Sign in to use this feature.

Years

Between: -

Subjects

remove_circle_outline
remove_circle_outline
remove_circle_outline
remove_circle_outline
remove_circle_outline
remove_circle_outline
remove_circle_outline

Journals

Article Types

Countries / Regions

Search Results (17)

Search Parameters:
Keywords = monitoring by in-line near-infrared spectroscopy

Order results
Result details
Results per page
Select all
Export citation of selected articles as:
14 pages, 257 KB  
Review
New Developments and Future Challenges of Non-Destructive Near-Infrared Spectroscopy Sensors in the Cheese Industry
by Maria Tarapoulouzi, Wenyang Jia and Anastasios Koidis
Sensors 2026, 26(2), 556; https://doi.org/10.3390/s26020556 - 14 Jan 2026
Viewed by 337
Abstract
Near-infrared (NIR) spectroscopy has emerged as a pivotal non-destructive analytical technique within the cheese industry, offering rapid and precise insights into the chemical composition and quality attributes of various cheese types. This review explores the evolution of NIR spectral sensors, highlighting key technological [...] Read more.
Near-infrared (NIR) spectroscopy has emerged as a pivotal non-destructive analytical technique within the cheese industry, offering rapid and precise insights into the chemical composition and quality attributes of various cheese types. This review explores the evolution of NIR spectral sensors, highlighting key technological advancements and their integration into cheese production processes as well as final products already in markets. In addition, the review discusses challenges such as calibration complexities, the influence of sample heterogeneity and the need for robust data and interpretation models through spectroscopy coupled with AI methods. The future potential of NIR spectral sensors, including real-time in-line monitoring and the development of portable devices for on-site analysis, is also examined. This review aims to provide a critical assessment of current NIR spectral sensors and their impact on the cheese industry, offering insights for researchers and industry professionals aiming to enhance quality control and innovation in cheese production, as well as authenticity and fraud studies. The review concludes that the integration of advanced NIR spectroscopy with AI represents a transformative approach for the cheese industry, enabling more accurate, efficient and sustainable quality assessment practices that can strengthen both production consistency and consumer trust. Full article
34 pages, 8162 KB  
Review
A Comprehensive Review of Non-Destructive Monitoring of Food Freshness and Safety Using NIR Spectroscopy and Biosensors: Challenges and Opportunities
by Nama Yaa Akyea Prempeh, Xorlali Nunekpeku, Felix Y. H. Kutsanedzie, Arul Murugesan and Huanhuan Li
Chemosensors 2025, 13(11), 393; https://doi.org/10.3390/chemosensors13110393 - 10 Nov 2025
Cited by 2 | Viewed by 2488
Abstract
The demand for safe, high-quality, and minimally processed food has intensified interest in non-destructive analytical techniques capable of assessing freshness and safety in real time. Among these, near-infrared (NIR) spectroscopy and biosensors have emerged as leading technologies due to their rapid, reagent-free, and [...] Read more.
The demand for safe, high-quality, and minimally processed food has intensified interest in non-destructive analytical techniques capable of assessing freshness and safety in real time. Among these, near-infrared (NIR) spectroscopy and biosensors have emerged as leading technologies due to their rapid, reagent-free, and sample-preserving nature. NIR spectroscopy offers a holistic assessment of internal compositional changes, while biosensors provide specific and sensitive detection of biological and chemical contaminants. Recent advances in miniaturization, chemometrics, and deep learning have further enhanced their potential for inline and point-of-need applications across diverse food matrices, including meat, seafood, eggs, fruits, and vegetables. This review critically evaluates the operational principles, instrumentation, and current applications of NIR spectroscopy and biosensors in food freshness and safety monitoring. It also explores their integration, highlights practical challenges such as calibration transfer and regulatory hurdles, and outlines emerging innovations including hybrid sensing, Artificial Intelligence (AI) integration, and smart packaging. The scope of this review is to provide a comprehensive understanding of these technologies, and its objective is to inform future research and industrial deployment strategies that support sustainable, real-time food quality control. These techniques enable near real-time monitoring under laboratory and pilot-scale conditions, showing strong potential for industrial adaptation. The nature of these targets often determines the choice of transduction method. Full article
(This article belongs to the Special Issue Chemometrics Tools Used in Chemical Detection and Analysis)
Show Figures

Graphical abstract

12 pages, 1198 KB  
Article
Purslane-Fortified Yogurt: In-Line Process Control by FT-NIR Spectroscopy and Storage Monitoring
by Ayse Burcu Aktas, Silvia Grassi, Claudia Picozzi and Cristina Alamprese
Foods 2025, 14(12), 2053; https://doi.org/10.3390/foods14122053 - 11 Jun 2025
Viewed by 2915
Abstract
Yogurt fortification with purslane (Portulaca oleracea L.) can improve its health benefits, but it may alter the fermentation step and its final properties. Thus, the current study investigated the suitability of Fourier Transform-Near Infrared (FT-NIR) spectroscopy for in-line monitoring of lactic acid [...] Read more.
Yogurt fortification with purslane (Portulaca oleracea L.) can improve its health benefits, but it may alter the fermentation step and its final properties. Thus, the current study investigated the suitability of Fourier Transform-Near Infrared (FT-NIR) spectroscopy for in-line monitoring of lactic acid fermentation of purslane-fortified yogurt compared with fundamental rheology. Changes in the yogurt properties during storage were also assessed. Set-type yogurts without and with lyophilized purslane leaves (0.55%) were produced and stored at 4 °C for up to 18 days. Lactic acid bacteria concentrations before and after fermentation at 43 °C for 2.5 h showed that the presence of purslane did not interfere with bacterial growth. The purslane addition increased the milk viscosity, resulting in a yogurt with complex modulus values higher than those of the reference sample (360 vs. 172 Pa). The elaboration of spectral data with Principal Component Analysis and the Gompertz equation enabled calculation of the kinetic critical points. Applying the Gompertz equation to the rheological data, it was evident that FT-NIR spectroscopy detected earlier the fermentation progression (the critical times were about 18% earlier on average), thus enabling better control of yogurt production. No significant changes in microbial or textural properties were noted during yogurt storage, demonstrating that purslane addition did not affect the product stability. Full article
(This article belongs to the Special Issue Near-Infrared Spectroscopy for the Monitoring of Food Fermentation)
Show Figures

Figure 1

24 pages, 15011 KB  
Article
Process Development for the Continuous Manufacturing of Carbamazepine-Nicotinamide Co-Crystals Utilizing Hot-Melt Extrusion Technology
by Lianghao Huang, Wen Ni, Yaru Jia, Minqing Zhu, Tiantian Yang, Mingchao Yu and Jiaxiang Zhang
Pharmaceutics 2025, 17(5), 568; https://doi.org/10.3390/pharmaceutics17050568 - 25 Apr 2025
Cited by 3 | Viewed by 1524
Abstract
Objectives: Hot-melt extrusion (HME) offers a solvent-free, scalable approach for manufacturing pharmaceutical co-crystals (CCs), aligning with the industry’s shift to continuous manufacturing (CM). However, challenges like undefined yield optimization, insufficient risk management, and limited process analytical technology (PAT) integration hinder its industrial application. [...] Read more.
Objectives: Hot-melt extrusion (HME) offers a solvent-free, scalable approach for manufacturing pharmaceutical co-crystals (CCs), aligning with the industry’s shift to continuous manufacturing (CM). However, challenges like undefined yield optimization, insufficient risk management, and limited process analytical technology (PAT) integration hinder its industrial application. This study aimed to develop a proof-of-concept HME platform for CCs, assess process risks, and evaluate PAT-enabled monitoring to facilitate robust production. Methods: Using carbamazepine (CBZ) and nicotinamide (NIC) as model compounds, an HME platform compatible with PAT tools was established. A systematic risk assessment identified five key risk domains: materials, machinery, measurement, methods, and other factors. A Box–Behnken design of experiments (DoE) evaluated the impact of screw speed, temperature, and mixing sections on CC quality. Near-infrared (NIR) spectroscopy monitored CBZ-NIC co-crystal formation in real time during HME process. Results: DoE revealed temperature and number of mixing sections significantly influenced particle size (D50: 2.0–4.0 μm), while screw speed affected efficiency. NIR spectroscopy detected a unique CC absorption peak at 5008.3 cm⁻¹, enabling real-time structural monitoring with high accuracy (R² = 0.9999). Risk assessment highlighted material attributes, process parameters, and equipment design as critical factors affecting CC formation. All experimental batches yielded ≥ 94% pure CCs with no residual starting materials, demonstrating process reproducibility and robustness. Conclusions: Overall, this work successfully established a continuous hot-melt extrusion (HME) process for manufacturing CBZ-NIC co-crystals, offering critical insights into material, equipment, and process parameters while implementing robust in-line NIR monitoring for real-time quality control. Additionally, this work provides interpretable insights and serves as a basis for future machine learning (ML)-driven studies. Full article
(This article belongs to the Special Issue Advances in Hot Melt Extrusion Technology)
Show Figures

Figure 1

20 pages, 3542 KB  
Article
NIR-Based Real-Time Monitoring of Freeze-Drying Processes: Application to Fault and Endpoint Detection
by Ambra Massei, Nunzia Falco and Davide Fissore
Processes 2025, 13(2), 452; https://doi.org/10.3390/pr13020452 - 7 Feb 2025
Cited by 3 | Viewed by 3045
Abstract
In the pharmaceutical industry, freeze-drying is crucial for the stability of active pharmaceutical ingredients (APIs). Monitoring this complex process presents challenges as traditional methods often lack real-time insights, potentially leading to quality issues and batch rejections. Effective monitoring is then essential for optimizing [...] Read more.
In the pharmaceutical industry, freeze-drying is crucial for the stability of active pharmaceutical ingredients (APIs). Monitoring this complex process presents challenges as traditional methods often lack real-time insights, potentially leading to quality issues and batch rejections. Effective monitoring is then essential for optimizing process parameters and minimizing waste, thus saving costs and resources. This study evaluated the application of Near-Infrared (NIR) spectroscopy for the real-time monitoring of the freeze-drying process: NIR spectra were acquired in-line via a specially designed flange in the freeze-dryer. Two approaches were investigated. The first involved freeze-drying monitoring using control charts, thus creating a reference model based on cycles under normal conditions. A PCA model was developed using these reference cycles, and an intentional fault cycle was performed to test the system’s ability to detect deviations. Multivariate control charts, utilizing Hotelling’s T2 and DModX metrics, were shown to effectively monitor process deviations, enhancing the understanding of freeze-drying dynamics. The second approach was based on the use of NIR spectroscopy for assessing residual moisture during lyophilization. By integrating Partial Least Squares (PLS) regression with in-line NIR spectra, we estimated endpoints and detected faults in both reference and faulty cycles. The results showed strong correlations between PLS estimates and the Pirani–Baratron method, highlighting NIR’s applicability for monitoring drying phases. This research advocates for broader NIR implementation in pharmaceutical development, emphasizing its potential to monitor the process, ensure quality, and reduce out-of-specification product. Full article
(This article belongs to the Special Issue Application of Deep Learning in Pharmaceutical Manufacturing)
Show Figures

Figure 1

16 pages, 1963 KB  
Article
Application of Near Infrared Spectroscopy for the Detection of Chemically Treated Pellets Unsuitable for Combustion
by Elena Leoni, Thomas Gasperini, Nicolò Di Marzio, Rodolfo Picchio, Giuseppe Toscano and Daniele Duca
Energies 2024, 17(4), 825; https://doi.org/10.3390/en17040825 - 9 Feb 2024
Cited by 1 | Viewed by 1841
Abstract
The relevant growth of the wood pellet market in Europe in the last decade led to an increased focus on solid biofuel as a necessary and available renewable resource for energy production. Among biofuels, wooden pellets are among the most widespread for domestic [...] Read more.
The relevant growth of the wood pellet market in Europe in the last decade led to an increased focus on solid biofuel as a necessary and available renewable resource for energy production. Among biofuels, wooden pellets are among the most widespread for domestic heating. Therefore, monitoring the qualitative properties of commercialized pellets is crucial in order to minimize the amount of harmful emissions in residential areas. Standard ISO 17225 sets threshold values for the chemical and physical properties that commercialized biofuels must fulfil. Specifically, ISO 17225-2 defines that pellets for residential use must be produced from virgin wood, but no method is proposed to assess the actual origin of the material, leading to the risk of the commercialization of pellets made up from chemically treated materials. This study proposes a model obtained via near infrared spectroscopy analyses and chemometrics methods, such as classification, to rapidly assess whether pellets are made up of virgin or chemically treated wood. The result suggests the effectiveness of NIRs for the detection of non-virgin pellets with an accuracy greater than 99%. Furthermore, the model appeared to be accurate in the assessment of both milled and intact pellets, making it a potential in-line instrument for assessments of pellets’ quality. Full article
Show Figures

Figure 1

18 pages, 8034 KB  
Article
In-Line Detection of Bed Fluidity in Gas–Solid Fluidized Beds Using Near-Infrared Spectroscopy
by Hao Fu, Kaixuan Teng, Jie Zhao, Sheng Zhang and Haibin Qu
Pharmaceutics 2023, 15(9), 2246; https://doi.org/10.3390/pharmaceutics15092246 - 30 Aug 2023
Cited by 4 | Viewed by 1987
Abstract
A novel approach was developed to detect bed fluidity in gas–solid fluidized beds using diffuse reflectance near-infrared (NIR) spectroscopy. Because the flow dynamics of gas and solid phases are closely associated with the fluidization state, the fluidization quality can be evaluated through hydrodynamic [...] Read more.
A novel approach was developed to detect bed fluidity in gas–solid fluidized beds using diffuse reflectance near-infrared (NIR) spectroscopy. Because the flow dynamics of gas and solid phases are closely associated with the fluidization state, the fluidization quality can be evaluated through hydrodynamic characterization. In this study, the baseline level of NIR spectra was used to quantify the voidage of the fluidized bed. Two indicators derived from the NIR baseline fluctuation profiles were investigated to characterize bed fluidity, named bubble proportion and skewness. To establish a robust fluidity evaluation method, the relationships between the indicators and bed fluidity were investigated under different conditions firstly, including static bed height and average particle size. Then, a generalized threshold was identified to distinguish poor and good bed fluidity, ensuring that the probability of the α- and β-errors was less than 15% regardless of material conditions. The results show that both indicators were sensitive to changes in bed fluidity under the investigated conditions. The indicator of skewness was qualified to detect bed fluidity under varied conditions with a robust threshold of 1.20. Furthermore, the developed NIR method was successfully applied to monitor bed fluidity and for early warning of defluidization in a laboratory-scale fluidized bed granulation process. Full article
(This article belongs to the Section Pharmaceutical Technology, Manufacturing and Devices)
Show Figures

Graphical abstract

17 pages, 5849 KB  
Article
Development of In-Line Measurement Techniques for Monitoring Powder Characteristics in a Multi-Stage Spray Drying Process
by Jennifer Frank, Tobias V. Raiber, Laura Grotenhoff and Reinhard Kohlus
Processes 2023, 11(7), 1931; https://doi.org/10.3390/pr11071931 - 27 Jun 2023
Cited by 1 | Viewed by 4037
Abstract
The integration of spray drying and agglomeration offers significant advantages, such us continuous production with lower energy consumption. However, it is a knife-edge process with a narrow operating window and limited degrees of freedom that decide between successful agglomeration and fluidized bed blockage [...] Read more.
The integration of spray drying and agglomeration offers significant advantages, such us continuous production with lower energy consumption. However, it is a knife-edge process with a narrow operating window and limited degrees of freedom that decide between successful agglomeration and fluidized bed blockage due to excessive moisture. In this contribution, factors influencing the spray-through agglomeration process of skim milk powder as a model system were investigated via a design of experiments. Three in-line monitoring methods were applied and tested to observe the most important parameters in the agglomeration process—the product moisture and particle size distribution. Regarding the moisture content, a capacitive moisture sensor was calibrated with linear regression and a near-infrared sensor with partial least squares regression. Near-infrared spectroscopy was found to be the suitable method for determining the moisture content, while the capacitive moisture sensor mainly provides information on the bulk density, filling level, or fluidization state in the fluidized bed. Additionally, particle size distribution data were extracted from the spectral data using in-line data from a spatial filter velocimetry probe in the fluidized bed. This opens the potential to monitor both parameters in real time with a single non-invasive sensor. Full article
(This article belongs to the Special Issue Computational and Experimental Study of Granulation in Fluidized Beds)
Show Figures

Figure 1

11 pages, 2565 KB  
Article
In-Line Vis-NIR Spectral Analysis for the Column Chromatographic Processes of the Ginkgo biloba L. Leaves. Part II: Batch-to-Batch Consistency Evaluation of the Elution Process
by Wenlong Li, Xi Wang, Houliu Chen, Xu Yan and Haibin Qu
Separations 2022, 9(11), 378; https://doi.org/10.3390/separations9110378 - 18 Nov 2022
Cited by 3 | Viewed by 2396
Abstract
An in-line monitoring method for the elution process of Ginkgo biloba L. leaves using visible and near-infrared spectroscopy in conjunction with multivariate statistical process control (MSPC) was established. Experiments, including normal operating batches and abnormal ones, were designed and carried out. The MSPC [...] Read more.
An in-line monitoring method for the elution process of Ginkgo biloba L. leaves using visible and near-infrared spectroscopy in conjunction with multivariate statistical process control (MSPC) was established. Experiments, including normal operating batches and abnormal ones, were designed and carried out. The MSPC model for the elution process was developed and validated. The abnormalities were detected successfully by the control charts of principal component scores, Hotelling T2, or DModX (distance to the model). The results suggested that the established method can be used for the in-line monitoring and batch-to-batch consistency evaluation of the elution process. Full article
Show Figures

Figure 1

18 pages, 1185 KB  
Article
Optimisation of PLS Calibrations for Filtered and Untreated Samples towards In-Line Monitoring of Phenolic Extraction during Red-Wine Fermentations
by Kiera Lambrecht, Hélène Nieuwoudt, Wessel Du Toit and José Luis Aleixandre-Tudo
Fermentation 2022, 8(5), 231; https://doi.org/10.3390/fermentation8050231 - 17 May 2022
Cited by 4 | Viewed by 2960
Abstract
Infrared spectroscopy provides an efficient, robust, and multivariate means to measure phenolic levels during red-wine fermentations. However, its use is currently limited to off-line sampling. In this study, partial least squares (PLS) regression was used to investigate the possibility of using spectral data [...] Read more.
Infrared spectroscopy provides an efficient, robust, and multivariate means to measure phenolic levels during red-wine fermentations. However, its use is currently limited to off-line sampling. In this study, partial least squares (PLS) regression was used to investigate the possibility of using spectral data from minimally pre-treated or untreated samples for the optimisation of prediction calibrations towards an in-line monitoring set-up. The evaluation of the model performance was conducted using a variety of metrics. Limits of detection and quantification of the PLS calibrations were used to assess the ability of the models to predict lower levels of phenolics from the start of fermentation. The calibrations were shown to be useful for the quantification of phenolic compounds and phenolic parameters with minimal or no sample pre-treatment during red-wine fermentation. Upon evaluation of performance, the calibrations built for attenuated-transmission Fourier-transform mid-infrared (ATR-FT-MIR) and diffuse-reflectance Fourier-transform near-infrared (DR-FT-NIR) were shown to be the most suitable spectroscopy techniques for eventual application in an automated and in-line system with values for limits of detection and quantification being suitable for the entire duration of fermentation. Full article
(This article belongs to the Topic Food Processing and Preservation)
Show Figures

Figure 1

16 pages, 6264 KB  
Article
Evaluation of MEMS NIR Spectrometers for On-Farm Analysis of Raw Milk Composition
by Sanna Uusitalo, José Diaz-Olivares, Juha Sumen, Eero Hietala, Ines Adriaens, Wouter Saeys, Mikko Utriainen, Lilli Frondelius, Matti Pastell and Ben Aernouts
Foods 2021, 10(11), 2686; https://doi.org/10.3390/foods10112686 - 3 Nov 2021
Cited by 22 | Viewed by 4476
Abstract
Today, measurement of raw milk quality and composition relies on Fourier transform infrared spectroscopy to monitor and improve dairy production and cow health. However, these laboratory analyzers are bulky, expensive and can only be used by experts. Moreover, the sample logistics and data [...] Read more.
Today, measurement of raw milk quality and composition relies on Fourier transform infrared spectroscopy to monitor and improve dairy production and cow health. However, these laboratory analyzers are bulky, expensive and can only be used by experts. Moreover, the sample logistics and data transfer delay the information on product quality, and the measures taken to optimize the care and feeding of the cattle render them less suitable for real-time monitoring. An on-farm spectrometer with compact size and affordable cost could bring a solution for this discrepancy. This paper evaluates the performance of microelectromechanical system (MEMS)-based near-infrared (NIR) spectrometers as on-farm milk analyzers. These spectrometers use Fabry–Pérot interferometers for wavelength tuning, giving them the advantage of very compact size and affordable price. This study discusses the ability of MEMS spectrometers to reach the accuracy limits set by the International Committee for Animal Recording (ICAR) for at-line analyzers of the milk content regarding fat, protein and lactose. According to the achieved results, the transmission measurements with the NIRONE 2.5 spectrometer perform best, with an acceptable root mean squared error of prediction (RMSEP = 0.21% w/w) for the measurement of milk fat and excellent performance (RMSEP ≤ 0.11% w/w) for protein and lactose. In addition, the transmission measurements using the NIRONE 2.0 module give similar results for fat and lactose (RMSEP of 0.21 and 0.10% w/w respectively), while the prediction of protein is slightly deteriorated (RMSEP = 0.15% w/w). These results show that the MEMS spectrometers can reach sufficient prediction accuracy compared to ICAR standard values for at-line and in-line fat, protein and lactose prediction. Full article
(This article belongs to the Special Issue Advances in Application of Spectral Analysis in Dairy Products)
Show Figures

Graphical abstract

13 pages, 3201 KB  
Article
Usage of Near-Infrared Spectroscopy for Inline Monitoring the Degree of Curing in RTM Processes
by Moritz Salzmann, Yannick Blößl, Andrea Todorovic and Ralf Schledjewski
Polymers 2021, 13(18), 3145; https://doi.org/10.3390/polym13183145 - 17 Sep 2021
Cited by 11 | Viewed by 3603
Abstract
Near-infrared spectroscopy (NIR) was implemented in the resin transfer molding (RTM) process to inline monitor the degree of curing of a bio-based epoxy resin, which consists of epoxidized linseed oil (resin) and citric acid (hardener), respectively. A NIR micro-spectrometer was used for the [...] Read more.
Near-infrared spectroscopy (NIR) was implemented in the resin transfer molding (RTM) process to inline monitor the degree of curing of a bio-based epoxy resin, which consists of epoxidized linseed oil (resin) and citric acid (hardener), respectively. A NIR micro-spectrometer was used for the development of robust calibration models using partial least squares (PLS) regression. Since the micro-spectrometer offers a smaller wavelength range compared with conventional NIR devices, and typical absorbance peaks are not directly involved in the captured data range, the results show new insights for the utilization of this technology. Different pre-treatments of the spectroscopic data have been tested, starting with different reference spectra, i.e., uncured resin and polytetrafluorethylene (PTFE), and followed by chemometrical algorithms. As a reference method for the degree of curing, direct current (DC) supported by differential scanning calorimetry (DSC) was used. The results show the potential of these cost-efficient and compact NIR micro-spectrometers for the intended inline monitoring purpose to gain relevant information feedback during the process. Full article
(This article belongs to the Special Issue Bio-Based Polymer Composites)
Show Figures

Figure 1

16 pages, 2406 KB  
Article
Detection of Lipid Oxidation in Infant Formulas: Application of Infrared Spectroscopy to Complex Food Systems
by Samar Daoud, Elias Bou-Maroun, Gustav Waschatko, Benjamin Horemans, Renaud Mestdagh, Nils Billecke and Philippe Cayot
Foods 2020, 9(10), 1432; https://doi.org/10.3390/foods9101432 - 9 Oct 2020
Cited by 24 | Viewed by 6716
Abstract
Fish- or algal oils have become a common component of infant formula products for their high docosahexaenoic acid (DHA) content. DHA is widely recognized to contribute to the normal development of the infant, and the European Commission recently regulated the DHA content in [...] Read more.
Fish- or algal oils have become a common component of infant formula products for their high docosahexaenoic acid (DHA) content. DHA is widely recognized to contribute to the normal development of the infant, and the European Commission recently regulated the DHA content in infant formulas. For many manufacturers of first-age early life nutrition products, a higher inclusion level of DHA poses various challenges. Long-chain polyunsaturated fatty acids (LC-PUFAs) such as DHA are very prone to oxidation, which can alter the organoleptic property and nutritional value of the final product. Traditional methods for the assessment of oxidation in complex systems require solvent extraction of the included fat, which can involve harmful reagents and may alter the oxidation status of the system. A rapid, efficient, non-toxic real-time method to monitor lipid oxidation in complex systems such as infant formula emulsions would be desirable. In this study, infrared spectroscopy was therefore chosen to monitor iron-induced oxidation in liquid infant formula, with conjugated dienes and headspace volatiles measured with GC-MS as reference methods. Infrared spectra of infant formula were recorded directly in mid- and near-infrared regions using attenuated total reflectance Fourier-transform (ATR-FTIR) and near-infrared (NIRS) spectrophotometers. Overall, good correlation coefficients (R2 > 0.9) were acquired between volatiles content and infrared spectroscopy. Despite the complex composition of infant formula containing proteins and sugars, infrared spectroscopy was still able to detect spectral changes unique to lipid oxidation. By comparison, near-infrared spectroscopy (NIRS) presented better results than ATR-FTIR: prediction error ATR-FTIR 18% > prediction error NIRS 9%. Consequently, NIRS demonstrates great potential to be adopted as an in-line or on-line, non-destructive, and sustainable method for dairy and especially infant formula manufacturers. Full article
(This article belongs to the Section Food Analytical Methods)
Show Figures

Graphical abstract

16 pages, 5399 KB  
Article
Elucidation of the Molecular Mechanism of Wet Granulation for Pharmaceutical Standard Formulations in a High-Speed Shear Mixer Using Near-Infrared Spectroscopy
by Ryo Omata, Yusuke Hattori, Tetsuo Sasaki, Tomoaki Sakamoto and Makoto Otsuka
Pharmaceuticals 2020, 13(9), 226; https://doi.org/10.3390/ph13090226 - 31 Aug 2020
Cited by 3 | Viewed by 4359
Abstract
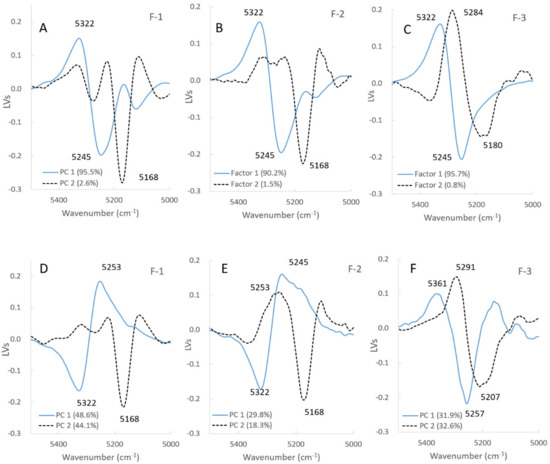
The granulation process of pharmaceutical standard formulation in a high-speed shear wet granulation (HSWG) was measured by in-line near-infrared spectroscopy (NIRS) and agitation power consumption (APC) methods. The F-1, F-2, and F-3 formulations (500 g) contained 96% w/w α-lactose monohydrate (LA), [...] Read more.
The granulation process of pharmaceutical standard formulation in a high-speed shear wet granulation (HSWG) was measured by in-line near-infrared spectroscopy (NIRS) and agitation power consumption (APC) methods. The F-1, F-2, and F-3 formulations (500 g) contained 96% w/w α-lactose monohydrate (LA), potato starch (PS), and a LA:PS = 7:3 mixture, respectively, and all the formulations contained 4% w/w hydroxypropyl cellulose. While adding purified water at 10 mL/min, the sample powder was mixed. The calibration models to measure the amount of binding water (Wa) and APC of the HSWG formulations were established based on NIRS of the samples measured for 60 min by partial least-squares regression analysis (PLS). Molecular interaction related to APC between the particle surface and binding liquor was analyzed based on NIRS. The predicted values of Wa and APC for all formulations were superimposed with the measured values on a straight line, respectively. The regression vector (RV) of the calibration model for Wa indicated the chemical information of all the water in the samples. In contrast, the RV for APC suggested that APC changes in the processes are related to powder aggregation because of surface tension of binding water between particles. Full article
(This article belongs to the Section Pharmaceutical Technology)
Show Figures

Graphical abstract

10 pages, 1700 KB  
Article
At-Line Monitoring of the Extraction Process of Rosmarini Folium via Wet Chemical Assays, UHPLC Analysis, and Newly Developed Near-Infrared Spectroscopic Analysis Methods
by Stefanie Delueg, Christian G. Kirchler, Florian Meischl, Yukihiro Ozaki, Michael A. Popp, Günther K. Bonn and Christian W. Huck
Molecules 2019, 24(13), 2480; https://doi.org/10.3390/molecules24132480 - 6 Jul 2019
Cited by 7 | Viewed by 4865
Abstract
The present study demonstrates the applicability of at-line monitoring of the extraction process of Rosmarinus officinalis L. leaves (Rosmarini folium) and the development of near-infrared (NIR) spectroscopic analysis methods. Therefore, whole dried Rosmarini folium samples were extracted by maceration with 70% (v [...] Read more.
The present study demonstrates the applicability of at-line monitoring of the extraction process of Rosmarinus officinalis L. leaves (Rosmarini folium) and the development of near-infrared (NIR) spectroscopic analysis methods. Therefore, whole dried Rosmarini folium samples were extracted by maceration with 70% (v/v) ethanol. For the experimental design three different specimen-taking plans were chosen. At first, monitoring was carried out using three common analytical methods: (a) total hydroxycinnamic derivatives according to the European Pharmacopoeia, (b) total phenolic content according to Folin–Ciocalteu, and (c) rosmarinic acid content measured by UHPLC-UV analysis. Precision validation of the wet chemical assays revealed a repeatability of (a) 0.12% relative standard deviation (RSD), (b) 1.1% RSD, and (c) 0.28% RSD, as well as an intermediate precision of (a) 4.1% RSD, (b) 1.3% RSD, and (c) 0.55% RSD. The collected extracts were analyzed with a NIR spectrometer using a temperature-controlled liquid attachment. Samples were measured in transmission mode with an optical path length of 1 mm. The combination of the recorded spectra and the previously obtained analytical reference values in conjunction with multivariate data analysis enabled the successful establishment of partial least squares regression (PLSR) models. Coefficients of determination (R2) were: (a) 0.94, (b) 0.96, and (c) 0.93 (obtained by test-set validation). Since Pearson correlation analysis revealed that the reference analyses correlated with each other just one of the PSLR models is required. Therefore, it is suggested that PLSR model (b) be used for monitoring the extraction process of Rosmarini folium. The application of NIR spectroscopy provides a fast and non-invasive alternative analysis method, which can subsequently be implemented for on- or in-line process control. Full article
Show Figures

Graphical abstract

Back to TopTop