Sign in to use this feature.

Years

Between: -

Subjects

remove_circle_outline
remove_circle_outline
remove_circle_outline
remove_circle_outline
remove_circle_outline
remove_circle_outline
remove_circle_outline
remove_circle_outline
remove_circle_outline

Journals

remove_circle_outline
remove_circle_outline
remove_circle_outline
remove_circle_outline
remove_circle_outline
remove_circle_outline
remove_circle_outline

Article Types

Countries / Regions

remove_circle_outline
remove_circle_outline
remove_circle_outline
remove_circle_outline

Search Results (1,401)

Search Parameters:
Keywords = multi-layer mapping

Order results
Result details
Results per page
Select all
Export citation of selected articles as:
32 pages, 2499 KB  
Article
MiMapper: A Cloud-Based Multi-Hazard Mapping Tool for Nepal
by Catherine A. Price, Morgan Jones, Neil F. Glasser, John M. Reynolds and Rijan B. Kayastha
GeoHazards 2025, 6(4), 63; https://doi.org/10.3390/geohazards6040063 - 3 Oct 2025
Abstract
Nepal is highly susceptible to natural hazards, including earthquakes, flooding, and landslides, all of which may occur independently or in combination. Climate change is projected to increase the frequency and intensity of these natural hazards, posing growing risks to Nepal’s infrastructure and development. [...] Read more.
Nepal is highly susceptible to natural hazards, including earthquakes, flooding, and landslides, all of which may occur independently or in combination. Climate change is projected to increase the frequency and intensity of these natural hazards, posing growing risks to Nepal’s infrastructure and development. To the authors’ knowledge, the majority of existing geohazard research in Nepal is typically limited to single hazards or localised areas. To address this gap, MiMapper was developed as a cloud-based, open-access multi-hazard mapping tool covering the full national extent. Built on Google Earth Engine and using only open-source spatial datasets, MiMapper applies an Analytical Hierarchy Process (AHP) to generate hazard indices for earthquakes, floods, and landslides. These indices are combined into an aggregated hazard layer and presented in an interactive, user-friendly web map that requires no prior GIS expertise. MiMapper uses a standardised hazard categorisation system for all layers, providing pixel-based scores for each layer between 0 (Very Low) and 1 (Very High). The modal and mean hazard categories for aggregated hazard in Nepal were Low (47.66% of pixels) and Medium (45.61% of pixels), respectively, but there was high spatial variability in hazard categories depending on hazard type. The validation of MiMapper’s flooding and landslide layers showed an accuracy of 0.412 and 0.668, sensitivity of 0.637 and 0.898, and precision of 0.116 and 0.627, respectively. These validation results show strong overall performance for landslide prediction, whilst broad-scale exposure patterns are predicted for flooding but may lack the resolution or sensitivity to fully represent real-world flood events. Consequently, MiMapper is a useful tool to support initial hazard screening by professionals in urban planning, infrastructure development, disaster management, and research. It can contribute to a Level 1 Integrated Geohazard Assessment as part of the evaluation for improving the resilience of hydropower schemes to the impacts of climate change. MiMapper also offers potential as a teaching tool for exploring hazard processes in data-limited, high-relief environments such as Nepal. Full article
18 pages, 30918 KB  
Article
Beyond Local Indicators: Integrating Aggregated Runoff into Rainwater Harvesting Potential Mapping
by Christy Mathew Damascene, Irene Pomarico, Aldo Fiori and Antonio Zarlenga
Water 2025, 17(19), 2866; https://doi.org/10.3390/w17192866 - 1 Oct 2025
Abstract
Water scarcity, driven by over-consumption, population growth, climate change, and pollution, poses severe threats to both human health and ecosystems. Rainwater harvesting (RWH) has emerged as a sustainable solution to mitigate these impacts, offering environmental, social, and economic benefits. Traditional RWH site selection [...] Read more.
Water scarcity, driven by over-consumption, population growth, climate change, and pollution, poses severe threats to both human health and ecosystems. Rainwater harvesting (RWH) has emerged as a sustainable solution to mitigate these impacts, offering environmental, social, and economic benefits. Traditional RWH site selection methods rely heavily on GIS-based Multi-Criteria Approaches, such as the Analytical Hierarchy Process, which typically assess runoff potential at the pixel scale using proxy indicators like runoff coefficients or drainage density. However, these methods often overlook horizontal water fluxes and temporal variability, leading to underestimation of the actual runoff available for harvesting. This study introduces an innovative enhancement to AHP/GIS-based methodologies for rainwater harvesting (RWH) site selection by incorporating Aggregated Runoff (AR) as a key criterion. Unlike traditional approaches, the use of AR—representing the total upstream surface water collected at each pixel—enables a more realistic and accurate assessment of RWH potential without increasing data or computational requirements. The proposed criterion is independent of the specific methodology or data layers adopted, making it broadly applicable and easily integrable into existing frameworks. The methodology is applied to the upper Tiber River catchment in Central Italy, demonstrating that AR-based assessments yield more realistic RWH potential maps compared to conventional methods. Additionally, the study proposes a quantile-based scoring system to account for inter-annual hydrological variability, enhancing the robustness of site selection under changing climate conditions. Full article
(This article belongs to the Topic Water Management in the Age of Climate Change)
Show Figures

Figure 1

14 pages, 2759 KB  
Article
Unmanned Airborne Target Detection Method with Multi-Branch Convolution and Attention-Improved C2F Module
by Fangyuan Qin, Weiwei Tang, Haishan Tian and Yuyu Chen
Sensors 2025, 25(19), 6023; https://doi.org/10.3390/s25196023 - 1 Oct 2025
Abstract
In this paper, a target detection network algorithm based on a multi-branch convolution and attention improvement Cross-Stage Partial-Fusion Bottleneck with Two Convolutions (C2F) module is proposed for the difficult task of detecting small targets in unmanned aerial vehicles. A C2F module method consisting [...] Read more.
In this paper, a target detection network algorithm based on a multi-branch convolution and attention improvement Cross-Stage Partial-Fusion Bottleneck with Two Convolutions (C2F) module is proposed for the difficult task of detecting small targets in unmanned aerial vehicles. A C2F module method consisting of fusing partial convolutional (PConv) layers was designed to improve the speed and efficiency of extracting features, and a method consisting of combining multi-scale feature fusion with a channel space attention mechanism was applied in the neck network. An FA-Block module was designed to improve feature fusion and attention to small targets’ features; this design increases the size of the miniscule target layer, allowing richer feature information about the small targets to be retained. Finally, the lightweight up-sampling operator Content-Aware ReAssembly of Features was used to replace the original up-sampling method to expand the network’s sensory field. Experimental tests were conducted on a self-complied mountain pedestrian dataset and the public VisDrone dataset. Compared with the base algorithm, the improved algorithm improved the mAP50, mAP50-95, P-value, and R-value by 2.8%, 3.5%, 2.3%, and 0.2%, respectively, on the Mountain Pedestrian dataset and the mAP50, mAP50-95, P-value, and R-value by 9.2%, 6.4%, 7.7%, and 7.6%, respectively, on the VisDrone dataset. Full article
(This article belongs to the Section Sensing and Imaging)
Show Figures

Figure 1

25 pages, 9710 KB  
Article
SCS-YOLO: A Lightweight Cross-Scale Detection Network for Sugarcane Surface Cracks with Dynamic Perception
by Meng Li, Xue Ding, Jinliang Wang and Rongxiang Luo
AgriEngineering 2025, 7(10), 321; https://doi.org/10.3390/agriengineering7100321 - 1 Oct 2025
Abstract
Detecting surface cracks on sugarcane is a critical step in ensuring product quality control, with detection precision directly impacting raw material screening efficiency and economic benefits in the sugar industry. Traditional methods face three core challenges: (1) complex background interference complicates texture feature [...] Read more.
Detecting surface cracks on sugarcane is a critical step in ensuring product quality control, with detection precision directly impacting raw material screening efficiency and economic benefits in the sugar industry. Traditional methods face three core challenges: (1) complex background interference complicates texture feature extraction; (2) variable crack scales limit models’ cross-scale feature generalization capabilities; and (3) high computational complexity hinders deployment on edge devices. To address these issues, this study proposes a lightweight sugarcane surface crack detection model, SCS-YOLO (Surface Cracks on Sugarcane-YOLO), based on the YOLOv10 architecture. This model incorporates three key technical innovations. First, the designed RFAC2f module (Receptive-Field Attentive CSP Bottleneck with Dual Convolution) significantly enhances feature representation capabilities in complex backgrounds through dynamic receptive field modeling and multi-branch feature processing/fusion mechanisms. Second, the proposed DSA module (Dynamic SimAM Attention) achieves adaptive spatial optimization of cross-layer crack features by integrating dynamic weight allocation strategies with parameter-free spatial attention mechanisms. Finally, the DyHead detection head employs a dynamic feature optimization mechanism to reduce parameter count and computational complexity. Experiments demonstrate that on the Sugarcane Crack Dataset v3.1, compared to the baseline model YOLOv10, our model achieves mAP50:95 to 71.8% (up 2.1%). Simultaneously, it achieves significant reductions in parameter count (down 19.67%) and computational load (down 11.76%), while boosting FPS to 122 to meet real-time detection requirements. Considering the multiple dimensions of precision indicators, complexity indicators, and FPS comprehensively, the SCS—YOLO detection framework proposed in this study provides a feasible technical reference for the intelligent detection of sugarcane quality in the raw materials of the sugar industry. Full article
Show Figures

Figure 1

22 pages, 6372 KB  
Article
Numerical Study on Hydraulic Fracture Propagation in Sand–Coal Interbed Formations
by Xuanyu Liu, Liangwei Xu, Xianglei Guo, Meijia Zhu and Yujie Bai
Processes 2025, 13(10), 3128; https://doi.org/10.3390/pr13103128 - 29 Sep 2025
Abstract
To investigate hydraulic fracture propagation in multi-layered porous media such as sand–coal interbedded formations, we present a new phase-field-based model. In this formulation, a diffuse fracture is activated only when the local element strain exceeds the rock’s critical strain, and the fracture width [...] Read more.
To investigate hydraulic fracture propagation in multi-layered porous media such as sand–coal interbedded formations, we present a new phase-field-based model. In this formulation, a diffuse fracture is activated only when the local element strain exceeds the rock’s critical strain, and the fracture width is represented by orthogonal components in the x and y directions. Unlike common PFM approaches that map the permeability directly from the damage field, our scheme triggers fractures only beyond a critical strain. It then builds anisotropy via a width-to-element-size weighting with parallel mixing along and series mixing across the fracture. At the element scale, the permeability is constructed as a weighted sum of the initial rock permeability and the fracture permeability, with the weighting coefficients defined as functions of the local width and the element size. Using this model, we examined how the in situ stress contrast, interface strength, Young’s modulus, Poisson’s ratio, and injection rate influence the hydraulic fracture growth in sand–coal interbedded formations. The results indicate that a larger stress contrast, stronger interfaces, a greater stiffness, and higher injection rates increase the likelihood that a hydraulic fracture will cross the interface and penetrate the barrier layer. When propagation is constrained to the interface, the width within the interface segment is markedly smaller than that within the coal-seam segment, and interface-guided growth elevates the fluid pressure inside the fracture. Full article
(This article belongs to the Section Energy Systems)
Show Figures

Figure 1

14 pages, 839 KB  
Article
MMFA: Masked Multi-Layer Feature Aggregation for Speaker Verification Using WavLM
by Uijong Lee and Seok-Pil Lee
Electronics 2025, 14(19), 3857; https://doi.org/10.3390/electronics14193857 - 29 Sep 2025
Abstract
Speaker verification (SV) is a core technology for security and personalized services, and its importance has been growing with the spread of wearables such as smartwatches, earbuds, and AR/VR headsets, where privacy-preserving on-device operation under limited compute and power budgets is required. Recently, [...] Read more.
Speaker verification (SV) is a core technology for security and personalized services, and its importance has been growing with the spread of wearables such as smartwatches, earbuds, and AR/VR headsets, where privacy-preserving on-device operation under limited compute and power budgets is required. Recently, self-supervised learning (SSL) models such as WavLM and wav2vec 2.0 have been widely adopted as front ends that provide multi-layer speech representations without labeled data. Lower layers contain fine-grained acoustic information, whereas higher layers capture phonetic and contextual features. However, conventional SV systems typically use only the final layer or a single-step temporal attention over a simple weighted sum of layers, implicitly assuming that frame importance is shared across layers and thus failing to fully exploit the hierarchical diversity of SSL embeddings. We argue that frame relevance is layer dependent, as the frames most critical for speaker identity differ across layers. To address this, we propose Masked Multi-layer Feature Aggregation (MMFA), which first applies independent frame-wise attention within each layer, then performs learnable layer-wise weighting to suppress irrelevant frames such as silence and noise while effectively combining complementary information across layers. On VoxCeleb1, MMFA achieves consistent improvements over strong baselines in both EER and minDCF, and attention-map analysis confirms distinct selection patterns across layers, validating MMFA as a robust SV approach even in short-utterance and noisy conditions. Full article
Show Figures

Figure 1

17 pages, 4081 KB  
Article
Neural Network-Based Atlas Enhancement in MPEG Immersive Video
by Taesik Lee, Kugjin Yun, Won-Sik Cheong and Dongsan Jun
Mathematics 2025, 13(19), 3110; https://doi.org/10.3390/math13193110 - 29 Sep 2025
Abstract
Recently, the demand for immersive videos has surged with the expansion of virtual reality, augmented reality, and metaverse technologies. As an international standard, moving picture experts group (MPEG) has developed MPEG immersive video (MIV) to efficiently transmit large-volume immersive videos. The MIV encoder [...] Read more.
Recently, the demand for immersive videos has surged with the expansion of virtual reality, augmented reality, and metaverse technologies. As an international standard, moving picture experts group (MPEG) has developed MPEG immersive video (MIV) to efficiently transmit large-volume immersive videos. The MIV encoder generates atlas videos to convert extensive multi-view videos into low-bitrate formats. When these atlas videos are compressed using conventional video codecs, compression artifacts often appear in the reconstructed atlas videos. To address this issue, this study proposes a feature-extraction-based convolutional neural network (FECNN) to reduce the compression artifacts during MIV atlas video transmission. The proposed FECNN uses quantization parameter (QP) maps and depth information as inputs and consists of shallow feature extraction (SFE) blocks and deep feature extraction (DFE) blocks to utilize layered feature characteristics. Compared to the existing MIV, the proposed method improves the Bjontegaard delta bit-rate (BDBR) by −4.12% and −6.96% in the basic and additional views, respectively. Full article
(This article belongs to the Special Issue Coding Theory and the Impact of AI)
Show Figures

Figure 1

26 pages, 11189 KB  
Article
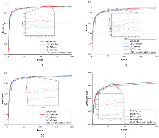
DSEE-YOLO: A Dynamic Edge-Enhanced Lightweight Model for Infrared Ship Detection in Complex Maritime Environments
by Siyu Wang, Yunsong Feng, Wei Jin, Liping Liu, Changqi Zhou, Huifeng Tao and Lei Cai
Remote Sens. 2025, 17(19), 3325; https://doi.org/10.3390/rs17193325 - 28 Sep 2025
Abstract
Complex marine infrared images, which suffer from background interference, blurred features, and indistinct contours, hamper detection accuracy. Meanwhile, the limited computing power, storage, and energy of maritime devices require target detection models suitable for real-time detection. To address these issues, we propose DSEE-YOLO [...] Read more.
Complex marine infrared images, which suffer from background interference, blurred features, and indistinct contours, hamper detection accuracy. Meanwhile, the limited computing power, storage, and energy of maritime devices require target detection models suitable for real-time detection. To address these issues, we propose DSEE-YOLO (Dynamic Ship Edge-Enhanced YOLO), an efficient lightweight infrared ship detection algorithm. It integrates three innovative modules with pruning and self-distillation: the C3k2_MultiScaleEdgeFusion module replaces the original bottleneck with a MultiEdgeFusion structure to boost edge feature expression; the lightweight DS_ADown module uses DSConv (depthwise separable convolution) to reduce parameters while preserving feature capability; and the DyTaskHead dynamically aligns classification and localization features through task decomposition. Redundant structures are pruned via LAMP (Layer-Adaptive Sparsity for the Magnitude-Based Pruning), and performance is optimized via BCKD (Bridging Cross-Task Protocol Inconsistency for Knowledge Distillation) self-distillation, yielding a lightweight, efficient model. Experimental results show the DSEE-YOLO outperforms YOLOv11n when applied to our self-constructed IRShip dataset by reducing parameters by 42.3% and model size from 10.1 MB to 3.5 MB while increasing mAP@0.50 by 2.8%, mAP@0.50:0.95 by 3.8%, precision by 2.3%, and recall by 3.0%. These results validate its high-precision detection capability and lightweight advantages in complex infrared scenarios, offering an efficient solution for real-time maritime infrared ship monitoring. Full article
Show Figures

Figure 1

19 pages, 15475 KB  
Article
Oriented Object Detection with RGB-D Data for Corn Pose Estimation
by Yuliang Gao, Haonan Tang, Yuting Wang, Tao Liu, Zhen Li, Bin Li and Lifeng Zhang
Appl. Sci. 2025, 15(19), 10496; https://doi.org/10.3390/app151910496 - 28 Sep 2025
Abstract
Precise oriented object detection of corn provides critical support for automated agricultural tasks such as harvesting, spraying, and precision management. In this work, we address this challenge by leveraging oriented object detection in combination with depth information to estimate corn poses. To enhance [...] Read more.
Precise oriented object detection of corn provides critical support for automated agricultural tasks such as harvesting, spraying, and precision management. In this work, we address this challenge by leveraging oriented object detection in combination with depth information to estimate corn poses. To enhance detection accuracy while maintaining computational efficiency, we construct a precise annotated oriented corn detection dataset and propose YOLOv11OC, an improved detector. YOLOv11OC integrates three key components: Angle-aware Attention Module for angle encoding and orientation perception, Cross-Layer Fusion Network for multi-scale feature fusion, and GSConv Inception Network for efficient multi-scale representation. Together, these modules enable accurate oriented detection while reducing model complexity. Experimental results show that YOLOv11OC achieves 97.6% mAP@0.75, exceeding YOLOv11 by 3.2%, and improves mAP50:95 by 5.0%. Furthermore, when combined with depth maps, the system achieves 92.5% pose estimation accuracy, demonstrating its potential to advance intelligent and automated cultivation and spraying. Full article
Show Figures

Figure 1

31 pages, 1002 KB  
Article
Strengthening Small Object Detection in Adapted RT-DETR Through Robust Enhancements
by Manav Madan and Christoph Reich
Electronics 2025, 14(19), 3830; https://doi.org/10.3390/electronics14193830 - 27 Sep 2025
Abstract
RT-DETR (Real-Time DEtection TRansformer) has recently emerged as a promising model for object detection in images, yet its performance on small objects remains limited, particularly in terms of robustness. While various approaches have been explored, developing effective solutions for reliable small object detection [...] Read more.
RT-DETR (Real-Time DEtection TRansformer) has recently emerged as a promising model for object detection in images, yet its performance on small objects remains limited, particularly in terms of robustness. While various approaches have been explored, developing effective solutions for reliable small object detection remains a significant challenge. This paper introduces an adapted variant of RT-DETR, specifically designed to enhance robustness in small object detection. The model was first designed on one dataset and subsequently transferred to others to validate generalization. Key contributions include replacing components of the feed-forward neural network (FFNN) within a hybrid encoder with Hebbian, randomized, and Oja-inspired layers; introducing a modified loss function; and applying multi-scale feature fusion with fuzzy attention to refine encoder representations. The proposed model is evaluated on the Al-Cast Detection X-ray dataset, which contains small components from high-pressure die-casting machines, and the PCB quality inspection dataset, which features tiny hole anomalies. The results show that the optimized model achieves an mAP of 0.513 for small objects—an improvement from the 0.389 of the baseline RT-DETR model on the Al-Cast dataset—confirming its effectiveness. In addition, this paper contributes a mini-literature review of recent RT-DETR enhancements, situating our work within current research trends and providing context for future development. Full article
(This article belongs to the Special Issue Applications of Computer Vision, 3rd Edition)
Show Figures

Figure 1

31 pages, 10644 KB  
Article
An Instance Segmentation Method for Agricultural Plastic Residual Film on Cotton Fields Based on RSE-YOLO-Seg
by Huimin Fang, Quanwang Xu, Xuegeng Chen, Xinzhong Wang, Limin Yan and Qingyi Zhang
Agriculture 2025, 15(19), 2025; https://doi.org/10.3390/agriculture15192025 - 26 Sep 2025
Abstract
To address the challenges of multi-scale missed detections, false positives, and incomplete boundary segmentation in cotton field residual plastic film detection, this study proposes the RSE-YOLO-Seg model. First, a PKI module (adaptive receptive field) is integrated into the C3K2 block and combined with [...] Read more.
To address the challenges of multi-scale missed detections, false positives, and incomplete boundary segmentation in cotton field residual plastic film detection, this study proposes the RSE-YOLO-Seg model. First, a PKI module (adaptive receptive field) is integrated into the C3K2 block and combined with the SegNext attention mechanism (multi-scale convolutional kernels) to capture multi-scale residual film features. Second, RFCAConv replaces standard convolutional layers to differentially process regions and receptive fields of different sizes, and an Efficient-Head is designed to reduce parameters. Finally, an NM-IoU loss function is proposed to enhance small residual film detection and boundary segmentation. Experiments on a self-constructed dataset show that RSE-YOLO-Seg improves the object detection average precision (mAP50(B)) by 3% and mask segmentation average precision (mAP50(M)) by 2.7% compared with the baseline, with all module improvements being statistically significant (p < 0.05). Across four complex scenarios, it exhibits stronger robustness than mainstream models (YOLOv5n-seg, YOLOv8n-seg, YOLOv10n-seg, YOLO11n-seg), and achieves 17/38 FPS on Jetson Nano B01/Orin. Additionally, when combined with DeepSORT, compared with random image sampling, the mean error between predicted and actual residual film area decreases from 232.30 cm2 to 142.00 cm2, and the root mean square error (RMSE) drops from 251.53 cm2 to 130.25 cm2. This effectively mitigates pose-induced random errors in static images and significantly improves area estimation accuracy. Full article
(This article belongs to the Section Artificial Intelligence and Digital Agriculture)
Show Figures

Figure 1

28 pages, 1342 KB  
Article
Cognitively Inspired Federated Learning Framework for Interpretable and Privacy-Secured EEG Biomarker Prediction of Depression Relapse
by Sana Yasin, Umar Draz, Tariq Ali, Mohammad Hijji, Muhammad Ayaz, El-Hadi M. Aggoune and Isha Yasin
Bioengineering 2025, 12(10), 1032; https://doi.org/10.3390/bioengineering12101032 - 26 Sep 2025
Abstract
Depression relapse is a common issue during long-term care. We introduce a privacy-aware explainable personalized federated learning (PFL) framework that incorporates layer-wise relevance propagation and Shapley value analysis to provide patient-specific interpretable predictions from EEG. The study is conducted with the publicly available [...] Read more.
Depression relapse is a common issue during long-term care. We introduce a privacy-aware explainable personalized federated learning (PFL) framework that incorporates layer-wise relevance propagation and Shapley value analysis to provide patient-specific interpretable predictions from EEG. The study is conducted with the publicly available Healthy Brain Network (HBN) dataset, with analysis conducted for n = 100 subjects with resting-state 128-channel EEG with accompanying psychometric scores, and subject-wise 10-fold cross-validation is used to assess the performance of the model. Multi-channel EEG features and standardized symptom scales are jointly modeled to both increase the clinical context of the model and avoid leakage issues. This results in overall accuracy, precision, recall, and F1-score values of 92%, 91%, 93%, and 90.5%, respectively. The attribution maps from the model suggest region-anchored spectral patterns that are associated with relapse risk, providing clinical interpretability, and the federated setup of the model allows for a privacy-aware training setup that is more easily adaptable to multi-site deployment. Together, these results suggest a scalable and clinically feasible approach to trustworthy relapse monitoring with earlier intervention. Full article
Show Figures

Figure 1

23 pages, 1450 KB  
Review
Bacterial Systematic Genetics and Integrated Multi-Omics: Beyond Static Genomics Toward Predictive Models
by Tatsuya Sakaguchi, Yuta Irifune, Rui Kamada and Kazuyasu Sakaguchi
Int. J. Mol. Sci. 2025, 26(19), 9326; https://doi.org/10.3390/ijms26199326 - 24 Sep 2025
Viewed by 44
Abstract
The field of bacterial systems biology is rapidly advancing beyond static genomic analyses, and moving toward dynamic, integrative approaches that connect genetic variation with cellular function. This review traces the progression from genome-wide association studies (GWAS) to multi-omics frameworks that incorporate transcriptomics, proteomics, [...] Read more.
The field of bacterial systems biology is rapidly advancing beyond static genomic analyses, and moving toward dynamic, integrative approaches that connect genetic variation with cellular function. This review traces the progression from genome-wide association studies (GWAS) to multi-omics frameworks that incorporate transcriptomics, proteomics, and interactome mapping. We emphasize recent breakthroughs in high-resolution transcriptomics, including single-cell, spatial, and epitranscriptomic technologies, which uncover functional heterogeneity and regulatory complexity in bacterial populations. At the same time, innovations in proteomics, such as data-independent acquisition (DIA) and single-bacterium proteomics, provide quantitative insights into protein-level mechanisms. Experimental and AI-assisted strategies for mapping protein–protein interactions help to clarify the architecture of bacterial molecular networks. The integration of these omics layers through quantitative trait locus (QTL) analysis establishes mechanistic links between single-nucleotide polymorphisms and systems-level phenotypes. Despite persistent challenges such as bacterial clonality and genomic plasticity, emerging tools, including deep mutational scanning, microfluidics, high-throughput genome editing, and machine-learning approaches, are enhancing the resolution and scope of bacterial genetics. By synthesizing these advances, we describe a transformative trajectory toward predictive, systems-level models of bacterial life. This perspective opens new opportunities in antimicrobial discovery, microbial engineering, and ecological research. Full article
(This article belongs to the Special Issue Benchmarking of Modeling and Informatic Methods in Molecular Sciences)
Show Figures

Figure 1

18 pages, 3331 KB  
Article
DeepFocusNet: An Attention-Augmented Deep Neural Framework for Robust Colorectal Cancer Classification in Whole-Slide Histology Images
by Shah Md Aftab Uddin, Muhammad Yaseen, Md Kamran Hussain Chowdhury, Rubina Akter Rabeya, Shah Muhammad Imtiyaj Uddin and Hee-Cheol Kim
Electronics 2025, 14(18), 3731; https://doi.org/10.3390/electronics14183731 - 21 Sep 2025
Viewed by 310
Abstract
A major cause of cancer-related mortality globally is colorectal cancer, which emphasises the critical need for state-of-the-art diagnostic tools for early identification and categorisation. We use deep learning methodology to classify colorectal cancer histology images into eight different categories automatically. To improve classification [...] Read more.
A major cause of cancer-related mortality globally is colorectal cancer, which emphasises the critical need for state-of-the-art diagnostic tools for early identification and categorisation. We use deep learning methodology to classify colorectal cancer histology images into eight different categories automatically. To improve classification accuracy and maximise feature extraction, we create a DeepFocusNet architecture with attention approaches using a dataset of 5000 high-resolution (150 × 150) histological images. To improve model generalisation, we combine data augmentation, fine-tuning, and freezing early layers into our progressive training approach. Additionally, we create full-scale images using heatmaps and multi-class overlays after breaking up large-scale histology images (5000 × 5000) into smaller windows for classification using a special tiling technique. Attention mechanisms are added to improve the model’s performance and interpretability, as they are proven to focus on the most important histopathological traits. The model provides pathologists with high-resolution probability maps that aid in precise and speedy patient identification. The robustness of our methodology is demonstrated by empirical findings, opening the door for clinical applications of AI-driven histopathological investigation. Pathologists can receive precise and efficient diagnostic support from the final system thanks to its high-resolution probability maps and 97% classification accuracy. Empirical results provide evidence of our methodology’s robustness and show its potential for real-world clinical applications in AI-assisted histopathology. Full article
Show Figures

Figure 1

34 pages, 1833 KB  
Article
AI Ecosystem and Value Chain: A Multi-Layered Framework for Analyzing Supply, Value Creation, and Delivery Mechanisms
by Robert Kerwin C. Billones, Dan Arris S. Lauresta, Jeffrey T. Dellosa, Yang Bong, Lampros K. Stergioulas and Sharina Yunus
Technologies 2025, 13(9), 421; https://doi.org/10.3390/technologies13090421 - 19 Sep 2025
Viewed by 647
Abstract
Despite the rapid adoption of artificial intelligence (AI) on a global scale, a comprehensive framework that maps its end-to-end value chain is missing. The presented study employed a multi-layered framework to analyze the value creation and delivery mechanism of the five core layers [...] Read more.
Despite the rapid adoption of artificial intelligence (AI) on a global scale, a comprehensive framework that maps its end-to-end value chain is missing. The presented study employed a multi-layered framework to analyze the value creation and delivery mechanism of the five core layers of an AI value chain, including (1) hardware, (2) data management, (3) foundational AI, (4) advanced AI capabilities, and (5) AI delivery. Using a qualitative–descriptive approach with a multi-faceted thematic analysis and a SWOT-based bottleneck analysis of each core layer, the study maps a sequential value flow from a globally dependent hardware foundation to the deployment of AI services. The analysis reveals that international knowledge flows shape the ecosystem, while the “last-mile” integration challenge is not merely a technical issue; instead, it highlights a significant socio-technical disconnect between technological advancements and the preparedness of the workforce. This study provides a holistic framework that frames the AI value chain as a socio-technical system, offering critical insights for stakeholders. The findings emphasize that unlocking AI’s full potential requires strategic investment in the managerial competencies and digital skills that constitute human–capital readiness. Full article
(This article belongs to the Section Information and Communication Technologies)
Show Figures

Figure 1

Back to TopTop