Sign in to use this feature.

Years

Between: -

Subjects

remove_circle_outline
remove_circle_outline
remove_circle_outline
remove_circle_outline
remove_circle_outline
remove_circle_outline
remove_circle_outline

Journals

Article Types

Countries / Regions

Search Results (37)

Search Parameters:
Keywords = multilayer conductor

Order results
Result details
Results per page
Select all
Export citation of selected articles as:
16 pages, 5615 KB  
Article
Sequential Aging Tests of Cyclic Bending for the Reliability Assessment of Laminated Oxide/Silver/Oxide Flexible Transparent Conductors
by Jung-Yen Chang, Yu-Han Kao, Hung-Shuo Chang and Chiao-Chi Lin
Coatings 2026, 16(4), 439; https://doi.org/10.3390/coatings16040439 - 5 Apr 2026
Viewed by 190
Abstract
Flexible transparent conductors (FTCs) are key materials that determine the scalability and performance of flexible optoelectronic devices. This study explores the reliability of FTCs with laminated multilayer structures, specifically oxide/metal/oxide (OMO) films, through sequential testing composed of accelerated weathering and cyclic bending. Commercially [...] Read more.
Flexible transparent conductors (FTCs) are key materials that determine the scalability and performance of flexible optoelectronic devices. This study explores the reliability of FTCs with laminated multilayer structures, specifically oxide/metal/oxide (OMO) films, through sequential testing composed of accelerated weathering and cyclic bending. Commercially available ZTO/Ag/ZTO-based FTCs were selected as a model system to study, and Weibull analysis was employed to assess their failure behaviors. Results illustrate that weathered aged samples exhibit significantly impaired bending lifespan compared to unaged samples due to substrate embrittlement. Hence, the surface cracking mechanism alters as the weathering time is prolonged. Not only the weathering time, but also the thickness of the conductive metal layer plays an important role in influencing the bending reliability behaviors of the OMO FTCs. A sequential aging test that combines two-step UV weathering and an interim manual bending demonstrates that surface cracks can induce the degradation of both optical and electrical properties. Intricately complex bending modes would accelerate the deterioration. This study highlights the critical and synergistic roles of weathering aging and cyclic bending on the reliability of OMO FTCs, offering insights for future design and durability assessments of flexible optoelectronic devices. Research results also provide fundamental information for establishing application-specific reliability testing protocols for FTCs. Full article
Show Figures

Figure 1

21 pages, 1284 KB  
Article
Noncontact Current Measurement Method for Multicore Cables Considering Nonlinear Effects of Steel Tape Armor
by Lihan Wang, Qishuai Liang, Jiang Ye, Chuan Zhou, Jie Li, Yufeng Wu, Xiaohu Liu and Shisong Li
Energies 2026, 19(7), 1594; https://doi.org/10.3390/en19071594 - 24 Mar 2026
Viewed by 278
Abstract
Steel tape armored multicore cables are critical components in the transmission and distribution of power in medium- and low-voltage networks. It is difficult to measure current in the individual conductors of multicore cables because they are enclosed within multilayer protective structures (e.g., armor). [...] Read more.
Steel tape armored multicore cables are critical components in the transmission and distribution of power in medium- and low-voltage networks. It is difficult to measure current in the individual conductors of multicore cables because they are enclosed within multilayer protective structures (e.g., armor). The magnetic field–current inversion method provides a noncontact alternative for measuring conductor currents, derived from externally measured magnetic fields. However, the nonlinear magnetization effects of the steel tape armor disrupt the linear relationship between the magnetic field and currents, making accurate measurements challenging. To address this issue, we propose a noncontact current measurement method that incorporates the nonlinear effects of the armor layer. This method involves pre-calibrating the coefficient matrices, determining the angle formed between the magnetic sensor array and the multicore cable, and applying nonlinear fitting. This achieves a current measurement accuracy less than 5% and 5° in relative error and phase error, respectively. The proposed method avoids computationally intensive inverse operations, thereby enabling the realization of lightweight, low-cost current measurement terminals for practical field applications. Full article
Show Figures

Figure 1

18 pages, 4358 KB  
Article
Investigation on Bearing Characteristics for Critical Fittings of Transmission Lines Undergoing Coupled Ice–Wind Loads
by Zhiguo Li, Guoliang Ye, Dongjia Liu, Zhiyi Liu, Xiaohui Zhang and Guizao Huang
Infrastructures 2025, 10(12), 328; https://doi.org/10.3390/infrastructures10120328 - 1 Dec 2025
Viewed by 468
Abstract
The safe and stable operation of ultra-high-voltage (UHV) transmission lines is fundamental to ensuring efficient and large-capacity power delivery. Critical fittings, as essential load-bearing components connecting towers, conductors, and insulator strings, are highly susceptible to damage under complex ice–wind conditions, thereby posing significant [...] Read more.
The safe and stable operation of ultra-high-voltage (UHV) transmission lines is fundamental to ensuring efficient and large-capacity power delivery. Critical fittings, as essential load-bearing components connecting towers, conductors, and insulator strings, are highly susceptible to damage under complex ice–wind conditions, thereby posing significant threats to grid security. To address the prevalent issues of jumper spacer breakage and conductor abrasion observed in field maintenance, a systematic finite element analysis model incorporating bundled conductors, jumper structures, and associated fittings was established. This model enabled comprehensive investigation of the effects of non-uniform ice accretion, wind loading, and ice-shedding impacts on the bearing characteristics of critical fittings. Through high-throughput computational simulations, a large-scale dataset capturing the bearing characteristics of jumper spacers was constructed. Based on this dataset, a damage risk assessment model under complex ice–wind conditions was developed using a multi-layer feedforward deep neural network (MLF-DNN). The results indicated that wind loading had a relatively minor influence on jumper spacers, whereas ice accretion and ice-shedding impacts were the dominant factors leading to damage. In particular, non-uniform ice-shedding readily induced unbalanced forces among sub-conductors, significantly increasing stress levels in jumper spacers and resulting in substantial risk. The proposed risk assessment model demonstrated high predictive accuracy and strong generalization capability, providing effective support for rapid evaluation and early warning of damage to fittings in UHV transmission lines under complex ice–wind environments. Full article
(This article belongs to the Special Issue Advanced Technologies for Climate Resilient Infrastructures)
Show Figures

Figure 1

20 pages, 7508 KB  
Article
Design and Assessment of Flexible Capacitive Electrodes for Reusable ECG Monitoring: Effects of Sweat and Adapted Front-End Configuration
by Ivo Iliev, Georgi T. Nikolov, Nikolay Tomchev, Bozhidar I. Stefanov and Boriana Tzaneva
Sensors 2025, 25(18), 5856; https://doi.org/10.3390/s25185856 - 19 Sep 2025
Viewed by 1464
Abstract
This work presents the development and characterization of a flexible capacitive electrode for non-contact ECG acquisition, fabricated using a simple and cost-effective method from readily available materials. The electrode consists of a multilayer structure with a copper conductor laminated by a polyimide (Kapton [...] Read more.
This work presents the development and characterization of a flexible capacitive electrode for non-contact ECG acquisition, fabricated using a simple and cost-effective method from readily available materials. The electrode consists of a multilayer structure with a copper conductor laminated by a polyimide (Kapton®) dielectric layer on a polyurethane support. The impedance and capacitance of the electrode were evaluated under varying textile moisture levels with artificial sweat, as well as after exposure to common disinfectants including ethyl alcohol and iodine tincture. Electrochemical impedance spectroscopy (EIS) and broadband impedance measurements (10−1–105 Hz) confirmed stable capacitive behavior, moderate sensitivity to moisture, and chemical stability of the Kapton–copper interface under conditions simulating repeated use. A custom front-end readout circuit was implemented to demonstrate through-textile ECG signal acquisition. Simulator tests reproduced characteristic waveform patterns, and preliminary volunteer recordings confirmed the feasibility of through-textile acquisition. These results highlight the promise of the electrode as a low-cost platform for future wearable biosignal monitoring technical research. Full article
Show Figures

Figure 1

48 pages, 6397 KB  
Review
Advancements in Electrochromic Technology for Multifunctional Flexible Devices
by Alice Marciel, Joel Borges, Luiz Pereira, Rui F. Silva and Manuel Graça
Materials 2025, 18(13), 2964; https://doi.org/10.3390/ma18132964 - 23 Jun 2025
Cited by 6 | Viewed by 4306
Abstract
The design and investigation of electrochromic devices have advanced significantly, including distinct applications such as self-charged smart windows, aerospace interactive windows, low power flexible and ecofriendly displays, automatic dimming rearview, wearable smart textiles, military and civilian camouflage systems, electrochromic sensors, among others. Although [...] Read more.
The design and investigation of electrochromic devices have advanced significantly, including distinct applications such as self-charged smart windows, aerospace interactive windows, low power flexible and ecofriendly displays, automatic dimming rearview, wearable smart textiles, military and civilian camouflage systems, electrochromic sensors, among others. Although significant progress has been made in related fields, achieving the full potential of electrochromic devices to meet the standards of maturity and practical applications remains a persistent challenge. Electrochromic devices are typically multilayered structures that can be designed as either rigid or flexible systems, depending on the type of substrate employed. Conventional electrochromic devices comprise layered structures that include transparent electrodes, electrochromic materials, ionic conductors, and ion storage materials. On the other hand, multifunctional systems integrate bifunctional materials or distinct functional layers to simultaneously achieve optical modulation and additional capabilities such as energy storage. The development of advanced materials, comprehensive electrochemical kinetic analysis, the optimization and advancement of process techniques and deposition methods, and innovative device designs are active areas of extensive global research. This review focuses on the recent advances in multifunctional electrochromic materials and devices with particular emphasis on the integration of electrochromic technology with other functional technologies. It further identifies current challenges, proposes potential solutions, and outlines future research directions focused on advancing this technology in both niche and scalable applications. Full article
Show Figures

Figure 1

13 pages, 7509 KB  
Article
Study on AC Loss of REBCO Tape Encapsulated with Magnetic Materials
by Wei Chen, Rong Jin, Yang Bai, Fei Chi, Jiaqing Xu, Xinsheng Yang and Yunpeng Zhu
Crystals 2025, 15(5), 407; https://doi.org/10.3390/cryst15050407 - 26 Apr 2025
Cited by 3 | Viewed by 1694
Abstract
REBCO coated conductors have a multi-layer structure, and the outer encapsulation layer is generally made of non-magnetic copper material. This paper proposes a new structure of REBCO tape, which replaces the copper layer with magnetic material to explore its transport loss and magnetization [...] Read more.
REBCO coated conductors have a multi-layer structure, and the outer encapsulation layer is generally made of non-magnetic copper material. This paper proposes a new structure of REBCO tape, which replaces the copper layer with magnetic material to explore its transport loss and magnetization loss. The results indicate that copper-encapsulated REBCO tapes have lower transport losses at low currents, while tapes encapsulated with strong magnetic nickel alloy materials have the highest transport losses. At high transport currents, the transport losses of REBCO tapes encapsulated with different materials are almost equal. At low fields, the magnetization loss of the tape encapsulated with strong magnetic nickel alloy is lower, while the magnetization loss of the tape encapsulated with copper is the highest, due to the magnetic shielding effect of the magnetic material. Under high-field conditions, the difference in magnetization loss between magnetic material-encapsulated tapes and copper-encapsulated tapes decreases. Full article
(This article belongs to the Special Issue Superconductors and Magnetic Materials)
Show Figures

Figure 1

14 pages, 10429 KB  
Article
Studies of Thermal Conductivity of Graphite Foil-Based Composite Materials
by Vladimir A. Shulyak, Nikolai S. Morozov, Roman A. Minushkin, Viktor Yu. Gubin, Dmitriy V. Vakhrushin, Alexandra V. Gracheva, Ildar Kh. Nigmatullin, Sergei N. Chebotarev and Viktor V. Avdeev
Materials 2025, 18(2), 233; https://doi.org/10.3390/ma18020233 - 8 Jan 2025
Cited by 3 | Viewed by 2450
Abstract
We have proposed and developed a method for measuring the thermal conductivity of highly efficient thermal conductors. The measurement method was tested on pure metals with high thermal conductivity coefficients: aluminum (99.999 wt.% Al) and copper (99.990 wt.% Cu). It was demonstrated that [...] Read more.
We have proposed and developed a method for measuring the thermal conductivity of highly efficient thermal conductors. The measurement method was tested on pure metals with high thermal conductivity coefficients: aluminum (99.999 wt.% Al) and copper (99.990 wt.% Cu). It was demonstrated that their thermal conductivities at a temperature of T = 22 ± 1 °C were <λAl> = 243 ± 3 W/m·K and <λCu> = 405 ± 4 W/m·K, which was in good agreement with values reported in the literature. Artificial graphite (ρG1 = 1.8 g/cm3) and natural graphite (ρG2 = 1.7 g/cm3) were used as reference carbon materials; the measured thermal conductivities were <λG1> = 87 ± 1 W/m·K and <λG2> = 145 ± 3 W/m·K, respectively. It is well established that measuring the thermal conductivity coefficient of thin flexible graphite foils is a complex metrological task. We have proposed to manufacture a solid rectangular sample formed by alternating layers of thin graphite foils connected by layers of ultra-thin polyethylene films. Computer modelling showed that, for equal thermal conductivities of solid products made of compacted thermally exfoliated graphite and products made of a composite material consisting of 100 layers of thin graphite foil and 99 layers of polyethylene, the differences in temperature fields did not exceed 1%. The obtained result substantiates our proposed approach to measuring thermal conductivity of flexible graphite foil by creating a multi-layer composite material. The thermal conductivity coefficient of such a composite at room temperature was <λGF> = 184 ± 6 W/m·K, which aligns well with measurements by the laser flash method. Full article
(This article belongs to the Section Carbon Materials)
Show Figures

Figure 1

12 pages, 3591 KB  
Article
Multilayer Graphene Stacked with Silver Nanowire Networks for Transparent Conductor
by Jinsung Kwak
Materials 2025, 18(1), 208; https://doi.org/10.3390/ma18010208 - 6 Jan 2025
Cited by 3 | Viewed by 1687
Abstract
A mechanically robust flexible transparent conductor with high thermal and chemical stability was fabricated from welded silver nanowire networks (w-Ag-NWs) sandwiched between multilayer graphene (MLG) and polyimide (PI) films. By modifying the gas flow dynamics and surface chemistry of the Cu surface during [...] Read more.
A mechanically robust flexible transparent conductor with high thermal and chemical stability was fabricated from welded silver nanowire networks (w-Ag-NWs) sandwiched between multilayer graphene (MLG) and polyimide (PI) films. By modifying the gas flow dynamics and surface chemistry of the Cu surface during graphene growth, a highly crystalline and uniform MLG film was obtained on the Cu foil, which was then directly coated on the Ag-NW networks to serve as a barrier material. It was found that the highly crystalline layers in the MLG film compensate for structural defects, thus forming a perfect barrier film to shield Ag NWs from oxidation and sulfurization. MLG/w-Ag-NW composites were then embedded into the surface of a transparent and colorless PI thin film by spin-coating. This allowed the MLG/w-Ag-NW/PI composite to retain its original structural integrity due to the intrinsic physical and chemical properties of PI, which also served effectively as a binder. In view of its unique sandwich structure and the chemical welding of the Ag NWs, the flexible substrate-cum-electrode had an average sheet resistance of ≈34 Ω/sq and a transmittance of ≈91% in the visible range, and also showed excellent stability against high-temperature annealing and sulfurization. Full article
(This article belongs to the Section Advanced Nanomaterials and Nanotechnology)
Show Figures

Figure 1

21 pages, 3464 KB  
Article
Modeling of a Novel T-Core Sensor with an Air Gap for Applications in Eddy Current Nondestructive Evaluation
by Siquan Zhang
Sensors 2024, 24(24), 7931; https://doi.org/10.3390/s24247931 - 11 Dec 2024
Cited by 3 | Viewed by 1386
Abstract
Multi-layer conductive structures, especially those with features like bolt holes, are vulnerable to hidden corrosion and cracking, posing a serious threat to equipment integrity. Early defect detection is vital for implementing effective maintenance strategies. However, the subtle signals produced by these defects necessitate [...] Read more.
Multi-layer conductive structures, especially those with features like bolt holes, are vulnerable to hidden corrosion and cracking, posing a serious threat to equipment integrity. Early defect detection is vital for implementing effective maintenance strategies. However, the subtle signals produced by these defects necessitate highly sensitive non-destructive testing (NDT) techniques. Analytical modeling plays a critical role in both enhancing defect-detection capabilities and guiding the design of highly sensitive sensors for these complex structures. Compared to the finite element method (FEM), analytical approaches offer advantages, such as faster computation and high accuracy, enabling a comprehensive analysis of how sensor and material parameters influence defect detection outcomes. This paper introduces a novel T-core eddy current sensor featuring a central air gap. Utilizing the vector magnetic potential method and a truncated region eigenfunction expansion (TREE) method, an analytical model was developed to investigate the sensor’s interaction with multi-layer conductive materials containing a hidden hole. The model yielded closed-form expressions for the induced eddy current density and coil impedance. A comparative study, implemented in Matlab, analyzed the eddy current distribution generated by T-core, E-core, I-core, and air core sensors under identical conditions. Furthermore, the study examined how the impedance of the T-core sensor changed at different excitation frequencies between 100 Hz and 10 kHz when positioned over a multi-layer conductor with a hidden air hole. These findings were then compared to those obtained from E-core, I-core, and air-core sensors. The analytical results were validated through finite element simulations and experimental measurements, exhibiting excellent agreement. The study further explored the influence of T-core design parameters, including the air gap radius, dome radius, core column height, and relative permeability of the T-core material, on the inspection sensitivity. Finally, the proposed T-core sensor was used to evaluate crack and hole defects in conductors, demonstrating its superior sensitivity compared to I-core and air core sensors. Although slightly less sensitive than the E-core sensor, the T-core sensor offers advantages, including a more compact design and reduced material requirements, making it well-suited for inspecting intricate and confined surfaces of the target object. This analytical model provides a valuable tool for designing advanced eddy current sensors, particularly for applications like detecting bolt hole defects or measuring the thickness of non-conductive coatings in multi-layer conductor structures. Full article
(This article belongs to the Topic Advances in Non-Destructive Testing Methods, 2nd Edition)
Show Figures

Figure 1

17 pages, 5462 KB  
Article
Ka-Band Wide-Angle Scanning Phased Array with Dual Circular Polarization
by Lei Zhang and Jianyong Yin
Electronics 2024, 13(12), 2238; https://doi.org/10.3390/electronics13122238 - 7 Jun 2024
Cited by 2 | Viewed by 4228
Abstract
A wide-angle scanning phased array with dual circular polarization in the Ka-band is presented in this paper. To improve the scanning capability of the phased array, the microstrip element is modified by loading many metal posts at its center and periphery. In addition, [...] Read more.
A wide-angle scanning phased array with dual circular polarization in the Ka-band is presented in this paper. To improve the scanning capability of the phased array, the microstrip element is modified by loading many metal posts at its center and periphery. In addition, a stripline coupler is designed to achieve dual circularly polarized (CP) radiation, and the inner conductor of the subminiature micro-push-on (SSMP) connectors for feeding the coupler is extended to the top layer of the multilayer element by introducing an open stub, which simplifies the assembly process between the SSMP connector and multilayer printed circuit board (PCB) due to through-hole soldering instead of blind-hole soldering. The proposed element can cover a frequency range from 28 GHz to 30.5 GHz with a relative bandwidth of 8.5% in the Ka-band. An 8 × 8 phased array is constructed based on this proposed element, and a wide-angle scanning range from −65° to +65° is obtained for the dual circular polarization. The proposed array has a gain fluctuation of 5.1 dB and an axial ratio (AR) of less than 3.3 dB during beam-steering. The prototype is fabricated and measured, with a good agreement between the measured and simulated results. The proposed phased array can be applied in a Ka-band millimeter-wave (MMW) communication system. Full article
(This article belongs to the Special Issue Antennas and Microwave/Millimeter-Wave Applications)
Show Figures

Figure 1

13 pages, 4078 KB  
Article
Estimation of Total Real and Reactive Power Losses in Electrical Power Systems via Artificial Neural Network
by Giovana Gonçalves da Silva, Alexandre de Queiroz, Enio Garbelini, Wesley Prado Leão dos Santos, Carlos Roberto Minussi and Alfredo Bonini Neto
Appl. Syst. Innov. 2024, 7(3), 46; https://doi.org/10.3390/asi7030046 - 29 May 2024
Cited by 7 | Viewed by 2922
Abstract
Total real and reactive power losses in electrical power systems are an inevitable phenomenon and occur due to several factors, such as conductor resistance, transformer impedance, line reactance, equipment losses, and phase unbalance. Minimizing them is crucial to the system’s efficiency. In this [...] Read more.
Total real and reactive power losses in electrical power systems are an inevitable phenomenon and occur due to several factors, such as conductor resistance, transformer impedance, line reactance, equipment losses, and phase unbalance. Minimizing them is crucial to the system’s efficiency. In this study, an artificial neural network, specifically a Multi-layer Perceptron, was employed to predict total real and reactive power losses in electrical systems. The network is composed of three layers: an input layer consisting of the variables loading factor, real and reactive power generated on the slack bus, a hidden layer, and an output layer representing the total real and reactive power losses. The training method used was backpropagation, adjusting the weights based on the desired output. The results obtained, using datasets from IEEE systems with 14, 30, and 57 buses, showed satisfactory performance, with a mean squared error of around 10−4 and a coefficient of determination (R2) of 0.998. In validation with 20% of the data that was not part of the training, the network demonstrated effectiveness, with a mean squared error around 10−3. This indicates that the network was able to accurately predict total power losses based on loads, generating estimates close to the desired values. Full article
(This article belongs to the Section Artificial Intelligence)
Show Figures

Figure 1

16 pages, 5259 KB  
Article
Numerical Study on Mechanical Behavior and Electromechanical Properties of Solder-Jointed REBCO-Coated Conductors
by Tianfa Liao, Wenyuan Wang, Zhiming Chen and Mingzhi Guan
Materials 2024, 17(11), 2517; https://doi.org/10.3390/ma17112517 - 23 May 2024
Cited by 7 | Viewed by 2150
Abstract
As the second-generation high-temperature superconducting conductors, rare earth–barium–copper–oxide (REBCO) coated conductor (CC) tapes have good potential as high-field and high-energy superconductors. In superconducting applications, several joints are required for conjugating comparatively short REBCO CC tapes. Soldering lap joints are the simplest and most [...] Read more.
As the second-generation high-temperature superconducting conductors, rare earth–barium–copper–oxide (REBCO) coated conductor (CC) tapes have good potential as high-field and high-energy superconductors. In superconducting applications, several joints are required for conjugating comparatively short REBCO CC tapes. Soldering lap joints are the simplest and most commonly applied REBCO CC joints. In addition to joint resistance, the mechanical behavior and electromechanical properties are also crucial for superconducting applications. In this paper, the electromechanical properties and mechanical behaviors of soldering lap joints at 77 K under a self-field were studied. The mechanical behavior was addressed by using a full three-dimensional multilayer elastic–plastic finite element model (FEM) with REBCO CC tape main layers and solder connecting layers. Then, the electromechanical properties were analyzed by using Gao’s strain-Ic degradation general model on the basis of the FEM results. Both the mechanical behavior and electromechanical properties were verified by experimental results. The effects of soldering lap conditions including lap length, soldering thickness and lap style on the electromechanical properties and mechanical behaviors were discussed. The results indicate that shorter overlap lengths and a thinner solder can reduce the premature degradation of Ic due to stress concentrations nearby the joint edges; moreover, the irreversible critical strain is significantly higher in the back-to-back joint approach compared to the widely used face-to-face joint approach. Full article
Show Figures

Figure 1

16 pages, 7501 KB  
Article
Dual-Band Frequency Selective Surface-Backed Reflectarray for High-Speed Ka-Band Satellites
by Ahmet Hulusi Gülseren, Aytaç Alparslan and Nurhan Türker Tokan
Appl. Sci. 2024, 14(7), 2928; https://doi.org/10.3390/app14072928 - 30 Mar 2024
Cited by 8 | Viewed by 2662
Abstract
A dual-band, dual-polarized frequency selective surface (FSS)-backed multilayer reflectarray antenna is designed for 5G high-speed satellites operating at Ka-band uplink and downlink frequencies (20/30 GHz). A reflectarray antenna system consists of two reflectarrays that are separated from each other by an FSS layer [...] Read more.
A dual-band, dual-polarized frequency selective surface (FSS)-backed multilayer reflectarray antenna is designed for 5G high-speed satellites operating at Ka-band uplink and downlink frequencies (20/30 GHz). A reflectarray antenna system consists of two reflectarrays that are separated from each other by an FSS layer that behaves as a planar bandpass filter at Ka-band satellite uplink frequencies. Each reflectarray antenna is designed with dual-polarized unit cells. In order to achieve a uniform phase distribution across the reflectarray surface, physical dimensions and positions of the unit cells with a fixed periodicity are carefully chosen. The FSS conductor is etched to the bottom layer of the 30 GHz reflectarray substrate to save cost and weight. The reflectarray performance is analyzed by using CST Microwave Studio and array theory. A prototype is fabricated, and the results are experimentally verified. The gain of the reflectarray is measured as 21.13 dBi and 26.94 dBi at 20 and 30 GHz, respectively. A crosspol level of more than 35 dB is observed at both frequencies. The simulated and measured results show that the proposed reflectarray is suitable for high-speed Ka-band satellites. Full article
(This article belongs to the Special Issue Advanced Antenna Array Technologies and Applications)
Show Figures

Figure 1

17 pages, 382 KB  
Article
Two-Dimensional Scattering of Line Source Electromagnetic Waves by a Layered Obstacle
by Christodoulos E. Athanasiadis and Paraskevi Roupa
Mathematics 2023, 11(19), 4119; https://doi.org/10.3390/math11194119 - 29 Sep 2023
Viewed by 1630
Abstract
We consider the scattering problem of line source electromagnetic waves using a multi-layered obstacle with a core, which may be a perfect conductor, a dielectric, or has an impedance surface. We formulate this problem in two dimensions and we prove some useful scattering [...] Read more.
We consider the scattering problem of line source electromagnetic waves using a multi-layered obstacle with a core, which may be a perfect conductor, a dielectric, or has an impedance surface. We formulate this problem in two dimensions and we prove some useful scattering relations. In particular, we state and prove a reciprocity principle and a general scattering theorem for line source waves for any possible positions of the source. These theorems can be used to approximate the far-field pattern in the low-frequency theory. Moreover, an optical theorem is recovered as a corollary of the general scattering theorem. Finally, we obtain a mixed reciprocity relation which can be used in proving the uniqueness results of the inverse scattering problems. Full article
(This article belongs to the Special Issue Wave Scattering and Differential Equations)
Show Figures

Figure 1

22 pages, 2545 KB  
Article
Analysis of Properties of the Multilayer Meander Structures for Wireless Communications
by Diana Belova-Plonienė, Audrius Krukonis, Vytautas Urbanavičius, Antanas Gurskas, Vytautas Abromavičius and Andrius Katkevičius
Electronics 2023, 12(19), 3997; https://doi.org/10.3390/electronics12193997 - 22 Sep 2023
Viewed by 1978
Abstract
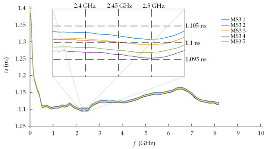
Multilayer meander structures for wireless communications are presented in this paper. The miniaturization of meander structures is solved by positioning the meander conductor in multiple layers. The influence of the increasing number of layers and connecting vias on the operational parameters of the [...] Read more.
Multilayer meander structures for wireless communications are presented in this paper. The miniaturization of meander structures is solved by positioning the meander conductor in multiple layers. The influence of the increasing number of layers and connecting vias on the operational parameters of the meander structures is investigated. Three-dimensional models of the meander structures are designed and analyzed in the CST Microwave Studio© software package. The general mathematical model of the meander structure is presented. The computer-based simulation is verified by a physical experiment and analytical calculations. The investigation shows that it is possible to miniaturize the meander structure by placing it into different layers and connecting the meander conductors with vias. The overall length of the meander structure is decreased by 48% from 16.24 mm to 8.4 mm, while the delay time td is changed only by less than 3.2% and increased till 1.145 ns, which is 35 ps. The overall dimensions of the miniaturized meander structure are 8.4 × 17.35 × 0.76 mm. The designed structure is suitable for operation at a 2.4–2.5 GHz ISM frequency band. Full article
(This article belongs to the Section Microwave and Wireless Communications)
Show Figures

Figure 1

Back to TopTop