Evaluation of Feedstuffs as a Potential Carrier of Avian Influenza Virus between Feed Mills and Poultry Farms
Abstract
:1. Introduction
2. Materials and Methods
2.1. Collection of Feedstuffs from Commercial Poultry Facilities
2.2. Preparation and Testing of Virus-Spiked Feeds
2.3. Feed Sample Processing
2.4. Polymerase Chain Reaction-Based Assay
2.5. Virus Isolation Assay
2.6. Data Analysis
2.7. Estimation of the Limit of Detection of RRT–PCR in Feed Samples
3. Results
3.1. Evaluation of Feed Samples from Commercial Operations
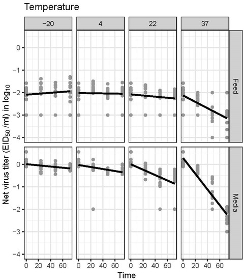
3.2. Decay of Viral RNA in Feeds Spiked with LPAIV
3.3. Analytic Performance of Commercial Real-Time Multiplex RT–PCR to Detect AIV RNA
3.4. VI Attempts on PCR-Positive Spiked Feeds and Media
4. Discussion
Author Contributions
Funding
Institutional Review Board Statement
Informed Consent Statement
Data Availability Statement
Acknowledgments
Conflicts of Interest
Abbreviations
References
- ICTV. International Committee on Taxonomy of Viruses. Orthomyxoviridae. 2021. Available online: https://talk.ictvonline.org/ictv-reports/ictv_9th_report/negative-sense-rna-viruses-2011/w/negrna_viruses/209/orthomyxoviridae (accessed on 25 May 2022).
- Webster, R.G.; Bean, W.J.; Gorman, O.T.; Chambers, T.M.; Kawaoka, Y. Evolution and ecology of influenza A viruses. Microbiol. Rev. 1992, 56, 152–179. [Google Scholar] [CrossRef] [PubMed]
- Tong, S.; Li, Y.; Rivailler, P.; Conrardy, C.; Castillo, D.A.A.; Chen, L.-M.; Recuenco, S.; Ellison, J.A.; Davis, C.T.; York, I.A.; et al. A distinct lineage of influenza A virus from bats. Proc. Natl. Acad. Sci. USA 2012, 109, 4269–4274. [Google Scholar] [CrossRef] [PubMed] [Green Version]
- Tong, S.; Zhu, X.; Li, Y.; Shi, M.; Zhang, J.; Bourgeois, M.; Yang, H.; Chen, X.; Recuenco, S.; Gomez, J.; et al. New World Bats Harbor Diverse Influenza A Viruses. PLoS Pathog. 2013, 9, e1003657. [Google Scholar] [CrossRef] [PubMed] [Green Version]
- Munster, V.J.; Baas, C.; Lexmond, P.; Waldenstrom, J.; Wallensten, A.; Fransson, T.; Rimmelzwaan, G.F.; Beyer, W.E.; Schutten, M.; Olsen, B.; et al. Spatial, temporal, and species variation in prevalence of influenza A viruses in wild migratory birds. PLoS Pathog. 2007, 3, e61. [Google Scholar] [CrossRef] [PubMed] [Green Version]
- Global Consortium for H5N8 and Related Influenza Viruses. Role for migratory wild birds in the global spread of avian influenza H5N8. Science 2016, 354, 213–216. [Google Scholar] [CrossRef] [PubMed] [Green Version]
- United Stated Department of Agriculture-Animal and Plant Health Inspection Agency-Veterinary Services. 2022 Detections of Highly Pathogenic Avian Influenza in Wild Birds. 2022. Available online: https://www.aphis.usda.gov/aphis/ourfocus/animalhealth/animal-disease-information/avian/avian-influenza/hpai-2022/2022-hpai-wild-birds (accessed on 25 May 2022).
- United Stated Department of Agriculture-Animal and Plant Health Inspection Agency. USDA Confirms Highly Pathogenic H7N3 Avian Influenza in a Commercial Flock in Chesterfield County, South Carolina. 2020. Available online: https://www.aphis.usda.gov/aphis/newsroom/stakeholder-info/sa_by_date/sa-2020/sa-04/hpai-sc (accessed on 25 May 2022).
- Keawcharoen, J.; van den Broek, J.; Bouma, A.; Tiensin, T.; Osterhaus, A.D.; Heesterbeek, H. Wild birds and increased transmission of highly pathogenic avian influenza (H5N1) among poultry, Thailand. Emerg. Infect. Dis. 2011, 17, 1016–1022. [Google Scholar] [CrossRef] [PubMed]
- Ip, H.S.; Dusek, R.; Bodenstein, B.; Torchetti, M.K.; Debruyn, P.; Mansfield, K.G.; Deliberto, T.; Sleeman, J.M. High Rates of Detection of Clade 2.3.4.4 Highly Pathogenic Avian Influenza H5 Viruses in Wild Birds in the Pacific Northwest During the Winter of 2014–15. Avian Dis. 2016, 60, 354–358. [Google Scholar] [CrossRef] [Green Version]
- Centre for Infectious Disease Research and Policy. Report Finds $1.2 Billion in Iowa Avian Flu Damage. 2015. Available online: http://www.cidrap.umn.edu/news-perspective/2015/08/report-finds-12-billion-iowa-avian-flu-damage (accessed on 25 May 2022).
- Taubenberger, J.K.; Morens, D.M. H5Nx Panzootic Bird Flu—Influenza’s Newest Worldwide Evolutionary Tour. Emerg. Infect. Dis. 2017, 23, 340–342. [Google Scholar] [CrossRef] [Green Version]
- United Stated Department of Agriculture-Animal and Plant Health Inspection Agency-Veterinary Services. 2016 HPAI Preparedness and Response Plan. 2016. Available online: https://www.aphis.usda.gov/animal_health/downloads/animal_diseases/ai/hpai-preparedness-and-response-plan-2015.pdf (accessed on 25 May 2022).
- Ip, H.; Torchetti, M.K.; Crespo, R.; Kohrs, P.; DeBruyn, P.; Mansfield, K.G.; Baszler, T.; Badcoe, L.; Bodenstein, B.; Shearn-Bochsler, V.; et al. Novel Eurasian Highly Pathogenic Avian Influenza a H5 Viruses in Wild Birds, Washington, USA, 2014. Emerg. Infect. Dis. 2015, 21, 886–890. [Google Scholar] [CrossRef]
- United Stated Department of Agriculture-Animal and Plant Health Inspection Agency-Veterinary Services. Epidemiologic and Other Analyses of HPAI-Affected Poultry Flocks: June 15, 2015 Report. 2015. Available online: http://www.aphis.usda.gov/animal_health/animal_dis_spec/poultry/downloads/Epidemiologic-Analysis-June-15-2015.pdf (accessed on 25 May 2022).
- Spackman, E.; Pantin-Jackwood, M.J.; Kapczynski, D.R.; Swayne, D.E.; Suarez, D.L. H5N2 Highly pathogenic avian influenza viruses from the US 2014–2015 outbreak have an unusually long pre-clinical period in turkeys. BMC Vet. Res. 2016, 12, 260. [Google Scholar] [CrossRef] [Green Version]
- Swayne, D.E. High pathogenicity avian influenza in the Americas. In Avian Influenza; Swayne, D.E., Ed.; Blackwell Publishing: Hoboken, NJ, USA, 2008; pp. 191–216. [Google Scholar]
- Toro, H.; van Santen, V.L.; Breedlove, C. Inactivation of avian influenza virus in nonpelleted chicken feed. Avian Dis. 2016, 60, 846–849. [Google Scholar] [CrossRef] [PubMed]
- Woolcock, P.R. Avian influenza virus isolation and propagation in chicken eggs. In Avian Influenza Virus; Spackman, E., Ed.; Humana Press: Totowa, NJ, USA, 2008; pp. 36–39. [Google Scholar]
- Krauss, S.; Walker, D.; Webster, R.G. Infleunza virus isolation. In Influenza Virus: Methods and Protocols, Methods in Molecular Biology; Kawaoka, Y., Neumann, G., Eds.; Humana Press: Totowa, NJ, USA, 2012; p. 12. [Google Scholar]
- Senne, D.A. Virus propagation in embryonating eggs. In A Laboratory Manual for the Isolation, Identification and Characterization of Avian Pathogens, 5th ed.; Dufour-Zavala, L., Swayne, D.E., Glisson, J.R., Pearson, J.E., Reed, W.M., Jackwood, M.W., Eds.; American Association of Avian Pathologists: Athens, GA, USA, 2008; p. 206. [Google Scholar]
- Killian, M.L. Hemagglutination assay for the avian influenza virus. In Avian Influenza Virus; Spackman, E., Ed.; Humana Press: Totowa, NJ, USA, 2008; pp. 47–52. [Google Scholar]
- Spackman, E. Avian influenza virus detection and quantitation by real-time RT-PCR. In Animal Influenza Virus; Spackman, E., Ed.; Humana Press: Totowa, NJ, USA, 2014; pp. 105–118. [Google Scholar]
- R Core Team. The R Project for Statistical Computing (ver 3.3.3). Available online: http://www.r-project.org/ (accessed on 3 July 2017).
- Leclerc, G.J.; Leclerc, G.M.; Barredo, J.C. Real-time RT-PCR analysis of mRNA decay: Half-life of beta-actin mRNA in human leukemia CCRF-CEM and Nalm-6 cell lines. Cancer Cell Int. 2002, 2, 1. [Google Scholar] [CrossRef] [PubMed]
- Bryan, M.; Zimmerman, J.J.; Berry, W.J. The use of half-lives and associated confidence intervals in biological research. Vet. Res. Commun. 1990, 14, 235–240. [Google Scholar] [CrossRef] [PubMed]
- Davidson, I.; Nagar, S.; Haddas, R.; Ben-Shabat, M.; Golender, N.; Lapin, E.; Altory, A.; Simanov, L.; Ribshtein, I.; Panshin, A.; et al. Avian Influenza Virus H9N2 Survival at Different Temperatures and pHs. Avian Dis. 2010, 54, 725–728. [Google Scholar] [CrossRef]
- Shahid, M.A.; Abubakar, M.; Hameed, S.; Hassan, S. Avian influenza virus (H5N1); effects of physico-chemical factors on its survival. Virol. J. 2009, 6, 38. [Google Scholar] [CrossRef] [Green Version]
- Martin, G.; Becker, D.J.; Plowright, R.K. Environmental persistence of influenza H5N1 is driven by temperature and salinity: Insights from a Bayesian meta-analysis. Front. Ecol. Evol. 2018, 6, 131. [Google Scholar] [CrossRef] [Green Version]
- Dee, N.; Havas, K.; Shah, A.; Singrey, A.; Spronk, G.; Niederwerder, M.; Nelson, E.; Dee, S. Evaluating the effect of temperature on viral survival in plant-based feed during storage. Transbound. Emerg. Dis. 2022, 1–6. [Google Scholar] [CrossRef]
- Swayne, D.E.; Slemons, R.D. Using mean infectious dose of high- and low-pathogenicity avian influenza viruses originating from wild duck and poultry as one measure of infectivity and adaptation to poultry. Avian Dis. 2008, 52, 455–460. [Google Scholar] [CrossRef]
- United Stated Department of Agriculture-Animal and Plant Health Inspection Agency-Veterinary Services. Risk That Poultry Feed Made with Corn—Potentially Contaminated with Eurasian-North American Lineage H5N2 HPAI Virus from Wild Migratory Birds—Results in Exposure of Susceptible Commercial Poultry. 2015. Available online: https://www.aphis.usda.gov/animal_health/animal_dis_spec/poultry/downloads/hpai_contaminated_feed.pdf (accessed on 25 May 2022).
- Trudeau, M.P.; Verma, H.; Urriola, P.E.; Sampedro, F.; Shurson, G.C.; Goyal, S.M. Survival of porcine epidemic diarrhea virus (PEDV) in thermally treated feed ingredients and on surfaces. Porcine Health Manag. 2017, 3, 17. [Google Scholar] [CrossRef]
- Niederwerder, M.C.; Stoian, A.M.M.; Rowland, R.R.R.; Dritz, S.S.; Petrovan, V.; Constance, L.A.; Gebhardt, J.T.; Olcha, M.; Jones, C.K.; Woodworth, J.C.; et al. Infectious dose of African swine fever virus when consumed naturally in liquid or feed. Emerg. Infect. Dis. 2019, 25, 891–897. [Google Scholar] [CrossRef]
- Stoian, A.M.M.; Petrovan, V.; Constance, L.A.; Olcha, M.; Dee, S.; Diel, D.G.; Sheahan, M.A.; Rowland, R.R.R.; Patterson, G.; Niederwerder, M.C. Stability of classical swine fever virus and pseudorabies virus in animal feed ingredients exposed to transpacific shipping conditions. Transbound. Emerg. Dis. 2020, 67, 1623–1632. [Google Scholar] [CrossRef] [PubMed]
- Dee, S.A.; Bauermann, F.V.; Niederwerder, M.C.; Singrey, A.; Clement, T.; de Lima, M. Survival of viral pathogens in animal feed ingredients under transboundary shipping models. PLoS ONE 2018, 13, e0194509. [Google Scholar] [CrossRef] [PubMed] [Green Version]

| Sample Origin—Type | PCR Result (Ct/Interpretation) | Virus Isolation | |
|---|---|---|---|
| Facility #1 | Barn 1—Feed Trough 1 | 36.9/Presumptive positive | Negative |
| Barn 2—Feed Trough 1 | 36.6/Presumptive positive | Negative | |
| Barn 2—Feed Trough 2 | 35.7/Presumptive positive | Negative | |
| Barn 3—Feed Trough 1 | 36.2/Presumptive positive | Negative | |
| Barn 3—Feed Trough 2 | 34.2/Presumptive positive | Negative | |
| Barn 4—Feed Trough 1 | 34.5/Presumptive positive | Negative | |
| Barn 4—Feed Trough 2 | 35.7/Presumptive positive | Negative | |
| Barn 5—Feed Trough 1 | 32.6/Presumptive positive | Negative | |
| Barn 5—Feed Trough 2 | 36.0/Presumptive positive | Negative | |
| Barn 6—Feed Trough 1 | 38.3/Presumptive positive | Negative | |
| Barn 7—Feed Trough 1 | 35.2/Presumptive positive | Negative | |
| Barn 8—Feed Trough 2 | 37.5/Presumptive positive | Negative | |
| Barn 9—Feed Trough 1 | 39.3/Presumptive positive | Negative | |
| Facility #2 | Barn 5—Feed Trough 3 | 32.2/Presumptive positive | Negative |
| Barn 10—Feed Trough 4 | 32.3/Presumptive positive | Negative | |
| Barn 10—Feed Corners | 30.5/Presumptive positive | Negative | |
| Barn 20—Feed Trough 2 | 31.1/Presumptive positive | Negative | |
| Barn 22—Feed Trough 1 | 30.3/Presumptive positive | Negative | |
| Feed mill, Egg Shells (internally sourced) A | 39.7/Presumptive positive | Negative | |
| Feed mill, Egg Shells (internally sourced) | 38.1/Presumptive positive | Negative | |
| Feed mill, Meat and bone meal (externally sourced) B | 37.9/Presumptive positive | Negative |
| 37 °C | 22 °C | 4 °C | −20 °C | |
|---|---|---|---|---|
| Media | 19.87 A (15.61, 27.36) B | 57.84 (31.16, 401.65) | ∞ C | ∞ |
| Feed | 49.29 (30.36, 130.91) | ∞ | ∞ | ∞ |
| Temperature (°C) | Matrix | AIV Titer (EID50/mL or EID50/g) Expected in Each Virus-Spiked Sample | |||||||||||||
|---|---|---|---|---|---|---|---|---|---|---|---|---|---|---|---|
| 0 h | 24 h | ||||||||||||||
| 106 | 105 | 104 | 103 | 102 | 101 | 100 | 106 | 105 | 104 | 103 | 102 | 101 | 100 | ||
| −20 | Media | 3/3 A | 3/3 | 3/3 | 3/3 | 3/3 | 1/3 | 0/3 | 3/3 | 3/3 | 3/3 | 3/3 | 3/3 | 0/3 | 0/3 |
| 4 | 3/3 | 3/3 | 3/3 | 3/3 | 2/3 | 0/3 | 0/3 | ||||||||
| 22 | 3/3 | 3/3 | 3/3 | 3/3 | 3/3 | 0/3 | 0/3 | ||||||||
| 37 | 3/3 | 3/3 | 3/3 | 3/3 | 3/3 | 0/3 | 0/3 | ||||||||
| −20 | Feed | 3/3 | 3/3 | 3/3 | 1/3 | 0/3 | 0/3 | 0/3 | 3/3 | 3/3 | 3/3 | 1/3 | 0/3 | 0/3 | 0/3 |
| 4 | 3/3 | 3/3 | 3/3 | 3/3 | 0/3 | 0/3 | 0/3 | ||||||||
| 22 | 3/3 | 3/3 | 3/3 | 1/3 | 0/3 | 0/3 | 0/3 | ||||||||
| 37 | 3/3 | 3/3 | 3/3 | 0/3 | 0/3 | 0/3 | 0/3 | ||||||||
| Temperature (°C) | Matrix | AIV Titer (EID50/mL or EID50/) Expected in Each Virus-Spiked Sample | |||||||||||||
| 48 h | 72 h | ||||||||||||||
| 106 | 105 | 104 | 103 | 102 | 101 | 100 | 106 | 105 | 104 | 103 | 102 | 101 | 100 | ||
| −20 | Media | 3/3 | 3/3 | 3/3 | 3/3 | 3/3 | 1/3 | 0/3 | 3/3 | 3/3 | 3/3 | 3/3 | 2/2 B | 0/3 | 0/3 |
| 4 | 3/3 | 3/3 | 3/3 | 3/3 | 3/3 | 0/3 | 0/3 | 3/3 | 3/3 | 3/3 | 3/3 | 3/3 | 1/3 | 0/3 | |
| 22 | 3/3 | 3/3 | 3/3 | 3/3 | 1/3 | 0/3 | 0/3 | 3/3 | 3/3 | 3/3 | 3/3 | 1/3 | 0/3 | 0/3 | |
| 37 | 3/3 | 3/3 | 3/3 | 3/3 | 0/3 | 0/3 | 0/3 | 3/3 | 3/3 | 3/3 | 0/3 | 0/3 | 0/3 | 0/3 | |
| −20 | Feed | 3/3 | 3/3 | 3/3 | 2/3 | 0/3 | 0/3 | 0/3 | 3/3 | 3/3 | 3/3 | 1/3 | 0/3 | 0/3 | 0/3 |
| 4 | 3/3 | 3/3 | 3/3 | 1/3 | 0/3 | 0/3 | 0/3 | 3/3 | 3/3 | 3/3 | 1/3 | 0/3 | 0/3 | 0/3 | |
| 22 | 3/3 | 3/3 | 3/3 | 0/3 | 0/3 | 0/3 | 0/3 | 3/3 | 3/3 | 3/3 | 0/3 | 0/3 | 0/3 | 0/3 | |
| 37 | 3/3 | 3/3 | 0/3 | 0/3 | 0/3 | 0/3 | 0/3 | 3/3 | 3/3 | 0/3 | 0/3 | 0/3 | 0/3 | 0/3 | |
| Matrix | AIV Titer (EID50/h or EID50/g) Expected in Each Virus-Spiked Sample | ||||||
|---|---|---|---|---|---|---|---|
| 106 | 105 | 104 | 103 | 102 | 101 | 100 | |
| Media | 1.0 × 106 * | 9.4 × 104 | 8.6 × 103 | 1.1 × 103 | 1.9 × 102 | 3.6 × 101 | Neg |
| Feed | 7.9 × 103 | 7.8 × 102 | 1.3 × 102 | 2.6 × 101 | Neg | Neg | Neg |
| Temperature (°C) | Matrix | 0 h | 72 h | ||||||
|---|---|---|---|---|---|---|---|---|---|
| 106 | 105 | 104 | 103 | 106 | 105 | 104 | 103 | ||
| −20 | Media | Pos (3/3) | Pos (3/3) | Pos (3/3) | Pos (3/3) | Pos (3/3) | Pos (3/3) | Pos (3/3) | Pos (3/3) |
| 22 | Pos (3/3) | Pos (3/3) | Pos (1/3) | Neg (0/3) | |||||
| −20 | Feed | Neg (0/3) | Neg (0/3) | Neg (0/3) | Neg (0/3) | Neg (0/3) | Neg (0/3) | Neg (0/3) | Neg (0/3) |
| 22 | Neg (0/3) | Neg (0/3) | Neg (0/3) | Neg (0/3) | |||||
Publisher’s Note: MDPI stays neutral with regard to jurisdictional claims in published maps and institutional affiliations. |
© 2022 by the authors. Licensee MDPI, Basel, Switzerland. This article is an open access article distributed under the terms and conditions of the Creative Commons Attribution (CC BY) license (https://creativecommons.org/licenses/by/4.0/).
Share and Cite
Azeem, S.; Sato, Y.; Guo, B.; Wolc, A.; Kim, H.; Hoang, H.; Bhandari, M.; Mayo, K.; Yuan, J.; Yoon, J.; et al. Evaluation of Feedstuffs as a Potential Carrier of Avian Influenza Virus between Feed Mills and Poultry Farms. Pathogens 2022, 11, 755. https://doi.org/10.3390/pathogens11070755
Azeem S, Sato Y, Guo B, Wolc A, Kim H, Hoang H, Bhandari M, Mayo K, Yuan J, Yoon J, et al. Evaluation of Feedstuffs as a Potential Carrier of Avian Influenza Virus between Feed Mills and Poultry Farms. Pathogens. 2022; 11(7):755. https://doi.org/10.3390/pathogens11070755
Chicago/Turabian StyleAzeem, Shahan, Yuko Sato, Baoqing Guo, Anna Wolc, Hanjun Kim, Hai Hoang, Mahesh Bhandari, Kathleen Mayo, Jian Yuan, Jihun Yoon, and et al. 2022. "Evaluation of Feedstuffs as a Potential Carrier of Avian Influenza Virus between Feed Mills and Poultry Farms" Pathogens 11, no. 7: 755. https://doi.org/10.3390/pathogens11070755
APA StyleAzeem, S., Sato, Y., Guo, B., Wolc, A., Kim, H., Hoang, H., Bhandari, M., Mayo, K., Yuan, J., Yoon, J., Gauger, P. C., & Yoon, K.-J. (2022). Evaluation of Feedstuffs as a Potential Carrier of Avian Influenza Virus between Feed Mills and Poultry Farms. Pathogens, 11(7), 755. https://doi.org/10.3390/pathogens11070755

