Effect of Plasma-Activated Water Pretreatment Combined with High-CO2 Modified Atmosphere Packaging on the Quality and Microbial Profile of Half-Smooth Tongue Sole (Cynoglossus semilaevis) During Superchilling Storage
Abstract
1. Introduction
2. Materials and Methods
2.1. Preparation of PAW and Samples
2.2. Microbiological quality
2.3. Color Difference Determination
2.4. Water-Holding Capacity (WHC)
2.5. Sensory Evaluation Determination
2.6. Total Volatile Basic Nitrogen (TVB-N)
2.7. K Value Dtermination
2.8. Thiobarbituric Acid Reactive Substances (TBARs)
2.9. Low-Field Nuclear Magnetic Resonance (LF-NMR) and Magnetic Resonance Imaging (MRI)
2.10. TCA-Soluble Peptide
2.11. Myofibrillar Protein (MP) Extraction
2.12. Carbonyl Content and Total Sulfhydryl Content
2.13. MPs Secondary Structure Determination
2.14. MPs Tertiary Structure Determination
2.15. Statistical Analysis
3. Results and Discussion
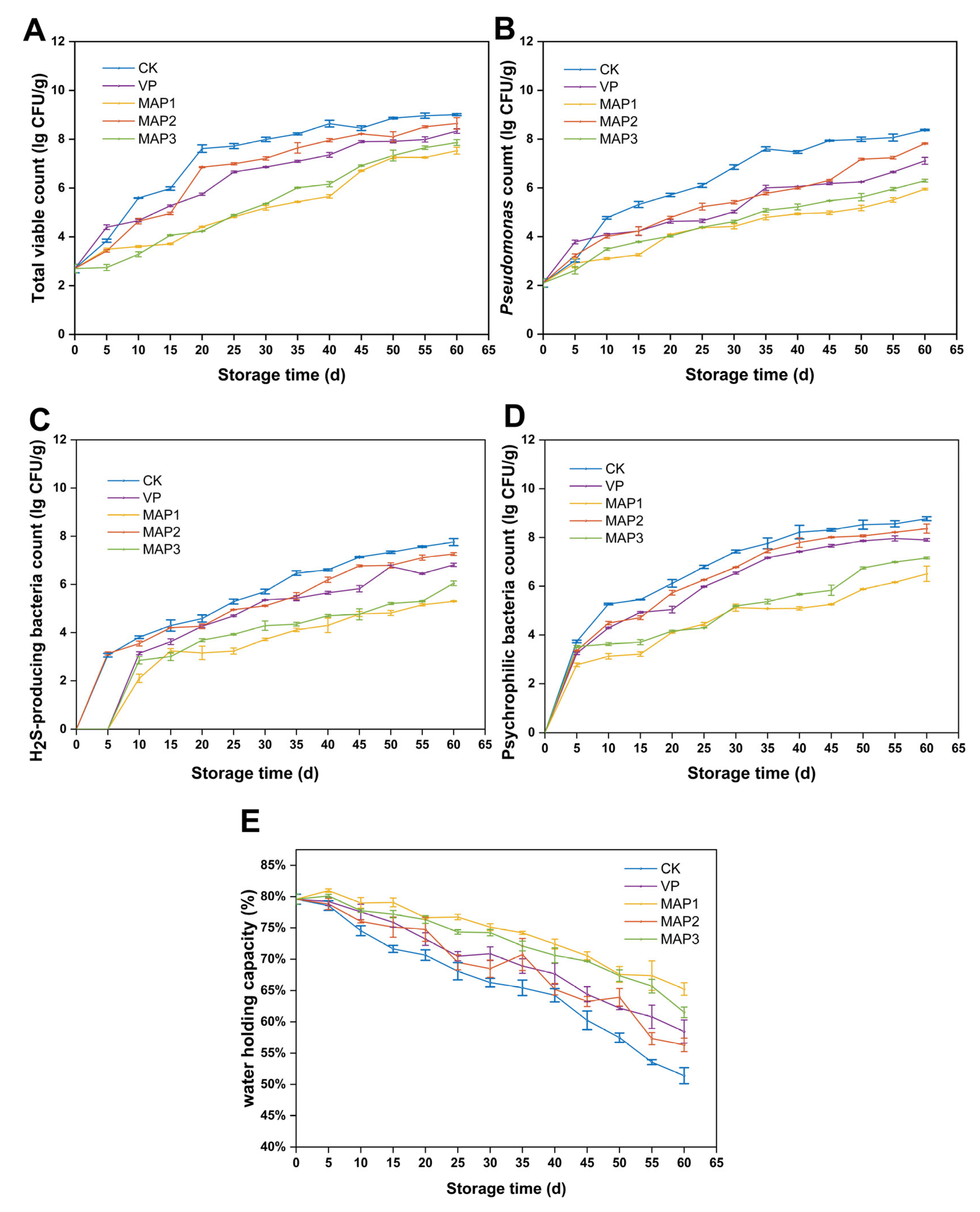
3.1. Microbial Analysis
TVC
3.2. Physical and Chemical Analyses
3.2.1. Color Difference
3.2.2. WHC
3.2.3. Sensory Evaluation
3.2.4. TVB-N Value
3.2.5. K Value
3.2.6. TBARs
3.2.7. LF-NMR and MRI
3.2.8. TCA-Soluble Peptides
3.2.9. Carbonyl Content
3.2.10. Total Sulfhydryl Content
3.2.11. The Secondary Structure of MPs
3.2.12. The Tertiary Structure of MPs
4. Conclusions
Author Contributions
Funding
Institutional Review Board Statement
Informed Consent Statement
Data Availability Statement
Conflicts of Interest
References
- Du, Q.; Zhou, L.; Li, M.; Lyu, F.; Liu, J.; Ding, Y. Omega-3 polyunsaturated fatty acid encapsulation system: Physical and oxidative stability, and medical applications. Food Front. 2022, 3, 239–255. [Google Scholar] [CrossRef]
- Han, Q.-Y.; Wen, X.; Gao, J.-Y.; Zhong, C.-S.; Ni, Y.-Y. Application of plasma-activated water in the food industry: A review of recent research developments. Food Chem. 2023, 405, 134797. [Google Scholar] [CrossRef] [PubMed]
- Cheng, Y.; Li, Y.; Yang, H.; Wu, L.; Dong, Z.; Lou, Y.; Fu, S. Spoilage mechanism and preservation technologies on the quality of salmon: An overview. Food Biosci. 2025, 69, 107006. [Google Scholar] [CrossRef]
- Liu, X.; Zhang, M.; Meng, X.; Bai, Y.; Dong, X. Effect of Plasma-Activated Water on Shewanella putrefaciens Population Growth and Quality of Yellow River Carp (Cyprinus carpio) Fillets. J. Food Prot. 2021, 84, 1722–1728. [Google Scholar] [CrossRef]
- Chaijan, M.; Chaijan, S.; Panya, A.; Nisoa, M.; Cheong, L.-Z.; Panpipat, W. Combined effects of prior plasma-activated water soaking and whey protein isolate-ginger extract coating on the cold storage stability of Asian sea bass (Lates calcarifer) steak. Food Control 2022, 135, 108787. [Google Scholar] [CrossRef]
- Gao, R.; Zhang, X.; Cao, X.; Shi, T.; Wang, X.; Li, M.; Lu, C.; Liu, Y.; Tian, Y.; Jin, W.; et al. Plasma activated water (PAW)—Gelatin coatings: Moderate oxidation of gelatin and controlled release of PAW for preservation of snakehead (Channa argus) fillets. LWT 2025, 228, 118103. [Google Scholar] [CrossRef]
- Kontominas, M.G.; Badeka, A.V.; Kosma, I.S.; Nathanailides, C.I. Recent Developments in Seafood Packaging Technologies. Foods 2021, 10, 940. [Google Scholar] [CrossRef]
- Hou, X.; Zhao, H.; Yan, L.; Li, S.; Chen, X.; Fan, J. Effect of CO2 on the preservation effectiveness of chilled fresh boneless beef knuckle in modified atmosphere packaging and microbial diversity analysis. LWT 2023, 187, 115262. [Google Scholar] [CrossRef]
- Czerwiński, K.; Rydzkowski, T.; Wróblewska-Krepsztul, J.; Thakur, V.K. Towards Impact of Modified Atmosphere Packaging (MAP) on Shelf-Life of Polymer-Film-Packed Food Products: Challenges and Sustainable Developments. Coatings 2021, 11, 1504. [Google Scholar]
- Li, P.; Fang, S.; Wang, J.; Mei, J.; Xie, J. Influence of high CO2 modified atmosphere packaging on some quality characteristics of fresh farmed pufferfish (Takifugu obscurus) during refrigerated storage. Czech J. Food Sci. 2020, 38, 123–130. [Google Scholar] [CrossRef]
- Banerjee, R.; Maheswarappa, N.B. Superchilling of muscle foods: Potential alternative for chilling and freezing. Crit. Rev. Food Sci. Nutr. 2019, 59, 1256–1263. [Google Scholar] [CrossRef]
- Shi, G.; Ouyang, Y.; Wang, C.; Shi, L.; Chen, S.; Guo, X.; Xiong, G.; Qiao, Y.; Chen, L.; Li, X.; et al. Quality tracking of largemouth bass (Micropterus salmoides) fillets during superchilling storage by pretreatment with NaCl. Food Bioprod. Process. 2024, 147, 428–440. [Google Scholar] [CrossRef]
- Chan, S.S.; Moen, B.; Løvdal, T.; Roth, B.; Nilsson, A.; Pettersen, M.K.; Rotabakk, B.T. Extending the Shelf Life of Atlantic Salmon (Salmo salar) with Sub-Chilled Storage and Modified Atmosphere Packaging in Recyclable Mono-Material Trays. Foods 2024, 13, 19. [Google Scholar] [CrossRef] [PubMed]
- Mei, J.; Liu, F.; Fang, S.; Lan, W.; Xie, J. High-CO2 Modified Atmosphere Packaging with Superchilling (−1.3 °C) Inhibit Biochemical and Flavor Changes in Turbot (Scophthalmus maximus) during Storage. Molecules 2020, 25, 2826. [Google Scholar] [CrossRef] [PubMed]
- Kuuliala, L.; Al Hage, Y.; Ioannidis, A.G.; Sader, M.; Kerckhof, F.M.; Vanderroost, M.; Boon, N.; De Baets, B.; De Meulenaer, B.; Ragaert, P.; et al. Microbiological, chemical and sensory spoilage analysis of raw Atlantic cod (Gadus morhua) stored under modified atmospheres. Food Microbiol. 2018, 70, 232–244. [Google Scholar] [CrossRef]
- Xiang, Q.; Fan, L.; Li, Y.; Dong, S.; Li, K.; Bai, Y. A review on recent advances in plasma-activated water for food safety: Current applications and future trends. Crit. Rev. Food Sci. Nutr. 2022, 62, 2250–2268. [Google Scholar] [CrossRef]
- Qian, J.; Yan, L.; Ying, K.; Luo, J.; Zhuang, H.; Yan, W.; Zhang, J.; Zhao, Y. Plasma-activated water: A novel frozen meat thawing media for reducing microbial contamination on chicken and improving the characteristics of protein. Food Chem. 2022, 375, 131661. [Google Scholar] [CrossRef]
- Li, Y.; Mei, J.; Xie, J. Effect of air-conditioned packaging combined with temperature fluctuations on the preservation of mandarin fish (Siniperca chuatsi). Food Chem. 2025, 480, 143893. [Google Scholar] [CrossRef]
- Xu, Z.; Zhao, X.; Yang, W.; Mei, J.; Xie, J. Effect of magnetic nano−particles combined with multi−frequency ultrasound−assisted thawing on the quality and myofibrillar protein−related properties of salmon (Salmo salar). Food Chem. 2024, 445, 138701. [Google Scholar] [CrossRef]
- Shi, P.; Mei, J.; Xie, J. Impact of pretreatment sterilization techniques and ginger (Zingiber officinale roscoe) essential oil-based active packaging on the quality of crucian carp (Carassius auratus) during cold storage. J. Stored Prod. Res. 2025, 112, 102598. [Google Scholar] [CrossRef]
- ISO Standard No. 8586:2023; Sensory Analysis—Selection and Training of Sensory Assessors. International Organization for Standardization: Geneva, Switzerland, 2023.
- Yang, X.; Fang, S.; Xie, Y.; Mei, J.; Xie, J. Preservative Effects of Flaxseed Gum-Sodium Alginate Active Coatings Containing Carvacrol on Quality of Turbot (Scophthalmus maximus) during Cold Storage. Coatings 2024, 14, 338. [Google Scholar] [CrossRef]
- Yi, X.; Chen, B.; Li, Y.; Mei, J.; Xie, J. Volatile flavor compounds dynamics in grouper (Epinephelus lanceolatus) spoilage during cold storage: Deciphering the role of specific spoilage microorganisms. Food Biosci. 2026, 76, 108232. [Google Scholar] [CrossRef]
- Wei, Q.; Sun, Q.; Dong, X.; Kong, B.; Ji, H.; Liu, S. Effect of static magnetic field-assisted freezing at different temperatures on muscle quality of pacific white shrimp (Litopenaeus vannamei). Food Chem. 2024, 438, 138041. [Google Scholar] [CrossRef] [PubMed]
- Pan, N.; Bai, X.; Kong, B.; Liu, Q.; Chen, Q.; Sun, F.; Liu, H.; Xia, X. The dynamic change in the degradation and in vitro digestive properties of porcine myofibrillar protein during freezing storage. Int. J. Biol. Macromol. 2023, 234, 123682. [Google Scholar] [CrossRef]
- Li, P.; Mei, J.; Tan, M.; Xie, J. Carbon dioxide can inhibit the spoilage potential of Shewanella putrefaciens target at protein in large yellow croakers. LWT 2023, 182, 114788. [Google Scholar] [CrossRef]
- Yu, H.; Xie, J. Effect of different orthogonal double frequency ultrasonic assisted freezing on the quality of sea bass. Food Chem. X 2023, 18, 100704. [Google Scholar] [CrossRef]
- The International Commission on Microbiological Specifications for Foods. Sampling for Microbiological Analysis: Principles and Specific Applications; University of Toronto Press: Toronto, ON, Canada, 1974; Volume 2. [Google Scholar]
- Li, P.; Mei, J.; Xie, J. The regulation of carbon dioxide on food microorganisms: A review. Food Res. Int. 2023, 172, 113170. [Google Scholar] [CrossRef]
- Lesani, P.; Singh, G.; Lu, Z.; Mirkhalaf, M.; New, E.J.; Zreiqat, H. Two-photon ratiometric carbon dot-based probe for real-time intracellular pH monitoring in 3D environment. Chem. Eng. J. 2022, 433, 133668. [Google Scholar] [CrossRef]
- Wang, G.; Ma, F.; Zeng, L.; Bai, Y.; Wang, H.; Xu, X.; Zhou, G. Modified atmosphere packaging decreased Pseudomonas fragi cell metabolism and extracellular proteolytic activities on meat. Food Microbiol. 2018, 76, 443–449. [Google Scholar] [CrossRef]
- Sun, R.; Xu, W.; Xiong, L.; Jiang, N.; Xia, J.; Zhu, Y.; Wang, C.; Liu, Q.; Ma, Y.; Luo, H. The combined effects of ultrasound and plasma-activated water on microbial inactivation and quality attributes of crayfish during refrigerated storage. Ultrason. Sonochem. 2023, 98, 106517. [Google Scholar] [CrossRef]
- Babic Milijasevic, J.; Milijasevic, M.; Lilic, S.; Djinovic-Stojanovic, J.; Nastasijevic, I.; Geric, T. Effect of Vacuum and Modified Atmosphere Packaging on the Shelf Life and Quality of Gutted Rainbow Trout (Oncorhynchus mykiss) during Refrigerated Storage. Foods 2023, 12, 3015. [Google Scholar] [CrossRef] [PubMed]
- Chen, J.; Sun, Z.; Jin, J.; Wang, F.; Yang, Q.; Yu, H.; Yu, J.; Wang, Y. Role of siderophore in Pseudomonas fluorescens biofilm formation and spoilage potential function. Food Microbiol. 2023, 109, 104151. [Google Scholar] [CrossRef] [PubMed]
- Ramadhan, A.H.; Yu, D.; Hlaing, K.S.S.; Jiang, Q.; Xu, Y.; Xia, W. Effects of packaging and storage time on lipid and protein oxidation and modifications in texture characteristics of refrigerated grass carp (Ctenopharyngodon idellus) fish muscles. Int. J. Food Sci. Technol. 2025, 60, vvaf082. [Google Scholar] [CrossRef]
- Faustman, C.; Sun, Q.; Mancini, R.; Suman, S.P. Myoglobin and lipid oxidation interactions: Mechanistic bases and control. Meat Sci. 2010, 86, 86–94. [Google Scholar] [CrossRef]
- Zareian, M.; Tybussek, T.; Silcock, P.; Bremer, P.; Beauchamp, J.; Böhner, N. Interrelationship among myoglobin forms, lipid oxidation and protein carbonyls in minced pork packaged under modified atmosphere. Food Packag. Shelf Life 2019, 20, 100311. [Google Scholar] [CrossRef]
- Singh, A.; Mittal, A.; Benjakul, S. Undesirable discoloration in edible fish muscle: Impact of indigenous pigments, chemical reactions, processing, and its prevention. Compr. Rev. Food Sci. Food Saf. 2022, 21, 580–603. [Google Scholar] [CrossRef]
- Suman, S.P.; Joseph, P. CHEMICAL AND PHYSICAL CHARACTERISTICS OF MEAT | Color and Pigment. In Encyclopedia of Meat Sciences, 2nd ed.; Dikeman, M., Devine, C., Eds.; Academic Press: Oxford, UK, 2014; pp. 244–251. [Google Scholar]
- Zduńczyk, W.; Modzelewska-Kapituła, M.; Tkacz, K. Influence of Oxygen and Carbon Dioxide Content in Modified Atmosphere Packaging on the Colour and Water-Holding Capacity of Pork Loin. Appl. Sci. 2024, 14, 3420. [Google Scholar] [CrossRef]
- Pan, J.; Li, C.; Liu, X.; He, L.; Zhang, M.; Huang, S.; Huang, S.; Liu, Y.; Zhang, Y.; Jin, G. A multivariate insight into the organoleptic properties of porcine muscle by ultrasound-assisted brining: Protein oxidation, water state and microstructure. LWT 2022, 159, 113136. [Google Scholar] [CrossRef]
- Chen, Y.; Yang, C.; Yang, Y.; Lin, H.; Cui, L.; Zhen, Z.; Li, X.; Zhang, C.; Li, X.; Li, J. Evaluation of the water state and protein characteristics of Tibetan pork under the storage conditions of modified atmosphere packaging: Effect of oxygen concentration. Food Chem. X 2024, 24, 101825. [Google Scholar] [CrossRef]
- Tan, N.; Shao, Y.; Xu, Y.; Li, Z.; Huang, Z.; Zhang, W.; Deng, S.; Zhang, B.; Zhang, L.; Yuan, P. Tandem mass tag-based quantitative proteomics analysis of modified atmosphere packaging in large yellow croaker (Pseudosciaena crocea) fillets during refrigerated storage. Food Chem. 2025, 463, 141744. [Google Scholar] [CrossRef]
- Xuan, X.-T.; Fan, Y.-F.; Ling, J.-G.; Hu, Y.-Q.; Liu, D.-H.; Chen, S.-G.; Ye, X.-Q.; Ding, T. Preservation of squid by slightly acidic electrolyzed water ice. Food Control 2017, 73, 1483–1489. [Google Scholar] [CrossRef]
- Chi, Y.; Luo, M.; Ding, C. The role of microbiota in fish spoilage: Biochemical mechanisms and innovative preservation strategies. Antonie Van Leeuwenhoek 2025, 118, 89. [Google Scholar] [CrossRef] [PubMed]
- Ren, Y.; Sun, J.; Mao, X. Protein degradation mechanisms during refrigerated storage of gazami crab (Portunus trituberculatus) at endogenous and microbial-derived enzyme levels. Food Chem. 2025, 469, 142449. [Google Scholar] [CrossRef] [PubMed]
- Wu, H.; Forghani, B.; Abdollahi, M.; Undeland, I. Lipid oxidation in sorted herring (Clupea harengus) filleting co-products from two seasons and its relationship to composition. Food Chem. 2022, 373, 131523. [Google Scholar] [CrossRef]
- Nauman, K.; Jaspal, M.H.; Asghar, B.; Manzoor, A.; Akhtar, K.H.; Ali, U.; Ali, S.; Nasir, J.; Sohaib, M.; Badar, I.H. Effect of Different Packaging Atmosphere on Microbiological Shelf Life, Physicochemical Attributes, and Sensory Characteristics of Chilled Poultry Fillets. Food Sci. Anim. Resour. 2022, 42, 153–174. [Google Scholar] [CrossRef]
- Bekhit, A.E.-D.A.; Holman, B.W.B.; Giteru, S.G.; Hopkins, D.L. Total volatile basic nitrogen (TVB-N) and its role in meat spoilage: A review. Trends Food Sci. Technol. 2021, 109, 280–302. [Google Scholar] [CrossRef]
- Bekhit, A.E.D.A.; Giteru, S.G.; Holman, B.W.; Hopkins, D.L. Total volatile basic nitrogen and trimethylamine in muscle foods: Potential formation pathways and effects on human health. Compr. Rev. Food Sci. Food Saf. 2021, 20, 3620–3666. [Google Scholar] [CrossRef]
- Zhong, H.; Wei, S.; Kang, M.; Sun, Q.; Xia, Q.; Wang, Z.; Han, Z.; Liu, Y.; Liu, M.; Liu, S. Effects of different storage conditions on microbial community and quality changes of greater amberjack (Seriola dumerili) fillets. LWT 2023, 179, 114640. [Google Scholar] [CrossRef]
- Zhang, X.; Pan, C.; Chen, S.; Xue, Y.; Wang, Y.; Wu, Y. Effects of Modified Atmosphere Packaging with Different Gas Ratios on the Quality Changes of Golden Pompano (Trachinotus ovatus) Fillets during Superchilling Storage. Foods 2022, 11, 1943. [Google Scholar] [CrossRef]
- Yan, B.; Bai, W.; Tao, Y.; Ye, W.; Zhang, W.; Zhang, N.; Huang, J.; Chen, W.; Fan, D. Physicochemical changes and comparative proteomics analysis of hairtail (Trichiurus lepturus) fish muscles during frozen storage. Food Biosci. 2023, 55, 103021. [Google Scholar] [CrossRef]
- Karim, N.U.; Kennedy, J.T.; Linton, M.; Patterson, M.; Watson, S.; Gault, N. Determination of nucleotide and enzyme degradation in haddock (Melanogrammus aeglefinus) and herring (Clupea harengus) after high pressure processing. PeerJ 2019, 7, e7527. [Google Scholar] [CrossRef]
- Tian, L.; Luo, T.; Zhuang, S.; Li, Y.; Hong, H.; Shu, R.; Tan, Y.; Luo, Y. The changes in physicochemical properties and microbiota composition of grass carp (Ctenopharyngodon idellus) under different aquaculture modes during 4 °C storage. J. Food Process. Preserv. 2022, 46, e16188. [Google Scholar] [CrossRef]
- Li, D.; Zhuang, S.; Peng, Y.; Tan, Y.; Hong, H.; Luo, Y. Mechanism of Inosine Monophosphate Degradation by Specific Spoilage Organism from Grass Carp in Fish Juice System. Foods 2022, 11, 2672. [Google Scholar] [CrossRef] [PubMed]
- Chen, B.; Mei, J.; Xie, J. Effects of packaging methods and temperature variations on the quality and microbial diversity of grouper (Epinephelus Lanceolatus) during cold storage. Food Biosci. 2024, 60, 104315. [Google Scholar] [CrossRef]
- An, Y.; Liu, N.; Xiong, J.; Li, P.; Shen, S.; Qin, X.; Xiong, S.; Wu, D.; Huang, Q. Quality changes and shelf-life prediction of pre-processed snakehead fish fillet seasoned by yeast extract: Affected by packaging method and storage temperature. Food Chem. Adv. 2023, 3, 100418. [Google Scholar] [CrossRef]
- Yin, C.; Wang, J.; Qian, J.; Xiong, K.; Zhang, M. Quality changes of rainbow trout stored under different packaging conditions and mathematical modeling for predicting the shelf life. Food Packag. Shelf Life 2022, 32, 100824. [Google Scholar] [CrossRef]
- Noseda, B.; Islam, M.T.; Eriksson, M.; Heyndrickx, M.; De Reu, K.; Van Langenhove, H.; Devlieghere, F. Microbiological spoilage of vacuum and modified atmosphere packaged Vietnamese Pangasius hypophthalmus fillets. Food Microbiol. 2012, 30, 408–419. [Google Scholar] [CrossRef]
- Kimbuathong, N.; Leelaphiwat, P.; Harnkarnsujarit, N. Inhibition of melanosis and microbial growth in Pacific white shrimp (Litopenaeus vannamei) using high CO2 modified atmosphere packaging. Food Chem. 2020, 312, 126114. [Google Scholar] [CrossRef]
- Pastoriza, L.; Sampedro, G.; Herrera, J.J.; Cabo, M.L. Effect of Modified Atmosphere Packaging on Shelf-Life of Iced Fresh Hake Slices. J. Sci. Food Agric. 1996, 71, 541–547. [Google Scholar] [CrossRef]
- Masniyom, P.; Benjakul, S.; Visessanguan, W. Shelf-life extension of refrigerated seabass slices under modified atmosphere packaging. J. Sci. Food Agric. 2002, 82, 873–880. [Google Scholar] [CrossRef]
- Zhang, Y.; Tian, X.; Jiao, Y.; Wang, Y.; Dong, J.; Yang, N.; Yang, Q.; Qu, W.; Wang, W. Free iron rather than heme iron mainly induces oxidation of lipids and proteins in meat cooking. Food Chem. 2022, 382, 132345. [Google Scholar] [CrossRef]
- Olatunde, O.O.; Benjakul, S.; Vongkamjan, K. Shelf-life of refrigerated Asian sea bass slices treated with cold plasma as affected by gas composition in packaging. Int. J. Food Microbiol. 2020, 324, 108612. [Google Scholar] [CrossRef] [PubMed]
- RHEE, K.S.; KRAHL, L.M.; LUCIA, L.M.; ACUFF, G.R. Antioxidative/Antimicrobial Effects and TBARS in Aerobically Refrigerated Beef as Related to Microbial Growth. J. Food Sci. 1997, 62, 1205–1210. [Google Scholar] [CrossRef]
- Liu, Y.; Kang, S.; Zhang, H.; Kai, Y.; Yang, H. Preservative effect of gelatin/chitosan-based films incorporated with lemon essential oil on grass carp (Ctenopharyngodon idellus) fillets during storage. Int. J. Food Microbiol. 2023, 407, 110437. [Google Scholar] [CrossRef] [PubMed]
- Pan, C.; Zhang, X.; Chen, S.; Xue, Y.; Wu, Y.; Wang, Y.; Wang, D. Analysis of quality-related proteins in golden pompano (Trachinotus ovatus) fillets with modified atmosphere packaging under superchilling storage. Food Sci. Hum. Wellness 2024, 13, 2253–2265. [Google Scholar] [CrossRef]
- Zhao, M.; You, X.; Wu, Y.; Wang, L.; Wu, W.; Shi, L.; Sun, W.; Xiong, G. Acute heat stress during transportation deteriorated the qualities of rainbow trout (Oncorhynchus mykiss) fillets during chilling storage and its relief attempt by ascorbic acid. LWT 2022, 156, 112844. [Google Scholar] [CrossRef]
- Ezeanaka, M.C.; Nsor-Atindana, J.; Zhang, M. Online Low-field Nuclear Magnetic Resonance (LF-NMR) and Magnetic Resonance Imaging (MRI) for Food Quality Optimization in Food Processing. Food Bioprocess Technol. 2019, 12, 1435–1451. [Google Scholar] [CrossRef]
- Zhang, L.; Han, L.; Yang, J.; Sun, Q.; Li, K.; Prakash, S.; Dong, X. Preservation strategies for processed grass carp products: Analyzing quality and microbial dynamics during chilled and ice temperature storage. Food Chem. X 2024, 23, 101428. [Google Scholar] [CrossRef]
- Andreani, N.A.; Fasolato, L. Chapter 2—Pseudomonas and Related Genera. In The Microbiological Quality of Food; Bevilacqua, A., Corbo, M.R., Sinigaglia, M., Eds.; Woodhead Publishing: Cambridge, UK, 2017; pp. 25–59. [Google Scholar]
- Zhang, L.; Yang, D.; Luo, R.; Luo, Y.; Hou, Y. Research Progress on the Mechanism of the Impact of Myofibrillar Protein Oxidation on the Flavor of Meat Products. Foods 2024, 13, 3268. [Google Scholar] [CrossRef]
- Dragoev, S.G. Lipid Peroxidation in Muscle Foods: Impact on Quality, Safety and Human Health. Foods 2024, 13, 797. [Google Scholar] [CrossRef]
- Lin, H.; He, X.; Liu, C.; Meng, J.; Guan, W.; Hou, C.; Zhang, C.; Wang, W. Static magnetic field-assisted supercooling preservation enhances water-holding capacity of beef during subzero storage. Innov. Food Sci. Emerg. Technol. 2022, 80, 103106. [Google Scholar] [CrossRef]
- Yang, C.; Wu, G.; Liu, Y.; Li, Y.; Zhang, C.; Liu, C.; Li, X. Low-voltage electrostatic field enhances the frozen force of −12 °C to suppress oxidative denaturation of the lamb protein during the subsequent frozen storage process after finishing initial freezing. Food Chem. 2024, 438, 138055. [Google Scholar] [CrossRef]
- Guo, Y.; Huang, J.; Sun, X.; Lu, Q.; Huang, M.; Zhou, G. Effect of normal and modified atmosphere packaging on shelf life of roast chicken meat. J. Food Saf. 2018, 38, e12493. [Google Scholar] [CrossRef]
- Ding, J.; Wang, M.; Wu, J.; Li, Q.; Zhao, Y.; Li, J.; Sun, T. Preservation properties of eugenol and its compound on seasoned Lateolabrax japonicus fillets. J. Food Meas. Charact. 2023, 17, 1264–1278. [Google Scholar] [CrossRef]
- Ni, X.; Li, M.; Huang, Z.; Wei, Y.; Duan, C.; Li, R.; Fang, Y.; Wang, X.; Xu, M.; Yu, R. Study on the regulation of tea polyphenols on the structure and gel properties of myofibrillar protein from Neosalanx taihuensis. Food Chem. X 2025, 25, 102243. [Google Scholar] [CrossRef] [PubMed]
- Khoder, R.M.; Deng, X.; Zhang, L.; Huang, Q.; You, J.; Liu, R.; Ma, H.; Yin, T. Effect of cinnamaldehyde and tannic acid nano-emulsions on meat quality and protein oxidation during cold storage. Food Packag. Shelf Life 2025, 48, 101462. [Google Scholar] [CrossRef]
- Sai-Ut, S.; Indriani, S.; Srisakultiew, N.; Kingwascharapong, P.; Rawdkuen, S.; Kaewprachu, P.; Jung, Y.H.; Zhang, W.; Pongsetkul, J. Microbial dynamics and quality of goat meat under elevated CO2 in high-O2 modified atmosphere packaging during cold storage. Food Control 2026, 179, 111577. [Google Scholar] [CrossRef]
- Nikoo, M.; Regenstein, J.M.; Noori, F.; Piri Gheshlaghi, S. Autolysis of rainbow trout (Oncorhynchus mykiss) by-products: Enzymatic activities, lipid and protein oxidation, and antioxidant activity of protein hydrolysates. LWT 2021, 140, 110702. [Google Scholar] [CrossRef]
- Li, F.; Wang, B.; Kong, B.; Shi, S.; Xia, X. Decreased gelling properties of protein in mirror carp (Cyprinus carpio) are due to protein aggregation and structure deterioration when subjected to freeze-thaw cycles. Food Hydrocoll. 2019, 97, 105223. [Google Scholar] [CrossRef]
- Li, K.; Zhao, Y.Y.; Kang, Z.L.; Wang, P.; Han, M.Y.; Xu, X.L.; Zhou, G.H. Reduced functionality of PSE-like chicken breast meat batter resulting from alterations in protein conformation. Poult. Sci. 2015, 94, 111–122. [Google Scholar] [CrossRef]
- Couvert, O.; Guégan, S.; Hézard, B.; Huchet, V.; Lintz, A.; Thuault, D.; Stahl, V. Modeling carbon dioxide effect in a controlled atmosphere and its interactions with temperature and pH on the growth of L. monocytogenes and P. fluorescens. Food Microbiol. 2017, 68, 89–96. [Google Scholar] [CrossRef]
- Garcia-Gonzalez, L.; Geeraerd, A.H.; Spilimbergo, S.; Elst, K.; Van Ginneken, L.; Debevere, J.; Van Impe, J.F.; Devlieghere, F. High pressure carbon dioxide inactivation of microorganisms in foods: The past, the present and the future. Int. J. Food Microbiol. 2007, 117, 1–28. [Google Scholar] [CrossRef]
- Sun, Y.; Luo, W.; He, M.; Zhao, Y.; Sun, J.; Mao, X. Effects of different thawing methods on the physicochemical properties and myofibrillar protein characteristics of Litopenaeus vannamei. LWT 2024, 192, 115668. [Google Scholar] [CrossRef]
- Zhang, D.; Yang, X.; Wang, Y.; Wang, B.; Wang, S.; Chang, J.; Liu, S.; Wang, H. Proanthocyanidin B2 and transglutaminase synergistically improves gel properties of oxidized myofibrillar proteins. Food Chem. 2022, 391, 133262. [Google Scholar] [CrossRef]




| Index | L* | |||||
| Treatment | CK | VP | MAP1 | MAP2 | MAP3 | |
| Change in color | 0 d | 64.35 ± 0.33 a | 64.35 ± 0.33 a | 64.35 ± 0.33 a | 64.35 ± 0.33 a | 64.35 ± 0.33 a |
| 5th day | 65.03 ± 3.04 bc | 66.9 ± 0.22 ab | 66.47 ± 0.04 abc | 64.14 ± 0.15 c | 68.54 ± 0.06 a | |
| 10th day | 60.16 ± 0.04 b | 63.43 ± 1.26 a | 59.72 ± 0.17 b | 60.98 ± 0.4 b | 63.54 ± 1.36 a | |
| 15th day | 58.12 ± 0.06 c | 57.29 ± 0.29 d | 59.93 ± 0.18 b | 59.99 ± 0.23 b | 62.76 ± 0.32 a | |
| 20th day | 56.74 ± 0.26 d | 56.44 ± 0.25 d | 58.11 ± 0.15 b | 57.2 ± 0.14 c | 61.72 ± 0.03 a | |
| 25th day | 55.85 ± 0.74 cd | 55.39 ± 0.4 d | 57.72 ± 0.07 b | 56.58 ± 0.51 c | 60.31 ± 0.02 a | |
| 30th day | 54.36 ± 0.48 d | 55.49 ± 0.15 c | 59.96 ± 0.23 a | 55.39 ± 0.12 c | 57.2 ± 0.38 b | |
| 35th day | 53.32 ± 0.37 d | 54.42 ± 0.32 c | 56.11 ± 0.54 ab | 55.65 ± 0.47 b | 56.39 ± 0.13 a | |
| 40th day | 44.67 ± 0.2 c | 53.2 ± 0.85 b | 55.74 ± 0.06 a | 53.13 ± 0.39 b | 55.46 ± 0.16 a | |
| 45th day | 52.46 ± 5.32 b | 46.37 ± 0.93 c | 57.39 ± 2.24 a | 45.6 ± 0.07 c | 55.96 ± 0.22 ab | |
| 50th day | 46.17 ± 0.14 d | 49.81 ± 0.46 b | 59.05 ± 0.35 a | 39.84 ± 0.83 e | 48.05 ± 0.71 c | |
| 55th day | 38.96 ± 0.6 c | 31.02 ± 0.77 d | 49.82 ± 0.07 a | 21.84 ± 1.93 e | 44.13 ± 1.18 b | |
| 60th day | 38.87 ± 1.01 c | 46.42 ± 1.91 a | 45.7 ± 0.48 ab | 39.26 ± 1.19 c | 44.25 ± 0.1 b | |
| Index | a* | |||||
| Treatment | CK | VP | MAP1 | MAP2 | MAP3 | |
| Change in color | 0 d | −3.75 ± 0.07 a | −3.75 ± 0.07 a | −3.75 ± 0.07 a | −3.75 ± 0.07 a | −3.75 ± 0.07 a |
| 5th day | −2.8 ± 0.06 a | −2.86 ± 0.16 a | −2.82 ± 0.21 b | −2.83 ± 0.2 ab | −2.85 ± 0.23 c | |
| 10th day | −2.46 ± 0.21 a | −2.67 ± 0.17 b | −2.72 ± 0.17 ab | −2.79 ± 0.06 b | −2.64 ± 0.2 ab | |
| 15th day | −1.92 ± 0.76 a | −1.85 ± 0.73 a | −1.81 ± 0.67 b | −2.2 ± 0.19 ab | −2.76 ± 0.79 ab | |
| 20th day | −2.14 ± 0.03 a | −2.45 ± 0.52 c | −2.69 ± 0.47 c | −2.98 ± 0.1 b | −3.04 ± 0.18 d | |
| 25th day | −3 ± 0.17 a | −2.98 ± 0.15 a | −3.04 ± 0.04 a | −3.05 ± 0.05 a | −3.09 ± 0.07 b | |
| 30th day | −4.09 ± 0.15 c | −3.95 ± 0.39 ab | −3.65 ± 0.43 a | −3.34 ± 0.15 b | −3.13 ± 0.23 a | |
| 35th day | −4.2 ± 0.06 c | −4.1 ± 0.21 b | −4.02 ± 0.22 a | −3.77 ± 0.21 b | −3.52 ± 0.39 a | |
| 40th day | −4.65 ± 0.04 c | −4.54 ± 0.2 b | −4.36 ± 0.31 a | −4.16 ± 0.14 a | −3.89 ± 0.33 a | |
| 45th day | −4.99 ± 0.14 b | −4.68 ± 0.41 a | −4.56 ± 0.35 a | −4.44 ± 0.2 b | −4.35 ± 0.35 a | |
| 50th day | −4.98 ± 0.2 c | −4.86 ± 0.03 bc | −4.89 ± 0.06 a | −4.91 ± 0.06 b | −4.7 ± 0.41 a | |
| 55th day | −6.77 ± 0.39 b | −6.45 ± 0.51 b | −6.37 ± 0.37 a | −6.3 ± 0.4 b | −5.83 ± 1.11 a | |
| 60th day | −7.3 ± 0.34 c | −7.02 ± 0.2 b | −6.95 ± 0.23 a | −6.81 ± 0.01 bc | −6.58 ± 0.39 a | |
| Index | b* | |||||
| Treatment | CK | VP | MAP1 | MAP2 | MAP3 | |
| Change in color | 0 d | −6.39 ± 0.09 a | −6.39 ± 0.09 a | −6.39 ± 0.09 a | −6.39 ± 0.09 a | −6.39 ± 0.09 a |
| 5th day | −6.39 ± 0.09 e | −4.48 ± 0.19 c | −3.5 ± 0.32 a | −5.49 ± 0.12 d | −4.1 ± 0.29 b | |
| 10th day | −4.58 ± 0.38 c | −2.84 ± 0.23 a | −3.69 ± 0.22 b | −4.58 ± 0.38 c | −3.9 ± 0.46 b | |
| 15th day | −3.85 ± 0.09 d | −2.27 ± 0.05 a | −3.68 ± 0.06 c | −2.95 ± 0.13 b | −3.07 ± 0.07 b | |
| 20th day | −3.61 ± 0.09 c | −1.71 ± 0.33 a | −3.8 ± 0.09 c | −2.97 ± 0.51 b | −2.64 ± 0.06 b | |
| 25th day | −3.39 ± 0.47 c | −1.44 ± 0.06 ab | −1.24 ± 0.06 a | −1.73 ± 0.11 b | −1.29 ± 0.14 a | |
| 30th day | −1.49 ± 0.44 b | −1.08 ± 0.09 b | −0.39 ± 0.19 a | −1.59 ± 0.57 b | −0.95 ± 0.21 ab | |
| 35th day | 0.42 ± 0.07 b | −0.95 ± 0.19 c | −0.48 ± +0.16 c | −0.71 ± 0.08 c | 2.62 ± 0.77 a | |
| 40th day | 0.53 ± 0.08 c | 2.01 ± 0.05 a | 1.44 ± 0.3 b | 1.57 ± 0.32 b | 1.98 ± 0.19 a | |
| 45th day | 2.94 ± 0.52 ab | 2.28 ± +0.16 b | 2.52 ± 0.22 ab | 3.08 ± 0.16 a | 3.09 ± 0.54 a | |
| 50th day | 3.34 ± 0.18 b | 4.57 ± 0.66 a | 4.41 ± 0.54 a | 4.19 ± 0.08 a | 4.67 ± 0.24 a | |
| 55th day | 4.21 ± 0.53 c | 5.44 ± 0.13 b | 6.53 ± 0.32 a | 4.46 ± 0.93 c | 6.07 ± 0.34 ab | |
| 60th day | 5.43 ± +0.26 d | 7.67 ± 0.24 b | 8.52 ± 0.27 a | 6.11 ± 0.18 c | 7.87 ± 0.5 b | |
Disclaimer/Publisher’s Note: The statements, opinions and data contained in all publications are solely those of the individual author(s) and contributor(s) and not of MDPI and/or the editor(s). MDPI and/or the editor(s) disclaim responsibility for any injury to people or property resulting from any ideas, methods, instructions or products referred to in the content. |
© 2026 by the authors. Licensee MDPI, Basel, Switzerland. This article is an open access article distributed under the terms and conditions of the Creative Commons Attribution (CC BY) license.
Share and Cite
Qiu, X.; Mei, J.; Xie, J. Effect of Plasma-Activated Water Pretreatment Combined with High-CO2 Modified Atmosphere Packaging on the Quality and Microbial Profile of Half-Smooth Tongue Sole (Cynoglossus semilaevis) During Superchilling Storage. Foods 2026, 15, 529. https://doi.org/10.3390/foods15030529
Qiu X, Mei J, Xie J. Effect of Plasma-Activated Water Pretreatment Combined with High-CO2 Modified Atmosphere Packaging on the Quality and Microbial Profile of Half-Smooth Tongue Sole (Cynoglossus semilaevis) During Superchilling Storage. Foods. 2026; 15(3):529. https://doi.org/10.3390/foods15030529
Chicago/Turabian StyleQiu, Xiang, Jun Mei, and Jing Xie. 2026. "Effect of Plasma-Activated Water Pretreatment Combined with High-CO2 Modified Atmosphere Packaging on the Quality and Microbial Profile of Half-Smooth Tongue Sole (Cynoglossus semilaevis) During Superchilling Storage" Foods 15, no. 3: 529. https://doi.org/10.3390/foods15030529
APA StyleQiu, X., Mei, J., & Xie, J. (2026). Effect of Plasma-Activated Water Pretreatment Combined with High-CO2 Modified Atmosphere Packaging on the Quality and Microbial Profile of Half-Smooth Tongue Sole (Cynoglossus semilaevis) During Superchilling Storage. Foods, 15(3), 529. https://doi.org/10.3390/foods15030529

