saturation Percentage
3.3. Effects of Nanobiochar and Modified Nanobiochar on Spinach Growth, Physiology, and Nitrogen Content
3.3.1. Growth and Growth Dynamics
3.3.2. Leaf Growth and Morphology
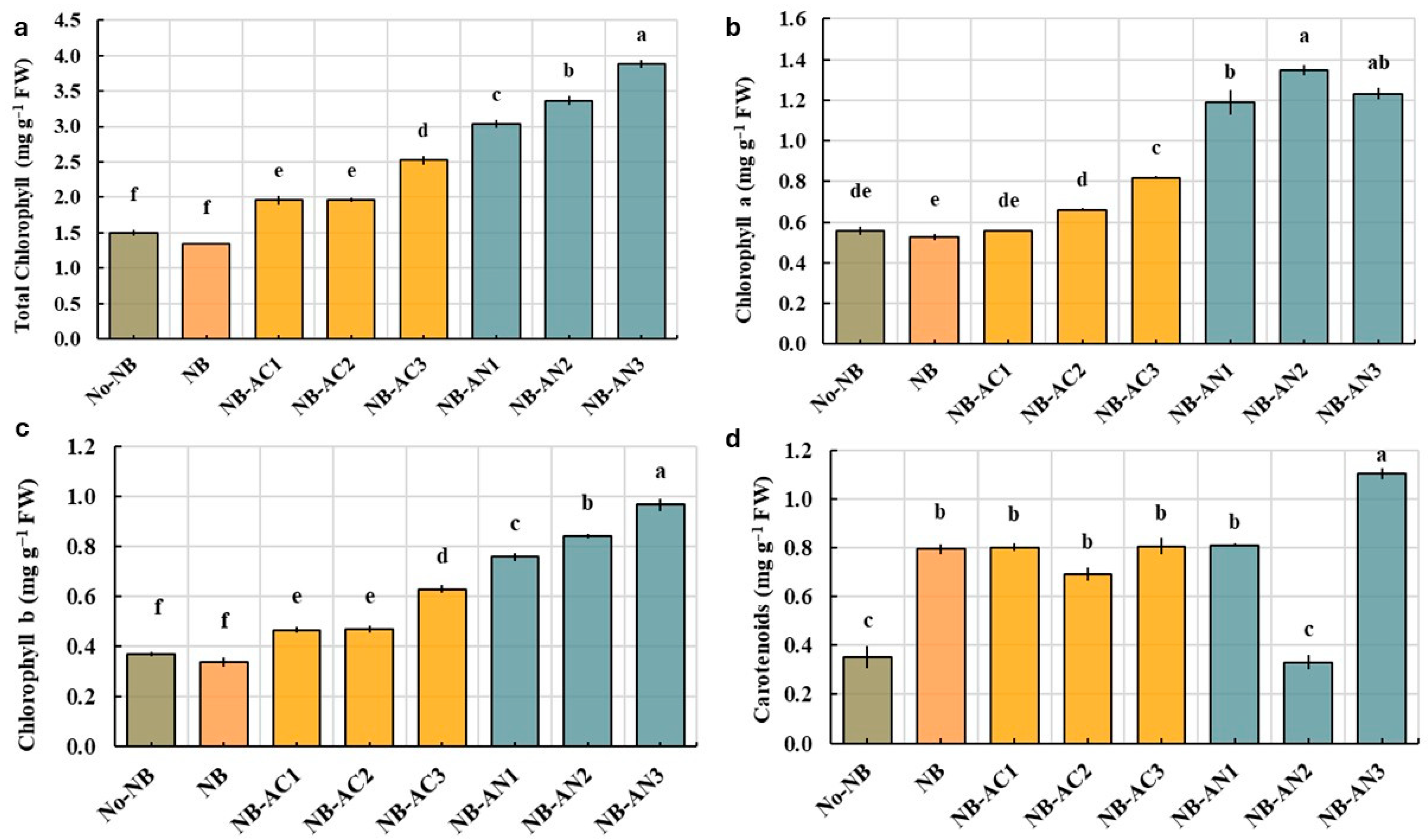
3.3.3. Photosynthetic Pigments
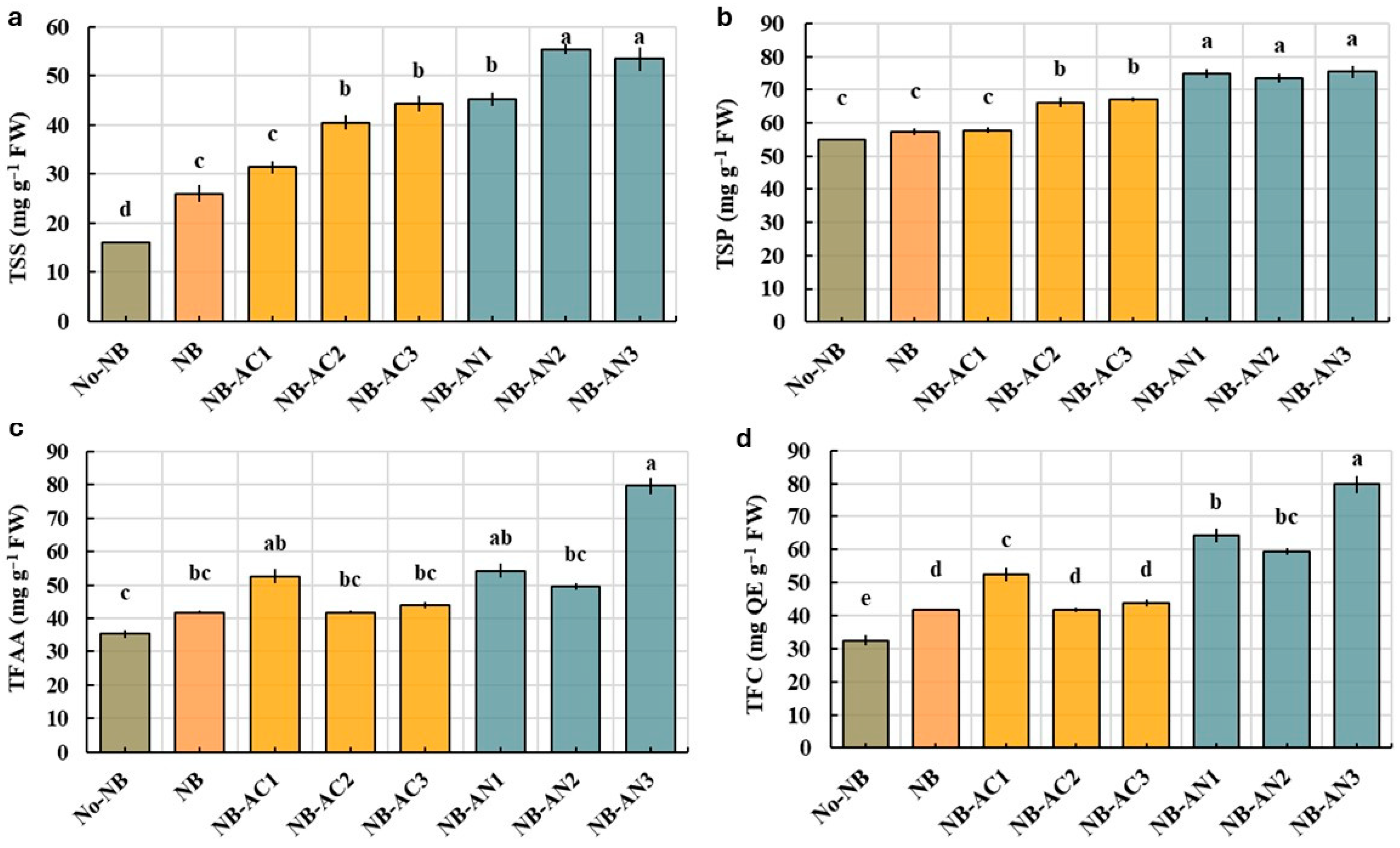
3.3.4. Metabolites
3.3.5. Photosynthetic Activity
3.3.6. Enzyme Activities
3.3.7. Nitrogen Content in Leaves
4. Discussion
4.1. Structural Modifications and Nutrient Retention in Nitrogen-Modified Nanobiochar
4.2. Transforming Soil: Enhanced Fertility and Water Retention with Modified Nanobiochar
4.3. Nitrogen Retention and Slow-Release Efficiency of Ammonium and Nitrate in Nitrogen-Modified Nanobiochar
4.4. N-Modified Nanobiochar Promotes Spinach Growth and Metabolic Efficiency
5. Conclusions
Supplementary Materials
Author Contributions
Funding
Data Availability Statement
Conflicts of Interest
References
- Wang, X. Managing land carrying capacity: Key to achieving sustainable production systems for food security. Land 2022, 11, 484. [Google Scholar] [CrossRef]
- Powell, J.M.; Rotz, C.A. Measures of nitrogen use efficiency and nitrogen loss from dairy production systems. J. Environ. Qual. 2015, 44, 336–344. [Google Scholar] [CrossRef]
- Bhatt, R.; Moulick, D.; Bárek, V.; Brestic, M.; Gaber, A.; Skalicky, M.; Hossain, A. Sustainable strategies to limit nitrogen loss in agriculture through improving its use efficiency—Aiming to reduce environmental pollution. J. Agric. Food Res. 2025, 22, 101957. [Google Scholar] [CrossRef]
- Jain, A.K. Greenhouse gas emissions from nitrogen fertilizers. Nat. Food. 2023, 4, 139–140. [Google Scholar] [CrossRef]
- Tyagi, J.; Ahmad, S.; Malik, M. Nitrogenous fertilizers: Impact on environment sustainability, mitigation strategies, and challenges. Int. J. Environ. Sci. Technol. 2022, 19, 11649–11672. [Google Scholar] [CrossRef]
- Gerke, J. The central role of soil organic matter in soil fertility and carbon storage. Soil Syst. 2022, 6, 33. [Google Scholar] [CrossRef]
- Marin, F.; Tanislav, O.M.; Constantinescu, M.; Roman, A.; Bucura, F.; Oancea, S.; Zaharioiu, A.M. Biochar for Soil Fertility and Climate Mitigation: Review on Feedstocks, Pyrolysis Conditions, Functional Properties, and Applications with Emerging AI Integration. Agriculture 2025, 15, 2345. [Google Scholar] [CrossRef]
- Lippi, P.; Mattii, G.B.; Cataldo, E. Biochar, properties and skills with a focus on implications for vineyard land and grapevine performance. Phyton-Int. J. Exp. Bot. 2025, 94, 33–64. [Google Scholar] [CrossRef]
- Shafiq, F.; Anwar, S.; Zhang, L.; Ashraf, M. Nano-Biochar: Properties and Prospects for Sustainable Agriculture. J. Environ. Manag. 2023, 321, 115479. [Google Scholar] [CrossRef]
- Sinyoung, S.; Jeeraro, A.; Udomkun, P.; Kunchariyakun, K.; Kaewlom, P. Transformative innovations in nano-biochar-enhanced porous concrete: Elevating engineering performance and pollutant removal. Dev. Built Environ. 2024, 18, 100469. [Google Scholar] [CrossRef]
- Tayyab, M.; Anwar, S.; Shafiq, F.; Shafique, U.; Kaya, C.; Ashraf, M. Adsorption isotherms and removal of lead (II) and cadmium (II) from aqueous media using nanobiochar and rice husk. Int. J. Phytoremediat. 2025, 27, 244–259. [Google Scholar] [CrossRef]
- Khaliq, H.; Anwar, S.; Shafiq, F.; Ashraf, M.; Zhang, L.; Haider, I.; Khan, S. Interactive effects of soil and foliar-applied nanobiochar on growth, metabolites, and nutrient composition in Daucus carota. J. Plant Growth Regul. 2023, 42, 3715–3729. [Google Scholar] [CrossRef]
- Ramzan, M.; Zia, A.; Naz, G.; Shahid, M.; Shah, A.A.; Farid, G. Effect of nanobiochar (nBC) on morpho-physio-biochemical responses of black cumin (Nigella sativa L.) in Cr-spiked soil. Plant Physiol. Biochem. 2023, 196, 859–867. [Google Scholar] [CrossRef]
- Rashid, M.I.; Shah, G.A.; Iqbal, Z.; Shahzad, K.; Ali, N.; Rehan, M.; Alhakamy, N.A.A.; Klemeš, J.J. Nanobiochar reduces ammonia emission, increases nutrient mineralization from vermicompost, and improves maize productivity. J. Clean. Prod. 2023, 414, 137694. [Google Scholar] [CrossRef]
- Wang, C.; Luo, D.; Zhang, X.; Huang, R.; Cao, Y.; Liu, G.; Zhang, Y.; Wang, H. Biochar-based slow-release of fertilizers for sustainable agriculture: A mini review. Environ. Sci. Ecotechnol. 2022, 10, 100167. [Google Scholar] [CrossRef] [PubMed]
- Das, S.K.; Ghosh, G.K. Development and Evaluation of Biochar-Based Secondary and Micronutrient Enriched Slow-Release Nano-Fertilizer for Reduced Nutrient Losses. Biomass Convers. Biorefinery 2023, 13, 12193–12204. [Google Scholar] [CrossRef]
- Jia, Y.; Hu, Z.; Ba, Y.; Qi, W. Application of biochar-coated urea controlled loss of fertilizer nitrogen and increased nitrogen use efficiency. Chem. Biol. Technol. Agric. 2021, 8, 3. [Google Scholar] [CrossRef]
- Jadhav, V.; Ahire, B.; Pawar, A.; Roy, A.; Kumar, A.; Sharma, K.; Raj, S.; Verma, R. Nanobiochar: A sustainable solution for environmental remediation. Environ. Nanotechnol. Monit. Manag. 2025, 23, 101061. [Google Scholar] [CrossRef]
- Sun, X.; Yang, X.; Hu, Z.; Liu, F.; Xie, Z.; Li, S.; Bol, R. Biochar effects on soil nitrogen retention, leaching, and yield of perennial citron daylily under three irrigation regimes. Agric. Water Manag. 2024, 296, 108788. [Google Scholar] [CrossRef]
- Balasubramaniam, A.K.; Saste, G.; Kureshi, A.A.; Mulay, V.; Hingorani, L. Nutritional and health beneficial properties of spinach (Spinacia oleracea L): A comprehensive review. Pharmacol. Res. Nat. Prod. 2025, 8, 100368. [Google Scholar] [CrossRef]
- Roberts, J.L.; Moreau, R. Functional properties of spinach (Spinacia oleracea L.) phytochemicals and bioactives. Food Funct. 2016, 7, 3337–3353. [Google Scholar] [CrossRef]
- Zhang, J.; Liang, Z.; Jiao, D.; Tian, X.; Wang, C. Different water and nitrogen fertilizer rates effects on growth and development of spinach. Commun. Soil Sci. Plant Anal. 2018, 49, 1922–1933. [Google Scholar] [CrossRef]
- Massa, D.; Incrocci, L.; Botrini, L.; Carmassi, G.; Diara, C.; lli De Paoli, P.; Incrocci, G.; Maggini, R.; Pardossi, A. Modelling plant yield and quality response of fresh-market spinach (Spinacia oleracea L.) to mineral nitrogen availability in the root zone. Ital. J. Agron. 2018, 13, 1120. [Google Scholar] [CrossRef]
- Cataldo, D.A.; Maroon, M.; Schrader, L.E.; Youngs, V.L. Rapid Colorimetric Determination of Nitrate in Plant Tissue by Nitration of Salicylic Acid. Commun. Soil Sci. Plant Anal. 1975, 6, 71–80. [Google Scholar] [CrossRef]
- Weatherburn, M.W. Phenol–hypochlorite reaction for determination of ammonia. Anal. Chem. 1967, 39, 971–974. [Google Scholar] [CrossRef]
- Bremner, J.M.; Mulvaney, C.S. Nitrogen—Total. In Methods of Soil Analysis: Part 2 Chemical and Microbiological Properties; American Society of Agronomy, Inc.; Soil Science Society of America, Inc.: Madison, WI, USA, 1982; Chapter 31; pp. 595–624. [Google Scholar] [CrossRef]
- Keeney, D.R.; Nelson, D.W. Nitrogen—inorganic forms. In Methods of Soil Analysis: Part 2 Chemical and Microbiological Properties; American Society of Agronomy, Inc.; Soil Science Society of America, Inc.: Madison, WI, USA, 1982; Chapter 33; pp. 643–698. [Google Scholar] [CrossRef]
- Walkley, A.; Black, I.A. An Examination of the Degtjareff Method for Determining Soil Organic Matter, and a Proposed Modification of the Chromic Acid Titration Method. Soil Sci. 1934, 37, 29–38. [Google Scholar] [CrossRef]
- Bray, R.H.; Kurtz, L.T. Determination of Total, Organic, and Available Forms of Phosphorus in Soils. Soil Sci. 1945, 59, 39–45. [Google Scholar] [CrossRef]
- Thomas, G.W. Exchangeable cations. In Methods of Soil Analysis, Part 2, Chemical and Microbiological Properties; American Society of Agronomy, Inc.; Soil Science Society of America, Inc.: Madison, WI, USA, 1982; Volume Chapter 9, pp. 159–165. [Google Scholar] [CrossRef]
- Kjeldahl, J. New Method for the Determination of Nitrogen in Organic Compounds. Z. Anal. Chem. 1883, 22, 366–382. [Google Scholar] [CrossRef]
- Nelson, D.W.; Sommers, L.E. Total Nitrogen Analysis of Soil and Plant Tissue. J. Assoc. Off. Anal. Chem. 1980, 63, 770–778. [Google Scholar] [CrossRef]
- Richards, L.A. Diagnosis and Improvement of Saline and Alkali Soils; U.S. Department of Agriculture Handbook No. 60; U.S. Department of Agriculture: Washington, DC, USA, 1954.
- Rasheed, A.; Anwar, S.; Shafiq, F.; Khan, S.; Ashraf, M. Physiological and biochemical effects of biochar nanoparticles on spinach exposed to salinity and drought stresses. Environ. Sci. Pollut. Res. 2024, 31, 14103–14122. [Google Scholar] [CrossRef]
- Arnon, D.I. Copper Enzymes in Isolated Chloroplasts: Polyphenoloxidase in Beta vulgaris. Plant Physiol. 1949, 24, 1–15. [Google Scholar] [CrossRef]
- Lichtenthaler, H.K.; Wellburn, A.R. Determinations of total carotenoids and chlorophylls a and b of leaf extracts in different solvents. Biochem. Soc. Trans. 1983, 11, 591–592. [Google Scholar] [CrossRef]
- Lowry, O.H.; Rosebrough, N.J.; Farr, A.L.; Randall, R.J. Protein Measurement with the Folin Phenol Reagent. J. Biol. Chem. 1951, 193, 265–275. [Google Scholar] [CrossRef]
- Moore, S.; Stein, W.H. Photometric ninhydrin method for use in the chromatography of amino acids. J. Biol. Chem. 1948, 176, 367–388. [Google Scholar] [CrossRef] [PubMed]
- Yemm, E.W.; Willis, A.J. The estimation of carbohydrates in plant extracts by anthrone. Biochem. J. 1954, 57, 508–514. [Google Scholar] [CrossRef] [PubMed]
- Chang, C.; Yang, M.; Wen, H.; Chern, J. Estimation of total flavonoid content in propolis by two complementary colorimetric methods. J. Food Drug Anal. 2002, 10, 178–182. [Google Scholar] [CrossRef]
- Jaworski, E.G. Mode of action of N-phosphonomethylglycine. Inhibition of aromatic amino acid biosynthesis. J. Agric. Food Chem. 1972, 20, 1195–1198. [Google Scholar] [CrossRef]
- Hageman, R.H.; Reed, A.J. Nitrate reductase from higher plants. Methods Enzymol. 1980, 69, 270–280. [Google Scholar] [CrossRef]
- Amer, N.M.; Lahijani, P.; Mohammadi, M.; Mohamed, A.R. Modification of biomass-derived biochar: A practical approach towards the development of sustainable CO2 adsorbent. Biomass Convers. Biorefinery 2024, 14, 7401–7448. [Google Scholar] [CrossRef]
- Kordoghli, S.; Fassatoui, E.; Largeau, J.F.; Khiari, B. Slow pyrolysis of orange peels blended with agro-food wastes: Characterization of the biochars for environmental applications. Comptes Rendus Chim. 2023, 26, 37–51. [Google Scholar] [CrossRef]
- Nair, R.R.; Mondal, M.M.; Weichgrebe, D. Biochar from co-pyrolysis of urban organic wastes—Investigation of carbon sink potential using ATR-FTIR and TGA. Biomass Conv. Biorefinery 2022, 12, 4729–4743. [Google Scholar] [CrossRef]
- Li, K.; Zhang, D.; Niu, X.; Guo, H.; Yu, Y.; Tang, Z.; Lin, Z.; Fu, M. Insights into CO2 adsorption on KOH-activated biochars derived from the mixed sewage sludge and pine sawdust. Sci. Total Environ. 2022, 826, 154133. [Google Scholar] [CrossRef] [PubMed]
- Guo, S.; Li, Y.; Wang, Y.; Wang, L.; Sun, Y.; Liu, L. Recent Advances in Biochar-Based Adsorbents for CO2 Capture. Carbon Capture Sci. Technol. 2022, 4, 100059. [Google Scholar] [CrossRef]
- Aziz, S.; Uzair, B.; Ali, M.I.; Anbreen, S.; Umber, F.; Khalid, M.; Aljabali, A.A.A. Synthesis and characterization of nanobiochar from rice husk biochar for the removal of safranin and malachite green from water. Environ. Res. 2023, 238, 116909. [Google Scholar] [CrossRef]
- Tetteh, I.K.; Issahaku, I.; Tetteh, A.Y. Recent advances in synthesis, characterization, and environmental applications of activated carbons and other carbon derivatives. Carbon Trends 2024, 14, 100328. [Google Scholar] [CrossRef]
- Qin, Y.; Zhu, X.; Su, Q.; Anumah, A.; Gao, B.; Lyu, W.; Wang, B. Enhanced removal of ammonium from water by ball-milled biochar. Environ. Geochem. Health 2020, 42, 1579–1587. [Google Scholar] [CrossRef] [PubMed]
- Chaiyaraksa, C.; Sankanta, T.; Kamjan, T.; Kongsin, A. The impact of organic and chemical organic fertilizers on the efficiency of cadmium mobility reduction by potassium hydroxide modified biochar. Curr. Appl. Sci. Technol. 2024, 24, e0261151. [Google Scholar] [CrossRef]
- Elsayed, S.A.; Shady, M.A.; El-Etr, W.M. Nanobiochar Production, Evaluation, and Impact on the Effectiveness of Fertilizers and the Productivity of Maize Crop on Sandy Soil. Middle East J. Appl. Sci. 2023, 13, 589–608. [Google Scholar] [CrossRef]
- Phonlam, T.; Weerasuk, B.; Sataman, P.; Duangmanee, T.; Thongphanit, S.; Nilgumhang, K.; Anantachaisilp, S.; Chutimasakul, T.; Kwamman, T.; Chobpattana, V. Ammonia modification of activated carbon derived from biomass via gamma irradiation vs. hydrothermal method for methylene blue removal. S. Afr. J. Chem. Eng. 2023, 43, 67–78. [Google Scholar] [CrossRef]
- Wu, M.; Feng, Q.; Sun, X.; Wang, H.; Gielen, G.; Wu, W. Rice (Oryza sativa L.) plantation affects the stability of biochar in paddy soil. Sci. Rep. 2015, 5, 10001. [Google Scholar] [CrossRef]
- Chen, M.; Coasne, B.; Guyer, R.; Derome, D.; Carmeliet, J. Role of hydrogen bonding in hysteresis observed in sorption-induced swelling of soft nanoporous polymers. Nat. Commun. 2018, 9, 3507. [Google Scholar] [CrossRef] [PubMed]
- Ramanayaka, S.; Tsang, D.C.; Hou, D.; Ok, Y.S.; Vithanage, M. Green synthesis of graphitic nanobiochar for the removal of emerging contaminants in aqueous media. Sci. Total Environ. 2020, 706, 135725. [Google Scholar] [CrossRef]
- Chen, X.; Zhou, B. Synergistic effects of nano-biochar and crop on reducing rainwater runoff and phosphorus loss from sloping farmland. Arab. J. Geosci. 2022, 15, 43. [Google Scholar] [CrossRef]
- Shah, G.A.; Mustafa, M.; Asfour, H.Z.; Shoukat, K.; Yasin, A.; Ali, N.; Niazi, M.B.K.; Ondrasek, G.; Rashid, M.I. Nanobiochar-coating regulates n and p release from DAP fertilizer in soil and improves maize crop productivity. J. Soil Sci. Plant Nutr. 2024, 24, 6782–6797. [Google Scholar] [CrossRef]
- Saini, A.K.; Abrol, V.; Sharma, P.; Srinivasarao, C.; Parmar, A.S.; Lado, M.; Kumar, A.; Kumar, M.; Hashem, A.; Almutairi, K.F.; et al. Nitrogen-fortified nanobiochar impacts soil properties, root growth and basmati rice yield. Biochar 2025, 7, 102. [Google Scholar] [CrossRef]
- Kumar, A.; Singh, E.; Lo, S.L. MXene/biochar composites for enhanced wastewater reclamation and bioenergy production: A kinetics and thermodynamics study. Chemosphere 2024, 359, 142268. [Google Scholar] [CrossRef] [PubMed]
- Wang, S.; Zhao, H.; Liu, J.; Wang, X.; Li, J.; Shi, E.; Wang, C.; Yang, J.; Zhang, Z. A study on the adsorption mechanism of ammonium nitrogen by modified corn straw biochar. R. Soc. Open Sci. 2023, 10, 221535. [Google Scholar] [CrossRef]
- Clough, T.J.; Condron, L.M.; Kammann, C.; Müller, C. A review of biochar and soil nitrogen dynamics. Agronomy 2013, 3, 275–293. [Google Scholar] [CrossRef]
- Lehmann, J.; Joseph, S. (Eds.) Biochar for Environmental Management: Science, Technology, and Implementation, 2nd ed.; Routledge: Oxfordshire, UK, 2015. [Google Scholar]
- Havlin, J.L.; Tisdale, S.L.; Nelson, W.L.; Beaton, J.D. Soil Fertility and Fertilizers: An Introduction to Nutrient Management, 8th ed.; Pearson: London, UK, 2016. [Google Scholar]
- Chamoli, A.; Karn, S.K.; Kumari, M.; Sivaramasamy, E. Biochar mediated fixation of nitrogen compounds (ammonia and nitrite) in soil: A review. Biodegradation 2025, 36, 22. [Google Scholar] [CrossRef]
- Rajput, V.D.; Minkina, T.; Ahmed, B.; Singh, V.K.; Mandzhieva, S.; Sushkova, S.; Bauer, T.; Verma, K.K.; Shan, S.; van Hullebusch, E.D.; et al. Nano-biochar: A novel solution for sustainable agriculture and environmental remediation. Environ. Res. 2022, 210, 112891. [Google Scholar] [CrossRef]
- Sultan, H.; Li, Y.; Ahmed, W.; Shah, A.; Faizan, M.; Ahmad, A.; Khan, M.N. Biochar and nano biochar: Enhancing salt resilience in plants and soil while mitigating greenhouse gas emissions: A comprehensive review. J. Environ. Manag. 2024, 355, 120448. [Google Scholar] [CrossRef]
- Chen, J.; Li, J.; Li, W.; Li, P.; Zhu, R.; Zhong, Y.; Zhang, W.; Li, T. The Optimal Ammonia-Nitrate Ratio for Various Crops: A Meta-Analysis. Field Crops Res. 2024, 307, 109240. [Google Scholar] [CrossRef]
- Wang, Z.H.; Li, S.X. Effects of N forms and rates on vegetable growth and nitrate accumulation. Pedosphere 2003, 13, 309–316. [Google Scholar]
- Raza, M.A.S.; Ibrahim, M.A.; Ditta, A.; Iqbal, R.; Aslam, M.U.; Muhammad, F.; Elshikh, M.S. Exploring the recuperative potential of brassinosteroids and nano-biochar on growth, physiology, and yield of wheat under drought stress. Sci. Rep. 2023, 13, 15015. [Google Scholar] [CrossRef] [PubMed]
- Li, Y.; Wang, X.; Guan, Y.; Wu, Q.; Chi, D.; Bolan, N.S.; Siddique, K.H. Nano-biochar-based struvite with urea reduces ammonia emission and warming potential, promotes nitrogen utilization balance, and improves net ecosystem economic benefits of paddy fields. Field Crops Res. 2025, 326, 109872. [Google Scholar] [CrossRef]
- Shiade, S.R.G.; Fathi, A.; Rahimi, R. Nano-and Nano-Biochar in Reducing Soil Stress: An Integrated Approach for Sustainable Agriculture. In Nanomaterials and Nano-Biochar in Reducing Soil Stress; Apple Academic Press: Palm Bay, FL, USA, 2025; pp. 93–113. [Google Scholar]










| Treatments | Swelling Ratio | Equilibrium Water Content (%) | N-NH4+ (mg kg−1) | N-NO3− (mg kg−1) | Available N (g kg−1) |
|---|---|---|---|---|---|
| NB | 0.80 d ± 0.03 | 47.65 e ± 1.4 | 4552 de ± 12.6 | 428 cd ± 10.6 | 4.98 cd ± 0.11 |
| NB-AC1 | 1.32 a ± 0.01 | 56.89 a ± 1.3 | 5608 cd ± 25.8 | 608 c ± 16.5 | 6.22 cd ± 0.13 |
| NB-AC2 | 1.16 a–c ± 0.01 | 53.70 cd ± 2.7 | 6952 c ± 60.1 | 667 c ± 10.7 | 7.62 c ± 0.52 |
| NB-AC3 | 1.24 ab ± 0.05 | 55.35 ab ± 0.9 | 30,900 a ± 47.5 | 104 d ± 5.3 | 31.00 a ± 0.11 |
| NB-AN1 | 0.96 cd ± 0.10 | 48.97 e ± 1.6 | 2472 e ± 19.3 | 720 c ± 10.5 | 3.19 d ± 0.10 |
| NB-AN2 | 1.08 bc ± 0.03 | 51.92 d ± 2.6 | 4040 de ± 39.4 | 2080 b ± 12.3 | 6.12 cd ± 0.88 |
| NB-AN3 | 1.24 ab ± 0.01 | 55.35 ab ± 2.7 | 14,400 b ± 50.5 | 4560 a ± 20.1 | 18.96 b ± 0.15 |
| ANOVA (F-values) | 45.5 *** | 74.3 *** | 105.1 *** | 84.0 *** | 37.0 *** |
| Treatment | NH4+ Release (mg L−1) | NO3− Release (mg L−1) | ||||||
|---|---|---|---|---|---|---|---|---|
| 3 h | 6 h | 9 h | 12 h | 3 h | 6 h | 9 h | 12 h | |
| NB | 140 m ± 1.0 | 140 m ± 3.9 | 140 m ± 3.1 | 168 m ± 2.0 | 672 ij ± 3.2 | 700 h–j ± 8.4 | 784 gh ± 1.1 | 784 gh ± 1.2 |
| NB-AC1 | 224 lm ± 3.5 | 224 lm ± 2.2 | 280 kl ± 2.7 | 308 j–l ± 6.1 | 504 k ± 3.5 | 728 h–j ± 3.6 | 784 gh ± 2.5 | 868 g ± 7.0 |
| NB-AC2 | 308 j–l ± 8.1 | 280 kl ± 3.1 | 364 i–k ± 11.4 | 364 i–k ± 3.4 | 508 k ± 3.0 | 980 f ± 2.3 | 780 gh ± 3.4 | 980 f ± 3.4 |
| NB-AC3 | 392 ij ± 2.0 | 336 i-k ± 12.2 | 364 i-k ± 3.7 | 280 kl ± 6.9 | 712 h–j ± 4.8 | 648 j ± 3.2 | 760 hi ± 5.0 | 760 hi ± 5.3 |
| NB-AN1 | 336 i–k ± 1.9 | 308 j–l ± 3.4 | 420 i ± 4.1 | 364 i–k ± 2.5 | 1204 c–e ± 3.7 | 1120 e ± 4.9 | 1204 c–e ± 19.2 | 1148 e ± 7.0 |
| NB-AN2 | 336 i–k ± 3.2 | 280 kl ± 2.0 | 280 kl ± 3.6 | 336 i–k ± 4.2 | 1120 e ± 6.3 | 1120 e ± 1.2 | 1176 de ± 16.3 | 1204 c–e ± 4.2 |
| NB-AN3 | 672 gh ± 3.6 | 588 h ± 5.2 | 644 gh ± 6.4 | 728 g ± 9.4 | 1204 c–e ± 8.1 | 1260 cd ± 11.0 | 1288 c ± 9.0 | 1288 c ± 6.1 |
| NH4Cl | 2688 e ± 10.4 | 3500 b ± 12.6 | 3360 c ± 15.7 | 4620 a ± 4.0 | ND | ND | ND | ND |
| NH4NO3 | 2090 b ± 12.7 | 2976.4 d ± 24.5 | 3290 c ± 26.5 | 3318 c ± 12.1 | 1512 b ± 21.4 | 1204 c–e ± 7.1 | 1512 b ± 8.1 | 1568 a ± 11.0 |
| ANOVA (F-values) | 84.10 *** | 69.20 *** | ||||||
| Treatments | EC (dS/m) | pH | Organic Matter (%) | Available P (mg kg−1) | Extractable K (mg kg−1) | Saturation (%) | Total N (g kg−1) | Available N (g kg−1) | N-NH4+ (mg kg−1) | N-NO3− (mg kg−1) |
|---|---|---|---|---|---|---|---|---|---|---|
| No-NB | 1.80 bc ± 0.04 | 6.47 a ± 0.36 | 3.43 a ± 0.26 | 31.4 c ± 0.86 | 67.5 a ± 2.22 | 40.3 d ± 1.42 | 2.30 b ± 0.03 | 1.60 cd ± 0.01 | 1400 d ± 10.1 | 203.3 c ± 9.38 |
| NB | 3.60 a ± 0.21 | 7.88 a ± 0.12 | 3.28 a ± 0.17 | 65.2 b ± 3.71 | 63.6 a ± 5.40 | 41.1 b–d ± 0.97 | 2.10 bc ± 0.08 | 1.80 c ± 0.03 | 1700 c ± 11.1 | 115.3 d ± 4.67 |
| NB-AC1 | 2.50 ab ± 0.40 | 6.05 a ± 0.24 | 3.28 a ± 0.17 | 31.0 c ± 0.37 | 69.0 a ± 5.88 | 40.6 cd ± 0.26 | 1.90 c ± 0.11 | 1.60 cd ± 0.02 | 1500 d ± 38.1 | 103.3 d ± 18.27 |
| NB-AC2 | 1.71 bc ± 0.15 | 7.60 a ± 0.23 | 3.50 a ± 0.17 | 99.0 a ± 1.24 | 77.1 a ± 7.59 | 42.0 ab ± 0.31 | 2.41 b ± 0.03 | 2.20 b ± 0.03 | 2000 b ± 6.02 | 204.0 c ± 8.18 |
| NB-AC3 | 1.00 c ± 0.22 | 6.55 a ± 0.58 | 3.43 a ± 0.26 | 57.7 bc ± 2.60 | 67.5 a ± 6.06 | 40.0 d ± 0.70 | 2.40 b ± 0.08 | 1.80 c ± 0.02 | 1400 d ± 26.5 | 403.3 a ± 18.27 |
| NB-AN1 | 1.70 c ± 0.27 | 7.73 a ± 0.67 | 3.43 a ± 0.06 | 62.4 b ± 0.47 | 69.4 a ± 4.93 | 42.3 a ± 0.51 | 1.90 c ± 0.09 | 1.50 d ± 0.01 | 1100 e ± 55.9 | 402.0 a ± 15.04 |
| NB-AN2 | 1.20 c ± 0.11 | 7.68 a ± 0.70 | 3.35 a ± 0.08 | 60.0 b ± 3.16 | 65.0 a ± 4.90 | 41.7 a–c ± 0.61 | 1.90 c ± 0.05 | 1.80 c ± 0.01 | 1500 d ± 47.6 | 302.3 b ± 14.31 |
| NB-AN3 | 1.61 bc ± 0.31 | 7.76 a ± 0.57 | 3.28 a ± 0.17 | 31.6 c ± 4.97 | 67.0 a ± 5.19 | 42.7 a ± 0.50 | 3.20 a ± 0.06 | 2.70 a ± 0.01 | 2400 a ± 35.7 | 305.3 b ± 6.38 |
| ANOVA (F-values) | 11.5 *** | 2.29 ns | 0.22 ns | 74.3 *** | 0.55 ns | 1.90 ns | 35.1 *** | 53.2 *** | 145.1 *** | 83.3 *** |
| Treatments | Pn (µmol CO2 m−2 s−1) | E (mmol H2O m−2 s−1) | gs (mol H2O m−2 s−1) | Ci (µmol CO2 mol−1) |
|---|---|---|---|---|
| No-NB | 9.99 e ± 0.33 | 7.33 d ± 0.34 | 0.17 b ± 0.07 | 103 f ± 8.50 |
| NB | 10.55 e ± 0.41 | 10.38 c ± 0.51 | 0.19 b ± 0.08 | 118 ef ± 3.51 |
| NB-AC1 | 14.41 d ± 0.06 | 11.41 c ±0.58 | 0.23 b ± 0.07 | 131.33 def ± 5.21 |
| NB-AC2 | 14.99 d ± 0.01 | 14.32 b ± 0.33 | 0.27 ab ± 0.05 | 146 cde ± 3.60 |
| NB-AC3 | 15.41 d ± 0.24 | 14.41 b ± 0.24 | 0.29 ab ± 0.09 | 148 cd ± 8.50 |
| NB-AN1 | 20.92 c ± 0.38 | 14.92 b ± 0.38 | 0.30 ab ± 0.06 | 173 bc ± 3.21 |
| NB-AN2 | 23.76 b ± 0.44 | 14.76 b ± 0.61 | 0.33 ab ± 0.05 | 186 ab ± 6.11 |
| NB-AN3 | 25.73 a ± 0.53 | 17.06 a ± 0.27 | 0.46 a ± 0.14 | 209 a ± 5.68 |
| ANOVA (F-value) | 284 *** | 68.4 *** | 3.69 *** | 36.6 *** |
Disclaimer/Publisher’s Note: The statements, opinions and data contained in all publications are solely those of the individual author(s) and contributor(s) and not of MDPI and/or the editor(s). MDPI and/or the editor(s) disclaim responsibility for any injury to people or property resulting from any ideas, methods, instructions or products referred to in the content. |
© 2026 by the authors. Licensee MDPI, Basel, Switzerland. This article is an open access article distributed under the terms and conditions of the Creative Commons Attribution (CC BY) license.
Share and Cite
Kashaf; Anwar, S.; Shafiq, F.; Kausar, A.; Khan, S.; Ashraf, M.; Shah, S.A. Nitrogen-Enriched Nanobiochar Enhances Spinach Growth via Improved Nitrogen Retention and Uptake Mechanisms. Nitrogen 2026, 7, 11. https://doi.org/10.3390/nitrogen7010011
Kashaf, Anwar S, Shafiq F, Kausar A, Khan S, Ashraf M, Shah SA. Nitrogen-Enriched Nanobiochar Enhances Spinach Growth via Improved Nitrogen Retention and Uptake Mechanisms. Nitrogen. 2026; 7(1):11. https://doi.org/10.3390/nitrogen7010011
Chicago/Turabian StyleKashaf, Sumera Anwar, Fahad Shafiq, Abida Kausar, Shahbaz Khan, Muhammad Ashraf, and Syed Ahmed Shah. 2026. "Nitrogen-Enriched Nanobiochar Enhances Spinach Growth via Improved Nitrogen Retention and Uptake Mechanisms" Nitrogen 7, no. 1: 11. https://doi.org/10.3390/nitrogen7010011
APA StyleKashaf, Anwar, S., Shafiq, F., Kausar, A., Khan, S., Ashraf, M., & Shah, S. A. (2026). Nitrogen-Enriched Nanobiochar Enhances Spinach Growth via Improved Nitrogen Retention and Uptake Mechanisms. Nitrogen, 7(1), 11. https://doi.org/10.3390/nitrogen7010011

