Sign in to use this feature.

Years

Between: -

Subjects

remove_circle_outline
remove_circle_outline
remove_circle_outline
remove_circle_outline
remove_circle_outline
remove_circle_outline
remove_circle_outline
remove_circle_outline
remove_circle_outline

Journals

remove_circle_outline
remove_circle_outline
remove_circle_outline
remove_circle_outline
remove_circle_outline
remove_circle_outline
remove_circle_outline
remove_circle_outline
remove_circle_outline
remove_circle_outline
remove_circle_outline
remove_circle_outline
remove_circle_outline

Article Types

Countries / Regions

remove_circle_outline
remove_circle_outline
remove_circle_outline
remove_circle_outline
remove_circle_outline

Search Results (353)

Search Parameters:
Keywords = moderate supervision

Order results
Result details
Results per page
Select all
Export citation of selected articles as:
25 pages, 767 KB  
Article
Post-COVID-19 Muscle Weakness and Recovery Patterns After Mild-to-Moderate Infection: A Retrospective Analysis of a Structured Rehabilitation Program Using the MRC Scale
by Ovidiu Cristian Chiriac, Daniela Miricescu, Raluca Mititelu, Silviu Marcel Stanciu, Corina Sporea, Ana Raluca Mitrea, Dragos Constantin Lunca, Sarah Adriana Nica, Cristian Constantin Popa and Ileana Adela Vacaroiu
Healthcare 2026, 14(3), 392; https://doi.org/10.3390/healthcare14030392 - 4 Feb 2026
Abstract
Background/Objectives: Post-COVID-19 muscle weakness is common even after mild or moderate infection, driven by systemic inflammation, prolonged inactivity, and reduced functional reserve. This study aimed to describe changes in global muscle strength assessed using the Medical Research Council (MRC) scale in adults [...] Read more.
Background/Objectives: Post-COVID-19 muscle weakness is common even after mild or moderate infection, driven by systemic inflammation, prolonged inactivity, and reduced functional reserve. This study aimed to describe changes in global muscle strength assessed using the Medical Research Council (MRC) scale in adults recovering from mild or moderate COVID-19 who participated in a structured two-week rehabilitation program, and to compare these changes with those observed under standard medical follow-up. Methods: This retrospective study included 193 adults recovering from mild or moderate COVID-19: 160 who completed a structured inpatient rehabilitation program (study group) and 33 who received no supervised rehabilitation (control group). Muscle strength was assessed using the MRC scale at baseline and at follow-up. Non-parametric analyses (Wilcoxon signed-rank test, Mann–Whitney U test, and Spearman correlation) were used to evaluate within-group changes, between-group differences, and associations with age and sex. Results: Both groups showed significant within-group improvements in muscle strength. In the study group, median MRC scores increased from 50 (IQR 40–56) to 52 (IQR 50–56), with a mean ΔMRC of 2.76 ± 8.72 (p < 0.001). In the control group, MRC scores rose from 50 (40–56) to 52 (43–56), corresponding to a mean ΔMRC of 1.00 ± 2.09 (p = 0.005). The between-group comparison of ΔMRC did not reach statistical significance overall; however, age-stratified analyses indicated greater muscle strength gains in the rehabilitation group among participants aged ≥60 years. Conclusions: Short-term improvements in global muscle strength were observed both after structured rehabilitation and under standard medical follow-up, indicating a substantial contribution of natural recovery. Although participants in the rehabilitation group showed numerically larger gains—most notably in the ≥60-year subgroup—between-group differences in ΔMRC were not statistically significant. Overall, these findings support the feasibility and potential functional value of early, individualized rehabilitation while underscoring the need for adequately powered prospective studies to clarify its incremental benefit beyond spontaneous recovery. Full article
(This article belongs to the Special Issue Physical and Rehabilitation Medicine—2nd Edition)
Show Figures

Figure 1

24 pages, 5772 KB  
Article
Method for Generating Pseudo-NDVI from RVI Derived from Satellite-Borne SAR Imagery Data Using CycleGAN and pix2pix Models
by Kohei Arai, Ria Maruta and Hiroshi Okumura
Information 2026, 17(2), 154; https://doi.org/10.3390/info17020154 - 3 Feb 2026
Abstract
Continuous vegetation monitoring is essential for predicting crop varieties and yields; however, optical satellite data are frequently unavailable due to cloud cover. To overcome this limitation, this study proposes a method for generating pseudo-NDVI (Normalized Difference Vegetation Index) imagery from RVI (Radar Vegetation [...] Read more.
Continuous vegetation monitoring is essential for predicting crop varieties and yields; however, optical satellite data are frequently unavailable due to cloud cover. To overcome this limitation, this study proposes a method for generating pseudo-NDVI (Normalized Difference Vegetation Index) imagery from RVI (Radar Vegetation Index) derived from Synthetic Aperture Radar (SAR) data using Generative Adversarial Networks (GANs). Two architectures—pix2pixHD (supervised) and CycleGAN (unsupervised)—were evaluated using Sentinel-1 and Sentinel-2 data under identical conditions. By introducing RVI as an intermediate feature instead of directly converting SAR backscatter to NDVI, the proposed method enhanced physical interpretability and improved correlation with NDVI. Quantitative results show that pix2pix achieved higher accuracy (SSIM = 0.5667, PSNR = 22.24 dB, RMSE = 20.54) than CycleGAN (SSIM = 0.5240, PSNR = 19.54 dB, RMSE = 28.02), with further improvement when combining VV and VH polarization data. Although the absolute accuracy remains moderate, this approach enables continuous annual NDVI time series reconstruction for crop monitoring under persistent cloud conditions, demonstrating clear advantages over conventional direct SAR-to-NDVI conversion methods. Full article
Show Figures

Figure 1

23 pages, 662 KB  
Article
When Digital Power Backfires: A Systems Perspective on Technology-Enacted Abusive Supervision, Defensive Silence, and Counterproductive Work Behavior
by Hong Chen and Zhaoqi Li
Systems 2026, 14(2), 145; https://doi.org/10.3390/systems14020145 - 30 Jan 2026
Viewed by 147
Abstract
Based on Conservation of Resources (COR) theory and a socio-technical systems perspective, this study examines how technology-enacted abusive supervision (TAS) influences employees’ counterproductive work behavior (CWB) in digitalized organizational contexts. Conceptualizing TAS as a system-embedded form of digitally mediated control, we argue that [...] Read more.
Based on Conservation of Resources (COR) theory and a socio-technical systems perspective, this study examines how technology-enacted abusive supervision (TAS) influences employees’ counterproductive work behavior (CWB) in digitalized organizational contexts. Conceptualizing TAS as a system-embedded form of digitally mediated control, we argue that technology-amplified supervisory power constitutes a persistent resource threat that reshapes employees’ behavioral regulation strategies. Using three-wave time-lagged survey data from 428 employees working in digital-intensive enterprises in China, we develop and test a moderated mediation model. The results indicate that TAS is positively associated with CWB, with defensive silence serving as a critical mediating mechanism. Although defensive silence may temporarily reduce interpersonal risk, it disrupts feedback and resource replenishment processes, leading to cumulative resource depletion and a higher likelihood of counterproductive behavior over time. Moreover, power distance significantly moderates this indirect effect, such that the mediating role of defensive silence is stronger among employees with higher-power-distance orientations. By integrating leadership research, COR theory, cultural value orientations, and a socio-technical systems perspective, this study advances our understanding of covert resistance and behavioral risk in technology-driven work systems and offers important implications for digital governance and sustainable organizational performance. Full article
Show Figures

Figure 1

20 pages, 2026 KB  
Article
Temporal Urinary Metabolomic Profiling in ICU Patients with Critical COVID-19: A Pilot Study Providing Insights into Prognostic Biomarkers via 1H-NMR Spectroscopy
by Emir Matpan, Ahmet Tarik Baykal, Lütfi Telci, Türker Kundak and Mustafa Serteser
Curr. Issues Mol. Biol. 2026, 48(1), 112; https://doi.org/10.3390/cimb48010112 - 21 Jan 2026
Viewed by 171
Abstract
Although the impact of COVID-19, caused by SARS-CoV-2, may appear to have diminished in recent years, the emergence of new variants still continues to cause significant global health and economic challenges. While numerous metabolomic studies have explored serum-based alterations linked to the infection, [...] Read more.
Although the impact of COVID-19, caused by SARS-CoV-2, may appear to have diminished in recent years, the emergence of new variants still continues to cause significant global health and economic challenges. While numerous metabolomic studies have explored serum-based alterations linked to the infection, investigations utilizing urine as a biological matrix remain notably limited. This gap is especially significant given the potential advantages of urine, a non-invasive and easily obtainable biofluid, in clinical settings. In the context of patients in intensive care units (ICUs), temporal monitoring through such non-invasive samples may offer a practical and effective approach for tracking disease progression and tailoring therapeutic interventions. This study retrospectively explored the longitudinal metabolomic alterations in COVID-19 patients admitted to the ICU, stratified into three prognostic outcome groups: healthy discharged (HD), polyneuropathic syndrome (PS), and Exitus. A total of 32 urine samples, collected at four distinct time points per patient during April 2020 and preserved at −80 °C, were analyzed by proton nuclear magnetic resonance (1H-NMR) spectroscopy for comprehensive metabolic profiling. Statistical evaluation using two-way ANOVA and ANOVA–Simultaneous Component Analysis (ASCA) identified significant prognostic variations (p < 0.05) in the levels of taurine, 3-hydroxyvaleric acid and formic acid. Complementary supervised classification via random forest modeling yielded moderate predictive performance with out-of-bag error rate of 40.6% based on prognostic categories. Particularly, taurine, 3-hydroxyvaleric acid and formic acid levels were highest in the PS group. However, no significant temporal changes were observed for any metabolite in analyses. Additionally, metabolic pathway analysis conducted using the Kyoto Encyclopedia of Genes and Genomes (KEGG) database highlighted the “taurine and hypotaurine metabolism” pathway as the most significantly affected (p < 0.05) across prognostic classifications. Harnessing urinary metabolomics, as indicated in our preliminary study, could offer valuable insights into the dynamic metabolic responses of ICU patients, thereby facilitating more personalized and responsive critical care strategies in COVID-19 patients. Full article
(This article belongs to the Section Biochemistry, Molecular and Cellular Biology)
Show Figures

Figure 1

31 pages, 4972 KB  
Article
Minutiae-Free Fingerprint Recognition via Vision Transformers: An Explainable Approach
by Bilgehan Arslan
Appl. Sci. 2026, 16(2), 1009; https://doi.org/10.3390/app16021009 - 19 Jan 2026
Viewed by 287
Abstract
Fingerprint recognition systems have relied on fragile workflows based on minutiae extraction, which suffer from significant performance losses under real-world conditions such as sensor diversity and low image quality. This study introduces a fully minutiae-free fingerprint recognition framework based on self-supervised Vision Transformers. [...] Read more.
Fingerprint recognition systems have relied on fragile workflows based on minutiae extraction, which suffer from significant performance losses under real-world conditions such as sensor diversity and low image quality. This study introduces a fully minutiae-free fingerprint recognition framework based on self-supervised Vision Transformers. A systematic evaluation of multiple DINOv2 model variants is conducted, and the proposed system ultimately adopts the DINOv2-Base Vision Transformer as the primary configuration, as it offers the best generalization performance trade-off under conditions of limited fingerprint data. Larger variants are additionally analyzed to assess scalability and capacity limits. The DINOv2 pretrained network is fine-tuned using self-supervised domain adaptation on 64,801 fingerprint images, eliminating all classical enhancement, binarization, and minutiae extraction steps. Unlike the single-sensor protocols commonly used in the literature, the proposed approach is extensively evaluated in a heterogeneous testbed with a wide range of sensors, qualities, and acquisition methods, including 1631 unique fingers from 12 datasets. The achieved EER of 5.56% under these challenging conditions demonstrates clear cross-sensor superiority over traditional systems such as VeriFinger (26.90%) and SourceAFIS (41.95%) on the same testbed. A systematic comparison of different model capacities shows that moderate-scale ViT models provide optimal generalization under limited-data conditions. Explainability analyses indicate that the attention maps of the model trained without any minutiae information exhibit meaningful overlap with classical structural regions (IoU = 0.41 ± 0.07). Openly sharing the full implementation and evaluation infrastructure makes the study reproducible and provides a standardized benchmark for future research. Full article
Show Figures

Figure 1

15 pages, 1893 KB  
Systematic Review
Effectiveness of Exercise Therapy for Postpartum Urinary Incontinence—Systematic Review
by Maitane Cuesta-Paredes, Noé Labata-Lezaun, Cristina Orts-Ruiz, Carlos López-de-Celis and Elena Estébanez-de-Miguel
J. Clin. Med. 2026, 15(2), 810; https://doi.org/10.3390/jcm15020810 - 19 Jan 2026
Viewed by 223
Abstract
Background/Objectives: Urinary incontinence (UI) is a prevalent health condition with a negative impact on quality of life (QoL). Exercise therapy (ET), specifically, pelvic floor muscle training (PFMT), is recommended as a first-line conservative treatment for UI during pregnancy, childbirth, and the postpartum [...] Read more.
Background/Objectives: Urinary incontinence (UI) is a prevalent health condition with a negative impact on quality of life (QoL). Exercise therapy (ET), specifically, pelvic floor muscle training (PFMT), is recommended as a first-line conservative treatment for UI during pregnancy, childbirth, and the postpartum period. This study evaluated the effects of ET on the management of postpartum UI. Methods: A systematic search was conducted to identify clinical trials and randomized controlled trials including women over 18 years with postpartum UI. All included studies used ET as the main intervention. Studies were excluded if UI symptoms were attributable to factors outside the urinary tract or if participants had concomitant pathologies. Results: From 298 records screened, four trials were included. Three trials reported statistically significant improvements in UI outcomes, while findings for pelvic floor function and QoL showed greater heterogeneity. One trial found that supervised PFMT was associated with greater improvements in urinary symptoms (BFLUTS), vaginal pressure (18.96 mmHg (SD: 9.08)), and endurance (11.32 s (SD: 3.17)) compared to unsupervised training. Another trial using electromyographic biofeedback with electrical stimulation reported a continence rate exceeding 70% on the 20 min pad test, with improvements in perceived burden (VAS), symptoms (UDI), and QoL (IIQ). A third trial combining PFMT with infrared physiotherapy showed improvements in pelvic floor function (PFIQ-7, PFDI-20), urodynamic parameters, urine loss, and QoL (GQOLI-74). In the remaining trial, within-group improvements were observed, with no statistically significant between-group differences. Conclusions: ET appears to be beneficial for postpartum UI, with a moderate certainty of evidence. While the greatest benefits are observed with supervised PFMT, the diversity of comparators, and the risk of performance bias limit definitive conclusions regarding its superiority. Given the short-term follow-up, it remains unclear whether the results are influenced by the spontaneous recovery trajectory in the postpartum period and if these effects are sustained in the long term. Full article
(This article belongs to the Section Clinical Rehabilitation)
Show Figures

Figure 1

12 pages, 588 KB  
Systematic Review
Artificial Intelligence Approaches to Predict Postoperative Length of Hospital Stay in Head and Neck Cancer Patients: A Systematic Review 
by Willian Nogueira Silva, Anna Luíza Damaceno Araújo, Alvaro Sanabria, Ludhmila A. Hajjar, Juan Pablo Rodrigo, Karthik N. Rao, Ewa Florek, Remco de Bree, Alfio Ferlito and Luiz Paulo Kowalski
Diagnostics 2026, 16(2), 263; https://doi.org/10.3390/diagnostics16020263 - 14 Jan 2026
Viewed by 311
Abstract
Background/Objectives: The aim of the present systematic review is to evaluate the performance of AI models for length of stay prediction. Methods: This SR was carried out in accordance with PRISMA 2020 and registered in PROSPERO database (CRD420251039985). Using the PICOS framework, we [...] Read more.
Background/Objectives: The aim of the present systematic review is to evaluate the performance of AI models for length of stay prediction. Methods: This SR was carried out in accordance with PRISMA 2020 and registered in PROSPERO database (CRD420251039985). Using the PICOS framework, we formulated the following research question: “Can artificial intelligence models accurately predict hospital length of stay (LOS) in patients undergoing head and neck (H&N) cancer surgery?” We searched the Cochrane Library, Embase, PubMed, and Scopus, with additional gray literature identified through Google Scholar and ProQuest. Risk of bias (RoB) was assessed using the Prediction Model Risk of Bias Assessment Tool (PROBAST), and a narrative synthesis was performed to summarize qualitative findings. Results: Of 1304 identified articles, 5 met inclusion criteria, covering 5009 patients. All studies used supervised learning to predict LOS with different variables presenting stronger associations with increased hospital LOS. Age, race, ASA score, BMI, and comorbid factors like smoking and arterial hypertension were comon variables across studies but not always the ones most strongly associated with LOS. One study also predicted discharge to non-home facilities and prolonged LOS; only one applied data balancing. Model accuracies ranged from 0.63 to 0.84, and area under the receiver operator characteristics curve (AUROC) values from 0.66 to 0.80, suggesting moderate discriminative performance. All studies had a high risk of bias, though no applicability concerns were noted. Conclusions: AI models show potential for LOS prediction after H&N cancer surgery; however, an elevated RoB and methodological shortcomings constrain the current evidence. Methodological improvements, external validation, and transparent reporting is essential to enhance reliability and generalizability, enabling integration into clinical decision-making. Full article
Show Figures

Figure 1

27 pages, 4481 KB  
Article
Quantifying the Linguistic Complexity of Pan-Homophonic Events in Stock Market Volatility Dynamics
by Yunfan Zhang, Jingqian Tian, Yutong Zou, Xu Zhang and Xiao Cai
Entropy 2026, 28(1), 90; https://doi.org/10.3390/e28010090 - 12 Jan 2026
Viewed by 259
Abstract
Pan-Homophonic events denote fluctuations in stock prices that are triggered by phonetic similarities between event keywords and stock tickers. As a relatively novel and under-researched phenomenon, they mirror a subtle yet influential behavioral deviation within financial markets. Centering on the case of Chuandazhisheng, [...] Read more.
Pan-Homophonic events denote fluctuations in stock prices that are triggered by phonetic similarities between event keywords and stock tickers. As a relatively novel and under-researched phenomenon, they mirror a subtle yet influential behavioral deviation within financial markets. Centering on the case of Chuandazhisheng, this study delves into how such events produce dynamic and time-varying impacts on stock prices. A linguistic amplitude segmentation method is devised to discriminate between high- and low-intensity events based on information entropy. To separate pan-homophonic-driven price movements from broader market trends, the Relational Stock Ranking (RSR) model is integrated with a Dynamic Conditional Correlation-Generalized Autoregressive Conditional Heteroskedasticity (DCC-GARCH) framework to establish an adjusted price benchmark. The empirical analysis reveals a sequential price response: initial moderate fluctuations in the low-amplitude phase often yield to more prominent volatility in the high-amplitude phase. While price surges typically occur within one or two days of the event, they generally revert within approximately three weeks. Moreover, repeated exposures to homo- phonic stimuli seem to attenuate the response, indicating a decaying spillover pattern. These findings contribute to a more profound understanding of the intersection between linguistic cues and market behavior and provide practical insights for investor education, information filtering, and regulatory supervision. Full article
(This article belongs to the Special Issue Spreading Dynamics in Complex Networks)
Show Figures

Figure 1

20 pages, 317 KB  
Review
Diet, Physical Exercise, and Gut Microbiota Modulation in Metabolic Syndrome: A Narrative Review
by Ana Onu, Andrei Tutu, Daniela-Marilena Trofin, Ilie Onu, Anca-Irina Galaction, Cristiana Amalia Onita, Daniel-Andrei Iordan and Daniela-Viorelia Matei
Life 2026, 16(1), 98; https://doi.org/10.3390/life16010098 - 10 Jan 2026
Viewed by 381
Abstract
Background: Metabolic syndrome (MetS) is a multifactorial condition characterized by insulin resistance, dyslipidemia, hypertension, and central obesity, and is strongly influenced by lifestyle factors. Growing evidence highlights the gut microbiota as a key mediator linking diet and physical exercise to cardiometabolic health. Objective: [...] Read more.
Background: Metabolic syndrome (MetS) is a multifactorial condition characterized by insulin resistance, dyslipidemia, hypertension, and central obesity, and is strongly influenced by lifestyle factors. Growing evidence highlights the gut microbiota as a key mediator linking diet and physical exercise to cardiometabolic health. Objective: This narrative review aims to qualitatively synthesize current evidence on the effects of physical exercise and major dietary patterns including the Mediterranean diet (MedDiet), Dietary Approaches to Stop Hypertension (DASH), and ketogenic/very-low-calorie ketogenic diets (KD/VLCKD) on gut microbiota composition and function, and their implications for metabolic health in MetS. Methods: A qualitative narrative synthesis of experimental, observational, and interventional human and animal studies was performed. The reviewed literature examined associations between structured physical exercise or dietary interventions and changes in gut microbiota diversity, key bacterial taxa, microbial metabolites, and cardiometabolic outcomes. Considerable heterogeneity across studies was noted, including differences in populations, intervention duration and intensity, dietary composition, and microbiota assessment methodologies. Results: Across human interventional studies, moderate-intensity physical exercise was most consistently associated with increased gut microbial diversity and enrichment of short-chain fatty acid (SCFA)-producing taxa, contributing to improved insulin sensitivity and reduced inflammation. MedDiet and DASH were generally linked to favorable microbiota profiles, including increased abundance of Faecalibacterium prausnitzii, Akkermansia muciniphila, and Bifidobacterium, alongside reductions in pro-inflammatory metabolites such as lipopolysaccharides and trimethylamine N-oxide. In contrast, KD and VLCKD were associated with rapid weight loss and glycemic improvements but frequently accompanied by reductions in SCFA-producing bacteria, depletion of Bifidobacterium, and markers of impaired gut barrier integrity, raising concerns regarding long-term microbiota resilience. Conclusions: Lifestyle-based interventions exert diet- and exercise-specific effects on the gut microbiota–metabolism axis. While MedDiet, DASH, and regular moderate physical activity appear to promote sustainable microbiota-mediated cardiometabolic benefits, ketogenic approaches require careful personalization, limited duration, and medical supervision. These findings support the integration of dietary quality, exercise prescription, and individual microbiota responsiveness into translational lifestyle strategies for MetS prevention and management. Full article
12 pages, 731 KB  
Systematic Review
Durability of Exercise vs. Revascularization in Intermittent Claudication: An Updated Meta-Analysis of Randomized Trials Focusing on Patient-Centered Outcomes
by Mislav Puljevic, Petra Grubic-Rotkvic, Mia Dubravcic-Dosen, Andrija Stajduhar and Majda Vrkic-Kirhmajer
Healthcare 2026, 14(2), 170; https://doi.org/10.3390/healthcare14020170 - 8 Jan 2026
Viewed by 279
Abstract
Intermittent claudication (IC) is the most frequent symptomatic manifestation of lower-extremity peripheral artery disease (PAD). Supervised exercise therapy (SET) and endovascular revascularization (ER) are established treatments, but their relative and combined effects on health-related quality of life (HRQoL) remain. We conducted a systematic [...] Read more.
Intermittent claudication (IC) is the most frequent symptomatic manifestation of lower-extremity peripheral artery disease (PAD). Supervised exercise therapy (SET) and endovascular revascularization (ER) are established treatments, but their relative and combined effects on health-related quality of life (HRQoL) remain. We conducted a systematic review and meta-analysis of randomized controlled trials (RCTs) comparing SET, ER, and ER+SET, with HRQoL as the primary outcome. Methods: Following PRISMA 2020, PubMed, Embase, and CENTRAL were used in December 2024. Eligible RCTs enrolled with IC (excluding critical limb-threatening ischemia) and reported validated HRQoL outcomes at ≥3 months. Two reviewers independently extracted data and assessed risk of bias using the Cochrane RoB 2.0 tool. Random-effects meta-analyses pooled standardized mean differences (SMDs) for HRQoL and mean differences (MDs) for walking distance. Results: Five RCTs (n = 728) were included. Compared with optimal medical therapy, both SET and ER improved HRQoL and walking distance. At 12 months, no significant effect was observed between SET and ER (SMD 0.02; 95% CI: −0.18 to 0.22). ER+SET was superior to SET alone (SMD 0.35; 95% CI: 0.12–0.57). Beyond 24 months, improvements were sustained with SET but attenuated with ER, accompanied by higher reintervention rates in ER-containing arms (approximately 20–30% by 2 years). Adverse events were rare (<1%). Conclusions: Given moderate-certainty evidence (GRADE), SET should remain the first-line therapy for intermittent claudication because it provides durable improvements in patient-centered outcomes with minimal harm. Endovascular revascularization (ER) can provide faster symptom relief, but its long-term benefits are constrained by restenosis and repeat procedures, particularly in femoropopliteal disease. Full article
(This article belongs to the Section Clinical Care)
Show Figures

Figure 1

14 pages, 423 KB  
Article
Integrating Bayesian Inference and Machine Learning to Evaluate TAP and Trypsin-2 as Early Biomarkers of Systemic Inflammation in Acute Pancreatitis
by Alina Calin Frij, Cristian Velicescu, Andrei Andone, Roxana Covali, Alin Ciubotaru, Roxana Grigorovici, Cristina Popa, Daniela Cosntantinescu, Mariana Pavel-Tanasa and Alexandru Grigorovici
Medicina 2026, 62(1), 116; https://doi.org/10.3390/medicina62010116 - 5 Jan 2026
Viewed by 252
Abstract
Background and Objectives: Acute pancreatitis (AP) has a wide range of clinical severity, and early prediction of disease progression is still challenging. Trypsinogen-activating peptide (TAP) and trypsin-2 serve as direct biomarkers for intrapancreatic proteolytic activation and may provide earlier pathophysiological information compared with [...] Read more.
Background and Objectives: Acute pancreatitis (AP) has a wide range of clinical severity, and early prediction of disease progression is still challenging. Trypsinogen-activating peptide (TAP) and trypsin-2 serve as direct biomarkers for intrapancreatic proteolytic activation and may provide earlier pathophysiological information compared with traditional markers. Materials and Methods: In this retrospective cohort analysis involving 54 AP patients, we evaluated 24 h serum and urinary TAP and trypsin-2 concentrations by Bayesian correlation, mediation analysis, unsupervised K-means clustering, and supervised machine learning (Elastic Net and Random Forest). The analyses investigated the relationships of biomarkers with inflammation (CRP), enzymatic activities (amylase, lipase), and clinical factors, as well as inflammation severity (CRP levels). Results: Bayesian correlations indicated moderate evidence for a relationship between serum TAP and CRP (BF10 = 8.42), as well as strong evidence linking age to serum TAP (BF10 = 12.75). Serum trypsin-2 showed no correlation with CRP, while urinary trypsin-2 had a correlation with amylase (BF10 = 6.89). Mediation analysis indicated that TAP and trypsin-2 accounted for 42–44% of the impact of CRP on pancreatic enzyme elevation. Clustering revealed three phenotypic subgroups (“Mild Activation”, “Moderate System”, and “Severe Pancreatic-Renal”), the latter showing the highest levels of CRP and biomarkers. Machine learning models highlighted urinary trypsin-2 and age as the most significant predictors of inflammation, with Random Forest achieving the highest performance (R2 = 0.53). Conclusions: Early urinary trypsin-2 outperforms serum markers as a predictor of systemic inflammatory intensity, indicating total proteolytic impairment and renal clearance. This integrative analysis reveals unique biological phenotypes and highlights the potential of these biomarkers for early assessment of the inflammatory burden. Their role in predicting clinical disease progression requires prospective validation. Integrative biomarker analysis reveals unique biological phenotypes and improves assessment of inflammatory burden in PA. Larger cohorts are required for prospective validation to incorporate these biomarkers into precision-based diagnostic frameworks. Full article
(This article belongs to the Special Issue Abdominal Surgery: Clinical Updates and Future Perspectives)
Show Figures

Figure 1

17 pages, 940 KB  
Systematic Review
Physical Activity as a Tool for Social Inclusion in Multiple Sclerosis: A Systematic Review of Qualitative, Quantitative, and Mixed-Methods Evidence
by Federica Marzoli, Ludovica Cardinali, Gianluca Di Pinto, Matteo Campanella, Andrea Colombo, Dafne Ferrari, Lorenzo Marcelli, Fioretta Silvestri, Andrea De Giorgio, Andrea Velardi, Davide Curzi and Laura Guidetti
Sports 2026, 14(1), 25; https://doi.org/10.3390/sports14010025 - 5 Jan 2026
Viewed by 316
Abstract
Background: People with multiple sclerosis (PwMS) face a wide range of social barriers, including stigma, limited support, and inaccessible environments, that restrict participation in physical activity (PA). Although PA is known to improve physical and psychological outcomes, its role in reducing social [...] Read more.
Background: People with multiple sclerosis (PwMS) face a wide range of social barriers, including stigma, limited support, and inaccessible environments, that restrict participation in physical activity (PA). Although PA is known to improve physical and psychological outcomes, its role in reducing social barriers has not been clearly synthesized. Methods: Following PRISMA 2020 guidelines, we conducted a systematic search of PubMed, Scopus, and Web of Science (January 1997–October 2025). Qualitative, quantitative, and mixed-methods studies examining how PA relates to social barriers, facilitators, or social outcomes for PwMS were included. Data were synthesized using a thematic analysis approach due to heterogeneity in study designs and outcomes. Risk of bias was assessed using JBI, NIH, RoB 2.0, and MMAT tools. Results: Twenty-nine studies met the inclusion criteria. The thematic synthesis identified three overarching mechanisms through which PA contributes to reducing social barriers: (1) peer support and shared experience, whereby group-based PA reduced isolation and normalized fluctuating symptoms; (2) guidance from knowledgeable professionals, which fostered trust, confidence, and perceived safety; and (3) changes in social identity, with participants shifting from a “sick role” toward identities such as “exerciser” or “athlete.” These mechanisms were supported by high-quality qualitative studies and by quantitative evidence showing small-to-moderate effect sizes for improvements in self-efficacy, social participation, and perceived social support. Conclusions: PA functions as a socially transformative practice for PwMS when delivered in group-based, supervised, and accessible formats. Programs designed to intentionally cultivate peer connection, professional support, and identity-building processes may be especially effective in overcoming social barriers and promoting social inclusion. Full article
Show Figures

Graphical abstract

16 pages, 919 KB  
Article
12-Month Weight Loss and Adherence Predictors in a Real-World UK Tirzepatide-Supported Digital Obesity Service: A Retrospective Cohort Analysis
by Louis Talay, Jason Hom, Tamara Scott and Neera Ahuja
Healthcare 2026, 14(1), 60; https://doi.org/10.3390/healthcare14010060 - 26 Dec 2025
Viewed by 1121
Abstract
Background: Obesity management is evolving with the integration of dual GIP/GLP-1 receptor agonists (Tirzepatide) into comprehensive Digital Weight-Loss Services (DWLSs). This model leverages virtual, app-based multidisciplinary care (MDT) to deliver continuous, supervised treatment, distinguishing it from traditional, intermittent clinic-based care. While clinical [...] Read more.
Background: Obesity management is evolving with the integration of dual GIP/GLP-1 receptor agonists (Tirzepatide) into comprehensive Digital Weight-Loss Services (DWLSs). This model leverages virtual, app-based multidisciplinary care (MDT) to deliver continuous, supervised treatment, distinguishing it from traditional, intermittent clinic-based care. While clinical trials demonstrate high efficacy, real-world data are necessary to evaluate long-term adherence and identify predictive markers for patient persistence in these scalable care models. Specifically, there is a knowledge gap regarding the specific behavioral factors that govern 12-month persistence in these comprehensive, medicated DWLS settings. This study retrospectively assessed the 12-month effectiveness and adherence of a Tirzepatide-supported DWLS and identified demographic, clinical, and behavioral predictors of weight loss and program attrition. Methods: Data from 19,693 patients enrolled in the Juniper UK DWLS were analyzed. Adherence was defined by a minimum of 10 medication orders and 12-month weight submission. Weight loss in the full cohort was evaluated using the Last Observation Carried Forward (LOCF) method. Binary logistic and multiple linear regression models identified predictors of adherence and weight loss, respectively, using a comprehensive set of demographic, clinical (e.g., BMI, comorbidities), and behavioral variables. Results: The 12-month adherence rate was 27%. The adherent sub-cohort (n = 5322) achieved a mean weight loss of 22.60 (±7.46) percent, compared to 13.62 (±10.85) percent in the full cohort (LOCF). This difference in 12-month mean weight loss was statistically significant (p < 0.001). Consistent weekly weight tracking and health coach communication were the strongest positive predictors of long-term adherence and weight loss. Conversely, hyper-engagement, specifically intensive tracking frequency and high weight loss velocity in the first month, was a significant inverse predictor of 12-month adherence. Reporting side effects was positively correlated with adherence, suggesting a reporting bias among engaged patients. Conclusions: The DWLS model facilitates the maximum therapeutic effectiveness for adherent patients. However, patient persistence remains the primary translational challenge. As consistent weekly engagement (tracking, coaching) is the strongest predictor of success, clinical strategies should prioritize promoting sustainable, moderate behavioral pacing (i.e., emphasizing consistent weekly engagement over intensive daily tracking and rapid early weight loss) to mitigate attrition risk and optimize the public health effectiveness of medicated DWLSs. Full article
Show Figures

Figure 1

20 pages, 2038 KB  
Review
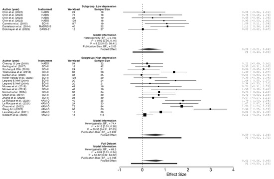
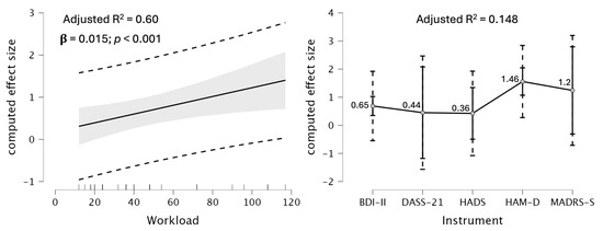
An Update on the Effect of Physical Exercise on Depressive Disorder: A Systematic Review with Meta-Analysis and Meta-Regression of Randomized Controlled Trials
by Arnulfo Ramos-Jiménez, Rosa P. Hernández-Torres, Javier A. Ramos-Hernández, Marina Trejo-Trejo and Isaac A. Chávez-Guevara
J. Funct. Morphol. Kinesiol. 2026, 11(1), 9; https://doi.org/10.3390/jfmk11010009 - 25 Dec 2025
Viewed by 1040
Abstract
Background: Physical exercise (PE) has emerged as a promising intervention for depressive disorder (DD), yet its efficacy and optimal implementation remain under investigation. Objective: To thoroughly assess the effectiveness of supervised PE as a conventional intervention for adults with DD. Methods: [...] Read more.
Background: Physical exercise (PE) has emerged as a promising intervention for depressive disorder (DD), yet its efficacy and optimal implementation remain under investigation. Objective: To thoroughly assess the effectiveness of supervised PE as a conventional intervention for adults with DD. Methods: A comprehensive literature search was conducted across PubMed/MEDLINE, EBSCOhost, Ovid, Web of Science, and Scopus. Randomized controlled trials (RCTs) published between 2010–2025 involving adults with DD without other comorbidities under supervised exercise interventions were selected. Methodological rigor was ensured through two independent reviewers and adherence to PRISMA 2020 guidelines. The influence of moderating variables [total work performed (workload) and the instrument used to evaluate DD (instrument)] was analyzed using meta-regression. The pooled effect size was estimated using both frequentist and Bayesian meta-analyses. Results: From 15,542 screened records, 20 RCTs were selected. Workload and instrument account for 60% and 15% of the variance in the effect size, respectively. Both frequentist and Bayesian meta-analyses showed that supervised PE reduces depressive symptoms (standardized mean difference = 0.82; 95% CI: 0.54–1.11; I2 = 76%, and 0.61; 95% CI: −0.06–0.95; I2 = 51, respectively). Conclusions: PE could be a valuable complementary intervention to reduce depressive symptoms in adults with depression. PROSPERO (CRD420251121919). Full article
(This article belongs to the Section Physical Exercise for Health Promotion)
Show Figures

Figure 1

17 pages, 759 KB  
Article
Feasibility and Challenges of Pilotless Passenger Aircraft: Technological, Regulatory, and Societal Perspectives
by Omar Elbasyouny and Odeh Dababneh
Future Transp. 2026, 6(1), 3; https://doi.org/10.3390/futuretransp6010003 - 24 Dec 2025
Viewed by 693
Abstract
This study critically examines the technological feasibility, regulatory challenges, and societal acceptance of Pilotless Passenger Aircraft (PPAs) in commercial aviation. A mixed-methods design integrated quantitative passenger surveys (n = 312) and qualitative pilot interviews (n = 15), analyzed using SPSS and NVivo to [...] Read more.
This study critically examines the technological feasibility, regulatory challenges, and societal acceptance of Pilotless Passenger Aircraft (PPAs) in commercial aviation. A mixed-methods design integrated quantitative passenger surveys (n = 312) and qualitative pilot interviews (n = 15), analyzed using SPSS and NVivo to capture both statistical and thematic perspectives. Results show moderate public awareness (58%) but limited willingness to fly (23%), driven by safety (72%), cybersecurity (64%), and human judgement (60%) concerns. Among pilots, 93% agreed automation improves safety, yet 80% opposed removing human pilots entirely, underscoring reliance on human adaptability in emergencies. Both groups identified regulatory assurance, demonstrable reliability, and human oversight as prerequisites for acceptance. Technologically, this paper synthesizes advances in AI-driven flight management, multi-sensor navigation, and high-integrity control systems, including Airbus’s ATTOL and NASA’s ICAROUS, demonstrating that pilotless flight is technically viable but has yet to achieve the airline-grade reliability target of 10−9 failures per flight hour. Regulatory analysis of FAA, EASA, and ICAO frameworks reveals maturing but fragmented approaches to certifying learning-enabled systems. Ethical and economic evaluations indicate unresolved accountability, job displacement, and liability issues, with potential 10–15% operational cost savings offset by certification, cybersecurity, and infrastructure expenditures. Integrated findings confirm that PPAs represent a socio-technical challenge rather than a purely engineering problem. This study recommends a phased implementation roadmap: (1) initial deployment in cargo and low-risk missions to accumulate safety data; (2) hybrid human–AI flight models combining automation with continuous human supervision; and (3) harmonized international certification standards enabling eventual passenger operations. Policy implications emphasize explainable-AI integration, workforce reskilling, and transparent public engagement to bridge the trust gap. This study concludes that pilotless aviation will not eliminate the human element but redefine it, achieving autonomy through partnership between human judgement and machine precision to sustain aviation’s uncompromising safety culture. Full article
(This article belongs to the Special Issue Future Air Transport Challenges and Solutions)
Show Figures

Figure 1

Back to TopTop