Sign in to use this feature.

Years

Between: -

Subjects

remove_circle_outline
remove_circle_outline
remove_circle_outline
remove_circle_outline
remove_circle_outline
remove_circle_outline
remove_circle_outline
remove_circle_outline
remove_circle_outline

Journals

remove_circle_outline
remove_circle_outline
remove_circle_outline
remove_circle_outline
remove_circle_outline
remove_circle_outline
remove_circle_outline
remove_circle_outline
remove_circle_outline
remove_circle_outline
remove_circle_outline
remove_circle_outline
remove_circle_outline
remove_circle_outline
remove_circle_outline
remove_circle_outline

Article Types

Countries / Regions

remove_circle_outline
remove_circle_outline
remove_circle_outline
remove_circle_outline

Search Results (1,425)

Search Parameters:
Keywords = multi-scattering

Order results
Result details
Results per page
Select all
Export citation of selected articles as:
21 pages, 7035 KB  
Article
Feature Complementarity-Guided Multi-Weight Multi-Scale Fusion Framework for Underwater Image Enhancement
by Gaopeixuan Sang, Tianyu Cheng and Liang Hua
Appl. Sci. 2026, 16(5), 2451; https://doi.org/10.3390/app16052451 - 3 Mar 2026
Abstract
The selective wavelength absorption and scattering effects caused by complex underwater optical environments lead to a significant contradiction between color restoration and structural preservation in image enhancement. To break through this bottleneck, this paper proposes a multi-weight-guided hierarchical feature fusion framework, which transforms [...] Read more.
The selective wavelength absorption and scattering effects caused by complex underwater optical environments lead to a significant contradiction between color restoration and structural preservation in image enhancement. To break through this bottleneck, this paper proposes a multi-weight-guided hierarchical feature fusion framework, which transforms underwater image enhancement into a problem of optimal integration of multi-dimensional feature streams. Addressing underwater image degradation, the method constructs three complementary feature branches targeting visibility restoration, contrast enhancement, and texture compensation. Guided by multiple weights derived from Laplacian contrast, saliency, and saturation, a Laplacian and Gaussian pyramid-based multi-scale fusion strategy is designed, achieving the simultaneous preservation of global structure and enhancement of local high-frequency details. Experimental results on the SQUID real-world underwater open dataset demonstrate that, compared with eleven advanced algorithms, the proposed method exhibits high equilibrium and superiority in key metrics such as AG, IE, ENL, and UCIQE. Furthermore, its visual stability and robustness in complex and variable water environments are validated through the rank-sum composite evaluation method (RSCEM) and a refined scoring strategy. Full article
Show Figures

Figure 1

26 pages, 2284 KB  
Review
Key Methodologies in Characterizing the Multi-Scale Structures of Gluten Proteins in Dough: A Comparative Review
by Feifei Su, Yiyuan Zou, Zehua Zhang, Zhiling Tang, Haoran Luo, Fayin Ye and Guohua Zhao
Biomolecules 2026, 16(3), 382; https://doi.org/10.3390/biom16030382 - 3 Mar 2026
Abstract
Gluten proteins are key components in wheat flour that determine the formation of dough and the quality of flour-based products. Upon hydration and mixing, gluten proteins undergo complex structural transformations to form a gluten network, exhibiting a hierarchical multi-scale structure spanning molecular, aggregate, [...] Read more.
Gluten proteins are key components in wheat flour that determine the formation of dough and the quality of flour-based products. Upon hydration and mixing, gluten proteins undergo complex structural transformations to form a gluten network, exhibiting a hierarchical multi-scale structure spanning molecular, aggregate, and network scales. Due to the extreme complexity of gluten proteins, accurately characterizing their multi-scale structures remains challenging, requiring the combined application of multiple techniques, which are still relatively limited and thus warrant further exploration. Therefore, this review presents the principles, operational details, and result presentations of current techniques at different structural scales, including electrophoresis, high-performance liquid chromatography, proteomics, Fourier transform infrared spectroscopy, and Fourier transform Raman spectroscopy at the molecular scale; size-exclusion chromatography, asymmetrical flow field-flow fractionation, dynamic light scattering, multi-angle light scattering, differential refractive index, and ultraviolet absorbance at the aggregate scale; and confocal laser scanning microscopy, scanning electron microscopy, confocal Raman microscopy, and two-photon excitation microscopy at the network scale, among others. It further compares the advantages and disadvantages of similar techniques, facilitating their scenario-based selective utilization. Finally, it outlines the ongoing challenges and future perspectives for the development and application of techniques for the multi-scale structural characterization of gluten proteins. Full article
(This article belongs to the Section Biomacromolecules: Proteins, Nucleic Acids and Carbohydrates)
Show Figures

Figure 1

16 pages, 8115 KB  
Article
Fusing Deep Learning and Gradient Boosting for Robust Minute-Level Atmospheric Visibility Nowcasting
by Yuguo Ni, Chenbo Xie, Zichen Zhang and Jianfeng Chen
Geosciences 2026, 16(3), 104; https://doi.org/10.3390/geosciences16030104 - 3 Mar 2026
Abstract
Atmospheric visibility nowcasting is vital for safety-critical operations but remains challenging due to complex atmospheric dynamics. We propose a compact stacking ensemble merging a multilayer perceptron (MLP) and gradient-boosted regression trees (GBRT). The model, trained on seven months of minute-scale resolution data with [...] Read more.
Atmospheric visibility nowcasting is vital for safety-critical operations but remains challenging due to complex atmospheric dynamics. We propose a compact stacking ensemble merging a multilayer perceptron (MLP) and gradient-boosted regression trees (GBRT). The model, trained on seven months of minute-scale resolution data with a variability-adaptive filter to suppress sensor noise, employs cross-validation. Results demonstrate that the ensemble achieves its peak performance in the operationally critical low-visibility regime (V < 5 km). This range is particularly significant as it encompasses the Category I and II (CAT I/II) operational thresholds defined by the World Meteorological Organization (WMO) for aviation and surface transportation safety. In this regime, the ensemble yields an R2 of 0.82 and an MAE≈385 m, significantly outperforming single learners during rapid weather transitions. Conversely, in the high-visibility regime (V > 20 km), the explanatory power decreases (R2 of 0.46) due to inherent forward-scattering sensor uncertainties and low aerosol concentrations. Despite these range-specific physical limitations, the model maintains high robustness with narrowly centered residuals. This efficient approach, utilizing cost-effective in situ sensors, is highly suitable for airport and road-weather applications and offers strong potential for multi-site scalability. Full article
(This article belongs to the Section Climate and Environment)
Show Figures

Figure 1

28 pages, 7123 KB  
Article
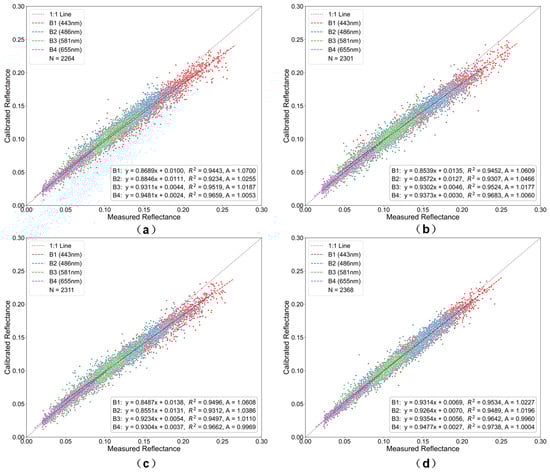
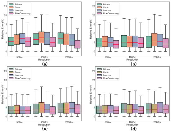
Multiscale Radiometric Stability Analysis of Water Bodies in Multispectral Remote Sensing Imagery
by Yanze Yang, Xiankun Ge, Jingjing Chen, Mengjie Xu and Lei Yang
Sensors 2026, 26(5), 1564; https://doi.org/10.3390/s26051564 - 2 Mar 2026
Abstract
In remote sensing, multi-sensor data fusion enhances environmental monitoring by integrating complementary observations. A critical step in this integration is spatial resampling to a common scale. Although often regarded as a routine preprocessing operation, resampling can become a significant source of radiometric uncertainty, [...] Read more.
In remote sensing, multi-sensor data fusion enhances environmental monitoring by integrating complementary observations. A critical step in this integration is spatial resampling to a common scale. Although often regarded as a routine preprocessing operation, resampling can become a significant source of radiometric uncertainty, systematically altering scene radiance during scale transformation, especially in heterogeneous aquatic environments. In this study, we evaluate resampling-induced radiometric uncertainty and assess the physical advantages of flux-conserving resampling in multi-scale aquatic remote sensing. Using the radiometrically stable Landsat 8 OLI sensor as a reference platform, this study develops a radiometric stability–based framework to evaluate multi-scale resampling methods. Radiometric consistency in the visible bands was first evaluated using a Rayleigh scattering calibration, allowing a systematic comparison of four resampling methods across multiple spatial scales. Normalized water-leaving radiance was then retrieved using the Satellite Signal in the Solar Spectrum (6S) radiative transfer model and validated against in situ AERONET-OC measurements. Our results indicate that radiometric consistency decreases with increasing scale, while flux-conserving resampling maintains higher stability and preserves the spatiotemporal characteristics of water radiance. These findings highlight the importance of flux-conserving resampling for multi-scale radiometric fidelity and establish the proposed framework as a reference for reliable multi-source data fusion and quantitative inversion in aquatic remote sensing and beyond. Full article
(This article belongs to the Special Issue Remote Sensing in Atmospheric Measurements)
Show Figures

Figure 1

19 pages, 1732 KB  
Article
A Novel Polysaccharide (ZJP-2) from Wild Jujube Alleviates Oxidative Damage in Neural Stem Cells: Structural Features and Bioactivity
by Shilan Li, Qiting Zhang, Jixian Liu, Xuchen Zhou, Ning Wang, Huabiao Chen, Nuermaimaiti Abudukelimu, Munisa Dilixiati, Xing Zhang and Xinmin Liu
Nutrients 2026, 18(5), 816; https://doi.org/10.3390/nu18050816 (registering DOI) - 2 Mar 2026
Abstract
Background: Traditionally, wild jujube (Ziziphus jujuba Mill. var. spinosa (Bunge) Hu ex H. F. Chou) has been used to nourish the heart, calm the spirit, and arrest spontaneous sweating. Modern research confirms its broad pharmacological activities, including antioxidant, anti-inflammatory, neuroprotective, and cognitive-enhancing [...] Read more.
Background: Traditionally, wild jujube (Ziziphus jujuba Mill. var. spinosa (Bunge) Hu ex H. F. Chou) has been used to nourish the heart, calm the spirit, and arrest spontaneous sweating. Modern research confirms its broad pharmacological activities, including antioxidant, anti-inflammatory, neuroprotective, and cognitive-enhancing effects. This study aims to isolate and characterize the structure of jujube polysaccharides and evaluate their protective effects against oxidative stress damage in neural stem cells (NSCs). Methods: We successfully isolated and purified a novel pectin polysaccharide (ZJP-2) from wild jujube. Its structure was characterized in detail using high-performance liquid chromatography coupled with multi-angle laser light scattering and refractive index detection (HPLC-MALS-RI), high-performance anion exchange chromatography (HPAEC), gas chromatography–mass spectrometry (GC-MS), and nuclear magnetic resonance (NMR) spectroscopy. Results: Structural analysis revealed that ZJP-2 is a pectin heteropolysaccharide with a molecular weight of approximately 67.93 kDa. Its monosaccharide composition primarily includes galac-turonic acid (GalA), arabinose (Ara), rhamnose (Rha), galactose (Gal), and glucose (Glc). The backbone consists of α-GalA and rhamnose-galacturonic acid-I (RG-I) domains linked by (1→4)-glycosidic bonds. NMR spectroscopy further confirmed its glycosidic bond types. In activity assessment, our study demonstrated that ZJP-2 significantly alleviated DMNQ-induced oxidative stress damage in C17.2 neural stem cells. Its protective effect was achieved by reducing intracellular reactive oxygen species (ROS) levels and upregulating the mRNA expression of antioxidant genes associated with the signaling axis (p < 0.05). Moreover, ZJP-2 suppressed DMNQ-induced overexpression of Nestin and NeuN (p < 0.05), contributing to the maintenance of NSCs’ undifferentiated state and functional homeostasis. Conclusions: In conclusion, ZJP-2 possesses distinct structural characteristics and significant neuroprotective potential, supporting its development as a natural functional food or dietary supplement for preventing oxidative stress-related neural damage. Full article
Show Figures

Figure 1

20 pages, 1882 KB  
Article
Quantum-Enhanced Imaging Model Based on Squeezed States
by Chunrong Peng, Yanxiang Xie and Kui Liu
Photonics 2026, 13(3), 244; https://doi.org/10.3390/photonics13030244 - 2 Mar 2026
Abstract
Aided by quantum sources, quantum metrology helps enhance measurement precision. Here, we construct a theoretical model for quantum imaging based on squeezed states and present the corresponding numerical results. Through discretization and quantum Fisher information theory, we investigate the two-point resolution and spatial [...] Read more.
Aided by quantum sources, quantum metrology helps enhance measurement precision. Here, we construct a theoretical model for quantum imaging based on squeezed states and present the corresponding numerical results. Through discretization and quantum Fisher information theory, we investigate the two-point resolution and spatial multi-parameter estimation of optical fields with unknown spatial distributions. We calculate and compare imaging results based on squeezed vacuum states, coherent states, and squeezed coherent states; our results show that squeezed coherent states yield greater quantum Fisher information, which can effectively improve imaging quality. In addition, we analyze the influence of imaging basis functions, degree of squeezing, quantum correlations, and other factors on imaging performance. The proposed quantum imaging model and computational method can be extended to more complex scenarios, such as multi-mode squeezed-state imaging schemes and incoherent imaging systems. In the future, this approach is expected to find applications in practical imaging systems, including Raman microscopy and stimulated Brillouin scattering imaging. Full article
(This article belongs to the Special Issue Advanced Research in Quantum Optics)
Show Figures

Figure 1

25 pages, 3940 KB  
Article
GDEIM-SF: A Lightweight UAV Detection Framework Coupling Dehazing and Low-Light Enhancement
by Jihong Zheng and Leqi Li
Sensors 2026, 26(5), 1557; https://doi.org/10.3390/s26051557 - 2 Mar 2026
Abstract
In complex traffic environments, image degradation caused by haze, low illumination, and occlusion significantly undermines the reliability of vehicle and pedestrian detection. To address these challenges, this paper proposes an aerial vision framework that tightly couples multi-level image enhancement with a lightweight detection [...] Read more.
In complex traffic environments, image degradation caused by haze, low illumination, and occlusion significantly undermines the reliability of vehicle and pedestrian detection. To address these challenges, this paper proposes an aerial vision framework that tightly couples multi-level image enhancement with a lightweight detection architecture. At the image preprocessing stage, a cascaded “dehazing + enhancement” module is constructed, where a learning-based dehazing method is employed to restore long-range details affected by scattering artifacts. Additionally, structural fidelity is enhanced in low-light regions, while global brightness consistency is achieved. On the detection side, a lightweight yet robust detection architecture, termed GDEIM-SF, is designed. It adopts GoldYOLO as the lightweight backbone and integrates D-FINE as an anchor-free decoder. Moreover, two key modules, CAPR and ASF, are incorporated to enhance high-frequency edge modeling and multi-scale semantic alignment. Through evaluation on the VisDrone dataset, the proposed method achieves improvements of approximately 2.5 to 2.7 percentage points in core metrics such as mAP@50-90 compared to similar lightweight models, while maintaining a low parameter count and computational overhead. This ensures a balanced trade-off among detection accuracy, inference efficiency, and deployment adaptability, providing a practical and efficient solution for UAV-based visual perception tasks under challenging imaging conditions. Full article
(This article belongs to the Section Sensing and Imaging)
Show Figures

Figure 1

27 pages, 4161 KB  
Article
OptiNeRF: A Spatially Optimized Neural Rendering Framework for Complex Scene Reconstruction
by Xinyuan Gu, Yanbo Chang, Junyue Xia, Yue Yu, Zhen Tian and Junming Chen
Mathematics 2026, 14(5), 842; https://doi.org/10.3390/math14050842 (registering DOI) - 1 Mar 2026
Viewed by 38
Abstract
Neural rendering techniques aim to generate photorealistic images and accurate 3D geometries from multi-view images but often struggle with efficiency and geometric consistency in complex or dynamic scenes. Optimized Neural Radiance Fields (OptiNeRF) addresses these challenges through several innovations. It uses spatially optimized [...] Read more.
Neural rendering techniques aim to generate photorealistic images and accurate 3D geometries from multi-view images but often struggle with efficiency and geometric consistency in complex or dynamic scenes. Optimized Neural Radiance Fields (OptiNeRF) addresses these challenges through several innovations. It uses spatially optimized sampling to focus on points near object surfaces, reducing computation while improving precision. Leveraging the pre-trained Marigold model, it generates depth and normal maps as geometric priors. Sampled points are processed through a hybrid network combining an MLP and a multi-resolution feature grid (MRF), capturing fine details and large-scale structures. To handle varying illumination and complex materials, OptiNeRF introduces adaptive volume rendering (AVR), dynamically adjusting light transparency and scattering. A progressive sampling strategy further focuses computation on regions with high geometric complexity. The loss function incorporates RGB, normal, depth, boundary, and lighting optimization losses, with adaptive weight modulation for geometric priors, ensuring both visual fidelity and geometric consistency even with inaccurate depth/normal estimates. Experiments on dynamic scenes show strong performance, with a PSNR of 32.10 dB, SSIM of 0.936, Chamfer distance of 1.28×103, training time of 12 h, and rendering speed of 25 FPS, demonstrating high geometric accuracy, realistic rendering, and computational efficiency over conventional methods. Full article
(This article belongs to the Special Issue Intelligent Mathematics and Applications)
20 pages, 4514 KB  
Article
Hybrid Physical–Machine Learning Soil Moisture Modeling at Orchard Scale in Irrigated Citrus Orchards Using Sentinel 1 and 2 and Agroclimatic Data
by Héctor Izquierdo-Sanz and Enrique Moltó
Agronomy 2026, 16(5), 541; https://doi.org/10.3390/agronomy16050541 - 28 Feb 2026
Viewed by 69
Abstract
Accurate orchard-scale soil moisture information is a key requirement for efficient irrigation management in perennial crops such as citrus orchards, particularly in Mediterranean environments characterized by water scarcity and strong spatial and temporal variability in soil moisture, canopy structure, and irrigation scheduling. This [...] Read more.
Accurate orchard-scale soil moisture information is a key requirement for efficient irrigation management in perennial crops such as citrus orchards, particularly in Mediterranean environments characterized by water scarcity and strong spatial and temporal variability in soil moisture, canopy structure, and irrigation scheduling. This study proposes a hybrid physical–machine learning methodology for soil moisture estimation that integrates in situ capacitance sensor measurements, Sentinel-1 SAR observations, Sentinel-2 optical imagery, and ERA5-Land agroclimatic variables. Physically based soil moisture estimates were first obtained through the inversion of Sentinel-1 backscatter using integral equation scattering models, a physically based soil dielectric model, and a simplified vegetation attenuation scheme. These physically derived estimates were subsequently incorporated as predictors within supervised machine learning models, together with multi-source remote sensing and meteorological variables. Several algorithms were evaluated, including regularized linear models, support vector regression, random forests, and gradient boosting methods. Model performance was assessed using a strict interannual validation strategy based on independent-year predictions to ensure robust generalization. Within this methodology, tree-based ensemble models achieved the highest and most consistent performance at the orchard scale, with coefficients of determination ranging from 0.55 to 0.76 and root mean square errors typically between 0.7 and 1.1% volumetric soil moisture in the best-performing cases. Benchmarking against a physical-only baseline demonstrated that the hybrid methodology consistently reduced prediction errors and improved temporal robustness under independent-year validation. Overall, the results demonstrate that hybrid physical–machine learning approaches provide a robust and scalable solution for orchard-scale soil moisture monitoring in irrigated citrus orchards using operational data streams, supporting advanced irrigation management and precision agriculture applications in Mediterranean perennial cropping systems. Full article
20 pages, 29566 KB  
Article
Orthogonal-Heading Wavelength-Resolution SAR Image Stack Fusion-Based Foliage-Penetrating Vehicle Detection
by Haonan Zhang and Daoxiang An
Remote Sens. 2026, 18(5), 734; https://doi.org/10.3390/rs18050734 - 28 Feb 2026
Viewed by 54
Abstract
This paper presents an orthogonal-heading wavelength-resolution SAR (WRSAR) target detection framework that fuses multi-heading image stacks for foliage-penetrating (FOPEN) vehicle detection. First, a low-rank–sparse decomposition is applied to very-high-frequency (VHF), ultra-wideband (UWB) WRSAR stacks to suppress vegetation clutter and enhance target contrast. The [...] Read more.
This paper presents an orthogonal-heading wavelength-resolution SAR (WRSAR) target detection framework that fuses multi-heading image stacks for foliage-penetrating (FOPEN) vehicle detection. First, a low-rank–sparse decomposition is applied to very-high-frequency (VHF), ultra-wideband (UWB) WRSAR stacks to suppress vegetation clutter and enhance target contrast. The clutter-suppressed sparse stacks acquired from orthogonal headings are then fused to enrich target scattering characteristics. Finally, a Rayleigh-entropy statistic computed on the fused sparse stack is used to represent discontinuous positional changes. Based on the non-negative nature of WRSAR amplitudes for both clutter and FOPEN targets, we introduce a non-negative constrained tensor robust principal component analysis (NCTRPCA) to improve sparsity in the stack components. Furthermore, since Shannon differential entropy has no tunable parameter, we replace Shannon entropy with RE in this work and derive its closed-form expression for the proposed detector. Experiments on the publicly available multi-heading, multi-temporal CARABAS II dataset show that the proposed orthogonal-heading WRSAR fusion achieves higher FOPEN vehicle detection performance than recent state-of-the-art methods while maintaining moderate computational cost. Full article
(This article belongs to the Section Engineering Remote Sensing)
16 pages, 2613 KB  
Article
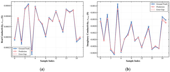
Retrieval of Microscopic Parameters for Terahertz Graphene Metasurfaces via Attention-Based Deep Learning
by Jiqin Huang, Huimin Zhang and Ying Zhao
Electronics 2026, 15(5), 982; https://doi.org/10.3390/electronics15050982 (registering DOI) - 27 Feb 2026
Viewed by 66
Abstract
Terahertz (THz) technology is finding increasingly widespread applications in biosensing, high-speed communication, and stealth materials. Meanwhile, graphene, as a quintessential two-dimensional material, has emerged as a core component of THz devices due to its unique optoelectronic properties. However, the precise and non-destructive characterization [...] Read more.
Terahertz (THz) technology is finding increasingly widespread applications in biosensing, high-speed communication, and stealth materials. Meanwhile, graphene, as a quintessential two-dimensional material, has emerged as a core component of THz devices due to its unique optoelectronic properties. However, the precise and non-destructive characterization of the complex conductivity of graphene at the microscopic scale remains a formidable challenge. Conventional measurement methods often suffer from limitations associated with contact resistance or intricate sample preparation processes. In this paper, we propose a non-invasive parameter inversion method based on deep learning. We design a tri-layer graphene-silica-copper metasurface structure featuring a central cavity and establish a high-fidelity scattering model that incorporates physical effects such as edge diffraction and multi-mode resonance. Utilizing the Radar Cross Section (RCS) data generated by this model, we train a Deep Enhanced Conductivity Predictor (DECP) network integrated with a Convolutional Block Attention Module (CBAM). Experimental results demonstrate that the proposed network can accurately reconstruct the complex conductivity of graphene from far-field RCS data. The coefficients of determination (R2) for the prediction of both real and imaginary parts exceed 0.99, with a Root Mean Square Error (RMSE) as low as the order of 10−5. This study not only validates the effectiveness of data-driven approaches in material characterization but also provides a novel paradigm for the real-time monitoring and intelligent design of terahertz metasurfaces. Full article
Show Figures

Figure 1

19 pages, 4699 KB  
Article
New Insights into the Migration Characteristics of Polymer Systems in Porous Media
by Lijuan Zhang, Shutong Li, Xiqun Tan, Jirui Zou, Renbao Zhao, Yuan Yuan and Xiang’an Yue
Polymers 2026, 18(5), 568; https://doi.org/10.3390/polym18050568 - 26 Feb 2026
Viewed by 156
Abstract
Knowledge of the migration characteristics of polymer systems in pore throats is essential for the effective application of polymers as a profile-control oil-displacement agent for enhanced oil recovery. In this study, the effect of concentration on the viscosity and hydrodynamic radius of polymer [...] Read more.
Knowledge of the migration characteristics of polymer systems in pore throats is essential for the effective application of polymers as a profile-control oil-displacement agent for enhanced oil recovery. In this study, the effect of concentration on the viscosity and hydrodynamic radius of polymer systems was investigated using a rheometer and a dynamic light scattering instrument. Furthermore, pore-throat models, homogeneous cores, and multi-measuring-point sand-packed models were constructed to investigate pore-scale migration patterns and the effect of the throat–polymer ratio (defined as the ratio of throat size to polymer hydrodynamic radius) on the migration properties of polymers in porous media. The results showed that the transport of polymer systems in porous media is primarily related to the throat–polymer ratio. When this ratio is sufficiently small (i.e., no more than 18.94), the migration pattern of the polymer systems in the pore-throat model does not exhibit the characteristics of polymer solution flow, but rather, of discontinuous-dispersion retention, plugging-breakthrough migration, and stable-plugging retention. Upon increasing the injection rate, the polymer systems also exhibit the migration characteristics of discontinuous dispersion at a larger throat–polymer ratio. Moreover, polymer system migration resistance and improved sweep efficiency in porous media are influenced by not only the viscosity of polymer systems, but also the throat–polymer ratio. The smaller the throat–polymer ratio, the stronger the retention and plugging ability of the polymer systems. The outcomes of this study are significant for the design of polymer flooding operations in oilfields. Full article
(This article belongs to the Section Polymer Applications)
Show Figures

Figure 1

30 pages, 19073 KB  
Article
Process Analysis, Characterization and Multi-Response Optimization of Double-Walled WAAM Aluminum Alloy Structures
by Jure Krolo, Aleš Nagode, Ivan Peko and Ivana Dumanić Labetić
Appl. Sci. 2026, 16(5), 2250; https://doi.org/10.3390/app16052250 - 26 Feb 2026
Viewed by 118
Abstract
The main aim of this study was to evaluate the applicability of a low-cost, double-wall gas metal arc welding (GMAW)-based wire arc additive manufacturing (WAAM) process for aluminum alloy AlMg5, with an emphasis on microstructural heterogeneity, layer-dependent defect formation, and their implications for [...] Read more.
The main aim of this study was to evaluate the applicability of a low-cost, double-wall gas metal arc welding (GMAW)-based wire arc additive manufacturing (WAAM) process for aluminum alloy AlMg5, with an emphasis on microstructural heterogeneity, layer-dependent defect formation, and their implications for mechanical performance and geometric characteristics. A Taguchi L9 (33) design of experiments was employed to investigate the influence of welding current (40–60 A), shielding gas flow (10–20 L/min), and arc correction (0–40%) on wall geometry, material utilization, and overall process quality through multi-response optimization. The optimal parameter set (60 A, 15 L/min, 0% arc correction) resulted in a 54.9% improvement in the Grey Relational Grade compared to the lowest-performing configuration. Metallographic analysis revealed heterogeneous grain evolution governed by the multilayer thermal history, with porosity levels ranging from 3.20% to 3.49% and lack-of-fusion defects preferentially concentrated in interlayer and mid-height regions. The fabricated high-wall structure exhibited hardness values between 72 and 85 HV and an average ultimate tensile strength of 175 MPa. The observed mechanical scatter was consistent with localized microstructural heterogeneity and spatial defect distribution. The results demonstrate that geometric evaluation alone is insufficient as a quality metric for WAAM components and must be complemented by metallographic integrity assessment. Overall, the study highlights the importance of direct parameter optimization in double-wall WAAM structures to mitigate defect formation and enhance mechanical reliability under industrially accessible deposition conditions. Full article
Show Figures

Figure 1

27 pages, 3291 KB  
Review
Recent Progress on Carbon-Dots-Based Probes for Microbial Labeling and Versatile Analysis Applications
by Ying Liu, Ping Yu, Jinhua Li, Yang Liu, Ming Ma, Sihua Qian, Yuhui Wang and Yunwei Wei
Biosensors 2026, 16(3), 137; https://doi.org/10.3390/bios16030137 - 26 Feb 2026
Viewed by 128
Abstract
Microbial imbalance and the spread of pathogenic microorganisms pose severe threats to human health and ecological security. Traditional microbial detection methods suffer from several drawbacks such as long detection time, low sensitivity, and insufficient specificity. As an emerging fluorescent probe, carbon dots (CDs) [...] Read more.
Microbial imbalance and the spread of pathogenic microorganisms pose severe threats to human health and ecological security. Traditional microbial detection methods suffer from several drawbacks such as long detection time, low sensitivity, and insufficient specificity. As an emerging fluorescent probe, carbon dots (CDs) offer an innovative direction for microbial labeling and detection due to their ultra-small particle size, unique optical properties, excellent biocompatibility, and facile surface modifiability. Herein, this article reviews the research progress of CDs on microbial labeling and detection. The content covers a brief introduction of CDs and explores the main recognition strategies including non-covalent interactions and biomolecule-mediated targeted binding. It also elaborates on the application status of multi-modal sensing technologies for microbial detection, such as CDs-based fluorescent sensing, electrochemical sensing, and surface-enhanced Raman scattering (SERS) sensing. Additionally, the challenges faced in current research, such as achieving simultaneous detection of multiple pathogens and in vivo dynamic tracking, are analyzed, and the development prospects of CDs in fields like clinical diagnosis and public health monitoring are prospected. This review aims to provide comprehensive references for further research and application of CDs in the field of microbial detection. Full article
(This article belongs to the Special Issue Recent Advances in Nanomaterial-Based Biosensing and Diagnosis)
Show Figures

Figure 1

26 pages, 1625 KB  
Article
A Stacking-Based Ensemble Learning Method for Multispectral Reconstruction of Printed Halftone Images
by Lin Zhu, Jinghuan Ge, Dongwen Tian and Jie Yang
Symmetry 2026, 18(3), 406; https://doi.org/10.3390/sym18030406 - 25 Feb 2026
Viewed by 129
Abstract
Motivation: Accurate spectral reconstruction of printed halftone images is essential for achieving high-fidelity color reproduction and robust color management across modern printing systems. However, traditional physics-based models, such as the Yule–Nielsen and Clapper–Yule formulations, rely on simplified empirical assumptions and often fail to [...] Read more.
Motivation: Accurate spectral reconstruction of printed halftone images is essential for achieving high-fidelity color reproduction and robust color management across modern printing systems. However, traditional physics-based models, such as the Yule–Nielsen and Clapper–Yule formulations, rely on simplified empirical assumptions and often fail to capture the complex nonlinear and asymmetric interactions induced by multi-ink overlays and substrate light scattering. Meanwhile, existing data-driven approaches based on single learning models exhibit limited capability in modeling the complementary and symmetrical characteristics inherent in halftone structures, resulting in suboptimal prediction accuracy and generalization performance. Method: To address these limitations, we propose a Stacking Ensemble Spectral Prediction (SESP) framework. The proposed method adopts a two-layer stacking architecture that integrates heterogeneous base regressors, including Support Vector Regression (SVR), Random Forest (RF), and eXtreme Gradient Boosting (XGBoost 3.0.3), with Ridge Regression employed as the meta-learner for optimal prediction aggregation. This ensemble design enables effective modeling of both halftone pattern symmetry and complex substrate scattering behavior. Results: Extensive experiments conducted on printed halftone image datasets demonstrate the superior performance of the proposed SESP framework. Compared with the best-performing reference method (PCA-IPSO-DNN), SESP achieves relative reductions in RMSE and CIEDE2000 of 12.8% and 6.8% under illuminant A, 9.5% and 6.9% under D50, and 12.2% and 7.2% under D65, respectively. In addition, SESP consistently outperforms traditional physics-based models, including Yule–Nielsen and Clapper–Yule, in terms of both spectral prediction accuracy and colorimetric fidelity. These results confirm the effectiveness of the proposed framework in modeling the intricate nonlinear and asymmetric relationships between CMYK halftone patterns and spectral reflectance. Full article
(This article belongs to the Special Issue Computer Vision, Robotics, and Automation Engineering)
Back to TopTop