Sign in to use this feature.

Years

Between: -

Subjects

remove_circle_outline
remove_circle_outline
remove_circle_outline
remove_circle_outline
remove_circle_outline
remove_circle_outline
remove_circle_outline
remove_circle_outline
remove_circle_outline

Journals

Article Types

Countries / Regions

Search Results (72)

Search Parameters:
Keywords = nano-priming

Order results
Result details
Results per page
Select all
Export citation of selected articles as:
19 pages, 3418 KB  
Article
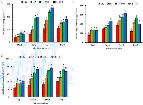
Physiological Mechanisms of Nano-CeO2 and Nano-TiO2 as Seed-Priming Agents in Enhancing Drought Tolerance of Barley Seedlings
by Xiang Ye, Ruijiao Song and Juncang Qi
Agronomy 2026, 16(3), 316; https://doi.org/10.3390/agronomy16030316 - 27 Jan 2026
Abstract
Nanotechnology holds great promise for alleviating drought stress in crops. This study elucidates and compares the distinct physiological mechanisms by which two nanomaterials, nano-cerium oxide (CeO2) and nano-titanium dioxide (TiO2), function as seed-priming agents to enhance drought tolerance in [...] Read more.
Nanotechnology holds great promise for alleviating drought stress in crops. This study elucidates and compares the distinct physiological mechanisms by which two nanomaterials, nano-cerium oxide (CeO2) and nano-titanium dioxide (TiO2), function as seed-priming agents to enhance drought tolerance in barley. A comprehensive analysis encompassing germination performance, hormonal dynamics, starch metabolism, osmotic adjustment, photosynthetic pigments, and the antioxidant system revealed that each nanomaterial operates through a unique pathway. Specifically, priming with 150 mg·L−1 nano-CeO2 (CP-150) primarily promoted root development and stress resilience. This effect was achieved by persistently reducing abscisic acid (ABA) levels, elevating gibberellin (GA3), enhancing amylase activity to mobilize seed reserves, and increasing soluble protein accumulation in roots. In contrast, priming with 500 mg·L−1 nano-TiO2 (TP-500) was more effective in enhancing shoot physiology and adaptive capacity by rapidly inducing auxin (IAA), robustly stimulating the antioxidant enzyme system, and increasing photosynthetic pigment content. The temporally and spatially complementary actions of these nanomaterials, with nano-CeO2 fostering root-based resilience and nano-TiO2 boosting shoot-level functions, synergistically support seed germination and seedling establishment under drought conditions. This study provides a mechanistic foundation for designing targeted nano-priming strategies to improve crop drought resistance. Full article
(This article belongs to the Section Plant-Crop Biology and Biochemistry)
Show Figures

Figure 1

17 pages, 2799 KB  
Article
Development and Multi-Scale Evaluation of a Novel Polyfluorosilicone Triple-Layer Anti-Seepage Coating for Hydraulic Concrete
by Nazim Hussain, Guoxin Zhang, Songhui Li, Xunan Liu, Xiangyu Luo and Junhua Hu
Coatings 2026, 16(1), 85; https://doi.org/10.3390/coatings16010085 - 9 Jan 2026
Viewed by 274
Abstract
The deterioration of concrete hydraulic structures caused by chemical factors, seepage, and environmental stress necessitates advanced protective coatings that enhance durability, flexibility, and environmental sustainability. Conventional protective systems often exhibit limited durability under combined hydraulic, thermal, and chemical stress. In this study, a [...] Read more.
The deterioration of concrete hydraulic structures caused by chemical factors, seepage, and environmental stress necessitates advanced protective coatings that enhance durability, flexibility, and environmental sustainability. Conventional protective systems often exhibit limited durability under combined hydraulic, thermal, and chemical stress. In this study, a novel polyfluorosilicone-based coating system is presented, which integrates a deep-penetrating nano-primer for substrate reinforcement, a crack-bridging polymer intermediate layer for impermeability, and a polyfluorosilicone topcoat providing UV and weather resistance. The multilayer architecture addresses the inherent trade-offs between adhesion, flexibility, and durability observed in conventional waterproofing systems. Informed by a mechanistic study of interfacial adhesion and failure modes, the coating exhibits outstanding high mechanical and performance characteristics, including a mean pull-off bond strength of 4.56 ± 0.14 MPa for the fully cured triple-layer coating system, with cohesive failure occurring within the concrete substrate, signifying a bond stronger than the material it protects. The system withstood 2.2 MPa water pressure and 200 freeze–thaw cycles with 87.2% modulus retention, demonstrating stable mechanical and environmental durability. The coating demonstrated excellent resilience, showing no evidence of degradation after 1000 h of UV aging, 200 freeze–thaw cycles, and exposure to alkaline solutions. This water-based formulation meets green-material standards, with low volatile organic compound (VOC) levels and minimal harmful chemicals. The results validate that a multi-scale, layered design strategy effectively decouples and addresses the distinct failure mechanisms in hydraulic environments, providing a robust and sustainable solution. Full article
(This article belongs to the Section Functional Polymer Coatings and Films)
Show Figures

Figure 1

18 pages, 1615 KB  
Article
Integrating Computational and Experimental Approaches for the Discovery of Multifunctional Peptides from the Marine Gastropod Pisania pusio with Antimicrobial and Anticancer Properties
by Ernesto M. Martell-Huguet, Thalia Moran-Avila, José E. Villuendas, Armando Rodriguez, Ann-Kathrin Kissmann, Ludger Ständker, Sebastian Wiese, Anselmo J. Otero-Gonzalez and Frank Rosenau
Mar. Drugs 2026, 24(1), 32; https://doi.org/10.3390/md24010032 - 8 Jan 2026
Viewed by 390
Abstract
Marine invertebrates are a prime source of biologically active peptides due to their role in humoral immunity. These peptides typically exhibit broad-spectrum functions, including antibacterial, antifungal, anticancer, and immunomodulatory activities. In this report, we describe the identification and biological characterization of five novel [...] Read more.
Marine invertebrates are a prime source of biologically active peptides due to their role in humoral immunity. These peptides typically exhibit broad-spectrum functions, including antibacterial, antifungal, anticancer, and immunomodulatory activities. In this report, we describe the identification and biological characterization of five novel bioactive peptides from the marine mollusk Pisania pusio. An extract of P. pusio was analyzed using nanoLC-ESI-MS-MS, and five peptides (PP1–5) were selected via bioinformatic screening as potential antimicrobial and anticancer peptides and subsequently validated experimentally. Among these, PP1, PP2, and PP4 were identified as cryptides derived from the proteolytic cleavage of actin, while PP3 and PP5 are novel peptides with no known protein precursors. All peptides exhibited moderate activity against Pseudomonas aeruginosa, Escherichia coli, Staphylococcus aureus, and Klebsiella pneumoniae with minimum inhibitory concentrations (MICs) predominantly at 100 µM. In contrast, only PP1 and PP5 were active against cancer cells, with PP1 being the most effective against A375 melanoma cells (IC50 = 17.08 µM). This experimental validation confirmed the utility of the integrated in silico/peptidomic pipeline for lead identification. None of these peptides showed significant hemolytic activity or toxicity on fetal lung fibroblasts over 800 μM, demonstrating promising in vitro selectivity. These results highlight the multifunctional nature of P. pusio-derived peptides and their potential as lead compounds for further optimization and development into therapeutic agents against microbial infections and cancer, subject to more comprehensive safety evaluations in relevant models Full article
(This article belongs to the Special Issue Toxins as Marine-Based Drug Discovery, 2nd Edition)
Show Figures

Figure 1

20 pages, 15298 KB  
Article
Nanopriming with Au-NPs Enhances Tomato Metabolism and Cold Tolerance
by Yuliya Venzhik, Natalia Naraikina, Alexander Deryabin, Kseniya Zhukova, Mariya Snigur, Alexander Kartashov, Ivan Kochetkov and Lev Dykman
Plants 2026, 15(1), 83; https://doi.org/10.3390/plants15010083 - 26 Dec 2025
Viewed by 253
Abstract
Nanopriming is a unique way to change the metabolism and stress tolerance of plants. In this study, the effects of seed priming with gold nanoparticles (Au-NPs, 15 nm) on the photosynthetic apparatus, pro-/antioxidant balance, and cold tolerance of tomato (Solanum lycopersicum L.) [...] Read more.
Nanopriming is a unique way to change the metabolism and stress tolerance of plants. In this study, the effects of seed priming with gold nanoparticles (Au-NPs, 15 nm) on the photosynthetic apparatus, pro-/antioxidant balance, and cold tolerance of tomato (Solanum lycopersicum L.) were examined for the first time. The study revealed that nanopriming with Au-NPs (20 µg mL−1 for 24 h) causes an increase in cold tolerance both under control conditions and after cold adaptation at 9 °C for 5 d. In additional, nanopriming leads to the formation of tomato plants with altered photosynthetic apparatus and pro-/antioxidant status. At the same time, nanoparticles do not accumulate in the aboveground parts of the plants. Under control conditions, nanopriming enhances photosynthesis rate, the relative expression of rbcS gene, the number of grana in chloroplast, and the content of photosynthetic pigments in leaves. Regardless of the temperature (in control conditions and during cold adaptation), nanopriming increases the size of chloroplast, the relative expression of rbcL gene, the content of malonic dialdehyde and H2O2, and the activity of catalase and superoxide dismutase in leaves. Nanopriming decreases the activity of ascorbate peroxidase and sugar content in tomato leaves and leads to a number of structural changes in chloroplasts. This study highlights the potential of the use of Au-NPs as a promising strategy to mitigate cold stress in tomato plants by affecting photosynthesis and the antioxidant system. Full article
(This article belongs to the Special Issue Nanotechnology in Crop Physiology and Sustainable Agriculture)
Show Figures

Figure 1

17 pages, 4746 KB  
Article
Effect of Silver Nanoparticles on Growth of Wheat: Is It Stage-Specific or Not?
by Alexander G. Khina, Liliya R. Biktasheva, Alexander S. Gordeev, Dmitry M. Mikhaylov, Maria T. Mukhina, Georgii V. Lisichkin and Yurii A. Krutyakov
Agronomy 2025, 15(11), 2540; https://doi.org/10.3390/agronomy15112540 - 31 Oct 2025
Viewed by 843
Abstract
Experimental studies published to date on the effects of silver nanoparticles (AgNPs) on plants have yielded highly contradictory results: reported outcomes range from growth inhibition to stimulation. The objective of this research was to test the hypothesis that the ontogenetic stage at the [...] Read more.
Experimental studies published to date on the effects of silver nanoparticles (AgNPs) on plants have yielded highly contradictory results: reported outcomes range from growth inhibition to stimulation. The objective of this research was to test the hypothesis that the ontogenetic stage at the time of exposure to AgNPs is a key determinant of both the qualitative profile and quantitative magnitude of plant responses. For this purpose, laboratory seed priming and small-plot field experiments with wheat plants (Triticum aestivum L.) treated with stabilized dispersions of AgNPs at 1–100 mg∙L−1 were conducted. It was shown that seed priming with low concentrations of AgNPs (1–5 mg∙L−1) did not affect wheat seedling growth, whereas dispersions at ≥25 mg∙L−1 suppressed development. In agreement, antioxidant enzyme activities (POD, CAT, PPO) increased at 1–5 mg·L−1 and decreased at 100 mg·L−1. By contrast, foliar treatments of field-grown wheat increased plant population density, plant height, spike structure metrics, and grain yield. The optimal regimen—three foliar applications at 5 mg·L−1—increased grain yield by 12.1% from 5.89 t·ha−1 to 6.60 t·ha−1. At low doses of AgNPs, activities of peroxidase, catalase, and polyphenol oxidase in seedlings tissues increased, indicating activation of nonspecific defense mechanisms; at higher concentrations, activities of these enzymes decreased, indicating antioxidant system exhaustion and dysfunction. The findings demonstrate dose- and stage-dependent effects and corroborate the central role of the developmental stage of wheat in determining responses to AgNPs, indicating opportunities to optimize stage-aware, low-dose application regimes to enhance productivity while minimizing phytotoxic risk. Full article
(This article belongs to the Section Plant-Crop Biology and Biochemistry)
Show Figures

Figure 1

22 pages, 4420 KB  
Article
Seed Nanopriming Improves Jalapeño Pepper Seedling Quality for Transplantation
by Erick H. Ochoa-Chaparro, Juan J. Patiño-Cruz, Julio C. Anchondo-Páez, Alan Alvarez-Monge, Cristina L. Franco-Lagos and Esteban Sánchez
Seeds 2025, 4(3), 47; https://doi.org/10.3390/seeds4030047 - 22 Sep 2025
Viewed by 896
Abstract
Nanopriming with metal nanoparticles (NPs) is a promising strategy for improving seedling quality in horticultural crops. This study evaluated the effects of hydropriming, ZnO, SiO2, ZnO + SiO2, a ZnMo nanofertilizer, and two commercial biostimulants (Osmoplant and Codasil) on [...] Read more.
Nanopriming with metal nanoparticles (NPs) is a promising strategy for improving seedling quality in horticultural crops. This study evaluated the effects of hydropriming, ZnO, SiO2, ZnO + SiO2, a ZnMo nanofertilizer, and two commercial biostimulants (Osmoplant and Codasil) on the early development of Capsicum annuum L. seedlings. Morphological, physiological, and biochemical traits, including biomass, stem architecture, number of leaves, chlorophylls, carotenoids, SPAD index, and nitrate reductase (NR) activity, were measured under controlled conditions. The ZnO and ZnO + SiO2 treatments promoted stronger root growth, higher pigment content, and higher NR activity. SiO2 alone and ZnMo showed intermediate improvements, while Osmoplant and Codasil had more limited effects. Multivariate analyses provided complementary information: heat maps revealed correlations between traits, PCA differentiated treatment responses, and radar charts integrated performance profiles. Overall, the results provide promising evidence that seed nanopriming, particularly with ZnO and ZnO + SiO2, improves seedling vigor and transplant potential in jalapeño peppers. Full article
Show Figures

Figure 1

23 pages, 3314 KB  
Article
Functional Express Proteomics for Search and Identification of Differentially Regulated Proteins Involved in the Reaction of Wheat (Triticum aestivum L.) to Nanopriming by Gold Nanoparticles
by Natalia Naraikina, Tomiris Kussainova, Andrey Shelepchikov, Alexey Tretyakov, Alexander Deryabin, Kseniya Zhukova, Valery Popov, Irina Tarasova, Lev Dykman and Yuliya Venzhik
Int. J. Mol. Sci. 2025, 26(15), 7608; https://doi.org/10.3390/ijms26157608 - 6 Aug 2025
Cited by 2 | Viewed by 926
Abstract
Proteomic profiling using ultrafast chromatography–mass spectrometry provides valuable insights into plant responses to abiotic factors by linking molecular changes with physiological outcomes. Nanopriming, a novel approach involving the treatment of seeds with nanoparticles, has demonstrated potential for enhancing plant metabolism and productivity. However, [...] Read more.
Proteomic profiling using ultrafast chromatography–mass spectrometry provides valuable insights into plant responses to abiotic factors by linking molecular changes with physiological outcomes. Nanopriming, a novel approach involving the treatment of seeds with nanoparticles, has demonstrated potential for enhancing plant metabolism and productivity. However, the molecular mechanisms underlying nanoparticle-induced effects remain poorly understood. In this study, we investigated the impact of gold nanoparticle (Au-NP) seed priming on the proteome of wheat (Triticum aestivum L.) seedlings. Differentially regulated proteins (DRPs) were identified, revealing a pronounced reorganization of the photosynthetic apparatus (PSA). Both the light-dependent reactions and the Calvin cycle were affected, with significant upregulation of chloroplast-associated protein complexes, including PsbC (CP43), chlorophyll a/b-binding proteins, Photosystem I subunits (PsaA and PsaB), and the γ-subunit of ATP synthase. The large subunit of ribulose-1,5-bisphosphate carboxylase/oxygenase (RuBisCo) exhibited over a threefold increase in expression in Au-NP-treated seedlings. The proteomic changes in the large subunit RuBisCo L were corroborated by transcriptomic data. Importantly, the proteomic changes were supported by physiological and biochemical analyses, ultrastructural modifications in chloroplasts, and increased photosynthetic activity. Our findings suggest that Au-NP nanopriming triggers coordinated molecular responses, enhancing the functional activity of the PSA. Identified DRPs may serve as potential biomarkers for further elucidation of nanopriming mechanisms and for the development of precision strategies to improve crop productivity. Full article
(This article belongs to the Special Issue Molecular Research and Applications of Nanomaterials)
Show Figures

Figure 1

25 pages, 1258 KB  
Review
Seed Priming Beyond Stress Adaptation: Broadening the Agronomic Horizon
by Mujo Hasanović, Adaleta Durmić-Pašić and Erna Karalija
Agronomy 2025, 15(8), 1829; https://doi.org/10.3390/agronomy15081829 - 28 Jul 2025
Cited by 5 | Viewed by 4918
Abstract
Seed priming, traditionally viewed as a method for enhancing crop resilience to abiotic stress, has evolved into a multifaceted agronomic strategy. This review synthesizes the current findings demonstrating that priming influences plant development, metabolic regulation, and yield enhancement even under optimal conditions. By [...] Read more.
Seed priming, traditionally viewed as a method for enhancing crop resilience to abiotic stress, has evolved into a multifaceted agronomic strategy. This review synthesizes the current findings demonstrating that priming influences plant development, metabolic regulation, and yield enhancement even under optimal conditions. By covering a wide range of crops, including cereals (e.g., wheat, maize, rice, and barley) as well as vegetables and horticultural species (e.g., tomato, carrot, spinach, and lettuce), we highlight the broad applicability of priming across agricultural systems. The underlying mechanisms include hormonal modulation, altered source–sink dynamics, accelerated phenology, and epigenetic memory. Various priming techniques are discussed, including hydropriming, osmopriming, biopriming, chemopriming, and nanopriming, with attention to their physiological and molecular effects. Special focus is given to the role of seed priming in advancing climate-smart and precision agriculture. By shifting the narrative from stress mitigation to holistic crop performance optimization, seed priming emerges as a key tool for sustainable agriculture in the face of global challenges. Full article
(This article belongs to the Section Plant-Crop Biology and Biochemistry)
Show Figures

Figure 1

18 pages, 4008 KB  
Article
Carboxymethyl Chitosan Cinnamaldehyde Coated SilverNanocomposites for Antifungal Seed Priming in Wheat: A Dual-Action Approach Toward Sustainable Crop Protection
by María Mondéjar-López, María Paz García-Simarro, Lourdes Gómez-Gómez, Oussama Ahrazem and Enrique Niza
Polymers 2025, 17(15), 2031; https://doi.org/10.3390/polym17152031 - 25 Jul 2025
Viewed by 963
Abstract
Biogenic silver nanoparticles (AgNPs) were synthesized via a green chemistry strategy using wheat extract and subsequently functionalized with a carboxymethyl chitosan–cinnamaldehyde (CMC=CIN) conjugate through covalent imine bonding. The resulting nanohybrid (AgNP–CMC=CIN) was extensively characterized to confirm successful biofunctionalization: UV–Vis spectroscopy revealed characteristic cinnamaldehyde [...] Read more.
Biogenic silver nanoparticles (AgNPs) were synthesized via a green chemistry strategy using wheat extract and subsequently functionalized with a carboxymethyl chitosan–cinnamaldehyde (CMC=CIN) conjugate through covalent imine bonding. The resulting nanohybrid (AgNP–CMC=CIN) was extensively characterized to confirm successful biofunctionalization: UV–Vis spectroscopy revealed characteristic cinnamaldehyde absorption peaks; ATR-FTIR spectra confirmed polymer–terpene bonding; and TEM analysis evidenced uniform nanoparticle morphology. Dynamic light scattering (DLS) measurements indicated an increase in hydrodynamic size upon coating (from 59.46 ± 12.63 nm to 110.17 ± 4.74 nm), while maintaining low polydispersity (PDI: 0.29 to 0.27) and stable surface charge (zeta potential ~ −30 mV), suggesting colloidal stability and homogeneous polymer encapsulation. Antifungal activity was evaluated against Fusarium oxysporum, Penicillium citrinum, Aspergillus niger, and Aspergillus brasiliensis. The minimum inhibitory concentration (MIC) against F. oxysporum was significantly reduced to 83 μg/mL with AgNP–CMC=CIN, compared to 708 μg/mL for uncoated AgNPs, and was comparable to the reference fungicide tebuconazole (52 μg/mL). Seed priming with AgNP–CMC=CIN led to improved germination (85%) and markedly reduced fungal colonization, while maintaining a favorable phytotoxicity profile. These findings highlight the potential of polysaccharide-terpene-functionalized biogenic AgNPs as a sustainable alternative to conventional fungicides, supporting their application in precision agriculture and integrated crop protection strategies. Full article
(This article belongs to the Special Issue Polymer Materials for Environmental Applications)
Show Figures

Figure 1

19 pages, 933 KB  
Review
Exploring Seed Priming as a Strategy for Enhancing Abiotic Stress Tolerance in Cereal Crops
by Iman Janah, Abdelhadi Elhasnaoui, Raja Ben Laouane, Mohamed Ait-El-Mokhtar and Mohamed Anli
Stresses 2025, 5(2), 39; https://doi.org/10.3390/stresses5020039 - 5 Jun 2025
Cited by 5 | Viewed by 5798
Abstract
From germination to harvest, cereal crops are constantly exposed to a broad spectrum of abiotic stresses that significantly hinder their growth and productivity, posing a serious threat to global food security. Seed resilience and performance are foundational to sustainable agriculture, making the development [...] Read more.
From germination to harvest, cereal crops are constantly exposed to a broad spectrum of abiotic stresses that significantly hinder their growth and productivity, posing a serious threat to global food security. Seed resilience and performance are foundational to sustainable agriculture, making the development of efficient, low-cost, and environmentally friendly strategies to enhance seed vigor and stress tolerance a critical priority. Seed priming has emerged as a promising pre-sowing technique that involves exposing seeds to specific organic or inorganic compounds under controlled conditions to improve their physiological and biochemical traits. Various priming techniques—including halopriming, chemical priming, osmopriming, hormonal priming, hydropriming, biopriming, and nanopriming—have been successfully applied in cereal crops to alleviate the adverse effects of environmental stressors. These treatments trigger a cascade of metabolic and molecular responses, including the modulation of hormonal signaling, enhancement of antioxidant defense systems, stabilization of cellular structures, and upregulation of stress-responsive genes. Together, these changes contribute to enhanced seed germination, improved growth and performance, and greater adaptability to abiotic stress conditions. This review provides a comprehensive overview of seed priming strategies in cereal crops, emphasizing their mechanisms of action and their impact on plant performance in challenging environments. Full article
(This article belongs to the Section Plant and Photoautotrophic Stresses)
Show Figures

Figure 1

24 pages, 13679 KB  
Article
Seed Nanopriming with ZnO and SiO2 Enhances Germination, Seedling Vigor, and Antioxidant Defense Under Drought Stress
by Erick H. Ochoa-Chaparro, Juan J. Patiño-Cruz, Julio C. Anchondo-Páez, Sandra Pérez-Álvarez, Celia Chávez-Mendoza, Luis U. Castruita-Esparza, Ezequiel Muñoz Márquez and Esteban Sánchez
Plants 2025, 14(11), 1726; https://doi.org/10.3390/plants14111726 - 5 Jun 2025
Cited by 7 | Viewed by 2780
Abstract
Drought stress is one of the main factors limiting seed germination and seedling establishment in field crops such as jalapeño peppers (Capsicum annuum L.). Nanopriming, a seed improvement technique using nanoparticle suspensions, has emerged as a sustainable approach to improving water use [...] Read more.
Drought stress is one of the main factors limiting seed germination and seedling establishment in field crops such as jalapeño peppers (Capsicum annuum L.). Nanopriming, a seed improvement technique using nanoparticle suspensions, has emerged as a sustainable approach to improving water use efficiency during the early stages of development. This study evaluated the effects of zinc oxide (ZnO, 100 mg·L−1), silicon dioxide (SiO2, 10 mg·L−1), and their combination (ZnO + SiO2), stabilized with chitosan, on the germination yield and drought tolerance of jalapeño seeds under mannitol-induced water stress (0%, 15%, and 30%). Compared to the hydroprimed control (T1), nanoparticle treatments consistently improved seed yield. Priming with ZnO (T2) increased the germination percentage by up to 25%, priming with SiO2 (T3) improved the germination rate by 34%, and the combined treatment (T4: ZnO + SiO2) improved the fresh weight of the seedlings by 40%. Proline accumulation increased 7.5 times, antioxidant capacity (DPPH) increased 6.5 times, and total phenol content increased 4.8 times in the combined treatment. Flavonoid levels also showed notable increases, suggesting enhanced antioxidant defense. These results clearly demonstrate the superior efficacy of nanoparticle pretreatment compared to conventional hydraulic pretreatment, especially under drought conditions. Multivariate analysis further highlighted the synergistic role of ZnO and SiO2 in improving osmolite accumulation, antioxidant activity, and water use efficiency. Nanopriming with ZnO and SiO2 offers a promising, economical, and scalable strategy to improve germination, early growth, and drought resistance in jalapeño pepper cultivation under semi-arid conditions. Full article
Show Figures

Figure 1

23 pages, 1429 KB  
Article
The Resistance of Germinating Pea (Pisum sativum L.) Seeds to Silver Nanoparticles
by Karolina Stałanowska, Katarzyna Głowacka, Bogusław Buszewski and Lesław Bernard Lahuta
Plants 2025, 14(11), 1594; https://doi.org/10.3390/plants14111594 - 23 May 2025
Cited by 1 | Viewed by 1634
Abstract
The results of our recent research revealed that biologically synthesized silver nanoparticles (bio-AgNPs) applied to several-day-old pea (Pisum sativum L.) plants or used for seed nanopriming protected pea plants against selected fungal pathogens. However, the susceptibility of pea to bio-AgNPs during seed [...] Read more.
The results of our recent research revealed that biologically synthesized silver nanoparticles (bio-AgNPs) applied to several-day-old pea (Pisum sativum L.) plants or used for seed nanopriming protected pea plants against selected fungal pathogens. However, the susceptibility of pea to bio-AgNPs during seed germination remains mostly unknown. Therefore, in this study, we investigated the cells’ viability, ROS generation, total antioxidant capacity, the activity of selected antioxidant enzymes, and changes in the polar metabolite profiles of 4-day-old pea seedlings developed in water (control) and water suspensions of bio-AgNPs (at 50 and 200 mg/L). The bio-AgNPs did not negatively affect pea seeds’ germination, early seedlings’ growth, and root tips cells’ viability (at both tested concentrations). In the root, the bio-AgNPs at a lower concentration (50 mg/L) stimulated ROS generation. Nanoparticles enhanced peroxidase activity in root and the total antioxidant capacity in epicotyl. Increased levels of malate, phosphoric acid, proline, GABA, and alanine were observed in root and epicotyl of pea seedlings developed at 50 mg/L of bio-AgNPs. A higher concentration affected the tricarboxylic acid cycle and nitrogen metabolism. Bio-AgNPs alerted oxidative homeostasis and primary metabolism of pea seedlings but did not exceed a certain threshold limit and thus did not injure pea at an early stage of seedling development. Full article
(This article belongs to the Special Issue Nanomaterials in Plant Growth and Stress Adaptation—2nd Edition)
Show Figures

Figure 1

19 pages, 4565 KB  
Article
Effect of Green Synthesized Fe3O4NP Priming on Alfalfa Seed Germination Under Drought Stress
by Xinyue Wang, Mengting Ge and Xueqing He
Plants 2025, 14(8), 1236; https://doi.org/10.3390/plants14081236 - 18 Apr 2025
Cited by 3 | Viewed by 1196
Abstract
Drought stress is one of the key environmental factors restricting the germination of alfalfa seeds (Medicago sativa L.). Nanopriming is an innovative seed-priming technology able to meet economic, agronomic, and environmental needs in agriculture. However, the use of conventional nanomaterials is hampered [...] Read more.
Drought stress is one of the key environmental factors restricting the germination of alfalfa seeds (Medicago sativa L.). Nanopriming is an innovative seed-priming technology able to meet economic, agronomic, and environmental needs in agriculture. However, the use of conventional nanomaterials is hampered by high costs, environmental risks, and biotoxicity. In this study, we synthesized iron oxide nanoparticles (Fe3O4NPs) using seasonal Ginkgo biloba leaf extracts (collected from August to November) obtained via an enzymatic ultrasonic-assisted method. The synthesized Fe3O4NPs were characterized using SEM, EDS, DLS, FTIR, UV-Vis, and XRD. To investigate the effects of Fe3O4NP priming on alfalfa seed germination under drought stress, germination and pot experiments were conducted with five Fe3O4NP priming concentrations (unprimed, 0, 20, 40, and 60 mg/L) and three PEG-6000 concentrations (0%, 10%, and 15%) to simulate normal, moderate, and severe drought conditions. The results showed that leaf extracts collected in November exhibited the highest flavonoid content (12.8 mg/g), successfully yielding bioactive-capped spherical Fe3O4NPs with a particle size of 369.5 ± 100.6 nm. Germination experiments revealed that under severe drought stress (15% PEG-6000), the 40 mg/L Fe3O4NP treatment most effectively enhanced seed vigor, increasing the germination rate, vigor index, and α-amylase activity by 22.1%, 189.4%, and 35.5% (p < 0.05), respectively, compared to controls. Under moderate drought stress (10% PEG-6000), the 20 mg/L Fe3O4NP treatment optimally improved germination traits, increasing the germination rate by 25.5% and seedling elongation by 115.6%. The pot experiments demonstrated morphological adaptations in alfalfa seedlings: under moderate drought stress, the 40 mg/L Fe3O4NPs significantly increased lateral root numbers, while under severe drought stress, the 60 mg/L Fe3O4NPs increased the root surface area by 20.5% and preserved the roots’ structural integrity compared to controls. These findings highlight that Fe3O4NPs synthesized via Ginkgo leaf extracts and enzymatic ultrasonic methods exhibit promising agricultural potential. The optimal Fe3O4NP priming concentrations enhanced seed vigor, germination traits, and drought resistance by modulating root morphology, with concentration-specific efficacy under varying drought intensities. Full article
(This article belongs to the Section Plant Response to Abiotic Stress and Climate Change)
Show Figures

Figure 1

20 pages, 2534 KB  
Article
Discovery of Innate Immune Response mRNAs That Are Impacted by Structure-Specific Oral Baker’s Yeast Beta Glucan Consumption
by Brian K. McFarlin, John H. Curtis, Jakob L. Vingren, David W. Hill and Elizabeth A. Bridgeman
BioTech 2025, 14(1), 4; https://doi.org/10.3390/biotech14010004 - 13 Jan 2025
Cited by 2 | Viewed by 3061
Abstract
The study of nutritional compounds with the potential to train the innate immune response has implications for human health. The objective of the current study was to discover by what means 6 weeks of oral baker’s yeast beta glucan (BYBG) supplementation altered the [...] Read more.
The study of nutritional compounds with the potential to train the innate immune response has implications for human health. The objective of the current study was to discover by what means 6 weeks of oral baker’s yeast beta glucan (BYBG) supplementation altered the mRNA expression of genes that reflect innate immune training in the absence of a physical stressor. Nineteen adults were randomly assigned to either a Wellmune® BYBG or Placebo for 6 weeks. BYBG uniquely altered the expression of 40 mRNAs associated with Dectin-1 and trained innate immunity, the innate immune response, the pathogen-associated (PAMP) and damage-associated molecular pattern (DAMP), and the inflammatory response. The observed changes were classified as immune training rather than immune priming due to the progressive increase in the expression of myeloid immune-associated mRNA. Combined with the findings of previous research, the findings of the present study support the claim that oral BYBG supplementation may be associated with trained innate immunity during resting homeostasis. Further, the key findings associated with BYBG may reflect improved responsiveness to future infection (exogenous) and/or sterile-inflammatory (endogenous) challenge. Full article
Show Figures

Figure 1

16 pages, 3799 KB  
Article
Field Crop Evaluation of Polymeric Nanoparticles of Garlic Extract–Chitosan as Biostimulant Seed Nano-Priming in Cereals and Transcriptomic Insights
by María Mondéjar-López, Alberto José López-Jiménez, Lourdes Gómez-Gómez, Oussama Ahrazem, Joaquín Calixto García-Martínez and Enrique Niza
Polymers 2024, 16(23), 3385; https://doi.org/10.3390/polym16233385 - 30 Nov 2024
Cited by 5 | Viewed by 1587
Abstract
Current crop management worldwide is shifting toward the use of environmentally friendly products. With this objective, we developed a new phytosanitary product with biostimulant properties based on the encapsulation of garlic extract at a lower dose (<0.1%) in chitosan nanoparticles as a seed [...] Read more.
Current crop management worldwide is shifting toward the use of environmentally friendly products. With this objective, we developed a new phytosanitary product with biostimulant properties based on the encapsulation of garlic extract at a lower dose (<0.1%) in chitosan nanoparticles as a seed nano-priming agent. In the present study, the morphology of the nanoparticles, their stability under prolonged storage conditions, and their efficacy as a biostimulant are evaluated on cereals in rainfed crops, and the activities were correlated with a transcriptomic analysis. The nanoparticles showed a spherical shape and had a maximum size close to 200 nm with satisfactory stability at 4 °C, reducing the probability of aggregation processes in the nanoparticles. The biostimulant properties of the nano-priming agent were evaluated in a field experiment with wheat, barley, and oat seeds at 30 and 90 days, showing that plants treated with nanoparticles showed significant differences with higher values in root development, leaf length, and total plant weight. Finally, through a RNA-SEQ analysis of the treated wheat seeds, we have confirmed that the nano-treatment showed a higher increases in regard to development, metabolism, and plant response genes compared with untreated seeds. Full article
(This article belongs to the Section Polymer Composites and Nanocomposites)
Show Figures

Figure 1

Back to TopTop