Sign in to use this feature.

Years

Between: -

Subjects

remove_circle_outline
remove_circle_outline
remove_circle_outline
remove_circle_outline
remove_circle_outline
remove_circle_outline
remove_circle_outline
remove_circle_outline
remove_circle_outline

Journals

remove_circle_outline
remove_circle_outline
remove_circle_outline
remove_circle_outline
remove_circle_outline
remove_circle_outline
remove_circle_outline
remove_circle_outline
remove_circle_outline
remove_circle_outline
remove_circle_outline
remove_circle_outline
remove_circle_outline
remove_circle_outline
remove_circle_outline
remove_circle_outline

Article Types

Countries / Regions

remove_circle_outline
remove_circle_outline
remove_circle_outline
remove_circle_outline
remove_circle_outline
remove_circle_outline

Search Results (3,457)

Search Parameters:
Keywords = multispectral images

Order results
Result details
Results per page
Select all
Export citation of selected articles as:
21 pages, 8286 KB  
Article
Long-Term Assessment of Surface Urban Heat Islands Using Open Access Remote Sensing Data (1984–2024) in the Moroccan Atlantic Coast
by Sana Ajjoul, Adil Zabadi, Ayyoub Sbihi, Hind Lamrani, Danielle Nel-Sanders, Brahim Benzougagh and Maryam Mazouz
Urban Sci. 2026, 10(5), 237; https://doi.org/10.3390/urbansci10050237 - 30 Apr 2026
Abstract
Rapid urbanization combined with global climate change is intensifying the Surface Urban Heat Island (SUHI) effect worldwide, posing significant risks to human health, thermal comfort, and quality of life in cities. Characterized by notably higher temperatures in urban areas compared to their rural [...] Read more.
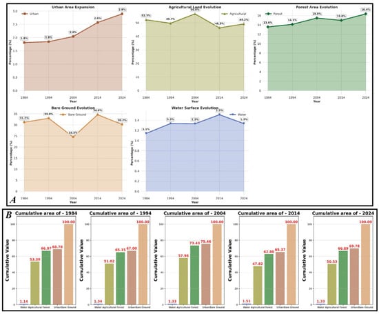
Rapid urbanization combined with global climate change is intensifying the Surface Urban Heat Island (SUHI) effect worldwide, posing significant risks to human health, thermal comfort, and quality of life in cities. Characterized by notably higher temperatures in urban areas compared to their rural surroundings, the SUHI phenomenon is driven by factors such as increased built-up density and reduced vegetation cover. In this context, open-source remote sensing data, particularly from the Landsat satellite series, play a crucial role in studying surface urban heat islands. Available freely, Landsat’s multispectral and thermal imagery provides extensive spatial coverage and consistent temporal frequency, enabling long-term diachronic analyses. This study leverages a 40-year time series (1984–2024) of Landsat thermal data to map surface temperature variations in urban environments between Kenitra and Rabat cities, facilitating the identification of heat-excess zones linked to anthropogenic factors. Based on the results obtained, the LU/LC maps show that the study area is characterized by the notable growth of urbanization over the period 1984–2024, particularly in the dynamic poles of the region such as the city centers of Kénitra, Rabat, and Sale. This dynamic is highlighted by an increase from 1.8% to 3% in the total area of the region, accompanied by a remarkable decrease in agricultural land and bare soils. The evaluation of the Random Forest (RF) model’s performance also indicates that it successfully classified the data and predicted the LU/LC classes effectively, as confirmed by metric indices such as the Receiver Operating Characteristic curve and the Kappa index, which present very high average values exceeding 90%. Furthermore, the exploitation of the thermal bands of Landsat images provided relevant information on surface temperature variation. The SUHI maps show that the Rabat-Sale-Kenitra (RSK) region experienced a progressive increase in temperature over the study period, rising from 27 °C in 1984 to 44 °C in 2024. This value could increase further due to the continuous dynamics of urbanization. Together, these tools provide a robust framework for understanding the spatiotemporal dynamics of surface urban heat islands and support sustainable urban planning. Full article
Show Figures

Figure 1

20 pages, 7046 KB  
Article
A Multi-Source Spatiotemporal Framework for Vegetation Anomaly Detection in Solar Photovoltaic Fields Using Hierarchical Labels and Hybrid Deep Learning
by Chahrazad Zargane, Anas Kabbori, Azidine Guezzaz, Said Benkirane and Mourade Azrour
Solar 2026, 6(3), 21; https://doi.org/10.3390/solar6030021 - 28 Apr 2026
Abstract
Moroccan installations of solar photovoltaic panels experience operational difficulties due to shading and vegetation-related soiling, which reduce energy output by 15–30%. Most monitoring systems depend upon a single vegetation index, which can reduce the accuracy of detecting even moderate anomalies. This paper presents [...] Read more.
Moroccan installations of solar photovoltaic panels experience operational difficulties due to shading and vegetation-related soiling, which reduce energy output by 15–30%. Most monitoring systems depend upon a single vegetation index, which can reduce the accuracy of detecting even moderate anomalies. This paper presents a novel integration of multi-criteria hierarchical labeling with dual-branch deep learning for enhanced vegetation anomaly detection. We combined MODIS (2000–2015) and Sentinel-2 (2015–2025) images and NASA POWER weather records to study a 25-year vegetation record using multi-source satellite data in 5 of Morocco’s ecologically diverse zones. We introduced a three-class hierarchical labeling scheme (normal, moderate, severe) for dynamic vegetation models based on combined vegetation indices (NDVI, EVI, NDWI) and meteorological thresholds. The proposed dual-branch architecture uses independent data streams for unfused data, which include temporal multi-scale CNNs (TMSCNN) for spatiotemporal modeling and bidirectional LSTMs for weather-integrated vegetation data. Systematic ablation studies show improvements from using NDVI (68.98%) to multispectral indices (77.74%), meteorological integration (81.02%), and a final accuracy of 82.34% ± 0.88%. The moderate anomaly class exhibits lower precision (65%), demonstrating the challenge of operationalizing severity-based anomaly classification. This work integrates hierarchical, multi-criteria labeling and hybrid deep learning for solar photovoltaic vegetation monitoring. Full article
(This article belongs to the Special Issue Machine Learning for Faults Detection of Photovoltaic Systems)
Show Figures

Figure 1

19 pages, 929 KB  
Article
Simultaneous Assessment of Chicken Freshness and Authenticity Using a Single Multispectral Imaging Device: A Cross-Laboratory Evaluation Using Identical Instruments
by Anastasia Lytou, Maria-Konstantina Spyratou, Aske Schultz Carstensen, George-John Nychas and Nikos Chorianopoulos
Sensors 2026, 26(9), 2702; https://doi.org/10.3390/s26092702 - 27 Apr 2026
Viewed by 186
Abstract
This study evaluated a portable multispectral imaging (MSI) system for simultaneously assessing chicken meat quality, including freshness and authenticity detection. For freshness, total aerobic counts and MSI analyses were performed on fresh and thawed samples throughout storage at 4 °C. For authenticity (product [...] Read more.
This study evaluated a portable multispectral imaging (MSI) system for simultaneously assessing chicken meat quality, including freshness and authenticity detection. For freshness, total aerobic counts and MSI analyses were performed on fresh and thawed samples throughout storage at 4 °C. For authenticity (product condition and origin), Greek and Danish chicken samples, both fresh and thawed, were analyzed in separate laboratories using identical instruments. Data were modeled using PLS-R, kNN, and SVM. Model performance for total viable count prediction was evaluated via R2 and RMSE, while classification used accuracy, specificity, recall and precision. PLS-R beta coefficients highlighted the contribution of specific wavelengths. For Greek chicken fillets, kNN achieved the best performance on fresh samples (RMSE = 0.347, R2 = 0.979), while PLS-R performed best on thawed samples (RMSE = 0.787, R2 = 0.859). Wavelength 460 nm was the most important for all freshness predictions. Differences between Danish and Greek samples were observed in classification performance, optimal algorithms and key wavelengths. For origin classification (using fresh and thawed samples), models reached near-perfect accuracy, with PLS-DA highlighting 660 nm and 850 nm as most significant. These results demonstrate the MSI system’s potential for the rapid, accurate and simultaneous evaluation of multiple chicken meat quality attributes using a single instrument. Full article
25 pages, 5188 KB  
Article
MonoCrown for Crown-Level Tree Species Semantic Segmentation in Heterogeneous Forests Using UAV RGB Imagery
by Linzhi Wen and Guangsheng Chen
Remote Sens. 2026, 18(9), 1338; https://doi.org/10.3390/rs18091338 - 27 Apr 2026
Viewed by 125
Abstract
Crown-level tree species semantic segmentation enables fine-grained forest inventory and management. Current high-precision tree species classification typically relies on multi-source remote sensing data, the acquisition and processing of which remain costly for large-area applications, making low-cost unmanned aerial vehicle (UAV) RGB imagery an [...] Read more.
Crown-level tree species semantic segmentation enables fine-grained forest inventory and management. Current high-precision tree species classification typically relies on multi-source remote sensing data, the acquisition and processing of which remain costly for large-area applications, making low-cost unmanned aerial vehicle (UAV) RGB imagery an attractive option for large-scale forest mapping. However, in heterogeneous forests, complex canopy structures and the limited spectral discriminability of low-cost UAV RGB imagery make 2D appearance cues alone insufficient for reliable species discrimination, crown delineation, and accurate separation of adjacent crowns. This often leads to inter-class confusion, blurred crown boundaries, and poor recognition of small crowns. To address these limitations, this paper proposes MonoCrown (MCrown), which strengthens geometric and contextual representation for distinguishing visually similar species and delineating crowns from single-temporal UAV RGB imagery. To compensate for the insufficiency of appearance cues, MCrown introduces monocular depth inferred offline from the same RGB image as a frozen geometric prior, and integrates cross-window global–local attention (CW-GLA), bidirectional cross-modal attention (BiCoAttn), and depth-adaptive injection (DAI) to capture long-range dependencies and promote complementary use of appearance and geometric features, especially for small crowns with similar visual patterns in complex scenes. To validate the method’s effectiveness, a crown-level UAV RGB dataset covering approximately 40 km2 was constructed. Systematic comparative experiments were conducted on the proposed dataset and on public benchmarks, supporting the effectiveness of the proposed approach across ten dominant classes, especially for small crowns and visually similar categories. Its mean Intersection over Union (mIoU) and overall accuracy (OA) reached 74.1% and 87.3%, respectively. The method achieves high-precision crown-level tree species semantic segmentation using single-temporal UAV RGB as the sole acquired modality, while monocular depth inferred from the same RGB image serves only as a frozen geometric prior, without requiring multispectral, multi-temporal, or active-sensor acquisitions. This offers a practical solution for crown-level tree species mapping in heterogeneous forests. Full article
(This article belongs to the Section Remote Sensing Image Processing)
Show Figures

Figure 1

48 pages, 15092 KB  
Systematic Review
Extraction of Plant Physiological Features Using Multispectral Imaging and Spectrophotometry: A Systematic Review Highlighting Research Gaps for Stenocereus spp.
by Rosa Janette Pérez-Chimal, Claudia Angélica Rivera-Romero, Julián Moisés Estudillo-Ayala, Remberto Sandoval-Aréchiga, Alejandro Barrientos-García and Jorge Ulises Muñoz-Minjares
AgriEngineering 2026, 8(5), 162; https://doi.org/10.3390/agriengineering8050162 - 27 Apr 2026
Viewed by 68
Abstract
Objectives: Multispectral imaging and spectrophotometry are widely used to estimate plant physiological characteristics, yet the literature remains fragmented across sensors, indices, and analytical approaches. Methods: This systematic review followed PRISMA 2020 and was preregistered in OSF (Open Science Framework). Web of Science, Scopus, [...] Read more.
Objectives: Multispectral imaging and spectrophotometry are widely used to estimate plant physiological characteristics, yet the literature remains fragmented across sensors, indices, and analytical approaches. Methods: This systematic review followed PRISMA 2020 and was preregistered in OSF (Open Science Framework). Web of Science, Scopus, Google Scholar, and Consensus were searched up to January 2025 for peer-reviewed studies and selected gray literature studies focused on plant physiological trait estimation using multispectral or spectrophotometric methods. From 256 identified records, 96 studies met the eligibility criteria. Methodological quality was assessed across five domains, and results were synthesized narratively owing to high heterogeneity. Results: A total of 96 studies met the eligibility criteria. Among these, multispectral sensors were the most commonly used (40.7%), followed by UAV-mounted platforms (25.9%), while hyperspectral sensors accounted for 18.5% of the studies. The most frequently used vegetation index was NDVI, reported in 87% of the studies, mainly for estimating vigor, biomass, and canopy structure. Discussion: Although multispectral indices reliably capture key agronomic traits, cross-study comparability is currently hampered by significant methodological variability and a lack of consistent validation protocols. Conclusions: Multispectral imaging and spectrophotometry are effective tools for estimating plant physiological traits, but greater standardization is needed across studies. Owing to the limited number of studies on Stenocereus spp., the review was expanded to plants in general; the shortage of reports addressing Stenocereus spp. highlights the need for future research in these species. Full article
(This article belongs to the Special Issue The Application of Remote Sensing for Agricultural Monitoring)
Show Figures

Figure 1

19 pages, 3497 KB  
Article
A Python-Based Workflow for Asbestos Roof Mapping and Temporal Monitoring Using Satellite Imagery
by Giuseppe Bonifazi, Alice Aurigemma, José Salas-Cáceres, Javier Lorenzo-Navarro, Silvia Serranti, Federica Paglietti, Sergio Bellagamba and Sergio Malinconico
Geomatics 2026, 6(3), 41; https://doi.org/10.3390/geomatics6030041 - 25 Apr 2026
Viewed by 112
Abstract
The detection and monitoring of asbestos–cement roofing remain a critical public health and environmental challenge, especially in urban and suburban areas where asbestos-containing materials are still widespread due to their extensive use in the 20th century. Although hyperspectral and high-resolution multispectral remote sensing [...] Read more.
The detection and monitoring of asbestos–cement roofing remain a critical public health and environmental challenge, especially in urban and suburban areas where asbestos-containing materials are still widespread due to their extensive use in the 20th century. Although hyperspectral and high-resolution multispectral remote sensing have proven effective for mapping asbestos–cement roofs, many existing approaches rely on proprietary software, limiting transparency, reproducibility, and large-scale adoption. This study presents a fully reproducible, cost-free Python-based workflow for the detection and temporal monitoring of asbestos–cement roofing using high-resolution multispectral WorldView-3 imagery. The workflow integrates atmospheric correction (using the Py6S radiative transfer model), spatial preprocessing, supervised pixel-based classification, postprocessing, and building-level aggregation within an open framework. A Maximum Likelihood Classifier is applied to VNIR and SWIR data using empirically defined roof typologies to enhance class separability. Pixel-level results are aggregated to the building scale through adaptive thresholding enabling the translation of spectral classifications into meaningful building-level information. Tested over the city of Mantua (Italy), the approach achieved reliable classification performance and enabled multi-temporal comparison to identify changes potentially due to roof remediation. Evaluation metrics (precision, recall, and F1-score) highlight the importance of carefully choosing the building-level threshold. By relying exclusively on open-source tools, the workflow enhances transparency, reproducibility, and scalability for long-term monitoring. Full article
Show Figures

Figure 1

21 pages, 5510 KB  
Article
A Web-Based Platform for Quantitative Assessment of Change Detection Using Rao’s Q Index in Remote Multispectral Sensing Data
by Rafaela Tiengo, Silvia Merino-De-Miguel, Jéssica Uchôa and Artur Gil
Sensors 2026, 26(9), 2665; https://doi.org/10.3390/s26092665 - 25 Apr 2026
Viewed by 395
Abstract
This study presents the development and implementation of a web-based geospatial platform for the quantitative assessment of land use and land cover change (LULCC) based on multispectral satellite images. The system operationalizes the Rao spectral diversity metric (Rao’s Q) to detect and quantify [...] Read more.
This study presents the development and implementation of a web-based geospatial platform for the quantitative assessment of land use and land cover change (LULCC) based on multispectral satellite images. The system operationalizes the Rao spectral diversity metric (Rao’s Q) to detect and quantify LULCC resulting from different environmental agents. The platform supports single-band (classic mode) or multi-band (multidimensional mode) processing. Its main functionalities include the interactive de-limitation of areas of interest (AOI) and calendar-based temporal selection, allowing analyses to be performed at discrete time points or at defined intervals. Among the tools available in the application are the automated calculation of Rao’s Q surfaces and maps of change between pairs of dates. Additionally, the platform allows the selection of several spectral indices, with the aim of supporting ecosystem monitoring and the characterization of the Earth’s surface. In the use case demonstration (Reykjanes Peninsula volcanic eruption of February 2024), the Rao’s Q method applied to Sentinel-2 SWIR imagery demonstrated strong performance in lava flow detection, with the multidimensional approach (bands 11 + 12) achieving the most balanced results (OA = 83.0%, PA = 84.0%, UA = 82.4%), while band 11 alone yielded the highest precision (UA = 97.4%). By integrating spatiotemporal analysis, spectral diversity metrics, and spectral indices into an accessible and extensible framework, the platform constitutes a robust tool for monitoring LULCC and assessing environmental impacts. Full article
Show Figures

Figure 1

20 pages, 4072 KB  
Article
Potato Late Blight Disease Detection on UAV Multispectral Imagery
by Mohadeseh Kaviani, Brigitte Leblon, Thangarajah Akilan, Dzhamal Amishev, Armand LaRocque and Ata Haddadi
Remote Sens. 2026, 18(9), 1292; https://doi.org/10.3390/rs18091292 - 24 Apr 2026
Viewed by 212
Abstract
In this study, Mask R-CNN was applied to 5-band raw reflectance images to detect potato plants in UAV images. The highest model performance across all metrics was achieved with a ResNeXt-101 backbone and transfer learning from the same model trained on apple orchard [...] Read more.
In this study, Mask R-CNN was applied to 5-band raw reflectance images to detect potato plants in UAV images. The highest model performance across all metrics was achieved with a ResNeXt-101 backbone and transfer learning from the same model trained on apple orchard data. An F-1 score of 84.2% was achieved. To determine whether the plant was infected with PLB, two methods were used. In the first method, a Mask R-CNN with a DINOv3 small variant backbone was applied to 5-band raw reflectance images. The highest achieved F1-score was 69.05%. In the second method, classical ML classifiers were applied to the 5-band raw reflectance images and 16 associated vegetation index images. The highest F1-score (66.71%) was obtained with a decision tree classifier applied to the 16 vegetation index images. Feature importance analysis indicated that chlorophyll- and red-edge-related indices, such as CIgreen, TCARI, OSAVI2, and Red-edge NDVI, were the most discriminative features for distinguishing healthy and unhealthy potato plants. These results show the effectiveness of combining deep learning and machine learning approaches for potato late blight detection using UAV multispectral imagery. Full article
(This article belongs to the Section AI Remote Sensing)
Show Figures

Figure 1

27 pages, 19340 KB  
Article
Integrating Surface Deformation and Ecological Indicators for Mining Environment Assessment: A Novel MDECI Approach
by Lei Zhang, Qiaomei Su, Bin Zhang, Hongwen Xue, Zhengkang Zuo, Yanpeng Li and He Zheng
Remote Sens. 2026, 18(9), 1272; https://doi.org/10.3390/rs18091272 - 22 Apr 2026
Viewed by 282
Abstract
Surface subsidence induced by underground coal mining is a primary driver of ecological degradation. The traditional Remote Sensing Ecological Index (RSEI), however, struggles to capture surface deformation constraints and vegetation response lags. To address this, we developed a Mining Deformation–Ecology Coupling Index (MDECI). [...] Read more.
Surface subsidence induced by underground coal mining is a primary driver of ecological degradation. The traditional Remote Sensing Ecological Index (RSEI), however, struggles to capture surface deformation constraints and vegetation response lags. To address this, we developed a Mining Deformation–Ecology Coupling Index (MDECI). This index integrates Interferometric Synthetic Aperture Radar (InSAR)-monitored surface stability with multi-spectral indicators via Principal Component Analysis (PCA). We applied this method to the Datong Coalfield, China, using 231 Sentinel-1A SAR scenes and 8 Landsat images (2017–2024) to validate the effectiveness of the index. Meanwhile, we systematically analyzed non-linear response mechanisms, the Ecological Turning Point (ETP), and spatial clustering characteristics. The results demonstrate the following: (1) InSAR and MDECI effectively identified patterns of surface subsidence and ecological decline. Subsidence centers expanded to a maximum of −2085 mm, causing the mean MDECI in these areas to drop to 0.185 (<−1800 mm). This represents a 57.4% decrease relative to the regional average (0.434). (2) MDECI outperformed traditional models with a stable Average Correlation Coefficient (ACC) (0.63–0.75) and high cross-correlation coefficients with RSEI (0.906) and the Mine-specific Eco-environment Index (MSEEI) (0.931). During the 2018 drought, MDECI maintained a robust ACC of 0.628 while RSEI dropped to 0.482. (3) Multi-scale analysis revealed a unimodal MDECI response with an ETP at −100 mm. Initial ‘micro-disturbance gain’ (0.371 to 0.471) is followed by a progressive decline to a minimum of 0.185 under severe deformation. (4) Local Indicators of Spatial Association (LISA) spatial clustering characterized the distribution patterns of ecological damage and localised high-maintenance areas. High–Low damaged areas accounted for 5.09%, while High–High high-maintenance areas reached 9.00%. The scale of High–High areas was approximately 1.77 times that of the damaged areas. The MDECI addresses the deficiencies of traditional indices in high-disturbance areas and isolates the impact of mining on the ecology, providing a quantitative basis for risk identification and differentiated restoration. Full article
(This article belongs to the Section Remote Sensing in Geology, Geomorphology and Hydrology)
Show Figures

Figure 1

23 pages, 19480 KB  
Article
A Multi-Spatial Scale Integration Framework of UAV Image Features and Machine Learning for Predicting Root-Zone Soil Electrical Conductivity in the Arid Oasis Cotton Fields of Xinjiang
by Chenyu Li, Xinjun Wang, Qingfu Liang, Wenli Dong, Wanzhi Zhou, Yu Huang, Rui Qi, Shenao Wang and Jiandong Sheng
Agriculture 2026, 16(8), 913; https://doi.org/10.3390/agriculture16080913 - 21 Apr 2026
Viewed by 425
Abstract
Soil salinization is one of the primary forms of land degradation in arid and semi-arid regions, severely constraining agricultural production in Xinjiang’s oases. Unmanned aerial vehicle (UAV) imagery provides an effective means for precise monitoring of soil salinization, with image spatial resolution being [...] Read more.
Soil salinization is one of the primary forms of land degradation in arid and semi-arid regions, severely constraining agricultural production in Xinjiang’s oases. Unmanned aerial vehicle (UAV) imagery provides an effective means for precise monitoring of soil salinization, with image spatial resolution being a key factor affecting assessment accuracy. However, traditional single-scale remote sensing monitoring methods rely solely on spectral and textural features at the leaf scale (0.1 m resolution captures leaf-scale characteristics), neglecting the contribution of multi-scale features (single-row canopy scale and single-membrane-covered area scale (6-row crop canopy)) to soil salinity. For instance, 0.5–1 m reflects single-row canopy scale, while 2 m reflects single-membrane-covered area scale. Therefore, this study developed a multi-scale UAV imagery and machine learning framework to enhance soil electrical conductivity prediction accuracy. This study focuses on oasis cotton fields in Shaya County, Xinjiang. Based on UAV multispectral imagery, we resampled data to generate eight datasets at different spatial resolutions: 0.1, 0.5, 1, 1.5, 2, 2.5, 5, and 10 m. For each resolution, we calculated 21 spectral indices and 48 texture features to construct a feature set. At both single and multispatial scales, spectral indices, texture features, and their spectral-texture fusion features were constructed. Combining these with Backpropagation Neural Network (BPNN), Random Forest Regression (RFR), and Extreme Gradient Boosting (XGBoost) models, a soil EC estimation framework was developed. The impact of three feature combination schemes on cotton field soil conductivity estimation using single-scale UAV imagery was compared. The accuracy of soil EC estimation for cotton fields was compared between multi-spatial scale and single-scale UAV image features. The optimal combination strategy for a multi-spatial scale and multiple features was determined. Results indicate that combining spectral and texture features yields the highest estimation accuracy for cotton field soil electrical conductivity in single-scale analysis. Multi-spatial scale image features outperform single-scale image features in estimating cotton field soil electrical conductivity accuracy. By comparing different feature combinations, when integrating 0.5 m spatial-scale spectra (S1, EVI, DVI, NDVI, Int1, SI) with 0.1 m texture features (RE1_ent, R_cor, RE1_cor, G_hom, B_mea, R_con, NIR_con), the XGBoost model achieved the optimal prediction accuracy (R2 = 0.693, RMSE = 0.515 dS/m), outperforming the methods using multiple features at a single scale. This study developed a novel multi-scale image feature fusion technique to construct a machine learning model. This method describes the image characteristics of soil electrical conductivity at different geographical scales, providing a reference approach for the rapid and accurate prediction of soil electrical conductivity in arid regions. Full article
(This article belongs to the Section Artificial Intelligence and Digital Agriculture)
Show Figures

Figure 1

23 pages, 5969 KB  
Article
A Pyramid-Enhanced Swin Transformer for Robust Hyperspectral–Multispectral Image Fusion and Super-Resolution
by Yu Lu, Lin Hu, Jiankai Hu, Shu Gan, Xiping Yuan, Wang Li and Hailong Zhao
Remote Sens. 2026, 18(8), 1255; https://doi.org/10.3390/rs18081255 - 21 Apr 2026
Viewed by 194
Abstract
Due to the inherent limitations of both hyperspectral and multispectral imagery, balancing high spatial resolution with high spectral fidelity has become one of the fundamental challenges in remote sensing image processing. A prevailing strategy is to fuse these two types of data to [...] Read more.
Due to the inherent limitations of both hyperspectral and multispectral imagery, balancing high spatial resolution with high spectral fidelity has become one of the fundamental challenges in remote sensing image processing. A prevailing strategy is to fuse these two types of data to reconstruct images that jointly preserve their respective advantages. However, existing reconstruction approaches still suffer from complex coupling between spatial and spectral information, and limited feature extraction capabilities. To address these issues, this study proposes PMSwinNet (Pyramid Multi-scale Swin Transformer Network), a novel architecture that integrates pyramid-based feature enhancement with Transformer mechanisms. The PMSwinNet incorporates multi-scale pyramid feature fusion and window-based self-attention. Through a progressive multi-stage design and three complementary components—feature extraction and reconstruction modules—the Transformer branch leverages window partitioning and shifting operations to capture long-range spatial dependencies and local contextual cues, while the pyramid features extract both global and local information across multiple spatial scales. In addition, a high-frequency branch is introduced, which employs lightweight convolutions to enhance edges, textures, and other high-frequency details, effectively suppressing blurring and artifacts during reconstruction. Experimental evaluations on multiple public hyperspectral datasets demonstrate that the PMSwinNet outperforms state-of-the-art methods, particularly in terms of detail preservation, spectral distortion suppression, and robustness. Full article
Show Figures

Figure 1

24 pages, 4858 KB  
Article
Reconstructing Shallow River Bathymetry Through Sequence-Based Modeling Approach
by Modestas Butnorius, Timas Akelis, Matas Vaitkevičius, Dominykas Matulis, Andrius Kriščiūnas, Vytautas Akstinas and Rimantas Barauskas
Water 2026, 18(8), 975; https://doi.org/10.3390/w18080975 - 20 Apr 2026
Viewed by 292
Abstract
Hydrological monitoring is crucial for protecting aquatic ecosystems, especially downstream of hydropower plants where water levels can change suddenly and cause the degradation of instream habitats. There are lot of traditional methods used to monitor water levels and river bathymetry, but most of [...] Read more.
Hydrological monitoring is crucial for protecting aquatic ecosystems, especially downstream of hydropower plants where water levels can change suddenly and cause the degradation of instream habitats. There are lot of traditional methods used to monitor water levels and river bathymetry, but most of them rely on in situ measurements. Drone-based remote sensing has received more attention in recent years, with the data in turn processed using CNNs. In this paper, we propose a new sequence-based method that uses multiple frames to expand the available context and compare it to already existing methods, such as Lyzenga, Stumpf, CNN, and SfM. The best performing models within this study end up being SfM and CNN, with the former being more accurate on rivers with clean riverbeds and the latter being the most consistent. The sequence-based model shows promise, and even outperforms CNN, in terms of MAE, on rivers where the same location across multiple views is mapped, achieving the most accurate results across different images. This shows that utilizing multiple views to increase the available context can improve the accuracy of riverine depth estimation based on multispectral visual information. Full article
Show Figures

Figure 1

19 pages, 5438 KB  
Article
Chlorophyll-a Retrieval in Turbid Inland Waters Using BC-1A Multispectral Observations: A Case Study of Taihu Lake
by Wen Jiang, Qiyun Guo, Chen Cao and Shijie Liu
Sensors 2026, 26(8), 2535; https://doi.org/10.3390/s26082535 - 20 Apr 2026
Viewed by 196
Abstract
Turbid Class II inland waters such as Taihu Lake exhibit a “spectral uplift” effect driven by suspended particulate matter (SPM) scattering and colored dissolved organic matter (CDOM) absorption, which can obscure chlorophyll-a (Chl-a) signals in the visible–red-edge region and challenge retrieval under small-sample, [...] Read more.
Turbid Class II inland waters such as Taihu Lake exhibit a “spectral uplift” effect driven by suspended particulate matter (SPM) scattering and colored dissolved organic matter (CDOM) absorption, which can obscure chlorophyll-a (Chl-a) signals in the visible–red-edge region and challenge retrieval under small-sample, collinear feature settings. Using multispectral observations from the BC-1A satellite (carrying the Lightweight Hyperspectral Remote Sensing Imager, LHRSI) and synchronous satellite–ground in situ measurements acquired over Taihu Lake in late autumn, this study proposes Chl-a-oriented PCA–RF (COP-RF), a leakage-safe inversion framework integrating correlation screening, principal component analysis (PCA), and random forest (RF) regression. Candidate band-combination features are generated, and PCA is applied for orthogonal compression to mitigate collinearity before RF learning. A stratified five-fold cross-validation based on Chl-a quantile bins is adopted, with screening, standardization, and PCA fitted only on training folds. COP-RF achieves stable performance under the current dataset (R2=0.671, RMSE =1.80μg/L, MAE =1.25μg/L). Spatial inversion shows higher Chl-a near shores and bays and lower values in the lake center, consistent with Sentinel-2 hotspot ranks. Full article
(This article belongs to the Section Remote Sensors)
Show Figures

Figure 1

13 pages, 1674 KB  
Article
Cascaded Junction-Enabled Polarity-Programmable Dual-Color Photodetector for Intelligent Spectral Sensing
by Juntong Liu, Xin Li, Junzhe Gu, Jin Chen, Feilong Yu, Yuxin Song, Jiaji Yang, Guanhai Li, Xiaoshuang Chen and Wei Lu
Coatings 2026, 16(4), 492; https://doi.org/10.3390/coatings16040492 - 18 Apr 2026
Viewed by 268
Abstract
Conventional multispectral photodetectors typically rely on multiple electrical terminals to discriminate different wavelengths, which inevitably increases structural complexity. Here, we break this paradigm by demonstrating a dual-color visible–infrared photodetector based on a simple two-terminal Au/MoS2/Te heterostructure. The device operates through a [...] Read more.
Conventional multispectral photodetectors typically rely on multiple electrical terminals to discriminate different wavelengths, which inevitably increases structural complexity. Here, we break this paradigm by demonstrating a dual-color visible–infrared photodetector based on a simple two-terminal Au/MoS2/Te heterostructure. The device operates through a bias-switching mechanism: reversing the voltage polarity selectively activates either the MoS2/Au Schottky junction for visible-light detection (520 nm) or the Te/MoS2 heterojunction for infrared detection (1550 nm). This bias-controlled wavelength selectivity is unambiguously verified by scanning photocurrent mapping. Beyond dual-color discrimination, an adaptive convolutional neural network is employed to decode the nonlinear current–voltage characteristics and enable precise spectral identification, achieving a reconstruction error of approximately 4.5%. Furthermore, high-fidelity dual-color imaging is demonstrated at room temperature. These results establish a hardware–algorithm co-design strategy based on a minimalist two-terminal architecture, providing a viable route toward compact and intelligent spectral-sensing systems. Full article
Show Figures

Figure 1

40 pages, 1476 KB  
Review
Modernizing Livestock Operations: Smart Feedlot Technologies and Their Impact
by Son D. Dao, Amirali Khodadadian Gostar, Ruwan Tennakoon, Wei Qin Chuah and Alireza Bab-Hadiashar
Animals 2026, 16(8), 1244; https://doi.org/10.3390/ani16081244 - 18 Apr 2026
Viewed by 251
Abstract
Smart feedlots are increasingly adopting Precision Livestock Farming technologies to enable continuous, individual-animal monitoring and more proactive management in intensive beef production systems. This narrative review synthesises evidence from approximately 350 academic publications, of which 117 are formally cited, complemented by industry deployments [...] Read more.
Smart feedlots are increasingly adopting Precision Livestock Farming technologies to enable continuous, individual-animal monitoring and more proactive management in intensive beef production systems. This narrative review synthesises evidence from approximately 350 academic publications, of which 117 are formally cited, complemented by industry deployments and the authors’ experience in smart feedlot system development. We cover enabling digital infrastructure (power, sensing networks, wireless connectivity, and gateways), animal identification and sensing (RFID, automated weighing, wearables, and pen-side sensors), machine vision (RGB, thermal, and multispectral imaging from fixed and mobile platforms), and AI-based analytics and decision support for health, welfare, performance, and environmental management. Across the literature, key components have progressed beyond proof-of-concept toward operation under commercial constraints. Reported outcomes include reduced reliance on routine pen-rider observation and yard handling, earlier triage of emerging morbidity risk and behavioural change, and more standardised welfare auditing. Vision-based methods are repeatedly validated against trained human scorers in both on-farm and abattoir contexts, while automated weighing and image-based liveweight estimation support higher-frequency growth monitoring with low single-digit percentage error in representative studies. Precision feeding and targeted supplementation are associated with improved feed utilisation and reduced resource wastage, although effectiveness and adoption vary across animal classes and production stages. We identify priorities for robust, scalable deployment: resilient communications in harsh environments, appropriate edge–cloud partitioning under intermittent connectivity, and interoperable multi-sensor data fusion to deliver trustworthy alerts and actionable insights. Persistent barriers remain cost, durability, maintenance burden, integration and interoperability, data governance, and workforce capability. Full article
(This article belongs to the Section Animal System and Management)
Show Figures

Figure 1

Back to TopTop