Sign in to use this feature.

Years

Between: -

Subjects

remove_circle_outline
remove_circle_outline
remove_circle_outline
remove_circle_outline
remove_circle_outline
remove_circle_outline
remove_circle_outline
remove_circle_outline
remove_circle_outline

Journals

remove_circle_outline
remove_circle_outline
remove_circle_outline
remove_circle_outline
remove_circle_outline
remove_circle_outline
remove_circle_outline

Article Types

Countries / Regions

remove_circle_outline
remove_circle_outline
remove_circle_outline
remove_circle_outline

Search Results (363)

Search Parameters:
Keywords = molecular dynamics relaxation

Order results
Result details
Results per page
Select all
Export citation of selected articles as:
19 pages, 2249 KB  
Article
Structural Determinants for the Antidepressant Activity of St. John’s Wort (Hypericum perforatum): A Combined Theoretical and Experimental Study
by Afrodite Tryfon, George Petsis, Panagiota Siafarika, Evanthia Soubasi and Angelos G. Kalampounias
Physchem 2025, 5(4), 56; https://doi.org/10.3390/physchem5040056 - 14 Dec 2025
Viewed by 157
Abstract
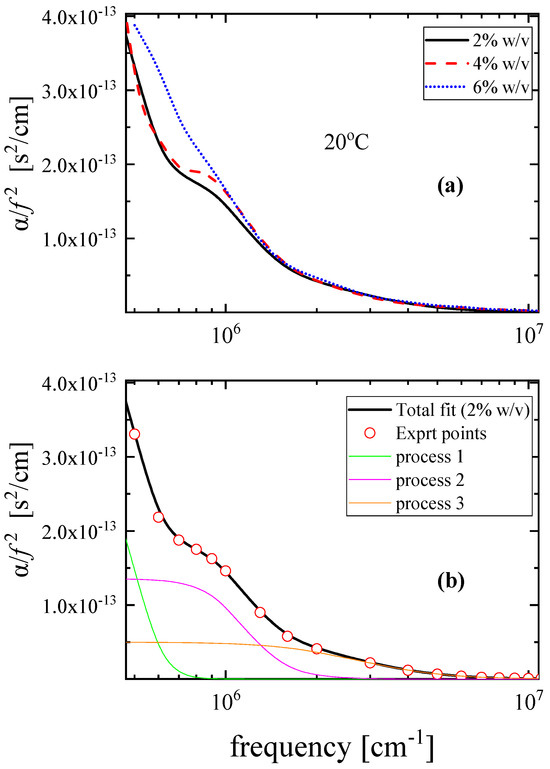
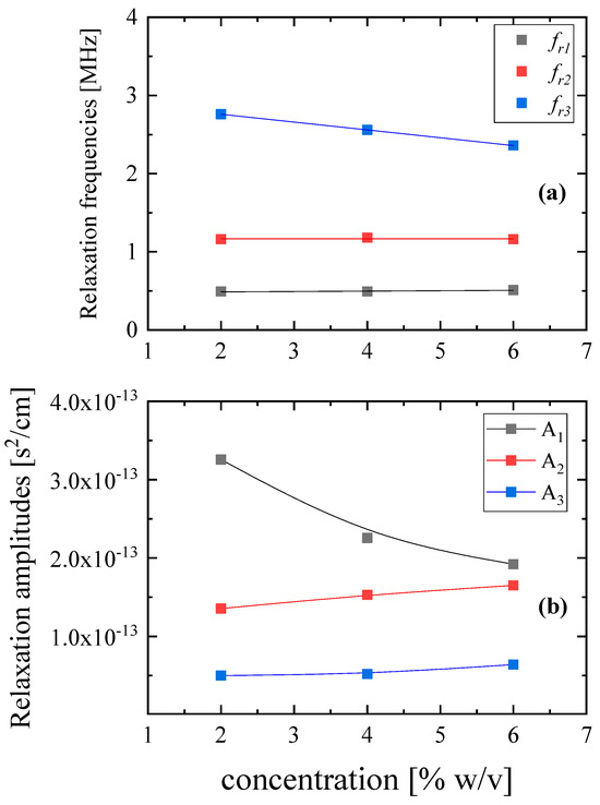
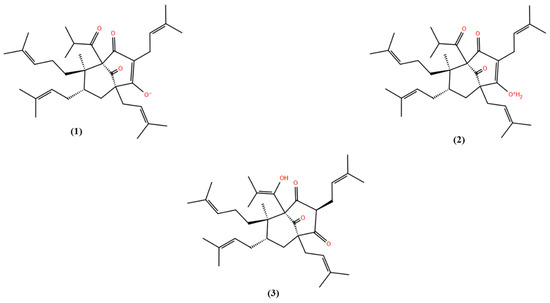
This study presents a systematic investigation of the dynamic and structural characteristics of St. John’s wort (Hypericum perforatum) in alcoholic solutions using experimental and theoretical techniques. Ultrasonic relaxation spectroscopy was employed to investigate medium-range dynamic processes, while density functional theory (DFT) [...] Read more.
This study presents a systematic investigation of the dynamic and structural characteristics of St. John’s wort (Hypericum perforatum) in alcoholic solutions using experimental and theoretical techniques. Ultrasonic relaxation spectroscopy was employed to investigate medium-range dynamic processes, while density functional theory (DFT) calculations were employed to explore the molecular structure and vibrational properties of the system. Theoretical calculations revealed two Hyperforin conformers, a keto derivative, and three protonated species. Acoustic spectra revealed three distinct Debye-type relaxation processes, corresponding to conformational changes in hyperforin, enol-to-keto tautomerization, and proton transfer mechanisms. In addition, St. John’s wort oil (Oleum Hyperici) was studied, using attenuated total reflection (ATR) infrared spectroscopy for several extraction intervals. These spectra were compared with the theoretical IR spectra of hypericin, hyperforin, and its derivatives, confirming the presence of hyperforin, keto, and two protonated species in the oil. Besides structural and dynamical evaluations, the study assessed the toxicity and biological activity of hyperforin and all species found in the solutions, offering information about potential pharmaceutical uses, suggesting that hyperforin and its keto form have the best antidepressant activity. This comprehensive analysis enhances the understanding of hyperforin’s molecular behavior and strengthens the therapeutic potential of St. John’s wort as a natural antidepressant agent. Full article
(This article belongs to the Section Experimental and Computational Spectroscopy)
Show Figures

Figure 1

26 pages, 4345 KB  
Article
Integrative Computational Approaches for the Discovery of Triazole-Based Urease Inhibitors: A Machine Learning, Virtual Screening, and Meta-Dynamics Framework
by Sofía E. Ríos-Rozas, Natalia Morales, Elizabeth Valdés-Muñoz, Gabriela Urra, Camila A. Flores-Morales, Javier Farías-Abarca, Erix W. Hernández-Rodríguez, Jonathan M. Palma, Manuel I. Osorio, Osvaldo Yáñez-Osses, Luis Morales-Quintana, Reynier Suardíaz and Daniel Bustos
Int. J. Mol. Sci. 2025, 26(23), 11576; https://doi.org/10.3390/ijms262311576 - 28 Nov 2025
Viewed by 292
Abstract
Helicobacter pylori urease (HpU) plays a central role in bacterial survival and virulence by hydrolyzing urea into ammonia and carbon dioxide, neutralizing gastric acidity, and facilitating host colonization. The increasing prevalence of antibiotic resistance underscores the need for alternative strategies targeting [...] Read more.
Helicobacter pylori urease (HpU) plays a central role in bacterial survival and virulence by hydrolyzing urea into ammonia and carbon dioxide, neutralizing gastric acidity, and facilitating host colonization. The increasing prevalence of antibiotic resistance underscores the need for alternative strategies targeting essential bacterial enzymes such as urease. In this study, a multistage computational pipeline integrating pharmacophore modeling, machine learning (ML), ensemble docking, and enhanced molecular dynamics simulations were applied to identify novel triazole-based HpU inhibitors. Starting from over seven million compounds in the ZINC15 database, pharmacophore- and ML-based filters progressively reduced the chemical space to 7062 candidates. Ensemble docking across 25 conformational frames of HpU, followed by quantum-polarized ligand docking (QPLD), identified seven promising ligands exhibiting strong binding energies and stable metal coordination. Molecular dynamics (MD) simulations under progressively relaxed restraints revealed three highly stable complexes (CA1, CA3, and CA6). Subsequent well-tempered metadynamics (WT-MetaD) simulations reconstructed free-energy landscapes showing deep, localized basins for CA3 and CA6, comparable to the potent reference inhibitor DJM, supporting their potential as strong urease binders. Finally, unsupervised chemical space mapping using the UMAP algorithm positioned these candidates within molecular regions associated with potent urease inhibitors, further validating their structural coherence and pharmacophoric relevance. An ADMET assessment confirmed that the selected candidates exhibit physicochemical and early safety properties compatible with subsequent in vitro evaluation. This multilevel screening strategy demonstrates the power of combining ML-driven classification, ensemble docking, and enhanced sampling simulations to discover non-hydroxamic urease inhibitors. Although the current findings are computational, they provide a rational foundation for future in vitro validation and for expanding the discovery of triazole-based scaffolds targeting ureolytic enzymes. Full article
(This article belongs to the Special Issue Computer Simulation Insight into Ligand–Receptor Interaction)
Show Figures

Figure 1

16 pages, 10522 KB  
Article
Particle Size-Dependent Mechanical Behaviors of Disordered Copper Nanoparticle Assemblies: A Molecular Dynamics Study
by Jianjun Bian and Liang Yang
Crystals 2025, 15(12), 1007; https://doi.org/10.3390/cryst15121007 - 23 Nov 2025
Viewed by 324
Abstract
The mechanical behavior of nanoparticle assemblies depends strongly on particle size, yet the underlying mechanisms remain insufficiently understood. In present study, we employ a scheme combining discrete element method (DEM) and molecular dynamics (MD) simulations to examine size-dependent strength and deformation in disordered [...] Read more.
The mechanical behavior of nanoparticle assemblies depends strongly on particle size, yet the underlying mechanisms remain insufficiently understood. In present study, we employ a scheme combining discrete element method (DEM) and molecular dynamics (MD) simulations to examine size-dependent strength and deformation in disordered copper nanoparticle assemblies. Granular packings generated by DEM were transformed into atomic models and subjected to uniaxial compression in MD simulations. Assemblies composed of nanoparticles with radius smaller than ~2.5 nm fully densify during relaxation, forming nanopolycrystalline solids, whereas larger particles preserve porous architectures. This structural divergence governs subsequent deformation. Small-particle assemblies deform through grain boundary migration and grain growth, exhibiting an inverse Hall–Petch-type strength dependence. In contrast, large-particle assemblies deform primarily via interparticle contact evolution and densification, with strength conforming to a Gibson–Ashby-type prediction. A scaling law captures the strength variation across size range in this regime. These results establish the competition between surface energy-driven densification and contact-dominated deformation as the controlling factor in the mechanical response of nanoparticle assemblies, providing guidance for designing nanoparticle-based materials with tailored mechanical performance. Full article
(This article belongs to the Section Inorganic Crystalline Materials)
Show Figures

Figure 1

16 pages, 2043 KB  
Article
Paramagnetic Agents for SE DNP: Synthesis and ESR Characterization of New Lipophilic Derivatives of Finland Trityl
by Victor M. Tormyshev, Danil A. Kuznetsov, Arthur E. Raizvikh, Olga Yu. Rogozhnikova, Tatiana I. Troitskaya and Elena G. Bagryanskaya
Molecules 2025, 30(22), 4463; https://doi.org/10.3390/molecules30224463 - 19 Nov 2025
Viewed by 337
Abstract
Triarylmethyl radicals (TAMs) have recently emerged as highly effective polarizing agents in dynamic nuclear polarization (DNP) under viscous conditions, enabling substantial hyperpolarization via the solid-effect (SE) DNP mechanism even at room temperature. A comparable, though less pronounced, enhancement was observed for BDPA radicals [...] Read more.
Triarylmethyl radicals (TAMs) have recently emerged as highly effective polarizing agents in dynamic nuclear polarization (DNP) under viscous conditions, enabling substantial hyperpolarization via the solid-effect (SE) DNP mechanism even at room temperature. A comparable, though less pronounced, enhancement was observed for BDPA radicals embedded in phosphocholine-based lipid bilayers. Given the increasing interest in elucidating the structure and dynamics of biopolymers and their high-molecular-weight assemblies—such as cell membranes—this study focuses on the design, synthesis, and characterization of paramagnetic agents tailored for DNP-based structural biology. To this end, we synthesized a series of TAM derivatives functionalized with lipophilic substituents and characterized their magnetic resonance properties, including isotropic hyperfine interaction (HFI) constants on carbon nuclei and electron spin relaxation times (T1 and Tm) at low temperatures (80 K). Echo-detected EPR spectra and electron spin echo envelope modulations (ESEEM) were recorded for novel TAM incorporated into liposomes composed of 1,2-dioleoyl-sn-glycero-3-phosphocholine (DOPC). These low-temperature measurements revealed that the radicals are localized either at the liposome surface or within the lipid bilayer, ensuring optimal accessibility to water molecules. Crucially, the presence of a single cholesterol moiety provides strong noncovalent anchoring within the hydrophobic core of the bilayer. Guided by these findings, we identify an amphiphilic TAM bearing a single cholesterol group and polar carboxyl functionalities as a highly promising candidate for DNP applications in membrane biology, combining efficient polarization transfer, bilayer integration, and aqueous accessibility. Full article
(This article belongs to the Section Physical Chemistry)
Show Figures

Graphical abstract

21 pages, 2496 KB  
Article
Nuclear Magnetic Resonance Dynamics of LiTFSI–Pyrazole Eutectic Solvents
by Emilia Pelegano-Titmuss, Muhammad Zulqarnain Arif, Giselle de Araujo Lima e Souza, Phillip Stallworth, Yong Zhang, Adam Imel, Thomas Zawodzinski and Steven Greenbaum
Materials 2025, 18(22), 5184; https://doi.org/10.3390/ma18225184 - 14 Nov 2025
Cited by 2 | Viewed by 614
Abstract
Deep Eutectic Solvents (DESs) have emerged as promising candidates to replace conventional organic solvents in various technological applications due to their low vapor pressure, non-flammability, and ease of preparation at low costs. In particular, Type IV DESs, which are composed of metal salts [...] Read more.
Deep Eutectic Solvents (DESs) have emerged as promising candidates to replace conventional organic solvents in various technological applications due to their low vapor pressure, non-flammability, and ease of preparation at low costs. In particular, Type IV DESs, which are composed of metal salts and hydrogen bond donors, are possible replacements for lithium-ion battery electrolytes. In this study, we investigate the molecular dynamics of solvents of lithium bis(trifluoromethanesulfonyl)imide (LiTFSI) and pyrazole (PYR) at varying LiTFSI:PYR molar ratios (1:2, 1:3, 1:4, 1:5) using Nuclear Magnetic Resonance Dispersion (NMRD) and Pulsed Field Gradient (PFG) Nuclear Magnetic Resonance (NMR). PFG NMR reveals composition-dependent diffusion trends, while NMRD provides molecular-level insights into the longitudinal relaxation rate (R1 = 1/T1). Notably, the LiTFSI:PYR (1:2) sample shows distinct behavior across both techniques, exhibiting enhanced relaxation rates and lower self-diffusion for 1H compared to the other nuclei (19F and 7Li), suggestive of stronger and more efficient Li+–pyrazole interactions, as confirmed by the modeling of the relaxation profiles. Our study advances understanding of ion dynamics in azole-based eutectic solvents, supporting their potential use in safer battery electrolytes. Full article
(This article belongs to the Special Issue Ionic Liquid-Based Materials: Fundamentals and Applications)
Show Figures

Graphical abstract

35 pages, 2320 KB  
Review
Thermodynamic Biomarkers of Neuroinflammation: Nanothermometry, Energy–Stress Dynamics, and Predictive Entropy in Glial–Vascular Networks
by Valentin Titus Grigorean, Adrian Vasile Dumitru, Catalina-Ioana Tataru, Matei Serban, Alexandru Vlad Ciurea, Octavian Munteanu, Mugurel Petrinel Radoi, Razvan-Adrian Covache-Busuioc, Ariana-Stefana Cosac and George Pariza
Int. J. Mol. Sci. 2025, 26(22), 11022; https://doi.org/10.3390/ijms262211022 - 14 Nov 2025
Viewed by 659
Abstract
Homeostasis, which supports and maintains brain function, results from the continuous regulation of thermodynamics within tissue: the balance of heat production, redox oscillations, and vascular convection regulates coherent energy flow within the organ. Neuroinflammation disturbs this balance, creating measurable entropy gradients that precede [...] Read more.
Homeostasis, which supports and maintains brain function, results from the continuous regulation of thermodynamics within tissue: the balance of heat production, redox oscillations, and vascular convection regulates coherent energy flow within the organ. Neuroinflammation disturbs this balance, creating measurable entropy gradients that precede structural damage to its tissue components. This paper proposes that a thermodynamic unity can be devised that incorporates nanoscale physics, energetic neurophysiology, and systems neuroscience, and can be used to understand and treat neuroinflammatory processes. Using multifactorial modalities such as quantum thermometry, nanoscale calorimetry, and redox oscillometry we define how local entropy production (st), relaxation time (τR), and coherence lengths (λc) allow quantification of the progressive loss of energetic symmetry within neural tissues. It is these variables that provide the basis for the etiology of thermodynamic biomarkers which on a molecular-redox-to-network scale characterize the transitions governing the onset of the neuroinflammatory process as well as the recovery potential of the organism. The entropic probing of systems (PEP) further allows the translation of these parameters into dynamic patient-specific trajectories that model the behavior of individuals by predicting recurrent bouts of instability through the application of machine learning algorithms to the vectors of entropy flux. The parallel development of the nanothermodynamic intervention, which includes thermoplasmonic heat rebalancing, catalytic redox nanoreacting systems, and adaptive field-oscillation synchronicity, shows by example how the corrections that can be applied to the entropy balance of the cell and system as a whole offer a feasible form of restoration of energy coherence. Such closed loop therapy would not function by the suppression of inflammatory signaling, but rather by the re-establishment of reversible energy relations between mitochondrial, glial, and vascular territories. The combination of these factors allows for correction of neuroinflammation, which can now be viewed from a fresh perspective as a dynamic phase disorder that is diagnosable, predictable, and curable through the physics of coherence rather than the molecular suppression of inflammatory signaling. The significance of this set of ideas is considerable as it introduces a feasible and verifiable structure to what must ultimately become the basis of a new branch of science: predictive energetic medicine. It is anticipated that entropy, as a measurable and modifiable variable in therapeutic “inscription”, will be found to be one of the most significant parameters determining the neurorestoration potential in future medical science. Full article
(This article belongs to the Special Issue Neuroinflammation: From Molecular Mechanisms to Therapy)
Show Figures

Figure 1

11 pages, 1898 KB  
Article
Spectra–Stability Relationships in Organic Electron Acceptors: Excited-State Analysis
by Yezi Yang, Xuesong Zhai, Yang Jiang, Jinshan Wang and Chuang Yao
Molecules 2025, 30(22), 4392; https://doi.org/10.3390/molecules30224392 - 13 Nov 2025
Viewed by 312
Abstract
The operational stability of organic solar cells critically depends on the excited-state characteristics of electron acceptor materials. Through systematic quantum chemical calculations on four representative acceptors (PCBM, ITIC, Y6, and TBT-26), this study reveals fundamental spectra–stability relationships. Non-fullerene acceptors demonstrate superior light-harvesting with [...] Read more.
The operational stability of organic solar cells critically depends on the excited-state characteristics of electron acceptor materials. Through systematic quantum chemical calculations on four representative acceptors (PCBM, ITIC, Y6, and TBT-26), this study reveals fundamental spectra–stability relationships. Non-fullerene acceptors demonstrate superior light-harvesting with systematically tuned energy levels and significantly lower exciton binding energies (2.05–2.12 eV) compared to PCBM (2.97 eV), facilitating efficient charge separation. Structural dynamics analysis uncovers distinct stability mechanisms: ITIC maintains exceptional structural integrity (anionic RMSD = 0.023, S1 RMSD = 0.134) with superior bond preservation, ensuring balanced performance–stability. Y6 exhibits substantial structural relaxation in excited states (S1 RMSD = 0.307, T1 RMSD = 0.262) despite its low exciton binding energy, indicating significant non-radiative losses. TBT-26 employs selective bond stabilization, preserving acceptor–proximal bonding despite considerable anionic flexibility. These findings establish that optimal molecular design requires both favorable electronic properties and structural preservation in photoactive states, providing crucial guidance for developing efficient and stable organic photovoltaics. Full article
Show Figures

Figure 1

1125 KB  
Proceeding Paper
Towards Low-Cost Magnetic Resonance Relaxometry
by Kerry Worton, Robert H. Morris, Nicasio R. Geraldi and Michael I. Newton
Eng. Proc. 2025, 118(1), 18; https://doi.org/10.3390/ECSA-12-26500 - 7 Nov 2025
Viewed by 78
Abstract
Magnetic Resonance Relaxometry is a powerful technique that reveals a sample’s molecular dynamics thanks to the dependence of the T1 relaxation time on field strength. With applications in protein research, food systems, material development, and environmental science, relaxometry measurements are typically undertaken [...] Read more.
Magnetic Resonance Relaxometry is a powerful technique that reveals a sample’s molecular dynamics thanks to the dependence of the T1 relaxation time on field strength. With applications in protein research, food systems, material development, and environmental science, relaxometry measurements are typically undertaken using a technique known as fast field cycling, where T1 is measured at a range of detection fields. However, the sample experiences relaxation in a variable field without the challenges associated with retuning a probe to each of the necessary frequencies of interest. This technique is limited by a maximum relaxation time, since the measurement and relaxation fields are typically applied using a fluid-cooled electromagnet, which will ultimately overheat for very long experimental times. In this work, we propose an alternative approach to permit measurements of samples with inherently long T1 values. We utilise a broadband spectrometer alongside a solenoid transmit-receive coil and custom tuning and matching boards, whilst two sets of magnets are moved around the coil, to achieve a range of different fields. By collecting a reduced number of points and utilising this method, we show it is still possible to make useful measurements on samples at a range of frequencies, which has great potential in quality assurance applications. We find a similar trend for food samples of corn oil, while manganese chloride, a common contrast agent, has more than a 100% difference when compared to traditional fast field cycling measurements. Full article
Show Figures

Figure 1

21 pages, 6401 KB  
Article
SBS-Modified Asphalt Accelerated Swelling Technology and Performance Evaluation
by Zhifeng Lv, Zeran Yin, Jianghai Lin, Xiaohui Bu, Jiahao Yang and Chuanfeng Zheng
Buildings 2025, 15(21), 3927; https://doi.org/10.3390/buildings15213927 - 30 Oct 2025
Viewed by 366
Abstract
The slow swelling rate of styrene–butadiene–styrene (SBS) in asphalt prolongs the modification process and increases energy consumption. This study proposes a novel method using benzoyl peroxide (BPO) and benzoyl methane (BPA) to accelerate SBS swelling through a radical initiation–capture mechanism. BPO generates free [...] Read more.
The slow swelling rate of styrene–butadiene–styrene (SBS) in asphalt prolongs the modification process and increases energy consumption. This study proposes a novel method using benzoyl peroxide (BPO) and benzoyl methane (BPA) to accelerate SBS swelling through a radical initiation–capture mechanism. BPO generates free radicals that relax the SBS network, while BPA captures excess radicals, maintaining system stability. Molecular dynamics simulations based on the COMPASS II force field were used to analyse diffusion, radius of gyration, and solubility parameters, revealing that BPO/BPA improved SBS–asphalt compatibility and increased the diffusion coefficient by 76%. Macroscopic viscosity tests confirmed that the swelling time decreased by 40% and equilibrium viscosity increased by 39% compared with the conventional process. The modified asphalt also exhibited enhanced high- and low-temperature performance and ageing resistance. This simple and efficient synergistic technique provides a promising approach for the rapid preparation of SBS-modified asphalt and offers practical potential for industrial production. Full article
(This article belongs to the Special Issue Intelligent Design, Green Construction, and Innovation)
Show Figures

Figure 1

23 pages, 18130 KB  
Article
Impact of Structural Relaxation on Protein–Protein Docking in Large Macromolecular Complexes
by Raissa Santos de Lima Rosa, Ana Carolina Silva Bulla, Rafael C. Bernardi and Manuela Leal da Silva
Appl. Biosci. 2025, 4(4), 48; https://doi.org/10.3390/applbiosci4040048 - 23 Oct 2025
Viewed by 843
Abstract
Protein–protein docking is a cornerstone of computational structural biology, yet its reliability for large, multimeric assemblies remains uncertain. Standard workflows typically include geometry optimization or molecular dynamics equilibration to relieve local strains and improve input quality, but the extent to which these preparatory [...] Read more.
Protein–protein docking is a cornerstone of computational structural biology, yet its reliability for large, multimeric assemblies remains uncertain. Standard workflows typically include geometry optimization or molecular dynamics equilibration to relieve local strains and improve input quality, but the extent to which these preparatory steps alter docking outcomes has not been systematically evaluated. Here, we address this question using the mitochondrial chaperonin Hsp60, a dynamic double-ring complex essential for protein folding, and MIX, a kinetoplastid-specific protein with unresolved function, as a stress test system. By comparing docking predictions across minimized, equilibrated, and ensemble-refined structures of Hsp60 in three conformational states (apo, ATP-bound, and ATP–Hsp10), we show that structural relaxation profoundly reshapes the docking landscape. Minimization alone often yielded favorable scores but localized binding, while longer MD trajectories exposed alternative sites, including central cavity, equatorial ATP pocket, and apical domain, each consistent with distinct regulatory hypotheses. These findings reveal that docking outcomes are highly sensitive to receptor preparation, especially in complexes undergoing large conformational transitions. More broadly, our study highlights an underappreciated vulnerability of docking pipelines and calls for ensemble-based and dynamics-aware approaches when predicting interactions in large biomolecular machines. Full article
Show Figures

Figure 1

22 pages, 2340 KB  
Article
Glass Transition and Crystallization of Chitosan Investigated by Broadband Dielectric Spectroscopy
by Massimiliano Labardi, Margherita Montorsi, Sofia Papa, Laura M. Ferrari, Francesco Greco, Giovanni Scarioni and Simone Capaccioli
Polymers 2025, 17(20), 2758; https://doi.org/10.3390/polym17202758 - 15 Oct 2025
Viewed by 619
Abstract
Chitosan films obtained by solution casting were investigated by broadband dielectric spectroscopy (BDS) to explore both their glass transition and the effects of thermal annealing on molecular dynamics, deriving from residual water content as well as from cold crystallization. Glass transition at low [...] Read more.
Chitosan films obtained by solution casting were investigated by broadband dielectric spectroscopy (BDS) to explore both their glass transition and the effects of thermal annealing on molecular dynamics, deriving from residual water content as well as from cold crystallization. Glass transition at low temperatures could be evidenced in as-produced as well as thermally annealed films, where non-Arrhenian dielectric relaxation processes, consistent with a structural (α) relaxation, could be detected. The process detected at low temperatures could reflect the dynamics of residual water slaved by the polymer matrix. Secondary (β) relaxations, along with a slow process ascribed to interfacial polarization at the amorphous/crystalline interfaces, were concurrently detected. In most cases, a further Arrhenian process at intermediate temperatures (αc) was present, also indicative of crystallization. Notably, the α processes, due to the primary relaxation of the polymer matrix plasticized by water, could be discriminated from other processes, present in the same frequency range, thanks to improvements in the dielectric fitting strategy. All relaxation processes showed the expected dependence on Ta. The more accurate exploration of the glass transition for chitosan helps to better rationalize its crystallization behavior, in view of an optimized application of this biopolymer. Full article
Show Figures

Graphical abstract

18 pages, 2751 KB  
Article
Assessment of the Influence of Chemical Composition, Atomic Distribution, and Grain Boundaries on Heat Transfer in Refractory High-Entropy Alloys Hf–Nb–Ta–Zr Based on Atomistic Simulation
by Rita I. Babicheva, Arseny M. Kazakov and Elena A. Korznikova
Crystals 2025, 15(10), 880; https://doi.org/10.3390/cryst15100880 - 13 Oct 2025
Viewed by 480
Abstract
This work investigates the influence of chemical composition, grain boundary (GB) type, and atomic distribution on the thermal conductivity of Hf–Nb–Ta–Zr refractory high-entropy alloys (RHEAs) via atomistic simulations. Three compositions—equiatomic HfNbTaZr (M1), Hf10Nb40Ta10Zr40 (M2), and Hf [...] Read more.
This work investigates the influence of chemical composition, grain boundary (GB) type, and atomic distribution on the thermal conductivity of Hf–Nb–Ta–Zr refractory high-entropy alloys (RHEAs) via atomistic simulations. Three compositions—equiatomic HfNbTaZr (M1), Hf10Nb40Ta10Zr40 (M2), and Hf40Nb10Ta40Zr10 (M3)—were studied in single-crystalline and bicrystalline models containing Σ3 or Σ5 GBs. The effect of chemical short-range order (SRO) and GB segregation was probed by comparing results for non-relaxed structures with those obtained for corresponding materials relaxed using combined Monte Carlo/molecular dynamics (MC/MD) simulation. Material relaxation is accompanied by the formation of coherent nanoclusters (NbTa in M1, Nb or Zr in M2, Hf or Ta in M3) and Hf/Zr segregation to GBs. In single crystals, SRO reduces thermal conductivity by up to ~2.7% (e.g., from 3.66 to 3.56 W/m·K in M1), which is explained by the phonon scattering effect from matrix–cluster interfaces, densely distributed in the structures. In contrast, in certain bicrystals, the combined effects of GB healing and intragranular cluster coarsening lead to a 6.9% increase in thermal conductivity (from 4.59 to 4.93 W/m·K), despite the presence of high-energy Σ5 GBs. These results demonstrate that the interplay between SRO, GB segregation, and microstructural evolution governs phonon transport in RHEAs, revealing a counterintuitive pathway to enhance thermal conductivity through controlled atomic redistribution. Full article
(This article belongs to the Section Crystalline Metals and Alloys)
Show Figures

Figure 1

13 pages, 1190 KB  
Article
1H NMR Relaxation Processes in Lung Tissues at Low Magnetic Fields
by Karol Kołodziejski, Farman Ullah, Łukasz Klepacki, Jerzy Gielecki and Danuta Kruk
Molecules 2025, 30(19), 4002; https://doi.org/10.3390/molecules30194002 - 7 Oct 2025
Viewed by 558
Abstract
Proton spin–lattice and spin–spin NMR relaxation studies were conducted on lung tissue samples from 10 patients. For each case, relaxation properties of tumor tissue were compared with those of the corresponding reference tissue. The spin–lattice relaxation measurements were performed over a wide frequency [...] Read more.
Proton spin–lattice and spin–spin NMR relaxation studies were conducted on lung tissue samples from 10 patients. For each case, relaxation properties of tumor tissue were compared with those of the corresponding reference tissue. The spin–lattice relaxation measurements were performed over a wide frequency range, from 10 kHz to 10 MHz, spanning three orders of magnitude. These were complemented by both spin–lattice and spin–spin relaxation data acquired at 18.7 MHz. Notably, the spin–spin relaxation process exhibited a bi-exponential character. This relaxation behavior was quantitatively analyzed using dedicated models to achieve two main goals: to evaluate the diagnostic potential of low-field NMR relaxometry, and to gain insights into the dynamics of water and macromolecules in tissue, in comparison with aqueous solutions of proteins and polymers. The frequency dependence of the spin–lattice relaxation rates was well described by a power-law function, with an exponent of approximately 0.3 closely matching the theoretical prediction for reptation dynamics in polymer systems, associated with the intermolecular relaxation contribution. The combined analysis of spin–lattice and spin–spin relaxation data revealed specific parameters (such as ratios between the relaxation rates or between the amplitudes of individual relaxation components) that can be considered as potential markers of pathological changes affecting molecular dynamics in tissues. Full article
Show Figures

Figure 1

30 pages, 3375 KB  
Article
Pro-Inflammatory Protein PSCA Is Upregulated in Neurological Diseases and Targets β2-Subunit-Containing nAChRs
by Mikhail A. Shulepko, Yuqi Che, Alexander S. Paramonov, Milita V. Kocharovskaya, Dmitrii S. Kulbatskii, Anisia A. Ivanova, Anton O. Chugunov, Maxim L. Bychkov, Artem V. Kirichenko, Zakhar O. Shenkarev, Mikhail P. Kirpichnikov and Ekaterina N. Lyukmanova
Biomolecules 2025, 15(10), 1381; https://doi.org/10.3390/biom15101381 - 28 Sep 2025
Viewed by 819
Abstract
Prostate stem cell antigen (PSCA) is a Ly6/uPAR protein that targets neuronal nicotinic acetylcholine receptors (nAChRs). It exists in membrane-tethered and soluble forms, with the latter upregulated in Alzheimer’s disease. We hypothesize that PSCA may be linked to a wider spectrum of neurological [...] Read more.
Prostate stem cell antigen (PSCA) is a Ly6/uPAR protein that targets neuronal nicotinic acetylcholine receptors (nAChRs). It exists in membrane-tethered and soluble forms, with the latter upregulated in Alzheimer’s disease. We hypothesize that PSCA may be linked to a wider spectrum of neurological diseases and could induce neuroinflammation. Indeed, PSCA expression is significantly upregulated in the brain of patients with multiple sclerosis, Huntington’s disease, Down syndrome, bipolar disorder, and HIV-associated dementia. To investigate PSCA’s structure, pharmacology, and inflammatory function, we produced a correctly folded water-soluble recombinant analog (ws-PSCA). In primary hippocampal neurons and astrocytes, ws-PSCA differently regulates secretion of inflammatory factors and adhesion molecules and induces pro-inflammatory responses by increasing TNFβ secretion. Heteronuclear NMR and 15N relaxation measurements reveal a classical β-structural three-finger fold with conformationally disordered loops II and III. Positive charge clustering on the molecular surface suggests the functional importance of ionic interactions by these loops. Electrophysiological studies in Xenopus oocytes point on ws-PSCA inhibition of α3β2-, high-, and low-sensitive variants of α4β2- (IC50 ~50, 27, and 15 μM, respectively) but not α4β4-nAChRs, suggesting targeting of the β2 subunit. Ensemble docking and molecular dynamics simulations predict PSCA binding to high-sensitive α4β2-nAChR at α4/β2 and β2/β2 interfaces. Complexes are stabilized by ionic and hydrogen bonds between PSCA’s loops II and III and the primary and complementary receptor subunits, including glycosyl groups. This study gives new structural and functional insights into PSCA’s interaction with molecular targets and provides clues to understand its role in the brain function and mental disorders. Full article
Show Figures

Figure 1

25 pages, 2347 KB  
Article
Accurate Protein Dynamic Conformational Ensembles: Combining AlphaFold, MD, and Amide 15N(1H) NMR Relaxation
by Dmitry Lesovoy, Konstantin Roshchin, Benedetta Maria Sala, Tatyana Sandalova, Adnane Achour, Tatiana Agback, Peter Agback and Vladislav Orekhov
Int. J. Mol. Sci. 2025, 26(18), 8917; https://doi.org/10.3390/ijms26188917 - 12 Sep 2025
Viewed by 1700
Abstract
Conformational heterogeneity is essential for protein function, yet validating theoretical molecular dynamics (MD) ensembles remains a significant challenge. In this study, we present an approach that integrates free MD simulations, starting from an AlphaFold-generated structure, with refined experimental NMR-relaxation data to identify biologically [...] Read more.
Conformational heterogeneity is essential for protein function, yet validating theoretical molecular dynamics (MD) ensembles remains a significant challenge. In this study, we present an approach that integrates free MD simulations, starting from an AlphaFold-generated structure, with refined experimental NMR-relaxation data to identify biologically relevant holistic time-resolved 4D conformational ensembles. Specifically, we select trajectory segments (RMSD plateaus) consistent with experimental observables. For the extracellular region of Streptococcus pneumoniae PsrSp, we found that only specific segments of the long MD trajectory aligned well with experimental data. The resulting ensembles revealed two regions with increased flexibility, both of which play important functional roles. Full article
(This article belongs to the Special Issue Molecular Dynamics Simulations of Protein Structures)
Show Figures

Graphical abstract

Back to TopTop