Fusing Deep Learning and Gradient Boosting for Robust Minute-Level Atmospheric Visibility Nowcasting
Abstract
1. Introduction
- ➢
- Dataset and alignment: we compile seven months of collocated, 1 min observations at an urban site and apply strict time alignment and basic QC to ensure station-scale consistency.
- ➢
- Robust preprocessing: a lightweight, variability-adaptive filter reduces the leverage of spikes and dropouts while preserving rapid transitions that are critical for operations.
- ➢
- Stacked learning with robust loss: complementary base learners (MLP for smooth nonlinear interactions; GBRT for threshold-like structures) are fused by a linear meta-learner optimized with Huber Loss to balance flexibility and stability.
- ➢
- Operational verification: beyond global scores (R2, MAE, correlation), we evaluate performance by visibility classes, with emphasis on V < 5 km, and analyze residual concentration and tail behavior as indicators of robustness and deployability.
2. Data and Methods
2.1. Data Sources
2.2. Methods
3. Model Construction
3.1. Gradient Boosting Regression Tree (GBRT)
3.1.1. GBRT Introduction
3.1.2. GBRT Structure and Parameter Configuration
| Algorithm 1. GBRT algorithm table |
![]() |
3.2. Multilayer Perceptron (MLP)
3.2.1. MLP Introduction
3.2.2. MLP Structure and Parameter Configuration
| Algorithm 2. MLP algorithm table |
![]() |
3.3. Stacked MLP-GBRT Ensemble Framework
3.3.1. Stacked Strategy Introduction
3.3.2. Loss Function
4. Experimental Results
4.1. Experimental Environment and Data
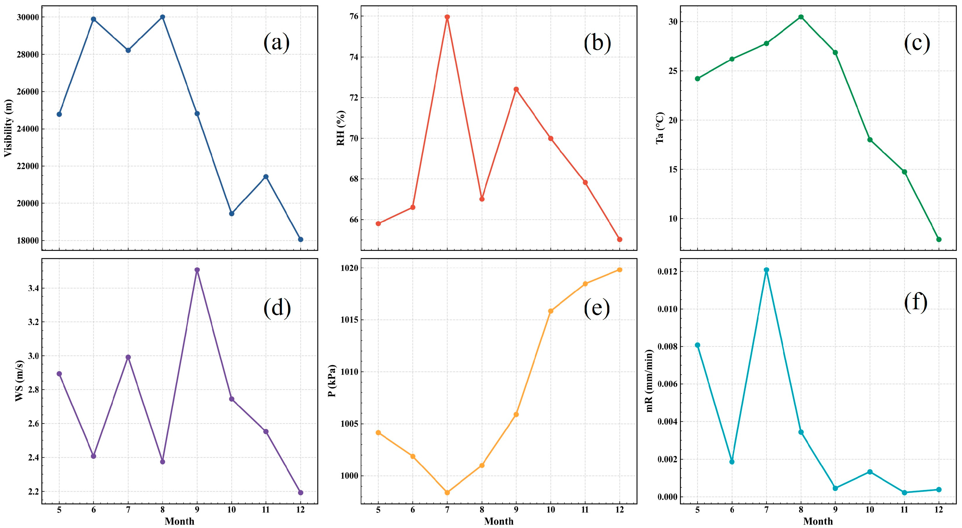
4.1.1. Visibility Changing Trend in Hefei City for 2024
4.1.2. Monthly Average Trends of Meteorological Parameters in Hefei for 2024
4.1.3. Analysis of the Impact of Various Meteorological Parameters on Visibility
- (a)
- Wind speed (WS) exhibits a non-linear relationship with visibility; high-frequency low-visibility events at low WS reflect stagnant conditions favoring aerosol accumulation, while increasing WS facilitates mechanical turbulence and the dispersion of atmospheric pollutants.
- (b)
- Relative humidity (RH) shows a robust negative correlation with visibility (V), characterized by a sharp, non-linear decay as RH approaches saturation (>80%). This is consistent with the hygroscopic growth of aerosols, which significantly enhances light extinction and reduces visibility, as discussed in the frameworks of Gultepe et al. (2009, 2010) [22,23].
- (c)
- Air temperature (Ta) thermal effects indicate that when Ta exceeds 20 °C, the probability of low-visibility occurrences drops substantially, likely due to the increased water-holding capacity of warmer air inhibiting saturation.
- (d)
- Surface pressure (Pa) acts as a secondary indicator, where higher visibility is more frequent under localized low-pressure systems often associated with post-frontal clearing or unstable convective conditions in this dataset.
- (e)
- The 1 min Rain is inversely proportional to V, as falling hydrometeors significantly increase the extinction coefficient through Mie scattering, leading to severe visibility reduction distinct from aerosol-driven pollution events. Months with enhanced precipitation rates tend to coincide with reduced visibility, supporting the physical link between hydrometeor presence and optical extinction. Although the present analysis is based on monthly mean values rather than event-scale statistics, the observed Vis–RH and Vis–mR relationships exhibit trends comparable to those reported by Gultepe et al. in JAM [2], indicating that the dominant physical mechanisms controlling visibility degradation remain consistent across different climatic regions and temporal scales.
- (f)
- Wind direction further illustrates the potential influence of localized moisture or pollutant sources on visibility fluctuations. These observed relationships validate that the input features are physically grounded and essential for robust minute-level nowcasting.
4.2. Model Performance Evaluation
4.2.1. Performance Evaluation of Continuous Visibility Regression
4.2.2. Visibility Stratified Verification
4.2.3. Comparison of Performance Metrics Among Models
5. Discussion and Conclusions
5.1. Discussion
5.2. Conclusions
- ➢
- The framework exhibits robust performance in the operationally critical low-visibility regime (V < 5 km), which encompasses Categories I and II (CAT I/II), achieving an R2 = 0.82 and an MAE of approximately 385 m.
- ➢
- Model skill notably decreases in high-visibility conditions (V > 20 km), where a lower signal-to-noise ratio in forward-scattering sensors increases ground-truth uncertainty.
- ➢
- The compact stacking architecture maintains stable performance across multiple metrics while ensuring computational efficiency for real-time edge deployment.
Supplementary Materials
Author Contributions
Funding
Data Availability Statement
Acknowledgments
Conflicts of Interest
References
- Bartok, J.; Šišan, P.; Ivica, L.; Bartoková, I.; Malkin Ondík, I.; Gaál, L. Machine Learning-Based Fog Nowcasting for Aviation with the Aid of Camera Observations. Atmosphere 2022, 13, 1684. [Google Scholar] [CrossRef]
- Gultepe, I.; Tardif, R.; Michaelides, S.C.; Cermak, J.; Bott, A.; Bendix, J.; Müller, M.D.; Pagowski, M.; Hansen, B.; Ellrod, G.; et al. Fog Research: A Review of Past Achievements and Future Perspectives. Pure Appl. Geophys. 2007, 164, 1121–1159. [Google Scholar] [CrossRef]
- Gultepe, I. A Review on Weather Impact on Aviation Operations: Visibility, Wind, Precipitation, Icing. JAOAM 2023, 2, 1–44. [Google Scholar] [CrossRef]
- Advanced Predictive Modelling of Urban Expansion and Land Surface Temperature Dynamics Using Multi-Scale Machine Learning Approaches. Available online: https://www.sciencedirect.com/science/article/pii/S027311772501227X (accessed on 1 February 2026).
- Liu, J.; Wang, Y.; Chu, B.; Zhang, C.; Huang, W.; Liu, Q.; Li, S.; Liu, Y.; Chen, T.; Li, H.; et al. Machine Learning-Driven Identification of Factors Governing Secondary Organic Aerosol Formation During Autumn in Beijing. Geophys. Res. Lett. 2025, 52, e2025GL119745. [Google Scholar] [CrossRef]
- Yu, Z.; Qu, Y.; Wang, Y.; Ma, J.; Cao, Y. Application of Machine-Learning-Based Fusion Model in Visibility Forecast: A Case Study of Shanghai, China. Remote Sens. 2021, 13, 2096. [Google Scholar] [CrossRef]
- Wang, H.; Shao, Y. Fast truncated Huber loss SVM for large scale classification. Knowl.-Based Syst. 2023, 260, 110074. [Google Scholar] [CrossRef]
- Gultepe, I.; Milbrandt, J.A. Probabilistic Parameterizations of Visibility Using Observations of Rain Precipitation Rate, Relative Humidity, and Visibility. J. Appl. Meteorol. Climatol. 2010, 49, 36–46. [Google Scholar] [CrossRef]
- Wolpert, D.H. Stacked generalization. Neural Netw. 1992, 5, 241–259. [Google Scholar] [CrossRef]
- Huang, L.; Kang, J.; Wan, M.; Fang, L.; Zhang, C.; Zeng, Z. Solar Radiation Prediction Using Different Machine Learning Algorithms and Implications for Extreme Climate Events. Front. Earth Sci. 2021, 9, 596860. [Google Scholar] [CrossRef]
- Li, D.; Cohen, J.B.; Qin, K.; Xue, Y.; Rao, L. Absorbing Aerosol Optical Depth From OMI/TROPOMI Based on the GBRT Algorithm and AERONET Data in Asia. IEEE Trans. Geosci. Remote Sens. 2023, 61, 4100210. [Google Scholar] [CrossRef]
- Hu, G.; Kwok, K.C.S. Predicting wind pressures around circular cylinders using machine learning techniques. J. Wind. Eng. Ind. Aerodyn. 2020, 198, 104099. [Google Scholar] [CrossRef]
- Du, S.; Chen, S.; Cheng, S.; He, J.; Liu, C.; Lian, L.; Zhang, C.; Zhao, D.; Yin, N.; Guan, Y. Data-driven approach for air pollutant concentrations forecasting: A window-based multi-output GBRT approach. Atmos. Res. 2024, 307, 107459. [Google Scholar] [CrossRef]
- Rathbun, T.F.; Rogers, S.K.; DeSimio, M.P.; Oxley, M.E. MLP iterative construction algorithm. Neurocomputing 1997, 17, 195–216. [Google Scholar] [CrossRef]
- Pinkus, A. Approximation theory of the MLP model in neural networks. Acta Numer. 1999, 8, 143–195. [Google Scholar] [CrossRef]
- Rynkiewicz, J. General bound of overfitting for MLP regression models. Neurocomputing 2012, 90, 106–110. [Google Scholar] [CrossRef]
- Evaluation of the Added Value of Probabilistic Nowcasting Ensemble Forecasts on Regional Ensemble Forecasts|Advances in Atmospheric Sciences. Available online: https://link.springer.com/article/10.1007/s00376-022-2056-8?utm_source=xmol&utm_medium=affiliate&utm_content=meta&utm_campaign=DDCN_1_GL01_metadata (accessed on 1 June 2025).
- Probabilistic Weather Forecasting with Machine Learning|Nature. Available online: https://www.nature.com/articles/s41586-024-08252-9?utm_source=xmol&utm_medium=affiliate&utm_content=meta&utm_campaign=DDCN_1_GL01_metadata (accessed on 1 June 2025).
- Bouallègue, Z.B.; Clare, M.C.A.; Magnusson, L.; Gascón, E.; Maier-Gerber, M.; Janoušek, M.; Rodwell, M.; Pinault, F.; Dramsch, J.S.; Lang, S.T.K.; et al. The Rise of Data-Driven Weather Forecasting: A First Statistical Assessment of Machine Learning–Based Weather Forecasts in an Operational-Like Context. Bull. Am. Meteorol. Soc. 2024, 105, E864–E883. [Google Scholar] [CrossRef]
- Huber Loss Based Distributed Robust Learning Algorithm for Random Vector Functional-Link Network, Artificial Intelligence Review—X-MOL. Available online: https://www.x-mol.com/paper/1607436403581087744?adv (accessed on 3 June 2025).
- Gultepe, I.; Zhou, B.; Milbrandt, J.; Bott, A.; Li, Y.; Heymsfield, A.J.; Ferrier, B.; Ware, R.; Pavolonis, M.; Kuhn, T.; et al. A review on ice fog measurements and modeling. Atmos. Res. 2015, 151, 2–19. [Google Scholar] [CrossRef]
- Gultepe, I.; Pearson, G.; Milbrandt, J.A.; Hansen, B.; Platnick, S.; Taylor, P.; Gordon, M.; Oakley, J.P.; Cober, S.G. The Fog Remote Sensing and Modeling Field Project. Bull. Am. Meteorol. Soc. 2009, 90, 341–360. [Google Scholar] [CrossRef]
- Gultepe, I.; Milbrandt, J.; Binbin, Z. Visibility Parameterization For Forecasting Model Applications. In Proceedings of the 5th International Conference on Fog, Fog Collection and Dew, Münster, Germany, 25–30 July 2010. [Google Scholar]
- Gultepe, E.; Wang, S.; Blomquist, B.; Fernando, H.J.S.; Kreidl, O.P.; Delene, D.J.; Gultepe, I. Machine learning analysis and nowcasting of marine fog visibility using FATIMA Grand Banks campaign measurements. Front. Earth Sci. 2024, 11, 1321422. [Google Scholar] [CrossRef]
- Huang, Z.; Zhao, T.; Tian, Y.; Chen, X.; Duan, Q.; Wang, H. Reliability of Ensemble Climatological Forecasts. Water Resour. Res. 2023, 59, e2023WR034942. [Google Scholar] [CrossRef]
- Berry, L.R.; West, M. Bayesian Forecasting of Many Count-Valued Time Series. J. Bus. Econ. Stat. 2019, 38, 872–887. [Google Scholar] [CrossRef]
- Weyn, J.A.; Durran, D.R.; Caruana, R.; Cresswell-Clay, N. Sub-Seasonal Forecasting With a Large Ensemble of Deep-Learning Weather Prediction Models. J. Adv. Model. Earth Syst. 2021, 13, e2021MS002502. [Google Scholar] [CrossRef]
- You, Y.; Lu, C.; Wang, W.; Tang, C.-K. Relative CNN-RNN: Learning Relative Atmospheric Visibility From Images. IEEE Trans. Image Process. 2019, 28, 45–55. [Google Scholar] [CrossRef] [PubMed]









| Instruments | Parameter | Abbreviation | Unit | Description |
|---|---|---|---|---|
| WXT536 | Temperature | Temp | °C | Ten-second average air temperature |
| Wind Speed | WS | m/s | Ten-second average wind speed | |
| Relative Humidity | RH | % | Ten-second average relative humidity | |
| Pressure | P | hPa | Ten-second average barometric pressure | |
| Wind Direction | WD | Degree | Ten-second average wind direction | |
| PWD50 | Visibility | V | m | Minute-average visibility |
| minute Rain | mR | mm/min | Minute-average Rain |
| Visibility Range/km | [0, 1) | [1, 5) | [5, 10) | [10, 20) | [20, 50) |
|---|---|---|---|---|---|
| Averaged P/hPa | 1018.27 | 1012.96 | 1012.05 | 1009.62 | 1007.009 |
| Averaged Ta/°C | 12.07 | 16.13 | 17.88 | 21.22 | 24.65 |
| Averaged WD/° | 287.29 | 213.58 | 192.83 | 162.43 | 157.84 |
| Averaged RH/% | 86.04 | 83.28 | 79.10 | 74.15 | 63.60 |
| Averaged mR/(mm/min) | 0.01 | 0.02 | 0.006 | 0.001 | 0.0002 |
| Averaged WS/(m/s) | 1.49 | 2.30 | 2.39 | 2.73 | 2.84 |
| Visibility Range/km | Class | Level |
|---|---|---|
| <1.0 | Ⅰ | Low Visibility |
| [1.0, 5.0) | Ⅱ | Poor Visibility |
| [5.0, 10.0) | Ⅲ | Moderate Visibility |
| [10.0, 20.0) | Ⅳ | Good Visibility |
| [20.0, 50.0) | Ⅴ | Very Good Visibility |
| >50.0 | Ⅵ | Excellent Visibility |
| Model | Ⅰ/Ⅱ | Ⅲ | Ⅳ | Ⅴ | ||||||||
|---|---|---|---|---|---|---|---|---|---|---|---|---|
| R2 | CC | MAE | R2 | CC | MAE | R2 | CC | MAE | R2 | CC | MAE | |
| Fusion (MLP- GBRT) | 0.86 | 0.93 | 380.5 | 0.82 | 0.91 | 565.8 | 0.61 | 0.78 | 1620.0 | 0.46 | 0.68 | 2866.5 |
| MLP | 0.78 | 0.88 | 393.6 | 0.74 | 0.86 | 585.4 | 0.57 | 0.75 | 2697.8 | 0.46 | 0.67 | 3056.9 |
| GBRT | 0.77 | 0.87 | 407.0 | 0.71 | 0.84 | 603.0 | 0.54 | 0.74 | 2964.4 | 0.41 | 0.63 | 2992.2 |
| RF | 0.68 | 0.82 | 472.3 | 0.43 | 0.65 | 1506.5 | 0.26 | 0.51 | 3688.8 | 0.11 | 0.33 | 5157.4 |
| SVM | 0.43 | 0.66 | 1006.3 | 0.40 | 0.63 | 2249.7 | 0.14 | 0.38 | 4327.6 | 0.18 | 0.42 | 3947.0 |
| PR | 0.38 | 0.61 | 1047.0 | 0.48 | 0.69 | 1384.0 | 0.17 | 0.42 | 4232.8 | 0.13 | 0.37 | 4073.1 |
Disclaimer/Publisher’s Note: The statements, opinions and data contained in all publications are solely those of the individual author(s) and contributor(s) and not of MDPI and/or the editor(s). MDPI and/or the editor(s) disclaim responsibility for any injury to people or property resulting from any ideas, methods, instructions or products referred to in the content. |
© 2026 by the authors. Licensee MDPI, Basel, Switzerland. This article is an open access article distributed under the terms and conditions of the Creative Commons Attribution (CC BY) license.
Share and Cite
Ni, Y.; Xie, C.; Zhang, Z.; Chen, J. Fusing Deep Learning and Gradient Boosting for Robust Minute-Level Atmospheric Visibility Nowcasting. Geosciences 2026, 16, 104. https://doi.org/10.3390/geosciences16030104
Ni Y, Xie C, Zhang Z, Chen J. Fusing Deep Learning and Gradient Boosting for Robust Minute-Level Atmospheric Visibility Nowcasting. Geosciences. 2026; 16(3):104. https://doi.org/10.3390/geosciences16030104
Chicago/Turabian StyleNi, Yuguo, Chenbo Xie, Zichen Zhang, and Jianfeng Chen. 2026. "Fusing Deep Learning and Gradient Boosting for Robust Minute-Level Atmospheric Visibility Nowcasting" Geosciences 16, no. 3: 104. https://doi.org/10.3390/geosciences16030104
APA StyleNi, Y., Xie, C., Zhang, Z., & Chen, J. (2026). Fusing Deep Learning and Gradient Boosting for Robust Minute-Level Atmospheric Visibility Nowcasting. Geosciences, 16(3), 104. https://doi.org/10.3390/geosciences16030104



