Sign in to use this feature.

Years

Between: -

Subjects

remove_circle_outline
remove_circle_outline
remove_circle_outline
remove_circle_outline
remove_circle_outline
remove_circle_outline

Journals

Article Types

Countries / Regions

Search Results (22)

Search Parameters:
Keywords = multiplex quantitative real-time RT-PCR

Order results
Result details
Results per page
Select all
Export citation of selected articles as:
15 pages, 1168 KB  
Article
Laboratory Validation of a Fully Automated Point-of-Care Device for High-Order Multiplexing Real-Time PCR Detection of Respiratory Pathogens
by Libby C. W. Li, Deborah M. S. Tai, Anita Yee, Nancy B. Y. Tsui, Parker Y. L. Tsang, Sunny L. H. Chu, Chui Ting Leung, Bernice K. W. Leung, Winston Wong, Firaol Tamiru Kebede, Pete Y. M. Leung, Teresa Chung, Cyril C. Y. Yip, Jonathan H. K. Chen, Rosana W. S. Poon, Kelvin K. W. To, Kwok-Yung Yuen, Manson Fok, Johnson Y. N. Lau and Lok Ting Lau
Diagnostics 2025, 15(19), 2445; https://doi.org/10.3390/diagnostics15192445 - 25 Sep 2025
Abstract
Background/Objectives: We have previously reported the engineering of a point-of-care (POC) system that fully automates the procedures for nucleic acid extraction and multiplexed real-time RT-PCR, with a major advantage of high-level multiplexing. In this study, we applied and validated the system in [...] Read more.
Background/Objectives: We have previously reported the engineering of a point-of-care (POC) system that fully automates the procedures for nucleic acid extraction and multiplexed real-time RT-PCR, with a major advantage of high-level multiplexing. In this study, we applied and validated the system in a respiratory tract infection setting. Methods: An automatic nested real-time RT-PCR assay was developed (POCm). It was a 40-plex assay that simultaneously detected 39 epidemiologically important respiratory pathogens in 1.5 h in the POC system. The analytical and clinical performance was evaluated. Results: The analytical sensitivities of the POCm assay were comparable to those of its single-plex counterparts performed manually on a bench-top. The minimum detectable concentrations ranged from 53 copies/mL to 5.3 × 103 copies/mL for all pathogen targets except hCoV-NL63 (5.3 × 104 copies/mL). The quantitative performance was demonstrated by the linear correlations between Ct values and input concentrations for all pathogen targets, with 24 of them demonstrating coefficients of correlation (r) greater than 0.9. The POCm assay was subsequently evaluated in 283 clinical samples. A high level of agreement (98.2–100%) was achieved for pathogen detection results between POCm and standard diagnostic methods. The POCm result was also fully concordant with the result of another commercial POC multiplex platform. For positive clinical samples, pairwise Ct values measured by POCm closely correlated with those of the bench-top reference method (r = 0.70). The feasibility of mutation genotyping of the viral subtype was further demonstrated. Conclusions: This study demonstrated the practicality of POCm for routine testing in clinical laboratories. Further clinical trials are being conducted to evaluate the clinical performance of the system. Full article
(This article belongs to the Section Point-of-Care Diagnostics and Devices)
Show Figures

Figure 1

17 pages, 1029 KB  
Study Protocol
One-Step Multiplex Real-Time Fluorescent Quantitative Reverse Transcription PCR for Simultaneous Detection of Four Waterfowl Viruses
by Chenchen Wang, Huixin Liu, Junze Cheng, Sijia Pan, Wenwen Yang, Xiaofang Wei, Yue Cheng, Ting Xu and Hongbin Si
Microorganisms 2024, 12(12), 2423; https://doi.org/10.3390/microorganisms12122423 - 25 Nov 2024
Viewed by 1155
Abstract
Duck Tembusu virus (DTMUV), duck hepatitis virus (DHV), Muscovy duck reovirus (MDRV), and Muscovy duck parvovirus (MDPV) represent four emergent infectious diseases impacting waterfowl, which can be challenging to differentiate due to overlapping clinical signs. In response to this, we have developed a [...] Read more.
Duck Tembusu virus (DTMUV), duck hepatitis virus (DHV), Muscovy duck reovirus (MDRV), and Muscovy duck parvovirus (MDPV) represent four emergent infectious diseases impacting waterfowl, which can be challenging to differentiate due to overlapping clinical signs. In response to this, we have developed a one-step multiplex real-time fluorescence quantitative reverse transcription PCR (qRT-PCR) assay, capable of simultaneously detecting DTMUV, DHV, MDRV, and MDPV. This method exhibits high specificity, avoiding cross-reactivity with other viruses such as Fowl adenoviruses (FADV), infectious bursal disease virus (IBDV), infectious bronchitis virus (IBV), infectious laryngotracheitis virus (ILTV), Haemophilus paragallinarum (Hpg), duck circovirus (DUCV), goose astrovirus (GoAstV), and mycoplasma gallisepticum (MG). The limit of detection (LOD) established for DTMUV, DHV, MDRV, and MDPV was determined to be 27 copies/μL. In the repeatability test, the intra-assay and inter-assay coefficients of variation (CVs) of the recombinant plasmid standard were less than 2%. Utilizing this method, we analyzed 326 clinical specimens sourced from Guangxi over the period spanning October 2021 through December 2023, yielding promising and precise outcomes. The qRT-PCR method established herein exhibits commendable specificity, sensitivity, and repeatability. Furthermore, it boasts a high clinical detection rate, making it a highly effective tool for diagnosing these pathogenic agents in waterfowl. Full article
(This article belongs to the Special Issue Detection and Identification of Pathogenic Bacteria and Viruses)
Show Figures

Figure 1

15 pages, 723 KB  
Article
Identification of Drought Stress-Responsive Genes in Rice by Random Walk with Multi-Restart Probability on MultiPlex Biological Networks
by Jiacheng Liu, Liu Zhu, Dan Cao, Xinghui Zhu, Hongyan Zhang, Yinqiong Zhang and Jing Liu
Int. J. Mol. Sci. 2024, 25(17), 9216; https://doi.org/10.3390/ijms25179216 - 25 Aug 2024
Viewed by 1578
Abstract
Exploring drought stress-responsive genes in rice is essential for breeding drought-resistant varieties. Rice drought resistance is controlled by multiple genes, and mining drought stress-responsive genes solely based on single omics data lacks stability and accuracy. Multi-omics correlation analysis and biological molecular network analysis [...] Read more.
Exploring drought stress-responsive genes in rice is essential for breeding drought-resistant varieties. Rice drought resistance is controlled by multiple genes, and mining drought stress-responsive genes solely based on single omics data lacks stability and accuracy. Multi-omics correlation analysis and biological molecular network analysis provide robust solutions. This study proposed a random walk with a multi-restart probability (RWMRP) algorithm, based on the Restarted Random Walk (RWR) algorithm, to operate on rice MultiPlex biological networks. It explores the interactions between biological molecules across various levels and ranks potential genes. RWMRP uses eigenvector centrality to evaluate node importance in the network and adjusts the restart probabilities accordingly, diverging from the uniform restart probability employed in RWR. In the random walk process, it can be better to consider the global relationships in the network. Firstly, we constructed a MultiPlex biological network by integrating the rice protein–protein interaction, gene pathway, and gene co-expression network. Then, we employed RWMRP to predict the potential genes associated with rice tolerance to drought stress. Enrichment and correlation analyses resulted in the identification of 12 drought-related genes. We further conducted quantitative real-time polymerase chain reaction (qRT-PCR) analysis on these 12 genes, ultimately identifying 10 genes responsive to drought stress. Full article
(This article belongs to the Special Issue Advance in Plant Abiotic Stress)
Show Figures

Figure 1

25 pages, 980 KB  
Review
Next-Generation Sequencing for the Detection of Microbial Agents in Avian Clinical Samples
by Claudio L. Afonso and Anna M. Afonso
Vet. Sci. 2023, 10(12), 690; https://doi.org/10.3390/vetsci10120690 - 4 Dec 2023
Cited by 9 | Viewed by 4729
Abstract
Direct-targeted next-generation sequencing (tNGS), with its undoubtedly superior diagnostic capacity over real-time PCR (RT-PCR), and direct-non-targeted NGS (ntNGS), with its higher capacity to identify and characterize multiple agents, are both likely to become diagnostic methods of choice in the future. tNGS is a [...] Read more.
Direct-targeted next-generation sequencing (tNGS), with its undoubtedly superior diagnostic capacity over real-time PCR (RT-PCR), and direct-non-targeted NGS (ntNGS), with its higher capacity to identify and characterize multiple agents, are both likely to become diagnostic methods of choice in the future. tNGS is a rapid and sensitive method for precise characterization of suspected agents. ntNGS, also known as agnostic diagnosis, does not require a hypothesis and has been used to identify unsuspected infections in clinical samples. Implemented in the form of multiplexed total DNA metagenomics or as total RNA sequencing, the approach produces comprehensive and actionable reports that allow semi-quantitative identification of most of the agents present in respiratory, cloacal, and tissue samples. The diagnostic benefits of the use of direct tNGS and ntNGS are high specificity, compatibility with different types of clinical samples (fresh, frozen, FTA cards, and paraffin-embedded), production of nearly complete infection profiles (viruses, bacteria, fungus, and parasites), production of “semi-quantitative” information, direct agent genotyping, and infectious agent mutational information. The achievements of NGS in terms of diagnosing poultry problems are described here, along with future applications. Multiplexing, development of standard operating procedures, robotics, sequencing kits, automated bioinformatics, cloud computing, and artificial intelligence (AI) are disciplines converging toward the use of this technology for active surveillance in poultry farms. Other advances in human and veterinary NGS sequencing are likely to be adaptable to avian species in the future. Full article
(This article belongs to the Section Veterinary Microbiology, Parasitology and Immunology)
Show Figures

Figure 1

15 pages, 1380 KB  
Article
An Advanced Multiplex Real-Time Reverse Transcription Loop-Mediated Isothermal Amplification Assay for Rapid and Reliable Detection of Porcine Epidemic Diarrhea Virus and Porcine Internal Positive Control
by Hye-Ryung Kim, Jong-Min Kim, Ji-Su Baek, Jonghyun Park, Won-Il Kim, Bok Kyung Ku, Hye-Young Jeoung, Kyoung-Ki Lee and Choi-Kyu Park
Viruses 2023, 15(11), 2204; https://doi.org/10.3390/v15112204 - 1 Nov 2023
Cited by 3 | Viewed by 1987
Abstract
For rapid and reliable detection of porcine epidemic diarrhea virus (PEDV) from pig clinical samples, a multiplex, real-time, reverse transcription loop-mediated isothermal amplification (mqRT-LAMP) was developed using two sets of primers and assimilating probes specific to the PEDV N gene and the Sus [...] Read more.
For rapid and reliable detection of porcine epidemic diarrhea virus (PEDV) from pig clinical samples, a multiplex, real-time, reverse transcription loop-mediated isothermal amplification (mqRT-LAMP) was developed using two sets of primers and assimilating probes specific to the PEDV N gene and the Sus scrofa β-actin gene, which was used as an endogenous internal positive control (EIPC) to avoid false-negative results. The assay specifically amplified both target genes of PEDV and EIPC in a single reaction without any interference but did not amplify other porcine viral nucleic acids. The limit of detection was 10 copies/μL, 100-fold lower than that of a reverse transcription-polymerase chain reaction (RT-PCR) and equivalent to that of quantitative/real-time RT-PCR (qRT-PCR). This assay has high repeatability and reproducibility with coefficients of variation < 4.0%. The positive signal of the mqRT-LAMP assay was generated within 25 min, demonstrating advantages in rapid detection of PEDV over RT-PCR or qRT-PCR assay, which require at least 2 h turnaround times. In clinical evaluation, the detection rate of PEDV by mqRT-LAMP assay (77.3%) was higher than that of RT-PCR assay (69.7%), and comparable to qRT-PCR (76.8%) with almost 100% concordance (kappa value 0.98). The developed mqRT-LAMP assay can serve as an advanced alternative method for PEDV diagnosis because it has high sensitivity and specificity, rapidity, and reliability even in resource-limited laboratories. Full article
(This article belongs to the Special Issue Porcine Epidemic Diarrhea Virus (PEDV): Pathogenesis and Prevention)
Show Figures

Figure 1

15 pages, 2885 KB  
Article
Development of a Quadruplex RT-qPCR for the Detection of Porcine Rotaviruses and the Phylogenetic Analysis of Porcine RVH in China
by Kaichuang Shi, Hongjin Zhou, Shuping Feng, Junxian He, Biao Li, Feng Long, Yuwen Shi, Yanwen Yin and Zongqiang Li
Pathogens 2023, 12(9), 1091; https://doi.org/10.3390/pathogens12091091 - 28 Aug 2023
Cited by 9 | Viewed by 2254
Abstract
Rotavirus A species (RVA), RVB, RVC, and RVH are four species of rotaviruses (RVs) that are prevalent in pig herds, and co-infections occur frequently. In this study, a quadruplex real-time quantitative RT-PCR (RT-qPCR) for the simultaneous detection of four porcine RVs was developed [...] Read more.
Rotavirus A species (RVA), RVB, RVC, and RVH are four species of rotaviruses (RVs) that are prevalent in pig herds, and co-infections occur frequently. In this study, a quadruplex real-time quantitative RT-PCR (RT-qPCR) for the simultaneous detection of four porcine RVs was developed by designing specific primers and probes based on the VP6 gene of RVA, RVB, RVC, and RVH, respectively. The method showed high specificity and could only detect RVA, RVB, RVC, and RVH, without cross-reaction with other porcine viruses; showed excellent sensitivity, with a limit of detection (LOD) of 1.5 copies/µL for each virus; showed good repeatability, with intra-assay coefficients of variation (CVs) of 0.15–1.14% and inter-assay CVs of 0.07–0.96%. A total of 1447 clinical fecal samples from Guangxi province in China were tested using the developed quadruplex RT-qPCR. The results showed that RVA (42.71%, 618/1447), RVB (26.95%, 390/1447), RVC (42.92%, 621/1447), and RVH (13.68%, 198/1447) were simultaneously circulating in the pig herds, and the co-infection rate of different species of rotaviruses was found to be up to 44.01% (579/1447). The clinical samples were also detected using one previously reported method, and the coincidence rate of the detection results using two methods was more than 99.65%. The phylogenetic tree based on the VP6 gene sequences of RVH revealed that the porcine RVH strains from Guangxi province belonged to the genotype I5, which was closely related to Japanese and Vietnamese strains. In summary, an efficient, sensitive, and accurate method for the detection and differentiation of RVA, RVB, RVC, and RVH was developed and applied to investigate the prevalence of porcine RVs in Guangxi province, China. This study is the first to report the prevalence of porcine RVH in China. Full article
(This article belongs to the Special Issue Swine Viral Diseases: 2nd Edition)
Show Figures

Figure 1

14 pages, 1857 KB  
Article
Multiplex Real-Time RT-PCR Assays for Detection and Differentiation of Porcine Enteric Coronaviruses
by Christina M. Lazov, Alice Papetti, Graham J. Belsham, Anette Bøtner, Thomas Bruun Rasmussen and Maria Beatrice Boniotti
Pathogens 2023, 12(8), 1040; https://doi.org/10.3390/pathogens12081040 - 14 Aug 2023
Cited by 9 | Viewed by 2217
Abstract
It is important to be able to detect and differentiate between distinct porcine enteric coronaviruses that can cause similar diseases. However, the existence of naturally occurring recombinant coronaviruses such as swine enteric coronavirus (SeCoV) can give misleading results with currently used diagnostic methods. [...] Read more.
It is important to be able to detect and differentiate between distinct porcine enteric coronaviruses that can cause similar diseases. However, the existence of naturally occurring recombinant coronaviruses such as swine enteric coronavirus (SeCoV) can give misleading results with currently used diagnostic methods. Therefore, we have developed and validated three duplex real-time quantitative RT-PCR assays for the simultaneous detection of, and differentiation between, porcine epidemic diarrhea virus (PEDV) and SeCoV. Transmissible gastroenteritis virus (TGEV) is also detected by two out of these three assays. In addition, a novel triplex assay was set up that was able to detect and differentiate between these alphacoronaviruses and the porcine deltacoronavirus (PDCoV). The validated assays have low limits of detection, close to 100% efficiency, and were able to correctly identify the presence of PEDV and SeCoV in 55 field samples, whereas 20 samples of other pathogens did not give a positive result. Implementing one or more of these multiplex assays into the routine diagnostic surveillance for PEDV will ensure that the presence of SeCoV, TGEV, and PDCoV will not go unnoticed. Full article
(This article belongs to the Special Issue Molecular Detection and Characterisation of Viral Pathogens)
Show Figures

Figure 1

15 pages, 2915 KB  
Article
Pregnancy Zone Protein Serves as a Prognostic Marker and Favors Immune Infiltration in Lung Adenocarcinoma
by Kehong Chen, Taihao Zheng, Cai Chen, Liangzhong Liu, Zhengjun Guo, Yuan Peng, Xiaoyue Zhang and Zhenzhou Yang
Biomedicines 2023, 11(7), 1978; https://doi.org/10.3390/biomedicines11071978 - 13 Jul 2023
Cited by 6 | Viewed by 2388
Abstract
Lung adenocarcinoma (LUAD) is a public enemy with a very high incidence and mortality rate, for which there is no specific detectable biomarker. Pregnancy zone protein (PZP) is an immune-related protein; however, the functions of PZP in LUAD are unclear. In this study, [...] Read more.
Lung adenocarcinoma (LUAD) is a public enemy with a very high incidence and mortality rate, for which there is no specific detectable biomarker. Pregnancy zone protein (PZP) is an immune-related protein; however, the functions of PZP in LUAD are unclear. In this study, a series of bioinformatics methods, combined with immunohistochemistry (IHC), four-color multiplex fluorescence immunohistochemistry (mIHC), quantitative real-time PCR (qRT-PCR) and enzyme-linked immunosorbent assay (ELISA), were utilized to explore the prognostic value and potential role of PZP in LUAD. Our data revealed that PZP expression was markedly reduced in LUAD tissues, tightly correlated with clinical stage and could be an independent unfavorable prognostic factor. In addition, pathway analysis revealed that high expression of PZP in LUAD was mainly involved in immune-related molecules. Tumor immune infiltration analysis by CIBERSORT showed a significant correlation between PZP expression and several immune cell infiltrations, and IHC further confirmed a positive correlation with CD4+ T-cell infiltration and a negative correlation with CD68+ M0 macrophage infiltration. Furthermore, mIHC demonstrated that PZP expression gave rise to an increase in CD86+ M1 macrophages and a decrease in CD206+ M2 macrophages. Therefore, PZP can be used as a new biomarker for the prediction of prognosis and may be a promising immune-related molecular target for LUAD. Full article
(This article belongs to the Section Immunology and Immunotherapy)
Show Figures

Figure 1

14 pages, 1911 KB  
Article
Development of a Multiplex Crystal Digital RT-PCR for Differential Detection of Classical, Highly Pathogenic, and NADC30-like Porcine Reproductive and Respiratory Syndrome Virus
by Feng Long, Yating Chen, Kaichuang Shi, Yanwen Yin, Shuping Feng and Hongbin Si
Animals 2023, 13(4), 594; https://doi.org/10.3390/ani13040594 - 8 Feb 2023
Cited by 7 | Viewed by 2399
Abstract
Porcine reproductive and respiratory syndrome virus (PRRSV) type 1 (European genotype) and PRRSV type 2 (North American genotype) are prevalent all over the world. Nowadays, the North American genotype PRRSV (NA-PRRSV) has been widely circulating in China and has caused huge economic losses [...] Read more.
Porcine reproductive and respiratory syndrome virus (PRRSV) type 1 (European genotype) and PRRSV type 2 (North American genotype) are prevalent all over the world. Nowadays, the North American genotype PRRSV (NA-PRRSV) has been widely circulating in China and has caused huge economic losses to the pig industry. In recent years, classical PRRSV (C-PRRSV), highly pathogenic PRRSV (HP-PRRSV), and NADC30-like PRRSV (NL-PRRSV) have been the most common circulating strains in China. In order to accurately differentiate the circulating strains of NA-PRRSV, three pairs of specific primers and corresponding probes were designed for the Nsp2 region of C-PRRSV, HP-PRRSV, and NL-PRRSV. After optimizing the annealing temperature, primer concentration, and probe concentration, a multiplex real-time quantitative RT-PCR (qRT-PCR) and a multiplex Crystal digital RT-PCR (cdRT-PCR) for the differential detection of C-PRRSV, HP-PRRSV, and NL-PRRSV were developed. The results showed that the two assays illustrated high sensitivity, with a limit of detection (LOD) of 3.20 × 100 copies/μL for the multiplex qRT-PCR and 3.20 × 10−1 copies/μL for the multiplex cdRT-PCR. Both assays specifically detected the targeted viruses, without cross-reaction with other swine viruses, and indicated excellent repeatability, with coefficients of variation (CVs) of less than 1.26% for the multiplex qRT-PCR and 2.68% for the multiplex cdRT-PCR. Then, a total of 320 clinical samples were used to evaluate the application of these assays, and the positive rates of C-PRRSV, HP-PRRSV, and NL-PRRSV by the multiplex qRT-PCR were 1.88%, 21.56%, and 9.69%, respectively, while the positive rates by the multiplex cdRT-PCR were 2.19%, 25.31%, and 11.56%, respectively. The high sensitivity, strong specificity, excellent repeatability, and reliability of these assays indicate that they could provide useful tools for the simultaneous and differential detection of the circulating strains of C-PRRSV, HP-PRRSV, and NL-PRRSV in the field. Full article
(This article belongs to the Special Issue Diagnosis and Pathogenesis of Animal Pathogenic Microorganisms)
Show Figures

Figure 1

16 pages, 4266 KB  
Article
A Novel Universal Primer Multiplex Real-Time PCR (UP-M-rtPCR) Approach for Specific Identification and Quantitation of Cat, Dog, Fox, and Mink Fractions Using Nuclear DNA Sequences
by Wenjun Wang, Tiean Wei, Manna Shi, Yu Han, Yang Shen, Xiang Zhou and Bang Liu
Foods 2023, 12(3), 594; https://doi.org/10.3390/foods12030594 - 31 Jan 2023
Cited by 4 | Viewed by 3075
Abstract
Adulteration of meat with carnivorous animals (such as cats, dogs, foxes, and minks) can cause ethical problems and lead to disease transmission; however, DNA quantitative methods for four carnivorous species in one tube reaction are still rare. In this study, a carnivore-specific nuclear [...] Read more.
Adulteration of meat with carnivorous animals (such as cats, dogs, foxes, and minks) can cause ethical problems and lead to disease transmission; however, DNA quantitative methods for four carnivorous species in one tube reaction are still rare. In this study, a carnivore-specific nuclear DNA sequence that is conserved in carnivorous animals but has base differences within the sequence was used to design universal primers for its conserved region and corresponding species-specific probes for the hypervariable region. A novel universal primer multiplex real-time PCR (UP-M-rtPCR) approach was developed for the specific identification and quantitation of cat, dog, fox, and mink fractions in a single reaction, with a 0.05 ng absolute limit of detection (LOD) and 0.05% relative LOD. This approach simplifies the PCR system and improves the efficiency of simultaneous identification of multiple animal-derived ingredients in meat. UP-M-rtPCR showed good accuracy (0.48–7.04% relative deviation) and precision (1.42–13.78% relative standard deviation) for quantitative analysis of cat, dog, fox, and mink DNA as well as excellent applicability for the evaluation of meat samples. Full article
(This article belongs to the Section Food Analytical Methods)
Show Figures

Figure 1

12 pages, 1853 KB  
Article
A Quadruplex qRT-PCR for Differential Detection of Four Porcine Enteric Coronaviruses
by Hongjin Zhou, Kaichuang Shi, Feng Long, Kang Zhao, Shuping Feng, Yanwen Yin, Chenyong Xiong, Sujie Qu, Wenjun Lu and Zongqiang Li
Vet. Sci. 2022, 9(11), 634; https://doi.org/10.3390/vetsci9110634 - 16 Nov 2022
Cited by 19 | Viewed by 2919
Abstract
Porcine epidemic diarrhea virus (PEDV), transmissible gastroenteritis virus (TGEV), porcine deltacoronavirus (PDCoV), and swine acute diarrhea syndrome coronavirus (SADS-CoV) are four identified porcine enteric coronaviruses. Pigs infected with these viruses show similar manifestations of diarrhea, vomiting, and dehydration. Here, a quadruplex real-time quantitative [...] Read more.
Porcine epidemic diarrhea virus (PEDV), transmissible gastroenteritis virus (TGEV), porcine deltacoronavirus (PDCoV), and swine acute diarrhea syndrome coronavirus (SADS-CoV) are four identified porcine enteric coronaviruses. Pigs infected with these viruses show similar manifestations of diarrhea, vomiting, and dehydration. Here, a quadruplex real-time quantitative PCR (qRT-PCR) assay was established for the differential detection of PEDV, TGEV, PDCoV, and SADS-CoV from swine fecal samples. The assay showed extreme specificity, high sensitivity, and excellent reproducibility, with the limit of detection (LOD) of 121 copies/μL (final reaction concentration of 12.1 copies/μL) for each virus. The 3236 clinical fecal samples from Guangxi province in China collected between October 2020 and October 2022 were evaluated by the quadruplex qRT-PCR, and the positive rates of PEDV, TGEV, PDCoV, and SADS-CoV were 18.26% (591/3236), 0.46% (15/3236), 13.16% (426/3236), and 0.15% (5/3236), respectively. The samples were also evaluated by the multiplex qRT-PCR reported previously by other scientists, and the compliance rate between the two methods was more than 99%. This illustrated that the developed quadruplex qRT-PCR assay can provide an accurate method for the differential detection of four porcine enteric coronaviruses. Full article
(This article belongs to the Special Issue Emerging and Re-emerging Swine Viral Diseases)
Show Figures

Figure 1

31 pages, 6083 KB  
Review
Miniaturized Raman Instruments for SERS-Based Point-of-Care Testing on Respiratory Viruses
by Ahmed Ali, Ezekiel Edward Nettey-Oppong, Elijah Effah, Chan Yeong Yu, Riaz Muhammad, Toufique Ahmed Soomro, Kyung Min Byun and Seung Ho Choi
Biosensors 2022, 12(8), 590; https://doi.org/10.3390/bios12080590 - 2 Aug 2022
Cited by 37 | Viewed by 7218
Abstract
As surface-enhanced Raman scattering (SERS) has been used to diagnose several respiratory viruses (e.g., influenza A virus subtypes such as H1N1 and the new coronavirus SARS-CoV-2), SERS is gaining popularity as a method for diagnosing viruses at the point-of-care. Although the prior and [...] Read more.
As surface-enhanced Raman scattering (SERS) has been used to diagnose several respiratory viruses (e.g., influenza A virus subtypes such as H1N1 and the new coronavirus SARS-CoV-2), SERS is gaining popularity as a method for diagnosing viruses at the point-of-care. Although the prior and quick diagnosis of respiratory viruses is critical in the outbreak of infectious disease, ELISA, PCR, and RT-PCR have been used to detect respiratory viruses for pandemic control that are limited for point-of-care testing. SERS provides quantitative data with high specificity and sensitivity in a real-time, label-free, and multiplex manner recognizing molecular fingerprints. Recently, the design of Raman spectroscopy system was simplified from a complicated design to a small and easily accessible form that enables point-of-care testing. We review the optical design (e.g., laser wavelength/power and detectors) of commercialized and customized handheld Raman instruments. As respiratory viruses have prominent risk on the pandemic, we review the applications of handheld Raman devices for detecting respiratory viruses. By instrumentation and commercialization advancements, the advent of the portable SERS device creates a fast, accurate, practical, and cost-effective analytical method for virus detection, and would continue to attract more attention in point-of-care testing. Full article
(This article belongs to the Special Issue Surface-Enhanced Raman Scattering Biosensors)
Show Figures

Figure 1

11 pages, 499 KB  
Article
Evaluation of Feedstuffs as a Potential Carrier of Avian Influenza Virus between Feed Mills and Poultry Farms
by Shahan Azeem, Yuko Sato, Baoqing Guo, Anna Wolc, Hanjun Kim, Hai Hoang, Mahesh Bhandari, Kathleen Mayo, Jian Yuan, Jihun Yoon, Phillip C. Gauger and Kyoung-Jin Yoon
Pathogens 2022, 11(7), 755; https://doi.org/10.3390/pathogens11070755 - 2 Jul 2022
Cited by 2 | Viewed by 2921
Abstract
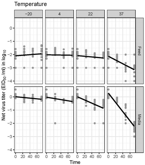
The present study was conducted to assess the potential vector role of feedstuffs for the area spreading of avian influenza virus (AIV). Firstly, feed samples were collected from commercial poultry facilities that experienced highly pathogenic avian influenza (H5N2) in 2014–2015 for AIV testing [...] Read more.
The present study was conducted to assess the potential vector role of feedstuffs for the area spreading of avian influenza virus (AIV). Firstly, feed samples were collected from commercial poultry facilities that experienced highly pathogenic avian influenza (H5N2) in 2014–2015 for AIV testing by a real-time RT–PCR specific for the viral matrix gene. Secondly, feed materials obtained from an AIV-negative farm were spiked with various concentrations of a low pathogenic AIV H5N2. Virus-spiked cell culture media were prepared in the same manner and used for comparison. The spiked feed and media samples were tested by a multiplex real-time RT–PCR ran in a quantitative manner, either immediately or after incubation at −20, 4, 22, and 37 °C for 24, 48, and 72 h. Some of the feedstuffs collected from the poultry facilities or feed mills were positive for AIV RNA but negative by the virus isolation (VI) test, while all the formaldehyde-treated feedstuffs were PCR-negative. In the spiked feeds, the AIV titer was 1–3 logs lower than that in the corresponding media, even when tested immediately after spiking, suggesting that feed might have a negative impact on the virus or PCR detection. The half-life of AIV RNA was shorter at a higher temperature. A significant decay in the viral RNA over time was noted at 37 °C (p < 0.05), suggesting that feedstuffs should be maintained in the cold chain when testing is desired. Furthermore, the thermal degradation of AIV suggests that the heat treatment of feeds could be an alternative to chemical treatment when contamination is suspected. Collectively, the study observations indicate that AIV survivability in feed is relatively low, thus rendering it a low risk. Full article
(This article belongs to the Section Viral Pathogens)
Show Figures

Figure 1

18 pages, 1609 KB  
Article
Targeting of Silver Cations, Silver-Cystine Complexes, Ag Nanoclusters, and Nanoparticles towards SARS-CoV-2 RNA and Recombinant Virion Proteins
by Olga V. Morozova, Valentin A. Manuvera, Alexander E. Grishchechkin, Nikolay A. Barinov, Nataliya V. Shevlyagina, Vladimir G. Zhukhovitsky, Vassili N. Lazarev and Dmitry V. Klinov
Viruses 2022, 14(5), 902; https://doi.org/10.3390/v14050902 - 26 Apr 2022
Cited by 15 | Viewed by 3602
Abstract
Background: Nanosilver possesses antiviral, antibacterial, anti-inflammatory, anti-angiogenesis, antiplatelet, and anticancer properties. The development of disinfectants, inactivated vaccines, and combined etiotropic and immunomodulation therapy against respiratory viral infections, including COVID-19, remains urgent. Aim: Our goal was to determine the SARS-CoV-2 molecular targets (genomic [...] Read more.
Background: Nanosilver possesses antiviral, antibacterial, anti-inflammatory, anti-angiogenesis, antiplatelet, and anticancer properties. The development of disinfectants, inactivated vaccines, and combined etiotropic and immunomodulation therapy against respiratory viral infections, including COVID-19, remains urgent. Aim: Our goal was to determine the SARS-CoV-2 molecular targets (genomic RNA and the structural virion proteins S and N) for silver-containing nanomaterials. Methods: SARS-CoV-2 gene cloning, purification of S2 and N recombinant proteins, viral RNA isolation from patients’ blood samples, reverse transcription with quantitative real-time PCR ((RT)2-PCR), ELISA, and multiplex immunofluorescent analysis with magnetic beads (xMAP) for detection of 17 inflammation markers. Results: Fluorescent Ag nanoclusters (NCs) less than 2 nm with a few recovered silver atoms, citrate coated Ag nanoparticles (NPs) with diameters of 20–120 nm, and nanoconjugates of 50–150 nm consisting of Ag NPs with different protein envelopes were constructed from AgNO3 and analyzed by means of transmission electron microscopy (TEM), atomic force microscopy (AFM), ultraviolet-visible light absorption, and fluorescent spectroscopy. SARS-CoV-2 RNA isolated from COVID-19 patients’ blood samples was completely cleaved with the artificial RNase complex compound Li+[Ag+2Cys2(OH)2(NH3)2] (Ag-2S), whereas other Ag-containing materials provided partial RNA degradation only. Treatment of the SARS-CoV-2 S2 and N recombinant antigens with AgNO3 and Ag NPs inhibited their binding with specific polyclonal antibodies, as shown by ELISA. Fluorescent Ag NCs with albumin or immunoglobulins, Ag-2S complex, and nanoconjugates of Ag NPs with protein shells had no effect on the interaction between coronavirus recombinant antigens and antibodies. Reduced production of a majority of the 17 inflammation biomarkers after treatment of three human cell lines with nanosilver was demonstrated by xMAP. Conclusion: The antiviral properties of the silver nanomaterials against SARS-CoV-2 coronavirus differed. The small-molecular-weight artificial RNase Ag-2S provided exhaustive RNA destruction but could not bind with the SARS-CoV-2 recombinant antigens. On the contrary, Ag+ ions and Ag NPs interacted with the SARS-CoV-2 recombinant antigens N and S but were less efficient at performing viral RNA cleavage. One should note that SARS-CoV-2 RNA was more stable than MS2 phage RNA. The isolated RNA of both the MS2 phage and SARS-CoV-2 were more degradable than the MS2 phage and coronavirus particles in patients’ blood, due to the protection with structural proteins. To reduce the risk of the virus resistance, a combined treatment with Ag-2S and Ag NPs could be used. To prevent cytokine storm during the early stages of respiratory infections with RNA-containing viruses, nanoconjugates of Ag NPs with surface proteins could be recommended. Full article
(This article belongs to the Special Issue Viruses for Novel Biomaterials)
Show Figures

Figure 1

18 pages, 2310 KB  
Article
Immunomodulatory Effects of Pure Cylindrospermopsin in Rats Orally Exposed for 28 Days
by Leticia Diez-Quijada, Antonio Casas-Rodriguez, Remedios Guzmán-Guillén, Verónica Molina-Hernández, Rafael G. Albaladejo, Ana María Cameán and Angeles Jos
Toxins 2022, 14(2), 144; https://doi.org/10.3390/toxins14020144 - 15 Feb 2022
Cited by 10 | Viewed by 3128
Abstract
Cylindrospermopsin (CYN) is a ubiquitous cyanotoxin showing increasing incidence worldwide. CYN has been classified as a cytotoxin and, among its toxic effects, its immunotoxicity is scarcely studied. This work investigates for the first time the influence of oral CYN exposure (18.75; 37.5 and [...] Read more.
Cylindrospermopsin (CYN) is a ubiquitous cyanotoxin showing increasing incidence worldwide. CYN has been classified as a cytotoxin and, among its toxic effects, its immunotoxicity is scarcely studied. This work investigates for the first time the influence of oral CYN exposure (18.75; 37.5 and 75 µg/kg b.w./day, for 28 days) on the mRNA expression of selected interleukin (IL) genes (IL-1β, IL-2, IL-6, Tumor Necrosis Factor alpha (TNF-α), Interferon gamma (IFN-γ)) in the thymus and the spleen of male and female rats, by quantitative real-time polymerase chain reaction (RT-qPCR). Moreover, their serum levels were also measured by a multiplex-bead-based immunoassay, and a histopathological study was performed. CYN produced immunomodulation mainly in the thymus of rats exposed to 75 μg CYN/kg b.w./day in both sexes. However, in the spleen only IL-1β and IL-2 (males), and TNF-α and IFN-γ (females) expression was modified after CYN exposure. Only female rats exposed to 18.75 μg CYN/kg b.w./day showed a significant decrease in TNF-α serum levels. There were no significant differences in the weight or histopathology in the organs studied. Further research is needed to obtain a deeper view of the molecular mechanisms involved in CYN immunotoxicity and its consequences on long-term exposures. Full article
Show Figures

Figure 1

Back to TopTop