Due to scheduled maintenance work on our servers, there may be short service disruptions on this website between 11:00 and 12:00 CEST on March 28th.
Sign in to use this feature.

Years

Between: -

Subjects

remove_circle_outline
remove_circle_outline
remove_circle_outline
remove_circle_outline
remove_circle_outline
remove_circle_outline
remove_circle_outline
remove_circle_outline
remove_circle_outline

Journals

remove_circle_outline
remove_circle_outline
remove_circle_outline
remove_circle_outline
remove_circle_outline
remove_circle_outline
remove_circle_outline

Article Types

Countries / Regions

remove_circle_outline
remove_circle_outline
remove_circle_outline
remove_circle_outline

Search Results (353)

Search Parameters:
Keywords = multi-robot exploration

Order results
Result details
Results per page
Select all
Export citation of selected articles as:
30 pages, 22493 KB  
Article
H-CoRE: A Cooperative Framework for Heterogeneous Multi-Robot Exploration and Inspection
by Simone D’Angelo, Francesca Pagano, Riccardo Caccavale, Vincenzo Scognamiglio, Alessandro De Crescenzo, Pasquale Merone, Stefano Ciaravino, Alberto Finzi and Vincenzo Lippiello
Drones 2026, 10(4), 232; https://doi.org/10.3390/drones10040232 (registering DOI) - 25 Mar 2026
Abstract
This paper presents the H-CoRE (Heterogeneous Cooperative Multi-Robot Execution) framework designed to enable autonomous multi-robot operations in GNSS-denied environments. Built on an ROS 2-based architecture, H-CoRE enables collaborative, structured task execution through standardized software stacks. Each robot’s stack combines a high-level executive system [...] Read more.
This paper presents the H-CoRE (Heterogeneous Cooperative Multi-Robot Execution) framework designed to enable autonomous multi-robot operations in GNSS-denied environments. Built on an ROS 2-based architecture, H-CoRE enables collaborative, structured task execution through standardized software stacks. Each robot’s stack combines a high-level executive system with an agent-specific motion layer and leverages multi-sensor fusion for localization and mapping. The framework is inherently reconfigurable, allowing individual agents to operate autonomously or as part of a multi-robot team for collaborative missions. In the considered scenario, the system integrates aerial and ground vehicles, a fixed pan–tilt–zoom camera, and a human supervisory interface within a unified, modular infrastructure. The proposed system has been deployed in indoor, GNSS-denied environments, demonstrating autonomous navigation, cooperative area coverage, and real-time information sharing across multiple agents. Experimental results confirm the effectiveness of H-CoRE in maintaining general awareness and mission continuity, paving the way for future applications in search-and-rescue, inspection, and exploration tasks. Full article
Show Figures

Figure 1

29 pages, 2702 KB  
Article
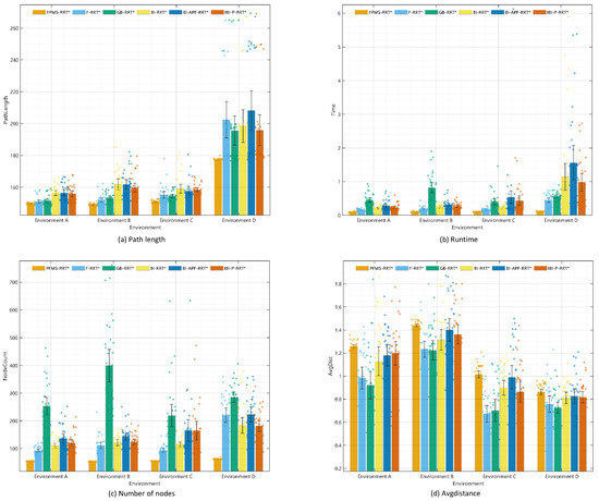
PFMS-RRT*: A Progress-Aware Fused-Sampling RRT* with Multi-Level Strategy Extension for Path Planning
by Zhongwei Li, Jiaming Li and Cai Luo
Appl. Sci. 2026, 16(6), 3107; https://doi.org/10.3390/app16063107 - 23 Mar 2026
Viewed by 124
Abstract
Sampling-based planners such as RRT* are attractive for robot navigation in complex spaces, but they often suffer from high randomness, low efficiency, slow convergence, and suboptimal path quality in cluttered environments. To address these limitations, this paper proposes PFMS-RRT*, a progress-aware fused-sampling RRT* [...] Read more.
Sampling-based planners such as RRT* are attractive for robot navigation in complex spaces, but they often suffer from high randomness, low efficiency, slow convergence, and suboptimal path quality in cluttered environments. To address these limitations, this paper proposes PFMS-RRT*, a progress-aware fused-sampling RRT* with a multi-level strategy extension. The method builds on a bidirectional RRT* framework and introduces three main components: (i) a progress-aware fused sampling scheme that adapts an oriented elliptical sampling region based on inter-tree progress and stagnation, mixes locally guided elliptical samples with globally explorative Halton-sequence samples, and dynamically balances exploration and exploitation; (ii) a three-level goal-guided extension mechanism that escalates from direct steering to local probing and then multi-direction detours to maintain forward progress when obstacles block expansion; and (iii) a smooth tangential artificial potential field (APF) extension used as a fallback, with a failure-driven probabilistic switching rule that increases APF usage after repeated extension failures. Simulations in four representative 2D environments (sparse, corridor-like dense, random dense, and narrow passage) show that PFMS-RRT* consistently yields shorter paths, lower and more stable runtime, and fewer nodes than several RRT* variants while maintaining competitive or improved obstacle clearance. Full article
Show Figures

Figure 1

26 pages, 5183 KB  
Article
Comparative Analysis and PSO-Based Optimization of Battery Technologies for Autonomous Mobile Robots
by Masood Shahbazi, Ebrahim Seidi and Artur Ferreira
Batteries 2026, 12(3), 108; https://doi.org/10.3390/batteries12030108 - 22 Mar 2026
Viewed by 155
Abstract
Autonomous mobile robots are transforming industries from e-commerce logistics to field exploration, but their effectiveness depends on onboard energy storage. This study addresses the challenge of selecting optimal battery technologies for autonomous mobile robots, balancing performance, energy efficiency, thermal stability, and cost across [...] Read more.
Autonomous mobile robots are transforming industries from e-commerce logistics to field exploration, but their effectiveness depends on onboard energy storage. This study addresses the challenge of selecting optimal battery technologies for autonomous mobile robots, balancing performance, energy efficiency, thermal stability, and cost across diverse applications. We focus on lithium-ion, lithium-polymer, and nickel-metal hydride batteries, the most common power solutions, each with distinct advantages and disadvantages in energy density, form factor, thermal stability, and cost. A dynamic modeling and simulation framework in MapleSim evaluated these chemistries under defined and representative operating conditions, tracking state of charge and temperature during charging and discharging. A Particle Swarm Optimization algorithm evaluated 37 battery configurations by thermal stability, energy efficiency, and cost across five use cases. Key results indicate that for logistics and warehousing, lithium nickel manganese cobalt oxide with graphite is optimal; for healthcare, lithium nickel manganese cobalt oxide with lithium titanate oxide excels; for manufacturing, lithium nickel cobalt aluminum oxide with graphite leads; for agricultural robots, lithium manganese oxide with graphite is best; and for exploration and mining, lithium iron phosphate with graphite is most reliable. These results provide a structured basis for battery selection, showing how simulation-driven, multi-criteria decision-making enhances energy management and operational reliability. Full article
Show Figures

Figure 1

24 pages, 10468 KB  
Article
BGSE-RRT*: A Goal-Guided and Multi-Sector Sampling-Expansion Path Planning Algorithm for Complex Environments
by Wenhao Yue, Xiang Li, Ziyue Liu, Xiaojiang Jiang and Lanlan Pan
Sensors 2026, 26(6), 1837; https://doi.org/10.3390/s26061837 - 14 Mar 2026
Viewed by 185
Abstract
In complex ground environments, conventional RRT* often suffers from low planning efficiency and poor path quality for robot path planning. This paper proposes BGSE-RRT* (Bi-tree Cooperative, Goal-guided, low-discrepancy Sampling, multi-sector Expansion). First, BGSE-RRT* constructs a nonlinear switching probability via bi-tree cooperative adaptive switching, [...] Read more.
In complex ground environments, conventional RRT* often suffers from low planning efficiency and poor path quality for robot path planning. This paper proposes BGSE-RRT* (Bi-tree Cooperative, Goal-guided, low-discrepancy Sampling, multi-sector Expansion). First, BGSE-RRT* constructs a nonlinear switching probability via bi-tree cooperative adaptive switching, together with KD-Tree nearest-neighbor acceleration and multi-condition triggering, to adaptively balance global exploration and local convergence. Meanwhile, a goal-guided expansion with dynamic target binding and adaptive step size, under a multi-constraint feasibility check, accelerates the convergence of the two trees. When the goal-guided expansion becomes blocked, BGSE-RRT* generates candidate points in local multi-sector regions using a 2D Halton low-discrepancy sequence and selects the best candidate for expansion; if the multi-sector expansion still fails, a sampling-point-guided expansion is activated to continue advancing and search for a feasible path. Second, B-spline smoothing is applied to improve trajectory continuity. Finally, in five simulation environments and ROS/real-robot joint validation, compared with GB-RRT*, BI-RRT*, BI-APF-RRT*, and BAI-RRT*, BGSE-RRT* reduces planning time by up to 84.71%, shortens path length by 2.94–6.88%, and improves safety distance by 20.68–48.33%. In ROS/real-robot validation, the trajectory-tracking success rate reaches 100%. Full article
(This article belongs to the Section Sensors and Robotics)
Show Figures

Figure 1

18 pages, 4115 KB  
Article
The Design of a Bionic Frog Robot
by Zhengxian Song, Lan Yan and Feng Jiang
Machines 2026, 14(3), 325; https://doi.org/10.3390/machines14030325 - 13 Mar 2026
Viewed by 270
Abstract
This study developed a biomimetic jumping robot inspired by frogs to enhance its obstacle-crossing capabilities. The biological principles underlying the jumping biomechanics of frog hindlimbs were integrated into the robotic mechanism; quantitative analysis of the bionic structure and its jumping performance not only [...] Read more.
This study developed a biomimetic jumping robot inspired by frogs to enhance its obstacle-crossing capabilities. The biological principles underlying the jumping biomechanics of frog hindlimbs were integrated into the robotic mechanism; quantitative analysis of the bionic structure and its jumping performance not only provides mechanical engineering insights for investigating frog locomotion mechanics but also offers practical design references for the development of biomimetic mobile robots. Through theoretical calculations and application scenario analysis, a six-bar linkage mechanism was designed to simulate the force generation of frog hindlimbs, with tension springs mimicking the elastic energy storage function of the semimembranosus and gastrocnemius muscles. A reducer was integrated into the trunk to enable energy storage, and an adjustable single-hinge structure was adopted for the forelegs to realize take-off angle adjustment and shock absorption. Finite element simulations were conducted to validate the load-bearing capacity and strength of critical components. Multi-body dynamics and the particle swarm optimization (PSO) algorithm were employed to explore the relationship between input parameters and output performance metrics (jumping height and jumping distance), while orthogonal experimental analysis was used for comprehensive parameter evaluation. Finally, a physical prototype was fabricated, and its performance parameters were tested. The prototype has a mass of 150 g, generates a ground push force of 50 N, attains a jumping height of 380 mm, and achieves a maximum jumping distance of 500 mm. This study establishes a biologically inspired working principle for jumping robots and provides a novel practical prototype for research into biomimetic mobile robots. Full article
(This article belongs to the Special Issue Control and Mechanical System Engineering, 2nd Edition)
Show Figures

Figure 1

46 pages, 29224 KB  
Article
Multi-Strategy Enhanced Child Drawing Development Optimization Algorithm for Global Optimization Problems and Real Problems
by Zhizi Wei, Sheng Wang, Shaojie Yin and Guanjie Wang
Symmetry 2026, 18(3), 481; https://doi.org/10.3390/sym18030481 - 11 Mar 2026
Viewed by 158
Abstract
To address the tendency of the traditional Children’s Drawing Development Optimization (CDDO) algorithm to fall into local optima and converge slowly in global optimization and fire-field robot path planning, this study proposes a Multi-Strategy Enhanced Children’s Drawing Development Optimization (MECDDO) algorithm. The algorithm [...] Read more.
To address the tendency of the traditional Children’s Drawing Development Optimization (CDDO) algorithm to fall into local optima and converge slowly in global optimization and fire-field robot path planning, this study proposes a Multi-Strategy Enhanced Children’s Drawing Development Optimization (MECDDO) algorithm. The algorithm achieves performance improvements through three core strategies: (1) an adaptive cooperative search strategy that integrates information from the global best, worst, and random individuals and guides updates via dynamic weighting, expanding the exploration of the solution space; (2) a multi-strategy adaptive selection mechanism that constructs a pool of four differentiated strategies and dynamically adjusts selection probabilities based on strategy success rates, balancing exploration and exploitation; and (3) a global-optimum guided boundary repair strategy that reduces the loss of high-quality information from out-of-bounds solutions, enhancing local exploitation efficiency. Experiments on the CEC2017 benchmark suite demonstrate that MECDDO achieves outstanding performance across 30-, 50-, and 100-dimensional spaces. Statistical significance was evaluated using the Friedman test and Wilcoxon signed-rank test at a 0.05 significance level. The Friedman test mean rankings (M.R.) are 1.63, 2.20, and 2.70, respectively, consistently outperforming traditional CDDO (M.R. = 9.83, 9.93, 9.73, ranked 10th). Applied to mobile robot path planning, MECDDO achieves an average path length of 27.95483 in 20 × 20 grid environments (rank 1), shortening paths by 8.83% compared with CDDO (30.66212, rank 10), and 61.15516 in 40 × 40 grids (rank 1), reducing paths by 37.19% versus CDDO (97.20336, rank 9), providing trajectories free of redundant turns and convergence speeds 2–3 times faster than competing algorithms. These results validate MECDDO’s significant advantages in numerical optimization accuracy and practical robot path planning. Full article
(This article belongs to the Special Issue Symmetry/Asymmetry in Evolutionary Algorithms)
Show Figures

Figure 1

22 pages, 5676 KB  
Article
Complete Coverage Random Path Planning Based on a Novel Fractal-Fractional-Order Multi-Scroll Chaotic System
by Xiaoran Lin, Mengxuan Dong, Xueya Xue, Xiaojuan Li and Yachao Wang
Mathematics 2026, 14(5), 926; https://doi.org/10.3390/math14050926 - 9 Mar 2026
Viewed by 217
Abstract
With the increasing demands for autonomy and coverage efficiency in tasks such as security patrol and post-disaster exploration using mobile robots, achieving random, efficient, and complete coverage path planning has become a critical challenge. Traditional chaotic path planning methods, while capable of generating [...] Read more.
With the increasing demands for autonomy and coverage efficiency in tasks such as security patrol and post-disaster exploration using mobile robots, achieving random, efficient, and complete coverage path planning has become a critical challenge. Traditional chaotic path planning methods, while capable of generating unpredictable trajectories, still have limitations in terms of randomness strength, traversal uniformity, and convergence coverage. To address this, this study proposes a complete-coverage random path planning method based on a novel four-dimensional fractal-fractional multi-scroll chaotic system. The main contributions of this research are as follows: First, by introducing additional state variables and fractal-fractional operators into the classical Chen system, a fractal-fractional chaotic system with a multi-scroll attractor structure is constructed. The output of this system is then mapped into robot angular velocity commands to achieve area coverage in unknown environments. Key findings include: the novel chaotic system possesses two positive Lyapunov exponents; Spectral Entropy (SE) and Complexity (CO) analyses indicate that when parameter B is fixed and the fractional order α increases, the dynamic complexity of the system significantly rises; in a 50 × 50 grid environment, the robot driven by this system achieved a coverage rate of 98.88% within 10,000 iterations, outperforming methods based on Lorenz, Chua systems, and random walks; ablation experiments further demonstrate that the combined effects of the fractal order β, fractional order α, and multi-scroll nonlinear terms are key to enhancing system complexity and coverage performance. The significance of this study lies in that it not only provides new ideas for constructing complex chaotic systems but also offers a reliable theoretical foundation and practical solution for mobile robots to perform efficient, random, and high-coverage autonomous inspection tasks in unknown regions. Full article
Show Figures

Figure 1

64 pages, 9863 KB  
Review
Drone-Enabled Practices in Modern Warehouse Management: A Comprehensive Review
by Eknath Pore, Bhumeshwar K. Patle, Sandeep Thorat and Brijesh Patel
Drones 2026, 10(3), 189; https://doi.org/10.3390/drones10030189 - 9 Mar 2026
Viewed by 705
Abstract
The advent of drone technology has led to groundbreaking advancements across various industries, including warehousing operations. In recent years, warehouse drones have garnered significant attention due to their potential to revolutionize traditional inventory management and order fulfillment processes. This paper presents a comprehensive [...] Read more.
The advent of drone technology has led to groundbreaking advancements across various industries, including warehousing operations. In recent years, warehouse drones have garnered significant attention due to their potential to revolutionize traditional inventory management and order fulfillment processes. This paper presents a comprehensive review that synthesizes findings from more than 120 research papers on drone-enabled practices in warehouses. The review systematically considers multiple parameters, including drone function (inventory counting, mapping, surveillance, inspection, and intralogistics support), robot platforms used (UAV, UAV-AGV), deployment architecture (single and multi-drone system), validation approach (real-time and simulation), technology and methodology used (modern electronic devices, AI, and IOT), and environmental context (dynamic and static). Furthermore, the paper explores the diverse applications of warehouse drones in inventory management, maintenance and inspection, picking and packaging, goods transportation, security and surveillance, and warehouse layout optimization. The review highlights that most studies still rely on single-UAV systems tested mainly in simulations, with only a few real-time demonstrations of fully autonomous performance inside real warehouses. Although multi-drone approaches are emerging to improve scalability, they continue to struggle with coordination and safety. Research remains largely focused on static environments, with dynamic warehouse conditions receiving far less attention despite their practical importance. The findings of the review are presented with the tabulated results and a comparative table to provide a better understanding of the review work, which helps to identify the existing literature gap. The review presents its findings through clear tables and comparisons, making it easier to understand existing studies and pinpoint the gaps in the current literature. Full article
Show Figures

Figure 1

34 pages, 15294 KB  
Article
Reinforcement Learning-Based Locomotion Control for a Lunar Quadruped Robot Considering Space Lubrication Conditions
by Jianfei Li, Wenrui Zhao, Lei Chen, Zhiyong Liu and Shengxin Sun
Mathematics 2026, 14(5), 848; https://doi.org/10.3390/math14050848 - 2 Mar 2026
Viewed by 309
Abstract
Quadruped robots possess strong adaptability to rugged terrain, soft ground, and multi-obstacle environments, offering broad application prospects in extraterrestrial planetary exploration. However, large diurnal temperature variations on extraterrestrial bodies exacerbate joint friction nonlinearity, degrading motion control accuracy and stability. To address this, a [...] Read more.
Quadruped robots possess strong adaptability to rugged terrain, soft ground, and multi-obstacle environments, offering broad application prospects in extraterrestrial planetary exploration. However, large diurnal temperature variations on extraterrestrial bodies exacerbate joint friction nonlinearity, degrading motion control accuracy and stability. To address this, a quadruped robot prototype with hybrid serial–parallel legs is designed for lunar exploration, and an 18-DOF dynamic model is derived using d’Alembert’s principle. Based on the PPO (Proximal Policy Optimization) reinforcement learning algorithm, joint friction parameters are identified using joint velocity and foot–ground contact force. By introducing friction compensation and contact force, an accurate dynamics-based feedback linearization control model is constructed, and a motion impedance control law is designed. Finally, joint friction parameters are identified and validated through both virtual and experimental prototypes, and the proposed control method is tested on flat and sloped terrain. Results show that the method can precisely regulate contact force and foot position, keeping RMSE (Root Mean Square Error) of position within 21.04 mm while preventing slipping and false contact. Full article
Show Figures

Figure 1

52 pages, 4733 KB  
Review
Monocular Camera Localization in Known Environments: An In-Depth Review
by Hailun Yan, Albert Lau and Hongchao Fan
Appl. Sci. 2026, 16(5), 2332; https://doi.org/10.3390/app16052332 - 27 Feb 2026
Viewed by 326
Abstract
Monocular camera localization in known environments is a critical task for applications like autonomous navigation, augmented reality, and robotic positioning, requiring precise spatial awareness. Unlike localization in unknown environments, which builds maps in real time, this leverages pre-existing data for higher accuracy. This [...] Read more.
Monocular camera localization in known environments is a critical task for applications like autonomous navigation, augmented reality, and robotic positioning, requiring precise spatial awareness. Unlike localization in unknown environments, which builds maps in real time, this leverages pre-existing data for higher accuracy. This review comprehensively analyzes monocular camera localization methods in known environments, categorizing them into 2D-2D feature matching, 2D-3D feature matching, and regression-based approaches. It consolidates foundational techniques and recent advancements, providing inter-class and intra-class performance comparisons on mainstream datasets. Key findings show that 2D-3D methods generally offer the highest accuracy, especially in structured outdoor environments, due to robust use of 3D spatial information. However, recent scene coordinate regression methods, such as ACE and ACE++, achieve comparable or superior performance in indoor scenes with more efficient pipelines. This review highlights challenges and proposes future directions: (1) synthetic data generation to meet deep learning demands, while addressing domain gaps; (2) improving generalization to unseen scenes and reducing retraining; (3) multi-sensor fusion for enhanced robustness; (4) exploring transformer-based and graph neural network architectures; (5) developing lightweight models for real-time performance on resource-constrained devices. This review aims to guide researchers and practitioners in method selection and identify key research directions. Full article
(This article belongs to the Special Issue Deep Learning-Based Computer Vision Technology and Its Applications)
Show Figures

Figure 1

15 pages, 960 KB  
Article
ArmTenna: Two-Armed RFID Explorer for Dynamic Warehouse Management
by Abdussalam A. Alajami and Rafael Pous
Sensors 2026, 26(5), 1513; https://doi.org/10.3390/s26051513 - 27 Feb 2026
Viewed by 219
Abstract
Efficient RFID spatial exploration in dynamic warehouse environments is challenging due to occlusions, sensing geometry constraints, and the weak coupling between information acquisition and navigation decisions. Many existing inventory robots treat RFID sensing as a passive data source during exploration, without explicitly optimizing [...] Read more.
Efficient RFID spatial exploration in dynamic warehouse environments is challenging due to occlusions, sensing geometry constraints, and the weak coupling between information acquisition and navigation decisions. Many existing inventory robots treat RFID sensing as a passive data source during exploration, without explicitly optimizing sensing pose or prioritizing inventory-driven frontiers, which can result in incomplete coverage and redundant traversal. This paper presents ArmTenna, an articulated mobile robotic platform that formulates RFID inventory exploration as an active perception problem. The system integrates dual 4-DOF robotic arms carrying directional UHF RFID antennas and a 2-DOF neck-mounted RGB-D camera, enabling adaptive interrogation of candidate regions. We propose a multi-modal frontier exploration framework that combines newly detected EPC tags, average RSSI values, and vision-based product detections into a composite utility function for goal selection. By embedding articulated antenna control directly into the frontier evaluation loop, the robot tightly couples sensing geometry with exploration decisions. Experimental validation with 150 tagged items across three separated warehouse zones shows that ArmTenna achieves up to 97% map coverage, compared to 72% for a baseline platform, while reducing missed-tag regions. These results demonstrate that integrating active sensing pose control with multi-modal frontier evaluation provides an effective and scalable solution for RFID-driven warehouse inventory automation. Full article
Show Figures

Figure 1

22 pages, 7765 KB  
Article
Dynamic Multi-Robot Task Allocation for Human-in-the-Loop Space Exploration: Knowledge Graph-Guided CBBA with LLM-Assisted Fault Analysis
by Hao Wang, Shuqi Xue, Hongbo Zhang, Lifen Tan, Chunhui Wang and Yan Fu
Machines 2026, 14(3), 265; https://doi.org/10.3390/machines14030265 - 26 Feb 2026
Viewed by 346
Abstract
In dynamic and extreme space environments, current multi-robot systems inevitably encounter failures during autonomous task execution. Addressing these failures requires human-in-the-loop collaboration with astronauts, who first conduct fault analysis and then perform dynamic multi-robot task allocation (MRTA), a process critical for achieving mission [...] Read more.
In dynamic and extreme space environments, current multi-robot systems inevitably encounter failures during autonomous task execution. Addressing these failures requires human-in-the-loop collaboration with astronauts, who first conduct fault analysis and then perform dynamic multi-robot task allocation (MRTA), a process critical for achieving mission objectives. This paper proposes a Knowledge Graph-guided Consensus-Based Bundle Algorithm (KG-CBBA) that integrates astronaut fault analysis generated by large language models (LLMs) into the fault recovery process for space exploration. Firstly, a knowledge graph (KG) is constructed to encode objective constraints and semantic triples between tasks and robots, enabling a unified representation of task feasibility and utility. Secondly, a semantic-enhanced utility allocation mechanism is designed to ensure consistent, feasible, and efficient task sequences under static allocation. When dynamic tasks arrive, KG-CBBA resolves conflicts and inserts new tasks while preserving the stability of existing task sequences. Numerical simulations validate the feasibility of KG-CBBA and demonstrate its superior performance compared with consensus-based bundle algorithm (CBBA), particle swarm optimization (PSO), and greedy baselines. In addition, a user study involving 96 participants shows that KG-CBBA, when integrated with LLMs, enhances collaborative fault recovery. Overall, KG-CBBA provides an effective solution for dynamic MRTA in space exploration and supports human-in-the-loop collaboration. Full article
(This article belongs to the Special Issue Guidance, Navigation, and Control of Spacecraft and Space Robots)
Show Figures

Figure 1

23 pages, 3588 KB  
Article
Laser-Tracker-Based Robot Pose Measurement Using PSD Spot Sensing and Multi-Sensor Fusion with Simulation Validation
by Suli Wang, Jing Yang and Xiaodan Sang
Micromachines 2026, 17(3), 290; https://doi.org/10.3390/mi17030290 - 26 Feb 2026
Viewed by 362
Abstract
Accurate measurement of robotic pose is indispensable for large-scale precision manufacturing and robotic calibration, particularly because traditional robotic kinematic models often fall short owing to environmental disturbances and structural uncertainties. Laser tracker systems offer high-precision, large-volume measurement capabilities and are therefore appealing as [...] Read more.
Accurate measurement of robotic pose is indispensable for large-scale precision manufacturing and robotic calibration, particularly because traditional robotic kinematic models often fall short owing to environmental disturbances and structural uncertainties. Laser tracker systems offer high-precision, large-volume measurement capabilities and are therefore appealing as external references for robot pose estimation; however, their practical efficacy is heavily reliant on optical tracking stability, sensor noise levels, and system robustness. This paper introduces a laser tracker-based framework for measuring robot pose, which integrates PSD-based optical spot sensing, multi-sensor fusion, and simulation-based system analysis. A prototype PSD sensing subsystem has been developed utilizing analog signal conditioning, high-speed A/D sampling, and FPGA-based centroid computation. Bench experiments validate the linearity, geometric sensitivity, and robustness of the PSD sensing chain under controlled spot translations and various ambient illumination conditions. Results demonstrate that the PSD response is nearly linear within a ±0.9 mm spot displacement and that the implementation of an interference optical filter significantly enhances measurement repeatability under background light. At the system level, a comprehensive simulation framework is established wherein PSD measurements are fused with inertial and encoder data via an extended Kalman filter. The simulations explore the effects of process noise tuning, time synchronization, systematic error sources, and control strategies on pose estimation accuracy. Ranging-related effects and error-compensation mechanisms are analyzed within the context of modeling and simulation, providing insights into the interferometric ranging principle underlying the complete laser tracker system. The validation of the prototype alongside simulation results demonstrates that PSD-based optical tracking, combined with multi-sensor fusion and layered error compensation, can effectively improve robustness and positional accuracy. The proposed framework offers valuable guidance for the development and phased validation of laser tracker-oriented robot pose measurement systems in complex industrial environments. Full article
(This article belongs to the Special Issue Micro/Nano Optical Devices and Sensing Technology)
Show Figures

Figure 1

45 pages, 2668 KB  
Review
Advances in 3D Bioprinting: Materials, Processes, and Emerging Applications
by Subin Antony Jose, Antonia Evtimow and Pradeep L. Menezes
Micromachines 2026, 17(3), 282; https://doi.org/10.3390/mi17030282 - 25 Feb 2026
Viewed by 759
Abstract
Three-dimensional (3D) bioprinting has rapidly emerged as a transformative technology at the interface of biomedical engineering and regenerative medicine. By enabling the spatially controlled deposition of living cells, biomaterials, and bioactive molecules, it offers an unprecedented potential to fabricate functional tissues and potentially [...] Read more.
Three-dimensional (3D) bioprinting has rapidly emerged as a transformative technology at the interface of biomedical engineering and regenerative medicine. By enabling the spatially controlled deposition of living cells, biomaterials, and bioactive molecules, it offers an unprecedented potential to fabricate functional tissues and potentially whole organs in the future. This review explores recent advances in bioprinting materials, processes, and applications, emphasizing the integration of bioinks, printing methods, and mechanical design principles that underpin tissue functionality. Natural and synthetic biomaterials such as hydrogels (e.g., collagen, alginate), polyethylene glycol (PEG), and polyesters like PLGA are evaluated in terms of biocompatibility, printability, and degradation behavior. Key bioprinting modalities, including extrusion, inkjet, and laser-assisted bioprinting, are compared based on printing resolution, cell viability, and scalability. Structural considerations such as scaffold architecture, mechanical stability, and biomimetic design are discussed in relation to native tissue mechanics and requirements. The review also surveys emerging applications in tissue engineering (e.g., bone, cartilage, skin replacements), organ-on-a-chip systems for drug testing, and patient-specific implants, while addressing persistent challenges such as standardization of biofabrication, regulatory and ethical considerations, and manufacturing scale-up. Finally, future trends, including the integration of artificial intelligence (AI) and robotic automation, multi-material and four-dimensional (4D) bioprinting, and the maturation of personalized bioprinting strategies, are highlighted as pathways toward more autonomous and clinically relevant bioprinting systems. Collectively, these developments signify a paradigm shift in how biological constructs are designed and manufactured, bridging the gap between laboratory research and clinical translation. Full article
(This article belongs to the Special Issue Research Progress on Advanced Additive Manufacturing Technologies)
Show Figures

Figure 1

11 pages, 793 KB  
Review
The Evolving Role of Artificial Intelligence in Andrological Surgery: Current Landscape and Future Direction
by Antonio Andrea Grosso, Francesca Conte, Luca Mazzola, Francesco Lupo Conte, Beatrice Giustozzi, Riccardo Ferretti, Marco Saladino, Daniele Paganelli, Luca Lambertini, Fabrizio Di Maida, Mattia Lo Re, Valeria Pizziconi, Gianni Vittori, Rino Oriti, Andrea Cocci, Andrea Mari and Andrea Minervini
J. Clin. Med. 2026, 15(4), 1473; https://doi.org/10.3390/jcm15041473 - 13 Feb 2026
Viewed by 312
Abstract
Background: With the rapid advancement of artificial intelligence (AI), its applications in andrology are expanding across diagnostic assessment, preoperative planning, intraoperative assistance, and postoperative management. This narrative review aims to synthesize current evidence regarding AI applications across the spectrum of andrological surgery. [...] Read more.
Background: With the rapid advancement of artificial intelligence (AI), its applications in andrology are expanding across diagnostic assessment, preoperative planning, intraoperative assistance, and postoperative management. This narrative review aims to synthesize current evidence regarding AI applications across the spectrum of andrological surgery. Methods: A comprehensive literature search was conducted using the PubMed, Scopus and Web of Science databases to identify relevant studies published between January 2020 and October 2025. The search strategy utilized combinations of keywords including “artificial intelligence,” “andrology,” “erectile dysfunction,” “male infertility,” “microsurgery,” and “robotic-assisted surgery.” Original research and review articles published in English were selected based on their clinical relevance to surgical practice. Results: AI has shown promise in the evaluation and management of erectile dysfunction (ED), male infertility-related microsurgery, and complex reconstructive procedures. AI-based models can improve risk prediction and diagnosis of ED, standardize semen analysis, support individualized selection of surgical candidates for varicocele repair and other interventions, and augment microsurgery through enhanced visualization and decision support. In the postoperative phase, AI-driven tools are being explored for complication prediction, functional recovery monitoring, and long-term quality-of-life follow-up, enabling more patient-centered, continuous care. Conclusions: AI holds significant promise for advancing precision medicine in andrological surgery by enhancing objective assessment and intraoperative guidance. However, large-scale, standardized datasets and rigorous multi-institutional validation are needed. Establishing robust ethical and legal frameworks will be essential to ensure the safe and effective integration of AI into routine andrological care. Full article
(This article belongs to the Section Nephrology & Urology)
Show Figures

Figure 1

Back to TopTop