Sign in to use this feature.

Years

Between: -

Subjects

remove_circle_outline
remove_circle_outline
remove_circle_outline
remove_circle_outline
remove_circle_outline
remove_circle_outline
remove_circle_outline
remove_circle_outline
remove_circle_outline

Journals

remove_circle_outline
remove_circle_outline
remove_circle_outline
remove_circle_outline
remove_circle_outline
remove_circle_outline

Article Types

Countries / Regions

remove_circle_outline
remove_circle_outline
remove_circle_outline
remove_circle_outline
remove_circle_outline

Search Results (518)

Search Parameters:
Keywords = moving targets imaging

Order results
Result details
Results per page
Select all
Export citation of selected articles as:
18 pages, 776 KB  
Review
Transcranial Alternating Current Stimulation for Pain: Mixed Evidence and the Path to Precision Neuromodulation
by Yaser Fathi, Amin Dehghani, David M. Gantz, Giulia Liberati and Tor D. Wager
Brain Sci. 2026, 16(2), 152; https://doi.org/10.3390/brainsci16020152 - 29 Jan 2026
Abstract
Neural oscillations are fundamental to the integration of sensory, affective, and cognitive processes that contribute to pain perception. Transcranial alternating current stimulation (tACS) provides a valuable tool for investigating and modulating these oscillatory dynamics. In this review, we examine the effects of tACS [...] Read more.
Neural oscillations are fundamental to the integration of sensory, affective, and cognitive processes that contribute to pain perception. Transcranial alternating current stimulation (tACS) provides a valuable tool for investigating and modulating these oscillatory dynamics. In this review, we examine the effects of tACS on pain perception and pain-related oscillations in both healthy participants and individuals with chronic pain, highlighting methodological variability and mechanistic uncertainties that may contribute to mixed findings. We identified 14 studies, including 9 studies of experimental pain in healthy individuals and 5 of clinical pain disorders, comparing tACS to sham. Somatosensory alpha was the most frequently targeted oscillatory feature. Results varied considerably. Several studies reported reductions in pain, increases in alpha power, or changes in sensorimotor and prefrontal connectivity, but others showed no meaningful neural or behavioral effects. Out of the 14 studies, 6 demonstrated analgesic benefits and 2 showed improvements only under specific conditions or within subgroups, for a total of 8/14 studies with positive findings. Possible sources of heterogeneity include variation in stimulation duration, electrode montage, frequency alignment with individual rhythms, contextual state, and anatomical and neurophysiological differences across individuals. Pre-registered studies with sufficient power are needed to replicate effects within the most promising intervention protocols to establish a foundation in the field. We also recommend inclusion of brain imaging or electrophysiological recordings to verify whether stimulation effectively modulates the targeted neural oscillations. Finally, recent methodological advances, including phase-specific tACS, amplitude-modulated tACS, and individualized electric-field modeling, offer new opportunities to enhance mechanistic precision and clinical applicability. We argue that by integrating these approaches, future research can move beyond fixed, one-size-fits-all protocols toward personalized, state-dependent, closed-loop tACS approaches. Exploring these frontiers will transform tACS from an exploratory tool into a reliable intervention for pain. Full article
(This article belongs to the Special Issue Neuromodulation for Pain Management: Evidence of Safety and Efficacy)
Show Figures

Figure 1

21 pages, 1757 KB  
Article
A Deep Learning Approach for Boat Detection in the Venice Lagoon
by Akbar Hossain Kanan, Michele Vittorio and Carlo Giupponi
Remote Sens. 2026, 18(3), 421; https://doi.org/10.3390/rs18030421 - 28 Jan 2026
Abstract
The Venice lagoon is the largest in the Mediterranean Sea. The historic city of Venice, located on a cluster of islands in the centre of this lagoon, is an enchanting and iconic destination for national and international tourists. The historical centre of Venice [...] Read more.
The Venice lagoon is the largest in the Mediterranean Sea. The historic city of Venice, located on a cluster of islands in the centre of this lagoon, is an enchanting and iconic destination for national and international tourists. The historical centre of Venice and the other islands of the lagoon, such as Burano, Murano and Torcello, attract crowds of tourists every year. Transportation is provided by boats navigating the lagoon along a network of canals. The lagoon itself attracts visitors who enjoy various outdoor recreational activities in the open air, such as fishing and sunbathing. While statistics are available for the activities targeting the islands, no information is currently available on the spatio-temporal distribution of recreational activities across the lagoon waters. This study explores the feasibility of using Sentinel-2 satellite images to assess and map the spatio-temporal distribution of boats in the Venice Lagoon. Cloud-free Level-2A images have been selected to study seasonal (summer vs. winter) and weekly (weekends vs. weekdays) variabilities in 2023, 2024, and 2025. The RGB threshold filtering and the U-Net Semantic Segmentation were applied to the Sentinel-2 images to ensure reliable results. Two spatial indices were produced: (i) a Water Recreation Index (WRI), identifying standing boats in areas attractive for recreation; and (ii) a Water Transportation Index (WTI), mapping moving boats along the canals. Multi-temporal WRI maps allow areas with recurring recreational activities—that are significantly higher in the summer compared to winter, and on weekends compared to other weekdays—to be identified. The WTI identifies canal paths with higher traffic intensity with seasonal and weekly variations. The latter should be targeted by measures for traffic control to limit wave induced erosion, while the first could be subject to protection or development strategies. Full article
Show Figures

Figure 1

26 pages, 13407 KB  
Article
Wake-Independent Velocity Estimation and Motion Compensation for SAR Moving Target Based on Time–Frequency Analysis
by Chun Wen, Yunhua Wang, Yanmin Zhang, Honglei Zheng, Daozhong Sun, Qian Li and Fei Chen
Sensors 2026, 26(3), 832; https://doi.org/10.3390/s26030832 - 27 Jan 2026
Viewed by 42
Abstract
Imaging moving targets in synthetic aperture radar (SAR) remains a significant challenge due to the defocusing and azimuthal displacement caused by target motion. To address this, this paper proposes a velocity estimation and motion compensation technique to mitigate the impact of moving targets [...] Read more.
Imaging moving targets in synthetic aperture radar (SAR) remains a significant challenge due to the defocusing and azimuthal displacement caused by target motion. To address this, this paper proposes a velocity estimation and motion compensation technique to mitigate the impact of moving targets on SAR imaging quality. The core innovation of this study lies in a wake-independent method for determining the radar beam center crossing time. Unlike traditional approaches that rely on wake features, our proposed method determines the crossing time by detecting the abrupt change in echo intensity along the time axis (i.e., the azimuth direction) of the time–frequency spectrum. Using this estimated timing, the target’s radial and azimuthal velocities are estimated. Subsequently, using the estimated velocity, the motion compensation of the moving target echoes is carried out through phase correction. Due to the difficulty in obtaining AIS data strictly synchronized with real SAR acquisitions, simulation data are initially utilized to verify the proposed method. The simulation results of moving ships with different velocities under three incidence angles demonstrate that the estimated errors of the radar radial and the azimuthal velocities generally remain below 0.1 m/s (2% relative error) and 0.5 m/s (5% relative error), respectively. Furthermore, after motion compensation, the azimuthal displacement caused by radial velocity is effectively corrected, restoring targets to their actual positions. Finally, the Level-0 raw data of ships acquired by Sentinel-1 SAR are applied to further verify the effectiveness of the method proposed in this paper. Full article
(This article belongs to the Section Radar Sensors)
Show Figures

Figure 1

22 pages, 3857 KB  
Article
Trajectory Association for Moving Targets of GNSS-S Radar Based on Statistical and Polarimetric Characteristics Under Low SNR Conditions
by Jiayi Yan, Fuzhan Yue, Zhenghuan Xia, Shichao Jin, Xin Liu, Chuang Zhang, Kang Xing, Zhiying Cui, Zhilong Zhao, Zongqiang Liu, Lichang Duan and Yue Pang
Remote Sens. 2026, 18(2), 367; https://doi.org/10.3390/rs18020367 - 21 Jan 2026
Viewed by 87
Abstract
The Global Navigation Satellite System-Scattering (GNSS-S) radar has a wide coverage and strong concealment, enabling large-scale and long-term monitoring of sea surface targets. However, its signal power is extremely low and susceptible to sea clutter interference. To address the challenge of detecting and [...] Read more.
The Global Navigation Satellite System-Scattering (GNSS-S) radar has a wide coverage and strong concealment, enabling large-scale and long-term monitoring of sea surface targets. However, its signal power is extremely low and susceptible to sea clutter interference. To address the challenge of detecting and tracking moving targets in complex maritime environments using low-resolution radar, this paper proposes a method for extracting moving target trajectories from GNSS-S radar under low signal-to-noise ratio (SNR) conditions. The method constructs a feature plane consisting of statistical and polarization characteristics, based on the unique distribution of different motion targets in this plane, the distinction between sea clutter and multi-motion targets is carried out using machine learning algorithms, and finally the trajectory association of the targets is achieved by the Kalman filter, and the tracking correctness can reach more than 93.89%. Compared with the tracking method based on high-resolution imaging targets, this technique does not require complex imaging operations, and only requires certain processing on the radar echo, which has the advantages of easy operation and high reliability. Full article
Show Figures

Figure 1

27 pages, 27172 KB  
Article
Shadow Spatiotemporal Track-Before-Detect Approach for Distributed UAV-Borne Video SAR
by Liwu Wen, Ming Ke, Ming Jiang, Jinshan Ding and Xuejun Huang
Remote Sens. 2026, 18(2), 343; https://doi.org/10.3390/rs18020343 - 20 Jan 2026
Viewed by 285
Abstract
Shadow detection has become a key technology for ground-based moving target indication in video synthetic aperture radar (SAR). However, single-platform video SAR faces the issue of moving-target shadows being occluded. This paper proposes a new dynamic programming-based spatiotemporal track-before-detect (DP-ST-TBD) algorithm for moving-target [...] Read more.
Shadow detection has become a key technology for ground-based moving target indication in video synthetic aperture radar (SAR). However, single-platform video SAR faces the issue of moving-target shadows being occluded. This paper proposes a new dynamic programming-based spatiotemporal track-before-detect (DP-ST-TBD) algorithm for moving-target shadow indication based on a distributed unmanned aerial vehicle (UAV)-borne video SAR system. First, this approach establishes a spatiotemporal cooperative shadow detection model, which extends the temporal accumulation of traditional DP-TBD to spatiotemporal accumulation by state temporal transition and spatial mapping. Second, an adaptive state transition method is proposed to address the challenge in which the fixed-state transition of traditional DP-TBD struggles with maneuvering target detection. It utilizes target’s Doppler features from heterogeneous-view range-Doppler (RD) spectra to assist in target’s shadow search within the image domain. Finally, a state shrinking–sparseness strategy is used to reduce the computational burden caused by dense states in spatiotemporal search; thus, multi-platform, multi-frame accumulation of moving-target shadows can be realized based on sparse states. The comparative experiments demonstrate that the proposed DP-ST-TBD improves shadow-detection performance through heterogeneous-view measurements while reducing the required number of frames for reliable detection compared to the conventional two-step detection method (single-platform shadow detection followed by multi-platform track fusion). Full article
Show Figures

Figure 1

12 pages, 6655 KB  
Article
Initial Experience with Correlation Object–Based DRR Targeting Using Stereoscopic X-Ray Imaging in Lung SBRT
by Marlies Boussaer, Cristina Teixeira, Kajetan Berlinger, Selma Ben Mustapha, Anne-Sophie Bom, Sven Van Laere, Mark De Ridder and Thierry Gevaert
Cancers 2026, 18(2), 316; https://doi.org/10.3390/cancers18020316 - 20 Jan 2026
Viewed by 150
Abstract
Background/Objectives: Despite significant advances in imaging technology, real-time intra-fraction monitoring of moving targets remains a challenge in markerless radiotherapy. This retrospective study investigates the use of ExacTrac Dynamic by Brainlab as an intra-fraction monitoring tool for stereotactic body radiotherapy (SBRT) in both early-stage [...] Read more.
Background/Objectives: Despite significant advances in imaging technology, real-time intra-fraction monitoring of moving targets remains a challenge in markerless radiotherapy. This retrospective study investigates the use of ExacTrac Dynamic by Brainlab as an intra-fraction monitoring tool for stereotactic body radiotherapy (SBRT) in both early-stage NSCLC and oligometastatic disease. Methods: A total of 63 X-ray pairs from 21 patients were analyzed to evaluate tumor visualization with and without a surrogate approach. Statistical analysis was conducted to determine whether failures could be attributed to tumor size or localization using the Mann–Whitney U-test and Fisher’s exact test. The accuracy of the X-ray/digitally reconstructed radiograph (DRR) surrogate-based fusion was assessed by calculating and comparing the corresponding 3D vectors according to the linear mixed effects model, with a random slope effect for size of surrogate and a random intercept per patient. Results: Surrogates enhanced tumor visualization on X-ray/DRR fusions from 14.3% to 75.5%. Tumor size and lung affected (left or right) did not predict visualization success. Tumor location, however, tended to influence visibility, with lesions in the upper lobes being more readily visualized (88%) than those in the lower lobes (48.1%), although no statistical significance was reported (p > 0.05). Regarding geometric accuracy, 76% of the analyzed data points deviated less than 5 mm in the 3D vector measurements, the mean values were around 4 mm (±3 mm), and the medians were within 3 mm across all conditions. No statistically significant differences (p > 0.05) were found based on the surrogate size or the triggering time of the X-ray during the breathing cycle. Conclusions: Surrogate-based DRRs, referred to as Correlation Objects, demonstrate consistent geometric accuracy across multiple surrogate sizes and X-ray acquisitions, supporting the clinical translation of markerless lung targeting workflows for lung SBRT. Full article
(This article belongs to the Special Issue Advances in Thoracic Oncology Research)
Show Figures

Figure 1

16 pages, 2516 KB  
Article
A Novel Lightweight Deep Learning Model for Boar Sperm Head Detection in Microscopic Images: YOLO11_SRP
by Mingchao Pan, Lin Gao, Zhendong Zhu, Yingqi Li and Mingkang Gao
Animals 2026, 16(2), 258; https://doi.org/10.3390/ani16020258 - 15 Jan 2026
Viewed by 197
Abstract
Accurate and quantitative detection of boar sperm heads is essential for breeding selection and reproductive management. Manual microscopic counting is time-consuming, labor-intensive, and prone to subjective bias, while existing computer-based algorithms often struggle to recognize sperm cells accurately when they overlap or move [...] Read more.
Accurate and quantitative detection of boar sperm heads is essential for breeding selection and reproductive management. Manual microscopic counting is time-consuming, labor-intensive, and prone to subjective bias, while existing computer-based algorithms often struggle to recognize sperm cells accurately when they overlap or move rapidly in high-magnification microscopic images. This study proposes a lightweight boar sperm detection model, YOLO11_SRP, designed to improve small-object recognition in complex microscopic scenarios. The model integrates a lightweight StarNet backbone, a rectangular self-calibration module for enhanced spatial feature modeling, and an additional low-level detection layer optimized for tiny targets. We evaluated the model on a boar sperm microscopic image dataset and compared it with the standard YOLO11s framework. The results show that YOLO11_SRP achieves an mAP@0.5 of 91.9%, representing a 13.9% improvement over YOLO11s, while simultaneously reducing parameters by 39% and computational cost by 14.1%. These findings demonstrate that YOLO11_SRP provides efficient and accurate sperm detection, supporting the development of efficient and reliable automated sperm analysis pipelines, in which sperm head detection serves as a fundamental preprocessing step. Full article
Show Figures

Figure 1

15 pages, 2396 KB  
Article
A Study on Perception Differences in Sustainable Non-Motorized Transportation Assessment Based on Female Perspectives and Machine Scoring: A Case Study of Changsha
by Ziyun Ye, Jiawei Zhu, Yaming Ren and Jiachuan Wang
Sustainability 2026, 18(2), 810; https://doi.org/10.3390/su18020810 - 13 Jan 2026
Viewed by 268
Abstract
Against the backdrop of rising global carbon emissions, promoting active transportation modes such as walking and cycling has become a key strategy for countries worldwide to meet carbon reduction targets and advance the goals of sustainable development. In China, the concept of low-carbon [...] Read more.
Against the backdrop of rising global carbon emissions, promoting active transportation modes such as walking and cycling has become a key strategy for countries worldwide to meet carbon reduction targets and advance the goals of sustainable development. In China, the concept of low-carbon mobility has gained rapid traction, leading to a significant increase in public demand for non-motorized travel options like walking and cycling. From the perspective of inclusive urban development, gender imbalances in sample representation during design and evaluation processes have contributed to homogenization and a lack of diversity in urban slow-traffic environments. To address this issue, this study adopts a problem-oriented approach. First, we collect street scene images of slow-traffic environments through self-conducted field surveys. Concurrently, we gather satisfaction survey responses from 511 urban residents regarding existing slow-traffic streets, identifying three key environmental evaluation indicators: safety, liveliness, and beauty. Second, an experimental analysis is conducted to compare machine-generated assessments based on self-collected street view data with manual evaluations performed by 27 female participants. The findings reveal significant perceptual differences between genders in the assessment of slow-moving environments, particularly regarding attention to environmental elements, challenges in utilizing non-motorized lanes, and overall environmental satisfaction. Moreover, notable discrepancies are observed between machine scores and manual assessments performed by women. Based on these findings, this study investigates the underlying causes of such perceptual disparities and the mechanisms influencing them. Finally, it proposes female-inclusive strategies aimed at enhancing the quality of slow-traffic environments, thereby addressing the current absence of gender considerations in their design. This research seeks to provide a robust female perspective and empirical evidence to support improvements in the quality of slow-moving environments and to inform strategic advancements in their design. The findings of this study can provide a theoretical and empirical basis for the optimization of gender-inclusive non-motorized transportation environment design, policy formulation, and subsequent interdisciplinary research. Full article
(This article belongs to the Section Environmental Sustainability and Applications)
Show Figures

Figure 1

34 pages, 5602 KB  
Review
Liquid Biopsy in Early Screening of Cancers: Emerging Technologies and New Prospects
by Hanyu Zhu, Zhenyu Li, Kunxin Xie, Sajjaad Hassan Kassim, Cheng Cao, Keyu Huang, Zipeng Lu, Chenshan Ma, Ying Li, Kuirong Jiang and Lingdi Yin
Biomedicines 2026, 14(1), 158; https://doi.org/10.3390/biomedicines14010158 - 12 Jan 2026
Viewed by 513
Abstract
Liquid biopsy is moving beyond mutation-centric assays to multimodal frameworks that integrate cell-free DNA (cfDNA) signals with additional analytes such as circulating tumor cells (CTCs) and extracellular vesicles (EVs). In this review, we summarize emerging technologies across analytes for early cancer detection, emphasizing [...] Read more.
Liquid biopsy is moving beyond mutation-centric assays to multimodal frameworks that integrate cell-free DNA (cfDNA) signals with additional analytes such as circulating tumor cells (CTCs) and extracellular vesicles (EVs). In this review, we summarize emerging technologies across analytes for early cancer detection, emphasizing sequencing and error-suppression strategies and the growing evidence for multi-cancer early detection (MCED), tissue-of-origin (TOO) inference, diagnostic triage, and longitudinal surveillance. At low tumor fractions, fragmentomic and methylation features preserve tissue and chromatin context; when combined with radiomics using deep learning, they support blood-first, high-specificity risk stratification, increase positive predictive value (PPV), reduce unnecessary procedures, and enhance early prediction of treatment response and relapse. Building on these findings, we propose a pathway-aware workflow: initial blood-based risk scoring, followed by organ-directed imaging, and targeted secondary testing when indicated. We further recommend that model reports include not only discrimination metrics but also calibration, decision-curve analysis, PPV/negative predictive value (NPV) at fixed specificity, and TOO accuracy, alongside multi-site external validation and blinded dataset splits to improve generalizability. Overall, liquid biopsy is transitioning from signal discovery to deployable multimodal decision systems; standardized pre-analytical and analytical workflows, robust error suppression, and prospective real-world evaluations will be pivotal for clinical implementation. Full article
(This article belongs to the Special Issue Emerging Technologies in Liquid Biopsy of Cancers)
Show Figures

Graphical abstract

25 pages, 905 KB  
Review
Advances in Near-Infrared BODIPY Photosensitizers: Design Strategies and Applications in Photodynamic and Photothermal Therapy
by Dorota Bartusik-Aebisher, Kacper Rogóż, Gabriela Henrykowska and David Aebisher
Pharmaceuticals 2026, 19(1), 53; https://doi.org/10.3390/ph19010053 - 26 Dec 2025
Viewed by 492
Abstract
Background/Objectives: Boron-dipyrromethene (BODIPY) derivatives are a superior class of fluorophores prized for their exceptional photostability and tunable photophysical properties. While ideal for imaging, their translation to photodynamic therapy (PDT) has been hampered by excitation in the visible range, leading to poor tissue penetration. [...] Read more.
Background/Objectives: Boron-dipyrromethene (BODIPY) derivatives are a superior class of fluorophores prized for their exceptional photostability and tunable photophysical properties. While ideal for imaging, their translation to photodynamic therapy (PDT) has been hampered by excitation in the visible range, leading to poor tissue penetration. To overcome this, intense research has focused on developing near-infrared (NIR)-absorbing BODIPY photosensitizers (PS). This review aims to systematically summarize the hierarchical design strategies, from molecular engineering to advanced nanoplatform construction, that underpin the recent progress of NIR-BODIPY PS in therapeutic applications. Methods: We conducted a comprehensive literature review using PubMed, Scopus, and Web of Science databases. The search focused on keywords such as “BODIPY”, “aza-BODIPY”, “near-infrared”, “photodynamic therapy”, “photothermal therapy”, “nanocarriers”, “hypoxia”, “immuno-phototherapy”, and “antibacterial.” This review analyzes key studies describing molecular design, chemical modification strategies (e.g., heavy-atom effect, π-extension), nanoplatform formulation, and therapeutic applications in vitro and in vivo. Results: Our analysis reveals a clear progression in design complexity. At the molecular level, we summarize strategies to enhance selectivity, including active targeting, designing “smart” PS responsive to the tumor microenvironment (TME) (e.g., hypoxia or low pH), and precise subcellular localization (e.g., mitochondria, lysosomes). We then detail the core chemical strategies for achieving NIR absorption and high singlet oxygen yield, including π-extension, the internal heavy-atom effect, and heavy-atom-free mechanisms (e.g., dimerization). The main body of the review categorizes the evolution of advanced theranostic nanoplatforms, including targeted systems, stimuli-responsive ‘smart’ systems, photo-immunotherapy (PIT) platforms inducing immunogenic cell death (ICD), hypoxia-overcoming systems, and synergistic chemo-phototherapy carriers. Finally, we highlight emerging applications beyond oncology, focusing on the use of NIR-BODIPY PS for antibacterial therapy and biofilm eradication. Conclusions: NIR-BODIPY photosensitizers are a highly versatile and powerful class of theranostic agents. The field is rapidly moving from simple molecules to sophisticated, multifunctional nanoplatforms designed to overcome key clinical hurdles like hypoxia, poor selectivity, and drug resistance. While challenges in scalability and clinical translation remain, the rational design strategies and expanding applications, including in infectious diseases, confirm that NIR-BODIPY derivatives will be foundational to the next generation of precision photomedicine. Full article
Show Figures

Figure 1

16 pages, 2958 KB  
Article
Analysis of Image Domain Characteristics of Maritime Rotating Ships for Spaceborne Multichannel SAR
by Yongkang Li, Cuiqian Cao and Hao Li
Remote Sens. 2026, 18(1), 41; https://doi.org/10.3390/rs18010041 - 23 Dec 2025
Viewed by 209
Abstract
Ship targets are usually high-value targets, and synthetic aperture radar (SAR) moving ship indication is of great importance in maritime traffic monitoring. However, due to the motion of the ocean, maritime ships may have rotational motion in addition to the conventional translational motion. [...] Read more.
Ship targets are usually high-value targets, and synthetic aperture radar (SAR) moving ship indication is of great importance in maritime traffic monitoring. However, due to the motion of the ocean, maritime ships may have rotational motion in addition to the conventional translational motion. The rotational motion, including the yaw, pitch, and roll, will cause the signal characteristics of the ship to become very complex, which increases the difficulty of designing moving target indication methods. This paper studies the effect of each rotation motion on the ship’s signal characteristics in image domain for spaceborne multichannel SAR. Firstly, the range equation of an arbitrary scatterer on the ship with both rotational and translational motions is developed. Then, the influences of each rotation motion on the coefficients of the range equation and the scatterer’s along-track interferometric (ATI) phase are revealed. Finally, numerical experiments are conducted to investigate the effect of each rotation motion on the scatterer’s azimuth position shift, azimuth defocusing, azimuth sidelobe symmetry, and ATI phase, which are important parameters for moving target indication. Full article
Show Figures

Figure 1

21 pages, 1251 KB  
Review
Gold Nanoparticles in Biomedical Applications: Synthesis, Functionalization, and Recent Advances
by Massa Zahdeh and Rafik Karaman
Molecules 2026, 31(1), 17; https://doi.org/10.3390/molecules31010017 - 20 Dec 2025
Viewed by 1008
Abstract
Background: Gold nanoparticles (AuNPs) are metallic nanoparticles with strong biomedical potential and have FDA approval. Their nanoscale size, optical tunability, and biocompatibility allow them to be used for tumor-targeted delivery, photothermal therapy, imaging contrast, radiosensitization, gene transfection, biosensing, personalized medicine and AI-supported healthcare [...] Read more.
Background: Gold nanoparticles (AuNPs) are metallic nanoparticles with strong biomedical potential and have FDA approval. Their nanoscale size, optical tunability, and biocompatibility allow them to be used for tumor-targeted delivery, photothermal therapy, imaging contrast, radiosensitization, gene transfection, biosensing, personalized medicine and AI-supported healthcare solutions. These properties made AuNPs a game-changing tool in nanomedicine. Methods: Google Scholar, PubMed, Scopus and ScienceDirect were used to search the literature with keywords related to gold nanoparticles, synthesis, functionalization and advanced applications in biomedicine. The search mainly focused on studies published between 2018–2025, and older landmark papers were only included when needed to describe classical synthesis. Results: Standard AuNP synthesis and functionalization approaches were compared with advanced methods such as green synthesis, microfluidic synthesis, polymer functionalization and AI-supported synthesis optimization. AuNPs moved from traditional drug administration and basic diagnostics into multiplex imaging, targeted therapy, hybrid theranostics, spectral CT imaging, gene delivery and CRISPR-related applications. Conclusions: This review demonstrates the evolution of AuNPs in biomedicine from traditional nanoparticles to sophisticated multifunctional nanosystems. To the best of our knowledge, this is the first assessment that explicitly contrasts sophisticated AuNP techniques with conventional procedures in biomedical applications. Full article
Show Figures

Graphical abstract

27 pages, 3323 KB  
Article
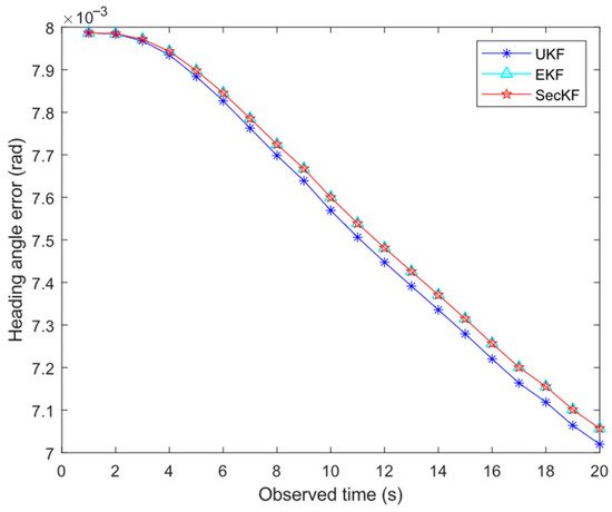
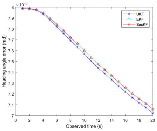
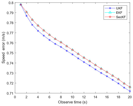
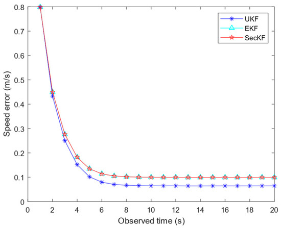
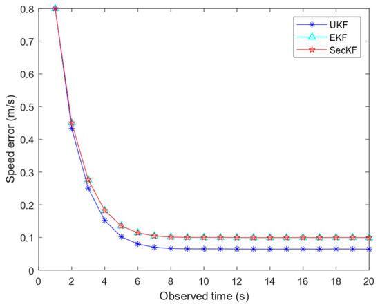
Secant-Improved State Estimation Method for Moving Target Tracking Under Video Satellite
by Xiangru Bai, Haibo Song, Caizhi Fan, Jinxiao Zhang and Hexiang Huang
Aerospace 2025, 12(12), 1109; https://doi.org/10.3390/aerospace12121109 - 15 Dec 2025
Viewed by 237
Abstract
A video satellite has continuous imaging capabilities, which grants it great potential for tracking and monitoring moving targets. The Extended Kalman Filter (EKF) and Unscented Kalman Filter (UKF) are commonly used in the above process. However, the accuracy of EKF estimation is low, [...] Read more.
A video satellite has continuous imaging capabilities, which grants it great potential for tracking and monitoring moving targets. The Extended Kalman Filter (EKF) and Unscented Kalman Filter (UKF) are commonly used in the above process. However, the accuracy of EKF estimation is low, and the computational complexity of UKF estimation is high. To address the contradiction between estimation accuracy and real-time performance in mobile-target state estimation, in this paper, we propose a new Kalman Filter with a secant-approximating nonlinear function. Firstly, the truncation error mechanism in the EKF is analysed here to illustrate the limitation of the EKF in approximating the nonlinear function. Then, the paper recommended a secant method to approximate the nonlinear function, which improved fitting accuracy without excessively increasing computational complexity. In order to improve the robustness of the proposed method, an adaptive selection strategy for correction elements is designed based on the advantageous range of secant approximation. The simulation results show that, in conventional ship motion scenarios, the computational accuracy is comparable to that of the EKF. In constant-power acceleration scenarios, the target positioning accuracy was 28.6% better than that of the EKF, and the computational speed was an order of magnitude greater than that of the UKF. Full article
(This article belongs to the Section Astronautics & Space Science)
Show Figures

Figure 1

21 pages, 6510 KB  
Article
A Six-Tap iToF Imager with Wide Signal Intensity Range Using Linearization of Linear–Logarithmic Response
by Tomohiro Okuyama, Haruya Sugimura, Gabriel Alcade, Seiya Ageishi, Hyeun Woo Kwen, De Xing Lioe, Kamel Mars, Keita Yasutomi, Keiichiro Kagawa and Shoji Kawahito
Sensors 2025, 25(24), 7551; https://doi.org/10.3390/s25247551 - 12 Dec 2025
Viewed by 401
Abstract
Time-of-flight (ToF) image sensors must operate across a wide span of reflected-light intensities, from weak diffuse reflections to extremely strong retroreflections. We present a signal-intensity range-extension technique that linearizes the linear–logarithmic (Lin–Log) pixel response for short-pulse multi-tap indirect ToF (iToF) sensors. Per-pixel two-region [...] Read more.
Time-of-flight (ToF) image sensors must operate across a wide span of reflected-light intensities, from weak diffuse reflections to extremely strong retroreflections. We present a signal-intensity range-extension technique that linearizes the linear–logarithmic (Lin–Log) pixel response for short-pulse multi-tap indirect ToF (iToF) sensors. Per-pixel two-region (2R) and three-region (3R) models covering the linear, transition, and logarithmic regimes are derived and used to recover a near-linear signal. Compared with a two-region approach that does not linearize the transition region, the 3R method substantially improves linearity near the knee point if extremely high linearity is required. Experiments with a six-tap iToF imager validate the approach. Depth imaging shows that linearization with common parameters reduces average error but leaves pixel-wise deviations, whereas pixel-wise 3R linearization yields accurate and stable results. Range measurements with a retroreflective target moved from 1.8–13.0 m in 0.20 m steps and achieved centimeter-level resolution and reduced the linearity-error bound from ±6.7%FS to ±1.5%FS. Residual periodic deviations are attributed to small pulse-width mismatches between the illumination and demodulation gates. These results demonstrate that Lin–Log pixels, combined with pixel-wise three-region linearization, enable robust ToF sensing over an extended dynamic range suitable for practical environments with large reflectance variations. Full article
(This article belongs to the Special Issue Recent Advances in CMOS Image Sensor)
Show Figures

Figure 1

18 pages, 21815 KB  
Article
Monocular Curb Edge Detection via Robust Geometric Correspondences
by Norbert Marko, Zoltan Rozsa, Aron Ballagi and Tamas Sziranyi
Appl. Sci. 2025, 15(24), 12922; https://doi.org/10.3390/app152412922 - 8 Dec 2025
Viewed by 269
Abstract
Advanced driver-assistance and autonomous systems require perception that is both robust and affordable. Monocular cameras are promising due to their ubiquity and low cost, yet detecting abrupt road surface irregularities such as curbs and bumps remains challenging. These sudden road gradient changes are [...] Read more.
Advanced driver-assistance and autonomous systems require perception that is both robust and affordable. Monocular cameras are promising due to their ubiquity and low cost, yet detecting abrupt road surface irregularities such as curbs and bumps remains challenging. These sudden road gradient changes are often only a few centimeters high, making them difficult to detect and resolve from a single moving camera. We hypothesize that stable image-based homography, derived from robust geometric correspondences, is a viable method for predicting sudden road surface gradient changes. To this end, we propose a monocular, geometry-driven pipeline that combines transformer-based feature matching, homography decomposition, temporal filtering, and late-stage IMU fusion. In addition, we introduce a dedicated dataset with synchronized camera and ground-truth measurements for reproducible evaluation under diverse urban conditions. We conduct a targeted feasibility study on six scenarios specifically recorded for small, safety-relevant discontinuities (four curb approaches, two speed bumps). Homography-based cues provide reliable early signatures for curbs (3/4 curb sequences detected at a 5 cm threshold). These results establish feasibility for monocular, geometric curb detection and motivate larger-scale validation. The code and the collected data will be made publicly available. Full article
(This article belongs to the Special Issue Sustainable Mobility and Transportation (SMTS 2025))
Show Figures

Figure 1

Back to TopTop