Sign in to use this feature.

Years

Between: -

Subjects

remove_circle_outline
remove_circle_outline
remove_circle_outline
remove_circle_outline
remove_circle_outline
remove_circle_outline
remove_circle_outline
remove_circle_outline
remove_circle_outline

Journals

remove_circle_outline
remove_circle_outline
remove_circle_outline
remove_circle_outline
remove_circle_outline
remove_circle_outline
remove_circle_outline
remove_circle_outline
remove_circle_outline
remove_circle_outline
remove_circle_outline
remove_circle_outline
remove_circle_outline
remove_circle_outline
remove_circle_outline

Article Types

Countries / Regions

remove_circle_outline
remove_circle_outline
remove_circle_outline
remove_circle_outline
remove_circle_outline

Search Results (548)

Search Parameters:
Keywords = multicollinearity

Order results
Result details
Results per page
Select all
Export citation of selected articles as:
16 pages, 449 KB  
Article
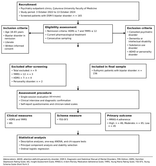
The Relationship Between Early-Stage Maladaptive Schemas and Treatment Adherence in Patients Diagnosed with Bipolar Disorder in Remission
by Mahmut Onur Karaytuğ, Lut Tamam, Mehmet Emin Demirkol, Zeynep Namlı, Caner Yeşiloğlu, Sinem Çetin Demirtaş, Ülker Atılan Fedai and Ali Meriç Kurt
J. Clin. Med. 2026, 15(9), 3351; https://doi.org/10.3390/jcm15093351 - 28 Apr 2026
Abstract
Background/Objectives: Treatment non-adherence in bipolar disorder remains a major clinical challenge. Although demographic and clinical predictors have been widely studied, enduring cognitive vulnerability patterns such as early maladaptive schemas have received limited attention in relation to adherence behavior. Methods: This cross-sectional study included [...] Read more.
Background/Objectives: Treatment non-adherence in bipolar disorder remains a major clinical challenge. Although demographic and clinical predictors have been widely studied, enduring cognitive vulnerability patterns such as early maladaptive schemas have received limited attention in relation to adherence behavior. Methods: This cross-sectional study included a total of 156 euthymic patients with bipolar disorder (HAM-D ≤ 7; YMRS ≤ 12) who were assessed using the Young Schema Questionnaire–Short Form 3, the Morisky Medication Adherence Scale, and a clinician-rated insight measure. Group differences across adherence levels were examined using ANOVA and chi-square tests. Ordinal logistic regression was conducted to identify independent factors associated with poorer adherence. Multicollinearity was evaluated, and proportional odds assumptions were tested. Results: Several schema domains differed significantly across adherence groups, with the Punishment schema demonstrating the largest effect size. In ordinal regression analysis controlling for age and insight, higher Punishment schema scores were independently associated with poorer adherence (OR = 1.14, 95% CI = 1.09–1.20, p < 0.001). Younger age and partial insight were also associated with lower adherence. Conclusions: Early maladaptive schemas—particularly punitive self-evaluative patterns—may represent cognitive correlates of treatment non-adherence in euthymic bipolar disorder. Interventions targeting self-critical schema processes may be relevant for adherence-focused strategies; however, due to the cross-sectional design, the observed relationships reflect associations only and do not allow for causal inferences. Full article
(This article belongs to the Section Mental Health)
Show Figures

Figure 1

31 pages, 3865 KB  
Article
Landslide Susceptibility Assessment in the Upper Minjiang River: A Random Forest Approach Based on Slope Unit
by Chong Geng, Chong Xu, Lei Li, Peng Wang and Huiran Gao
Land 2026, 15(5), 744; https://doi.org/10.3390/land15050744 (registering DOI) - 27 Apr 2026
Abstract
In a high-mountain gorge region, landslide hazards pose a serious threat to the upper Minjiang River, located at the eastern edge of the Tibetan Plateau. To map susceptibility in the upper Minjiang River basin, this study used a Random Forest model in conjunction [...] Read more.
In a high-mountain gorge region, landslide hazards pose a serious threat to the upper Minjiang River, located at the eastern edge of the Tibetan Plateau. To map susceptibility in the upper Minjiang River basin, this study used a Random Forest model in conjunction with slope unit subdivisions. First, a landslide inventory containing 3785 landslides was established using human–machine interactive interpretation techniques. After a multicollinearity analysis, 11 key conditioning factors were selected to construct a spatial database, including elevation, slope, aspect, curvature, topographic wetness index, stream power index, distance to fault, peak ground acceleration, distance to road, vegetation index, and rainfall. The r.slopeunits algorithm was implemented to partition the study area into discrete slope units. The ideal parameter combination for slope units was determined through integrating the normalized slope aspect standard deviation and Moran’s I using an equal-weight scheme. Ultimately, 30,513 slope units were delineated in the upper Minjiang River. The random forest model trained on these ideal slope units was validated using a 70/30 split of landslide and non-landslide samples. In receiver operating characteristic (ROC) curve analysis, the model demonstrated excellent performance, with an area under the curve (AUC) of 0.852. The results indicate that small-scale landslides dominate the inventory in terms of frequency. Despite accounting for only 30% of the study area, the Very High and High susceptibility zones exhibit considerable degree of spatial overlap with current landslide clusters. Furthermore, shapley additive explanations (SHAP) explanatory metrics indicate that the random forest model’s predictive behavior is primarily influenced by terrain elevation, precipitation patterns, and proximity to transportation networks. Full article
(This article belongs to the Section Land Innovations – Data and Machine Learning)
32 pages, 6033 KB  
Article
Hierarchical Classification of Erosion Gullies and Interpretation of Influencing Factors Based on Random Forest and SHAP
by Miao Wang, Fukun Wang, Mingwei Hai, Yong Liu, Chunjiao Wang and Fuhui Xiong
Appl. Sci. 2026, 16(9), 4215; https://doi.org/10.3390/app16094215 - 25 Apr 2026
Viewed by 78
Abstract
This study aimed to enhance the accuracy and interpretability of erosion gully classification within black soil regions by focusing on Changxing Township, Xinxing District, Qitaihe City, Heilongjiang Province as the research site. Utilizing RTK (Real-Time Kinematic) surveying technology, three-dimensional topographic data were collected [...] Read more.
This study aimed to enhance the accuracy and interpretability of erosion gully classification within black soil regions by focusing on Changxing Township, Xinxing District, Qitaihe City, Heilongjiang Province as the research site. Utilizing RTK (Real-Time Kinematic) surveying technology, three-dimensional topographic data were collected for 139 actively developing erosion gullies. Key morphological parameters—including gully length, depth, gradient, average top width, average bottom width, and slope gradients on both sides—were extracted to construct interactive features. The variable set was refined through correlation analysis and variance inflation factor (VIF) diagnostics to mitigate multicollinearity. A random forest model was employed as the primary classification approach and benchmarked against logistic regression, support vector machines (SVM), decision trees, and backpropagation neural networks. To address class imbalance, a combination of class weighting, Synthetic Minority Over-sampling Technique (SMOTE), and undersampling methods was implemented. Model tuning and interpretability assessments were performed using cross-validation, grid search optimization, and SHapley Additive exPlanations (SHAP) analysis. The findings demonstrate that the random forest model achieved superior overall performance, with test set accuracy, macro-averaged F1 score, and balanced accuracy values of 0.9143, 0.8087, and 0.8427, respectively. Among imbalance handling techniques, class weighting yielded better results compared to oversampling and undersampling. Feature importance and SHAP analyses identified gully length, average crest width, and their interaction with gully depth as the principal determinants influencing gully grade classification. These results elucidate the synergistic developmental dynamics of gully longitudinal extension, vertical deepening, and lateral widening. The proposed methodology offers valuable technical support for the rapid surveying, classification, and management decision-making processes related to black soil erosion gullies. Full article
(This article belongs to the Special Issue Recent Research in Frozen Soil Mechanics and Cold Regions Engineering)
18 pages, 362 KB  
Article
Prevalence and Determinants of General and Central Obesity in Central-Southern Bulgaria: Associations with Cardiometabolic Risk and Lifestyle Factors
by Steliyana Valeva, Nazife Bekir, Katya Mollova, Andriana Kozareva, Ivelina Stoyanova and Pavlina Teneva
Healthcare 2026, 14(9), 1126; https://doi.org/10.3390/healthcare14091126 - 22 Apr 2026
Viewed by 241
Abstract
Background: Obesity represents a major public health challenge worldwide and contributes substantially to the burden of type 2 diabetes and hypertension. While body mass index (BMI) is widely used in clinical practice, indices reflecting central adiposity may provide additional prognostic value. This study [...] Read more.
Background: Obesity represents a major public health challenge worldwide and contributes substantially to the burden of type 2 diabetes and hypertension. While body mass index (BMI) is widely used in clinical practice, indices reflecting central adiposity may provide additional prognostic value. This study aimed to assess the prevalence of general and central obesity in an adult population across different age groups from Stara Zagora, Bulgaria, and to examine their associations with cardiometabolic outcomes and lifestyle factors. Methods: A quasi-representative cross-sectional study was conducted among 3512 adults (mean age 53.7 ± 14.9 years). Anthropometric indices, including BMI, waist circumference, waist-to-hip ratio, and waist-to-height ratio were measured. Cardiometabolic outcomes included diabetes, hypertension, and their combined presence. Multicollinearity was assessed using the Variance Inflation Factor (VIF), and the discriminatory ability of indices was evaluated using Receiver Operating Characteristic (ROC) analysis and DeLong’s test. Results: The prevalence of overweight/obesity (BMI ≥25) was 68.4%, while central obesity (WHtR ≥0.5) affected 66.9% of participants. BMI demonstrated the highest discriminatory ability in this dataset for hypertension (AUC = 0.852) and diabetes (AUC = 0.796), significantly outperforming WC and WHR (p < 0.05). However, 24.4% of individuals with normal BMI exhibited high-risk central adiposity. Significant sex-specific differences were observed: short sleep duration (<6 h) was a strong predictor of obesity in women (aOR = 2.98), whereas smoking showed stronger associations in men. Age-stratified analyses revealed that while BMI stabilizes in the oldest age group (75–89 years), WHtR continues to increase, reflecting age-related redistribution of visceral fat. A strong protective effect of physical activity was observed, supported by quasi-complete separation in active subgroups. Conclusions: General and central obesity represent a substantial health burden in this urban population. While BMI remains a robust screening tool, the integration of WHtR enhances the identification of “hidden” cardiometabolic risk particularly in older adults and individuals with normal BMI. Given the quasi-representative nature of the sample, these findings are primarily generalizable to similar urban populations and may inform targeted regional public health strategies. Full article
Show Figures

Figure 1

24 pages, 2996 KB  
Article
A Multi-Scale Temporal Representation-Enhanced Informer for Wastewater Effluent Quality Prediction
by Juan Wu, Yifan Wu, Yongze Liu and Xiaoyu Zhang
Appl. Sci. 2026, 16(9), 4078; https://doi.org/10.3390/app16094078 - 22 Apr 2026
Viewed by 108
Abstract
Accurate prediction of effluent water quality is essential for the intelligent and sustainable operation of wastewater treatment plants (WWTPs). However, this task remains challenging due to the strong nonlinearity, long-term temporal dependencies, and severe fluctuations inherent in influent characteristics. In this study, a [...] Read more.
Accurate prediction of effluent water quality is essential for the intelligent and sustainable operation of wastewater treatment plants (WWTPs). However, this task remains challenging due to the strong nonlinearity, long-term temporal dependencies, and severe fluctuations inherent in influent characteristics. In this study, a novel data-driven framework termed the Multi-Scale Temporal Representation-Enhanced Informer (MTRE-Informer), is proposed to predict key effluent quality indicators, including total nitrogen (TN), total phosphorus (TP), and chemical oxygen demand (COD). To ensure data quality and computational efficiency, a generative recurrent learning framework is first employed for anomaly detection and correction, followed by variance inflation factor (VIF)-based feature selection to mitigate multicollinearity. Furthermore, feature contribution analysis is conducted to improve model interpretability. Subsequently, the core MTRE-Informer architecture utilizes hierarchical multi-scale temporal representation learning to simultaneously capture local patterns and long-term dependencies within the complex dynamics of the wastewater treatment process. Experimental results demonstrate that the MTRE-Informer achieves robust and stable predictive performance across diverse operational datasets. For TN prediction, the proposed framework attains a coefficient of determination () of 0.9637 and a mean absolute percentage error (MAPE) of 3.39%. Compared with baseline approaches, the improvement ranges from 3.8% to 14.2%, validating its superior capability. To further enhance model robustness, an anomaly detection and correction strategy based on a generative recurrent learning framework is employed. In addition, feature contribution analysis and VIF-based feature selection are conducted to improve interpretability, mitigate multicollinearity, and enhance computational efficiency. Overall, this framework provides a reliable and practical solution for real-time effluent quality prediction, facilitating the intelligent management of WWTPs. Full article
27 pages, 4629 KB  
Article
Understanding Spatiotemporal Heterogeneity in Dockless Bike-Sharing: Evidence from 40 Million Trips
by Yu Zhou, Kangliang Guo and Xinchen Gao
Appl. Sci. 2026, 16(8), 4059; https://doi.org/10.3390/app16084059 - 21 Apr 2026
Viewed by 169
Abstract
As a key link between short-distance urban mobility and public transport, dockless bike-sharing (DBS) systems have expanded rapidly in recent years. However, existing studies are limited by insufficient factor coverage, incomplete temporal analysis, and inadequate assessment of spatial-scale effects. To address these gaps, [...] Read more.
As a key link between short-distance urban mobility and public transport, dockless bike-sharing (DBS) systems have expanded rapidly in recent years. However, existing studies are limited by insufficient factor coverage, incomplete temporal analysis, and inadequate assessment of spatial-scale effects. To address these gaps, this study uses Shenzhen as a case study, integrating 40 million DBS trip records from August 2021 with multi-source geospatial data to develop a spatiotemporal analytical framework. First, it examines differences in riding patterns between weekdays and weekends, further segmenting trips into six time periods to capture intra-day temporal variations. Through multicollinearity and spatial autocorrelation tests, a 700-m grid was identified as the optimal analysis unit. Subsequently, a Multi-scale Geographically Weighted Regression (MGWR) model quantified how multiple sources of factors collectively shape DBS usage behavior. Results indicate that higher frequency, faster speeds, and longer distances during peak periods characterize weekday trips. Office POIs and transit accessibility positively affect DBS usage during weekday peaks, whereas Residential POIs and Convenience Service POIs have a greater influence on weekend trips. Population density and land-use mix consistently promote DBS use across all periods. Younger residents (<30 years) were the main users, especially during weekday peak and weekend no-peak periods, whereas gender and education had limited impact. These findings provide empirical evidence to optimize bike-sharing deployment, enhance multimodal transport integration, and support sustainable urban mobility planning. Full article
(This article belongs to the Section Green Sustainable Science and Technology)
Show Figures

Figure 1

29 pages, 9655 KB  
Article
Dynamic Flood Risk Assessment in Shenzhen Integrating Ensemble Voting Algorithms and Machine Learning
by Donghai Yuan, Yizhuo Li, Chenling Yan and Yingying Kou
Sustainability 2026, 18(8), 4008; https://doi.org/10.3390/su18084008 - 17 Apr 2026
Viewed by 243
Abstract
To accurately evaluate flood susceptibility in Shenzhen and support long-term flood control planning, this study develops a GIS-based multi-model machine learning framework. Nine factors—including elevation, slope, and distance to rivers—were selected, with multicollinearity ruled out via Pearson correlation and VIF tests. A balanced [...] Read more.
To accurately evaluate flood susceptibility in Shenzhen and support long-term flood control planning, this study develops a GIS-based multi-model machine learning framework. Nine factors—including elevation, slope, and distance to rivers—were selected, with multicollinearity ruled out via Pearson correlation and VIF tests. A balanced sample set comprising 741 historical waterlogging points (2020–2024) and equal non-waterlogging sites was constructed. In addition to comparing five base models (Decision Tree, SVM, Logistic Regression, Naïve Bayes, LDA), the study introduces a voting ensemble for model integration and applies SHAP for both global and local interpretability. Key findings include: (1) improved predictive accuracy and robustness via ensemble learning (AUC = 0.8131), outperforming individual models; (2) flood susceptibility mapping reveals a distinct spatial pattern—higher risk in western coastal areas and lower risk in eastern mountainous zones—with 68.3% of historical waterlogging points located in high-susceptibility zones. The model is trained on waterlogging records from 2020 to 2024, which may not fully capture longer-term climatic or urban dynamics. This work directly supports sustainable urban development by providing a replicable framework for flood risk mitigation that reduces long-term economic and social vulnerabilities. Full article
Show Figures

Figure 1

34 pages, 5998 KB  
Article
Twenty-Four Years of Land Cover Land Use Change in Gasabo, Rwanda, and Projection for 2032
by Ngoga Iradukunda Fred, Alishir Kurban, Anwar Eziz, Toqeer Ahmed, Egide Hakorimana, Justin Nsanzabaganwa, Isaac Nzayisenga, Schadrack Niyonsenga and Hossein Azadi
Land 2026, 15(4), 655; https://doi.org/10.3390/land15040655 - 16 Apr 2026
Viewed by 272
Abstract
Urbanisation reshapes Land Cover and Land Use (LCLU) by driving deforestation, wetland loss, and the conversion of natural and agricultural areas into built environments. However, integrated analyses of LCLU change in response to climate variability in topographically complex, rapidly urbanising African cities remain [...] Read more.
Urbanisation reshapes Land Cover and Land Use (LCLU) by driving deforestation, wetland loss, and the conversion of natural and agricultural areas into built environments. However, integrated analyses of LCLU change in response to climate variability in topographically complex, rapidly urbanising African cities remain limited. Therefore, this study examined 2000–2024 LCLU changes in hilly Gasabo District (Kigali, Rwanda) using 30 m Landsat imagery and a Random Trees classifier (92.7% accuracy, 70/30 train-test split), with 2032 projections via a population-driven hybrid trend model. Population estimates/projections 320,516 in 2002 to 967,512 in 2024, 1.41 million by 2032, were derived from Rwanda’s census data and exponential growth modelling (calibrated to 5.05% annual growth). Rapid population growth has driven a 539% expansion of Built-up Areas, accompanied by notable declines in cropland and Forest. Local climate trends (Meteo Rwanda stations) aligned with global datasets (ERA5-Land and CHIRPS): rainfall fluctuation and temperature rose, with strong correlations between population-driven Built-up Areas expansion. From 2024 to 2032, LCLU projections indicate that Built-up Areas will continue to expand by 29.5%. Cropland was forecast to decline to 15.9%, while Forest loss slowed to 5.7%. MLR analysis revealed strong correlations between population-driven expansion of Built-up Areas, cropland/forest loss, warming, and rainfall fluctuations in Gasabo. An ARDL model was applied to address multicollinearity among LCLU predictors, which limited the interpretation of individual coefficients, and confirmed the core MLR correlation trends, with statistically significant (p < 0.05) coefficients. The results highlight the need for data-driven spatial planning in Gasabo (stricter zoning, high-rise buildings, targeted reforestation, climate-resilient green infrastructure) to mitigate population and urbanisation-driven environmental degradation. Full article
Show Figures

Figure 1

20 pages, 749 KB  
Article
Explanatory Modeling of Tuberculosis Treatment Outcomes: The Role of Community Engagement and Clinical Governance
by Ntandazo Dlatu and Lindiwe Modest Faye
Int. J. Environ. Res. Public Health 2026, 23(4), 511; https://doi.org/10.3390/ijerph23040511 - 16 Apr 2026
Viewed by 279
Abstract
Background: Treatment adherence and outcomes for drug-resistant tuberculosis (DR-TB) continue to be subpar in rural South Africa, where structural health system limitations, comorbid conditions, and diverse resistance patterns make clinical management more challenging. This study aimed to assess how demographic, clinical, and programmatic [...] Read more.
Background: Treatment adherence and outcomes for drug-resistant tuberculosis (DR-TB) continue to be subpar in rural South Africa, where structural health system limitations, comorbid conditions, and diverse resistance patterns make clinical management more challenging. This study aimed to assess how demographic, clinical, and programmatic factors, including a Community Engagement–Clinical Governance (CE–CG) implementation period, affect DR-TB treatment outcomes using explanatory predictive modeling. Methods: A retrospective cohort study was conducted using routine program data from 694 DR-TB patients. A complete-case analysis was performed for multivariable modeling (n = 282). Logistic regression and decision tree models were used to examine the relationships between treatment success and selected predictors, including age, sex, treatment regimen, resistance phenotype, comorbidities, and the CE–CG implementation period. Model discrimination and performance were evaluated using receiver operating characteristic (ROC) curves, pseudo-R2 statistics, likelihood ratio tests, and multicollinearity diagnostics. Results: The cohort had a mean age of 40.7 years, and 58.8% of patients were male. Overall treatment success was 59.9%. Severe resistance phenotypes were rare (1.7%) but clinically significant. Comparative analysis showed no notable demographic or outcome differences between included and excluded patients, indicating minimal selection bias. In adjusted models, treatment initiation during the CE–CG implementation period was significantly linked to lower odds of treatment success (adjusted odds ratio [aOR] = 0.443; 95% CI: 0.240–0.818; p = 0.009). Severe resistance phenotypes were strongly negatively associated with treatment success (aOR = 0.303; p = 0.056). Logistic regression models had limited discriminatory ability (AUC: 0.523–0.548), while the decision tree model showed modest improvement (AUC: 0.626). Overall, the model’s explanatory power was limited (pseudo-R2 = 0.029), although no evidence of multicollinearity was found. Conclusions: Programmatic implementation periods and resistance severity were important factors associated with treatment outcomes in this rural DR-TB cohort. Although model discrimination was modest and explanatory power was limited, the findings provide useful insights into structural and programmatic vulnerabilities that affect treatment success in real-world settings. Strengthening clinical governance, improving routine program documentation, and incorporating more granular adherence, social, and governance indicators into routine data systems may improve both program evaluation and future predictive modeling. Full article
(This article belongs to the Special Issue Improving Public Health Responses to Infectious Diseases)
Show Figures

Figure 1

35 pages, 442 KB  
Article
From Shock to Recovery: The Impact of Digitalization on Corporate Governance and Urban Economic Resilience in CEE Cities
by Alexandru Buglea, Cecilia Nicoleta Jurcuț, Delia Anca Gabriela Gligor, Irina Daniela Cișmașu, Eduard Mădălin Dinu and Ana Maria Popescu
Sustainability 2026, 18(8), 3910; https://doi.org/10.3390/su18083910 - 15 Apr 2026
Viewed by 251
Abstract
Positioned in the context of the COVID-19 crisis and subsequent recovery, the research investigates how digital infrastructures and skills contribute to strengthening governance quality and urban economic resilience across Central and Eastern European (CEE) countries over the 2019–2024 timeframe. Using a panel data [...] Read more.
Positioned in the context of the COVID-19 crisis and subsequent recovery, the research investigates how digital infrastructures and skills contribute to strengthening governance quality and urban economic resilience across Central and Eastern European (CEE) countries over the 2019–2024 timeframe. Using a panel data framework, the analysis incorporates Harris–Tzavalis unit root tests, multicollinearity diagnostics, and comparative fixed and random effects estimations selected via the Hausman test, with additional robustness checks for serial correlation. The findings indicate that digitalization exerts a positive and statistically significant effect on economic resilience, particularly when supported by effective corporate governance structures. At the same time, disparities in digital access highlight persistent structural vulnerabilities across CEE urban areas. The results emphasize the importance of integrating digital transformation and governance reforms into comprehensive resilience strategies. The study contributes to the emerging literature on post-pandemic urban recovery by offering empirical evidence from a heterogeneous regional context and providing policy-relevant insights for sustainable and inclusive urban development. Full article
(This article belongs to the Special Issue Sustainable Corporate Governance and Urban Economic Resilience)
17 pages, 834 KB  
Article
Improved Data-Driven Shrinkage Estimators for Regression Models Under Severe Multicollinearity
by Ali Rashash R. Alzahrani and Asma Ahmad Alzahrani
Mathematics 2026, 14(8), 1245; https://doi.org/10.3390/math14081245 - 9 Apr 2026
Viewed by 268
Abstract
Multicollinearity is a critical issue in regression analysis, often resulting in inflated variances and unstable parameter estimates. Ridge regression is a widely adopted solution to address this challenge; however, existing ridge estimators are typically tailored to specific scenarios, limiting their universal applicability. Akhtar [...] Read more.
Multicollinearity is a critical issue in regression analysis, often resulting in inflated variances and unstable parameter estimates. Ridge regression is a widely adopted solution to address this challenge; however, existing ridge estimators are typically tailored to specific scenarios, limiting their universal applicability. Akhtar and Alharthi developed ridge estimators based on condition-adjusted ridge estimators (CAREs) to handle severe multicollinearity issues. However, their approach did not account for the error variances in the estimation process. In this study, we propose improvements to these CAREs by incorporating error variances, resulting in the development of multiscale ridge estimators (MSRE1, MSRE2, MSRE3 and MSRE4) that more effectively address the challenges posed by severe multicollinearity. We compare the performance of our newly proposed estimators with ordinary least square (OLS) and other existing ridge estimators using both simulation studies and real-life datasets. The evaluation, based on estimated mean squared error (MSE), demonstrates that the proposed estimators consistently outperform existing methods, particularly in scenarios with significant multicollinearity, larger sample sizes, and higher predictor dimensions. Results from three real-life datasets further validate the proposed estimators’ ability to reduce estimation error and improve predictive accuracy across diverse practical applications. Full article
(This article belongs to the Special Issue Statistical Machine Learning: Models and Its Applications)
Show Figures

Figure 1

20 pages, 3510 KB  
Article
Nondestructive Detection of Eggshell Thickness Using Near-Infrared Spectroscopy Based on GBDT Feature Selection and an Improved CatBoost Algorithm
by Ziqing Li, Ying Ji, Changheng Zhao, Dehe Wang and Rongyan Zhou
Foods 2026, 15(8), 1286; https://doi.org/10.3390/foods15081286 - 8 Apr 2026
Viewed by 261
Abstract
Eggshell thickness is a critical indicator for evaluating egg breakage resistance and hatchability, yet traditional measurement methods remain destructive and inefficient. To address this, this study proposes a robust prediction approach by integrating Gradient Boosting Decision Tree (GBDT) feature optimization with an improved [...] Read more.
Eggshell thickness is a critical indicator for evaluating egg breakage resistance and hatchability, yet traditional measurement methods remain destructive and inefficient. To address this, this study proposes a robust prediction approach by integrating Gradient Boosting Decision Tree (GBDT) feature optimization with an improved CatBoost algorithm. First, a joint strategy of Standard Normal Variate (SNV) and Multiplicative Scatter Correction (MSC) was employed to eliminate spectral scattering noise and enhance organic matrix fingerprint information. Subsequently, GBDT was introduced for nonlinear feature evaluation to adaptively screen the top 50 wavelengths, effectively mitigating the “curse of dimensionality” and multicollinearity in full-spectrum data. A CatBoost regression model was then constructed using an Ordered Boosting mechanism, supported by a dual anti-overfitting strategy that merged 10-fold nested cross-validation with Bootstrap resampling. Experimental results demonstrate that this method significantly outperforms traditional algorithms in both prediction accuracy and generalization. The coefficients of determination (R2) for the calibration and prediction sets reached 0.930 and 0.918, respectively, with a root mean square error of prediction (RMSEP) of 0.008 mm. Residual analysis confirms that prediction errors follow a zero-mean Gaussian distribution, indicating that systematic bias was effectively eliminated. This research provides a reliable theoretical foundation and technical support for the intelligent grading of poultry egg quality. Full article
(This article belongs to the Section Food Analytical Methods)
Show Figures

Figure 1

27 pages, 530 KB  
Article
The Dual Dimensions of Economic Structure and Energy Efficiency: A Study on the Compound Moderation Mechanism of Transportation Carbon Emissions in China
by Chuwei Zhang and Baojian Zhang
Sustainability 2026, 18(8), 3686; https://doi.org/10.3390/su18083686 - 8 Apr 2026
Viewed by 309
Abstract
Reducing carbon emissions from transportation is critical for climate goals, while the mechanisms through which underlying economic dimensions, specifically structural intensity and energy efficiency, interact with transport systems to drive emissions remain unclear. This study investigates the compound moderating effects of road transport [...] Read more.
Reducing carbon emissions from transportation is critical for climate goals, while the mechanisms through which underlying economic dimensions, specifically structural intensity and energy efficiency, interact with transport systems to drive emissions remain unclear. This study investigates the compound moderating effects of road transport share and economic growth on the relationship between two key economic dimensions, including economic structure and energy efficiency, and transportation carbon emissions in China. Based on quarterly national data (2008–2024), this research employs principal component analysis to extract these synergistic economic dimensions from correlated indicators. It uses moderation models, with diagnostic checks for multicollinearity, to test how road transport share and economic growth condition the impact of these dimensions on sectoral emissions. The analysis identifies two key dimensions, both exerting significant negative direct effects on emissions. Road transport share significantly moderates these relationships, with its environmental impact contingent on the underlying economic context. In contrast, economic growth shows no significant direct or moderating effect. The findings demonstrate that transportation decarbonization depends not on isolated economic factors but on how the transport structure filters their influence. This underscores the need for context-sensitive, regionally differentiated infrastructure policies and a sustained focus on improving structural energy efficiency over short-term growth targets. Full article
Show Figures

Figure 1

30 pages, 2606 KB  
Article
Integrating Distance Correlation and Adaptive Weighting with RBF Kernel Transformations: A Novel Feature Selection Framework with Application to ECG Arrhythmia Detection
by Monica Fira and Lucian Fira
Bioengineering 2026, 13(4), 432; https://doi.org/10.3390/bioengineering13040432 - 7 Apr 2026
Viewed by 383
Abstract
Accurate feature selection is critical for machine learning in medical diagnosis, yet conventional methods often fail to capture complex non-linear relationships in biomedical data. This study introduces an advanced feature selection approach that integrates distance correlation with adaptive weighting to enhance cardiac arrhythmia [...] Read more.
Accurate feature selection is critical for machine learning in medical diagnosis, yet conventional methods often fail to capture complex non-linear relationships in biomedical data. This study introduces an advanced feature selection approach that integrates distance correlation with adaptive weighting to enhance cardiac arrhythmia detection. The proposed method ranks features based on distance correlation, applies an inverse penalty weighting scheme to suppress highly correlated features while emphasizing moderately correlated ones, and incorporates RBF kernel transformation followed by LASSO refinement. Fifteen feature selection techniques were evaluated on an electrocardiographic database of 279 morphological and physiological features using 4-fold cross-validation with a neural network classifier. The proposed method outperformed all alternatives, including the best conventional approach, by effectively capturing non-linear dependencies, mitigating multicollinearity and overfitting, and leveraging synergistic kernel-based interaction modeling with sparse selection. These results demonstrate that combining statistical dependence measures, adaptive regularization, and non-linear transformations provides a robust framework for feature selection in cardiac arrhythmia classification and broader medical informatics applications. Full article
(This article belongs to the Special Issue Artificial Intelligence (AI) in Bioengineering)
Show Figures

Figure 1

20 pages, 812 KB  
Article
An Ecological Study on the Mortality Impact of the COVID-19 Pandemic According to Country Development Status and Pandemic Years
by Murat Razi and Manuel Graña
Epidemiologia 2026, 7(2), 50; https://doi.org/10.3390/epidemiologia7020050 - 6 Apr 2026
Viewed by 343
Abstract
The COVID-19 pandemic caused stark global mortality disparities, influenced by a complex interplay of demographic, economic, and health factors. This ecological study investigates associations between country macroscopic variables and COVID-19 accumulated mortality ratio (AMR) across 174 countries and may serve as a preparation [...] Read more.
The COVID-19 pandemic caused stark global mortality disparities, influenced by a complex interplay of demographic, economic, and health factors. This ecological study investigates associations between country macroscopic variables and COVID-19 accumulated mortality ratio (AMR) across 174 countries and may serve as a preparation for new pandemics. Methods: The study applies bidirectional stepwise multiple linear regression. To ensure statistical validity, we conducted diagnostic tests for multicollinearity and heteroscedasticity, applying robust M-estimation where necessary to minimize root mean squared error. The analysis covered six distinct stratifications based on development status (developed, developing, least developed, and combinations), and incorporated temporal analyses across three specific annual periods: 21 January 2020–20 January 2021; 21 January 2021–20 January 2022; and 21 January 2022–10 January 2023. Data: AMR per country values, accumulated between 21 January 2020 and 10 January 2023, and data on the prevalence of health conditions, and socioeconomic descriptive variables were extracted from Our World in Data (OWID) and other public data sites, like the World Bank. Results: The percentage of population aged over 65 years has the most consistent association with increased AMR globally. Obesity prevalence and income inequality (Gini index) were positively associated with AMR regardless of country development status. Conversely, the study finds a consistent negative correlation with diabetes prevalence, while the prevalence of respiratory diseases is a significant association only for developed nations. Socioeconomic factors were significantly associated with AMR, but this influence is stronger in developed countries than in the developing and least developed countries. Conclusions: While population aging is the primary association with increased AMR, the mortality impact of comorbidities and socioeconomic factors is heavily conditioned by a country’s development stage, pointing to the necessity of development-status-aware public health strategies for incoming pandemics. Full article
Show Figures

Figure 1

Back to TopTop