Sign in to use this feature.

Years

Between: -

Subjects

remove_circle_outline
remove_circle_outline
remove_circle_outline
remove_circle_outline
remove_circle_outline
remove_circle_outline
remove_circle_outline

Journals

remove_circle_outline
remove_circle_outline
remove_circle_outline
remove_circle_outline
remove_circle_outline
remove_circle_outline

Article Types

Countries / Regions

remove_circle_outline
remove_circle_outline
remove_circle_outline
remove_circle_outline
remove_circle_outline

Search Results (800)

Search Parameters:
Keywords = mitochondrial β-oxidation

Order results
Result details
Results per page
Select all
Export citation of selected articles as:
30 pages, 2100 KB  
Review
Next-Generation Antioxidants in Cardiovascular Disease: Mechanistic Insights and Emerging Therapeutic Strategies
by Desh Deepak Singh, Dharmendra Kumar Yadav and Dongyun Shin
Antioxidants 2026, 15(2), 164; https://doi.org/10.3390/antiox15020164 (registering DOI) - 25 Jan 2026
Abstract
Cardiovascular diseases (CVDs) remain the leading cause of mortality worldwide. CVDs are associated with multiple factors, including oxidative stress, mediated endothelial dysfunction, vascular inflammation, and atherothrombosis. Although traditional antioxidant supplementation (such as vitamins C, E, and β-carotene) has shown promising results in rigorous [...] Read more.
Cardiovascular diseases (CVDs) remain the leading cause of mortality worldwide. CVDs are associated with multiple factors, including oxidative stress, mediated endothelial dysfunction, vascular inflammation, and atherothrombosis. Although traditional antioxidant supplementation (such as vitamins C, E, and β-carotene) has shown promising results in rigorous animal model studies, it has consistently failed to demonstrate clinical benefit in most human trials. Consequently, there is a substantial unmet need for novel paradigms involving mechanistically and biologically relevant pharmaceutical-grade antioxidant therapies (“next-generation antioxidants”). Rapid advancements in redox biology, nanotechnology, genetic modulation of redox processes, and metabolic regulation have enabled the development of new antioxidant therapeutics, including mitochondrial-targeted agents, NADPH oxidase (NOX) inhibitors, selenoprotein and Nrf2 activators, engineered nanoparticles, catalytic antioxidants, and RNA-based and gene-editing strategies. These interventions have the potential to modulate specific oxidative pathways that contribute to CVD pathogenesis. This review provides a comprehensive assessment of current oxidative stress–modulating modalities and their potential to inform personalized cardiovascular prevention and treatment strategies. Full article
Show Figures

Figure 1

12 pages, 255 KB  
Study Protocol
Seeking Novel Personalized and Sex-Specific Strategies for the Prevention and Treatment of Heart Failure Based on the Assessment of β1-Adrenergic Receptor Desensitization: The Contribution to the HEAL ITALIA Project
by Rosa Vona, Camilla Cittadini, Gianfranco Mattia, Rossella Puglisi, Barbara Ascione, Lucrezia Gambardella, Sonia Maccari, Giuseppe Marano and Paola Matarrese
Curr. Issues Mol. Biol. 2026, 48(2), 132; https://doi.org/10.3390/cimb48020132 (registering DOI) - 25 Jan 2026
Abstract
Background: This study is part of the HEAL ITALIA partnership, funded by the National Recovery and Resilience Plan (PNRR) and the European Union. Heart failure (HF) is a serious health problem, with a reduced density of the β1-adrenergic receptor (β1-AR) in the myocardium [...] Read more.
Background: This study is part of the HEAL ITALIA partnership, funded by the National Recovery and Resilience Plan (PNRR) and the European Union. Heart failure (HF) is a serious health problem, with a reduced density of the β1-adrenergic receptor (β1-AR) in the myocardium as a hallmark. It is unclear whether this downregulation causes dysfunction or represents an epiphenomenon. Recent evidence implicates oxidative stress and mitochondrial signaling, particularly through the 18 kDa translocator protein (TSPO), in the regulation of the β1-AR, with possible modulation by estrogen. Objectives: To determine (1) the role of β1-AR desensitization in the onset and development of HF; (2) whether monocytes can represent a suitable ex vivo model for sex-oriented mechanistic studies in the cardiac field; (3) whether monocytes isolated from peripheral blood of patients can represent a diagnostic and/or therapy response biomarker by monitoring β1-AR density; (4) whether and how the mitochondrial receptor TSPO is involved in the β1-AR dysregulation observed in HF; and (5) whether the mechanisms linked to the onset of HF are regulated in a sex-specific manner through the effect of estrogen and/or the X chromosome on the expression of specific microRNAs. Methods: Using an integrated in vitro-ex vivo-in vivo methodological approach, we will evaluate the density of β1/β2-AR receptors, the downstream signaling (GRK2/β-arrestin), mitochondrial and redox parameters, and miRNA profiles in human monocytes and cardiomyocytes, and in mouse hearts after HF following pressure overload. Conclusions: The goal is to better understand the mechanisms underlying β1-AR desensitization, verify monocytes as peripheral markers of disease progression and response to therapy, and provide potentially useful information for the development of gender-specific therapies for heart failure. Full article
(This article belongs to the Special Issue Molecules at Play in Cardiovascular Diseases)
20 pages, 12327 KB  
Article
Deletion of RhoGDI Protects Against Hepatic Steatosis via Improved Mitochondrial Metabolism in Mice
by Yongzhi Wang, Yuanqi Zhou, Yifan Xu, Chen Wang, Shuo Meng, Honglin Li, Huifang Tang and Jian Zhang
Int. J. Mol. Sci. 2026, 27(3), 1161; https://doi.org/10.3390/ijms27031161 - 23 Jan 2026
Viewed by 16
Abstract
The global incidence of metabolic dysfunction-associated steatotic liver disease (MASLD) is rising alongside epidemics of diabetes and obesity. Rho GDP-dissociation inhibitor (RhoGDI) is now recognized to play dual regulatory roles in disease. A deeper understanding of its mechanistic contributions in MASLD could offer [...] Read more.
The global incidence of metabolic dysfunction-associated steatotic liver disease (MASLD) is rising alongside epidemics of diabetes and obesity. Rho GDP-dissociation inhibitor (RhoGDI) is now recognized to play dual regulatory roles in disease. A deeper understanding of its mechanistic contributions in MASLD could offer critical insights for developing novel therapies against this growing health burden. Immunohistochemical staining was used to examine RhoGDI expression in liver tissues from patients with MASLD. Hepatocyte-specific deletion of Arhgdia (the gene encodes RhoGDI) was generated in mice, and they subjected to NASH diets to induce hepatic steatosis. Transcriptomic sequencing was carried out to identify altered pathways in the Arhgdia-deficient mice, followed by functional investigations of downstream signaling and mitochondrial performance. Finally, the therapeutic potential of a candidate compound was evaluated in the MASLD model. The expression level of RhoGDI was significantly upregulated, and hepatocyte-specific deletion of Arhgdia (the gene encodes RhoGDI) attenuated hepatic lipid accumulation and fibrotic progression. The RNA sequencing analysis revealed that RhoGDI deficiency suppressed the hepatic steroid hormone biosynthesis pathway. It was demonstrated that RhoGDI plays a crucial role in maintaining mitochondrial function, since hepatocyte-specific knockout of Arhgdia significantly reversed mitochondrial dysfunction in mice. Furthermore, a natural compound was found to alleviate hepatic steatosis and inflammation in MASLD mice by targeting RhoGDI. This finding demonstrates that Arhgdia deletion confers protection against the progression of MASLD by reducing hepatic lipid accumulation and enhances mitochondrial β-oxidation in hepatocytes establishing RhoGDI as a critical regulator of MASLD pathogenesis and highlighting its potential as a therapeutic target for metabolic liver diseases. Full article
Show Figures

Figure 1

13 pages, 2039 KB  
Article
TRPM2 Channel Involvement in the Hesperidin-Mediated Potentiation of Cisplatin’s Antitumor Action in Laryngeal Carcinoma Cells
by Ramazan Çınar, Kenan Yıldızhan, Halil İbrahim Altıner and Tarık Yağcı
Int. J. Mol. Sci. 2026, 27(3), 1141; https://doi.org/10.3390/ijms27031141 - 23 Jan 2026
Viewed by 38
Abstract
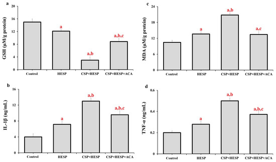
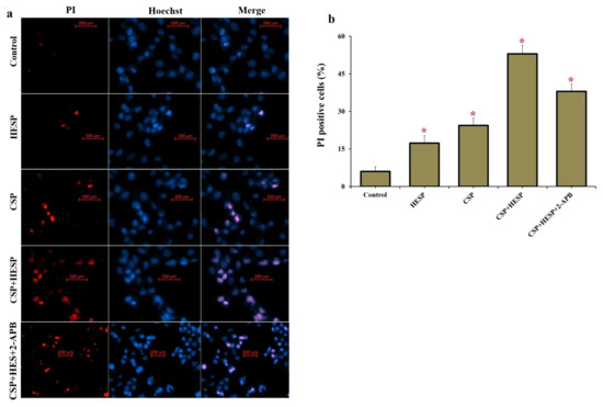
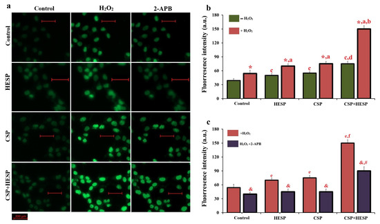
Cisplatin (CSP) is a first-line chemotherapeutic for laryngeal squamous cell carcinoma (LSCC), but its clinical effectiveness is limited by resistance and toxicity. Hesperidin (HESP), a citrus flavonoid, may enhance chemotherapeutic efficacy through pro-apoptotic properties. This study investigated the involvement of the transient receptor [...] Read more.
Cisplatin (CSP) is a first-line chemotherapeutic for laryngeal squamous cell carcinoma (LSCC), but its clinical effectiveness is limited by resistance and toxicity. Hesperidin (HESP), a citrus flavonoid, may enhance chemotherapeutic efficacy through pro-apoptotic properties. This study investigated the involvement of the transient receptor potential melastatin-2 (TRPM2) channel in the HESP-mediated potentiation of CSP-induced cytotoxicity in human laryngeal carcinoma (Hep-2) cells. Hep-2 cells were treated with CSP (25 µM), HESP (25 µM), or their combination for 24 h. The findings showed that the combined application of HESP and CSP reduced cell viability by approximately 50% (p < 0.001), which was the lowest compared to CSP alone. Western blot analysis revealed that TRPM2 protein expression was higher in the CSP+HESP group compared to the control group (p < 0.001). This synergistic treatment resulted in an increase in ROS production and a decrease in MDA levels, accompanied by a reduction in cellular GSH levels (p < 0.001). Furthermore, the combination therapy increased pro-inflammatory cytokines such as IL-1β and TNF-α (p < 0.001). Functional analyses showed that HESP treatment enhanced CSP-induced Ca2+ influx and altered mitochondrial membrane potential (p < 0.001). The pharmacological inhibition of TRPM2 with ACA and 2-APB reversed these effects, restoring redox balance and reducing cellular damage. In conclusion, HESP amplifies CSP-induced apoptosis in Hep-2 cells through TRPM2-dependent oxidative stress, Ca2+ dysregulation, and mitochondrial dysfunction. These findings identify TRPM2 as a mechanistic mediator of HESP-enhanced chemosensitivity in LSCC. Full article
(This article belongs to the Special Issue Updates on Synthetic and Natural Antioxidants)
Show Figures

Figure 1

20 pages, 10143 KB  
Article
Plasma EV miR-186-5p as an Early Biomarker and Regulator of IFN-α-Mediated Oxidative and β-Cell Dysfunction in Prediabetes
by Jae-Hyung Park, Thi Nhi Nguyen, Hye Min Shim, Yun-Ui Bae, Gyeong Im Yu, Junho Kang, Eun Yeong Ha and Hochan Cho
Antioxidants 2026, 15(2), 150; https://doi.org/10.3390/antiox15020150 - 23 Jan 2026
Viewed by 73
Abstract
Prediabetes is accompanied by early β-cell stress and oxidative imbalance before overt hyperglycemia. Circulating extracellular vesicle (EV) microRNAs (miRNAs) may capture early metabolic disturbances, but their mechanistic relevance remains unclear. Plasma EV miRNA profiles were analyzed across normoglycemia, prediabetes, and newly diagnosed type [...] Read more.
Prediabetes is accompanied by early β-cell stress and oxidative imbalance before overt hyperglycemia. Circulating extracellular vesicle (EV) microRNAs (miRNAs) may capture early metabolic disturbances, but their mechanistic relevance remains unclear. Plasma EV miRNA profiles were analyzed across normoglycemia, prediabetes, and newly diagnosed type 2 diabetes, with validation in an independent cohort (n = 150). Functional studies were performed in pancreatic β-cells exposed to glucolipotoxic stress to examine miRNA regulation, IFN-α signaling, mitochondrial redox status, and insulin secretion. Six EV miRNAs, including miR-186-5p, were consistently reduced in prediabetes and correlated with glycemic and insulin resistance indices. In β-cells, glucolipotoxic stress selectively suppressed miR-186-5p, leading to derepression of IFNA2, activation of IFN-α–JAK/STAT signaling, increased mitochondrial ROS, impaired ATP/ADP dynamics, and reduced glucose-stimulated insulin secretion. Restoration of miR-186-5p or pharmacologic JAK inhibition mitigated these defects, and luciferase assays confirmed IFNA2 as a direct target of miR-186-5p. EV-associated miR-186-5p represents an early marker of metabolic stress in prediabetes and provides mechanistic insight into IFN-α–driven oxidative and secretory dysfunction in β-cells. Full article
Show Figures

Figure 1

20 pages, 1709 KB  
Review
Type 2 Diabetes and Alzheimer’s Disease: Molecular Mechanisms and Therapeutic Insights with a Focus on Anthocyanin
by Muhammad Sohail Khan, Ashfaq Ahmad, Somayyeh Nasiripour and Jean C. Bopassa
J. Dement. Alzheimer's Dis. 2026, 3(1), 5; https://doi.org/10.3390/jdad3010005 - 16 Jan 2026
Viewed by 133
Abstract
Type 2 Diabetes Mellitus (T2DM) is a recognized risk factor for Alzheimer’s Disease (AD), as epidemiological research indicates that those with T2DM have a markedly increased risk of experiencing cognitive decline and dementia. Chronic hyperglycemia and insulin resistance in T2DM hinder cerebral glucose [...] Read more.
Type 2 Diabetes Mellitus (T2DM) is a recognized risk factor for Alzheimer’s Disease (AD), as epidemiological research indicates that those with T2DM have a markedly increased risk of experiencing cognitive decline and dementia. Chronic hyperglycemia and insulin resistance in T2DM hinder cerebral glucose metabolism, reducing the primary energy source for neurons and compromising synaptic function. Insulin resistance impairs signaling pathways crucial for neuronal survival and plasticity, while high insulin levels compete with amyloid-β (Aβ) for breakdown by insulin-degrading enzyme, promoting Aβ buildup. Additionally, vascular issues linked to T2DM impair blood–brain barrier functionality, decrease cerebral blood flow, and worsen neuroinflammation. Elevated oxidative stress and advanced glycation end-products (AGEs) in diabetes exacerbate tau hyperphosphorylation and mitochondrial dysfunction, worsening neurodegeneration. Collectively, these processes create a robust biological connection between T2DM and AD, emphasizing the significance of metabolic regulation as a possible treatment approach for preventing or reducing cognitive decline. Here, we review the relationship between T2DM and AD and discuss the roles insulin, hyperglycemia, and inflammation therapeutic strategies have in successful development of AD therapies. Additionally evaluated are recent therapeutic advances, especially involving the polyflavonoid anthocyanin, against T2DM-mediated AD pathology. Full article
Show Figures

Figure 1

19 pages, 6900 KB  
Article
Fullerenol Eye Drops Mitigate UVB-Induced Cataract Progression by Inhibiting Oxidative Stress and Cellular Senescence
by Lele Zhang, Shuying Chen, Zihao Yu, Yuting Su, Jingyu Zhao, Lanlan Hu, Jinglong Tang and Mingliang Zhang
Antioxidants 2026, 15(1), 118; https://doi.org/10.3390/antiox15010118 - 16 Jan 2026
Viewed by 242
Abstract
Cataracts remain the leading cause of blindness worldwide, and surgery is currently the only effective clinical treatment, as no pharmacological therapy has yet been validated. Here, we explore Fullerenol, a hydroxylated fullerene derivative formulated as eye drops, as a potential nanomedicine for delaying [...] Read more.
Cataracts remain the leading cause of blindness worldwide, and surgery is currently the only effective clinical treatment, as no pharmacological therapy has yet been validated. Here, we explore Fullerenol, a hydroxylated fullerene derivative formulated as eye drops, as a potential nanomedicine for delaying cataract onset and progression. In UVB-induced mouse cataract models, topical Fullerenol preserved the lens transparency and histological structure. In human lens epithelial cells, Fullerenol reduced the oxidative stress, restored the mitochondrial function, alleviated the DNA damage, and suppressed the cellular senescence. RNA sequencing and pathway enrichment analyses further indicated that Fullerenol modulated the oxidative stress- and senescence-associated signaling pathways, including MAPK and TGF-β cascades, while downregulating the p53–CDKN1A (p21) axis. These findings provide new evidence that Fullerenol can mitigate photo-oxidative damage and age-related cellular dysfunction, highlighting its promise as a non-invasive and clinically translatable nanomedicine strategy for cataract management. Full article
(This article belongs to the Special Issue Antioxidants and Retinal Diseases—2nd Edition)
Show Figures

Figure 1

23 pages, 5093 KB  
Article
Positive Effects of Allicin on Cytotoxicity, Antioxidative Status, and Immunity in “Eriocheir sinensis” Hepatopancreatic Cells Against Oxidative Stress-Induced Injury
by Yiqing Guo, Peng Huang, Wenhui Wang, Jingwen Wu, Jinliang Du, Jiayi Li, Jiancao Gao, Haojun Zhu, Jun Gao, Yao Zheng, Yanbing Zhuang, Gangchun Xu and Liping Cao
Antioxidants 2026, 15(1), 93; https://doi.org/10.3390/antiox15010093 - 12 Jan 2026
Viewed by 227
Abstract
Oxidative stress represents a critical threat to aquatic animal health and aquaculture productivity. Allicin, a natural plant extract, has not been systematically investigated for its antioxidant mechanisms in aquatic crustaceans. This study established in vitro and in vivo models of tert-butyl hydroperoxide (T-BHP)-induced [...] Read more.
Oxidative stress represents a critical threat to aquatic animal health and aquaculture productivity. Allicin, a natural plant extract, has not been systematically investigated for its antioxidant mechanisms in aquatic crustaceans. This study established in vitro and in vivo models of tert-butyl hydroperoxide (T-BHP)-induced oxidative stress in Chinese mitten crabs (Eriocheir sinensis) to evaluate the hepatoprotective effects of allicin. Integrating biochemical, transcriptomic, and ultrastructural analyses, we found that allicin significantly alleviated T-BHP-induced cytotoxicity and oxidative damage in vitro. Mechanistically, allicin up-regulated antioxidant genes including glutathione peroxidase (gpx) and thioredoxin reductase 1 (trxr1), and down-regulated pro-inflammatory cytokines such as interleukin-1 beta (il-1β), suggesting the concomitant activation of the Nrf2 signaling pathway and inhibition of the p38-MAPK/NF-κB pathway. Transcriptomics further indicated its role in restoring proteostasis and mitochondrial function. A 35-day feeding trial validated these findings in vivo; dietary supplementation with 300 mg·kg−1 allicin effectively reversed T-BHP-induced disturbances in antioxidant enzyme activities and immune-related gene expression. These consistent findings demonstrate that allicin alleviates hepatopancreatic oxidative damage through multi-pathway synergism, supporting its potential as a green and effective antioxidant feed additive in aquaculture. Full article
Show Figures

Figure 1

21 pages, 3346 KB  
Article
Estrogen-Induced Hypermethylation Silencing of RPS2 and TMEM177 Inhibits Energy Metabolism and Reduces the Survival of CRC Cells
by Batoul Abi Zamer, Bilal Rah, Wafaa Abumustafa, Zheng-Guo Cui, Mawieh Hamad and Jibran Sualeh Muhammad
Cells 2026, 15(2), 124; https://doi.org/10.3390/cells15020124 - 9 Jan 2026
Viewed by 228
Abstract
Estrogen (E2, 17β estradiol) is recognized for its regulatory role in numerous genes associated with energy metabolism and for its ability to disrupt mitochondrial function in various cancer types. However, the influence of E2 on the metabolism of colorectal cancer (CRC) cells remains [...] Read more.
Estrogen (E2, 17β estradiol) is recognized for its regulatory role in numerous genes associated with energy metabolism and for its ability to disrupt mitochondrial function in various cancer types. However, the influence of E2 on the metabolism of colorectal cancer (CRC) cells remains largely unexplored. In this study, we examined how E2 affects mitochondrial function and energy production in CRC cells, utilizing two distinct CRC cell lines, HCT-116 and SW480. Cell viability, mitochondrial function, and the expression of several genes involved in oxidative phosphorylation (OXPHOS) were assessed in estrogen receptor α (ERα)-expressing and ERα-silenced cells treated with increasing concentrations of E2 for 48 h. Our results indicated that the cytotoxicity of E2 against CRC cells is mediated by the E2/ERα complex, which induces disturbances in mitochondrial function and the OXPHOS pathway. Furthermore, we identified two novel targets, RPS2 and TMEM177, which displayed overexpression, hypomethylation, and a negative association with ERα expression in CRC tissue. E2 treatment in CRC cells reduced the expression of both targets through promoter hypermethylation. Treatment with 5-Aza-2-deoxycytidine increased the expression of RPS2 and TMEM177. This epigenetic effect disrupts the mitochondrial membrane potential (MMP), resulting in decreased activity of the OXPHOS pathway and inhibition of CRC cell growth. Knockdown of RPS2 or TMEM177 in CRC cells resulted in anti-cancer effects and disruption of MMP and OXPHOS. These findings suggest that E2 exerts ERα-dependent epigenetic reprogramming that leads to significant mitochondria-related anti-growth effects in CRC. Full article
Show Figures

Graphical abstract

22 pages, 7811 KB  
Article
BDH1 Mediates Aerobic Exercise-Induced Improvement in Skeletal Muscle Metabolic Remodeling in Type 2 Diabetes Mellitus
by Mingyu Wu, Xiaotong Ma, Wei Dai, Ke Li, Haoyang Gao, Yifan Guo and Weihua Xiao
Biomolecules 2026, 16(1), 115; https://doi.org/10.3390/biom16010115 - 8 Jan 2026
Viewed by 302
Abstract
Background: Type 2 diabetes mellitus (T2DM) is typically characterized by the dysregulation of metabolic remodeling. As a systemic metabolic disease, T2DM can affect the mass and function of skeletal muscle by inducing impaired energy metabolism, mitochondrial dysfunction, and chronic low-grade inflammation. β-Hydroxybutyrate dehydrogenase [...] Read more.
Background: Type 2 diabetes mellitus (T2DM) is typically characterized by the dysregulation of metabolic remodeling. As a systemic metabolic disease, T2DM can affect the mass and function of skeletal muscle by inducing impaired energy metabolism, mitochondrial dysfunction, and chronic low-grade inflammation. β-Hydroxybutyrate dehydrogenase 1 (BDH1) is a rate-limiting enzyme involved in ketone body metabolism, and its activity is down-regulated in various models of diabetic complications. Aerobic exercise (AE) is recognized as an effective intervention to promote energy homeostasis and alleviate metabolic stress. Whether its protective effect on skeletal muscle in T2DM involves the regulatory control of BDH1 expression remains unclear. Methods: Wild-type (WT) and systemic BDH1 knockout (BDH1−/−) male C57BL/6J mice were used to establish the sedentary control (SED) and AE models of T2DM by providing a high-fat diet combined with streptozotocin injection. The indicators related to metabolic remodeling were detected by hematoxylin and eosin staining, immunofluorescence staining, quantitative real-time PCR, and Western blot assays. Results: After 8 weeks of AE, we found that AE improved glycolipid metabolic disorders and mitochondrial quality control in the gastrocnemius muscle of T2DM mice by up-regulating BDH1, thereby alleviating oxidative stress, inflammation, and fibrosis. Compared with the WT mice, the BDH1−/− T2DM mice in the SED group exhibited more severe phenotypic impairment. The metabolic improvement effect of AE was attenuated in the BDH1−/− mice. Conclusions: BDH1 is a key effector enzyme that may mediate the AE-induced improvement in metabolic remodeling in the gastrocnemius muscle of mice with T2DM. Full article
Show Figures

Graphical abstract

17 pages, 1118 KB  
Review
Urinary Biomarkers for Radiation Cystitis: Current Insights and Future Directions
by Rani Mahyoob and Bernadette M. M. Zwaans
Int. J. Mol. Sci. 2026, 27(2), 565; https://doi.org/10.3390/ijms27020565 - 6 Jan 2026
Viewed by 211
Abstract
Radiation cystitis (RC) is a clinically challenging and often progressive complication of pelvic radiotherapy, marked by urothelial injury, vascular dysfunction, chronic inflammation, and fibrotic remodeling. Early diagnosis remains elusive due to nonspecific symptoms and the absence of validated molecular tools. As a biofluid [...] Read more.
Radiation cystitis (RC) is a clinically challenging and often progressive complication of pelvic radiotherapy, marked by urothelial injury, vascular dysfunction, chronic inflammation, and fibrotic remodeling. Early diagnosis remains elusive due to nonspecific symptoms and the absence of validated molecular tools. As a biofluid in direct contact with the irradiated bladder, urine offers a unique molecular window into RC pathogenesis. In this review, we synthesize the current landscape of urinary biomarkers associated with the acute, latent, and chronic phases of RC, including inflammatory cytokines, oxidative stress products, epithelial injury markers, extracellular vesicles, microRNAs, proteomic signatures, and metabolomic alterations. We also integrate emerging mechanistic insights such as DNA damage responses, ROS generation, mitochondrial dysfunction, urothelial barrier disruption, senescence-associated secretory phenotypes, hypoxia-driven vascular injury, and profibrotic TGF-β signaling, all of which contribute to the release of urinary analytes. By linking phase-specific molecular pathways with corresponding urinary signatures, we highlight opportunities to leverage urine-based measurements for early detection, risk stratification, severity assessment, and therapeutic monitoring. A deeper understanding of the molecular mechanisms shaping urinary biomarker profiles will be essential for advancing precision diagnostics and improving long-term outcomes for patients with radiation cystitis. Full article
Show Figures

Figure 1

15 pages, 15798 KB  
Article
Targeting Ferroptosis to Restore Salivary Gland Homeostasis in an Obesity Model
by Gi Cheol Park, Hanaro Park, Soo-Young Bang, Ji Min Kim, Sung-Chan Shin, Yong-il Cheon, Ha-Nee Kwon, Jung Hwan Cho and Byung-Joo Lee
Int. J. Mol. Sci. 2026, 27(1), 514; https://doi.org/10.3390/ijms27010514 - 4 Jan 2026
Viewed by 301
Abstract
Obesity is a systemic metabolic disorder that is known to impair various organ systems; however, its precise impact on salivary gland homeostasis remains unclear. Recent studies have implicated ferroptosis—an iron-dependent form of regulated cell death characterized by lipid peroxidation and oxidative stress—in glandular [...] Read more.
Obesity is a systemic metabolic disorder that is known to impair various organ systems; however, its precise impact on salivary gland homeostasis remains unclear. Recent studies have implicated ferroptosis—an iron-dependent form of regulated cell death characterized by lipid peroxidation and oxidative stress—in glandular dysfunction. In this study, we used leptin-deficient (ob/ob) mice to elucidate the role of ferroptosis in obesity-associated salivary gland pathology. The protective effects of ferroptosis inhibition were evaluated by administering ferrostatin-1 (a lipid reactive oxygen species [ROS] scavenger) and deferoxamine (an iron chelator) for an 8-week period. Obese mice exhibited significantly increased body weight, food intake, and hyperglycemia. These systemic changes are accompanied by profound histological alterations in the salivary glands, including lipid droplet accumulation, acinar atrophy, and mitochondrial ultrastructural damage. These alterations correlate with the hallmarks of ferroptotic injury, including increased ROS levels (p < 0.001), elevated malondialdehyde levels (p < 0.01), suppressed glutathione peroxidase 4 activity (p < 0.01), and iron overload (p < 0.001). Salivary gland fibrosis, inflammation, and secretory dysfunction were evident, characterized by the upregulation of TGF-β (p < 0.01) and Collagen I (p < 0.05), reduced expression of aquaporin-5 and amylase, and dysregulated levels of autophagy-related markers (LC3B and p62). Treatment with either ferrostatin-1 or deferoxamine significantly mitigated these pathologies; however, the degree of efficacy varied depending on the specific parameters that were examined. Thus, our findings implicate ferroptosis as a critical contributor to salivary gland dysfunction in obesity and suggest that pharmacological inhibition of this pathway represents a viable therapeutic strategy for preserving glandular integrity under metabolic stress. Full article
(This article belongs to the Special Issue Ferroptosis, ROS and Cell Death Cytomodulator Compounds)
Show Figures

Figure 1

21 pages, 3189 KB  
Article
Gut Microbiota-Derived Propionic Acid Mediates ApoA-I-Induced Amelioration of MASLD via Activation of GPR43–Ca2+–CAMKII–ATGL Hepatic Lipolysis
by Mengyuan Liu, Yutong Wang and Haixia Huang
Int. J. Mol. Sci. 2026, 27(1), 468; https://doi.org/10.3390/ijms27010468 - 1 Jan 2026
Viewed by 425
Abstract
Metabolic dysfunction-associated steatotic liver disease (MASLD) is a widespread hepatic condition characterised by hepatic lipid accumulation and inflammation. Emerging research highlights the contribution of the intestinal microbiota and its metabolic byproducts to the pathogenesis of MASLD through the gut–liver axis. Apolipoprotein A-I (apoA-I), [...] Read more.
Metabolic dysfunction-associated steatotic liver disease (MASLD) is a widespread hepatic condition characterised by hepatic lipid accumulation and inflammation. Emerging research highlights the contribution of the intestinal microbiota and its metabolic byproducts to the pathogenesis of MASLD through the gut–liver axis. Apolipoprotein A-I (apoA-I), the principal structural component of high-density lipoprotein (HDL), is linked to various metabolic disorders; however, its function in MASLD has not yet been clearly elucidated. This study sought to examine whether apoA-I protects against MASLD, with a focus on the possible role of the gut microbiota and propionic acid (PPA). The contribution of the gut microbiota was evaluated using faecal microbiota transplantation (FMT) and antibiotic cocktail (ABX)-mediated depletion. Microbial composition was assessed via 16S rRNA sequencing, and concentrations of short-chain fatty acids (SCFAs) were quantified. The effects of PPA on MASLD were examined using in vivo and in vitro models. The results showed that apoA-I overexpression alleviated MASLD in a gut microbiota-dependent manner, restored microbial homeostasis, and elevated PPA levels. PPA supplementation improved MASLD phenotypes. Mechanistically, PPA treatment was associated with the activation of the GPR43–Ca2+–CAMKII–ATGL pathway, suggesting that PPA plays a role in stimulating hepatic lipolysis and enhancing mitochondrial β-oxidation. These findings reveal a novel pathway through which apoA-I ameliorates MASLD by modulating the gut microbiota and increasing PPA levels, which activate a hepatic lipolysis cascade. The apoA-I–microbiota–PPA axis represents a promising therapeutic target for MASLD intervention. Full article
(This article belongs to the Special Issue Gut Microbiome Stability in Health and Disease)
Show Figures

Figure 1

14 pages, 2698 KB  
Article
Alleviation of Aflatoxin B1-Induced Hepatic Damage by Propolis: Effects on Inflammation, Apoptosis, and Cytochrome P450 Enzyme Expression
by Sevtap Kabalı, Neslihan Öner, Ayca Kara, Mehtap Ünlü Söğüt and Zehra Elgün
Curr. Issues Mol. Biol. 2026, 48(1), 56; https://doi.org/10.3390/cimb48010056 - 1 Jan 2026
Viewed by 266
Abstract
AflatoxinB1 (AFB1) is a hepatotoxic mycotoxin whose bioactivation by cytochrome P450 (CYP450) enzymes generates reactive metabolites that drive oxidative stress, inflammation, and apoptosis. Propolis is a bee-derived product with antioxidant and immunomodulatory properties. To investigate whether propolis supplementation attenuates AFB1-induced hepatic injury [...] Read more.
AflatoxinB1 (AFB1) is a hepatotoxic mycotoxin whose bioactivation by cytochrome P450 (CYP450) enzymes generates reactive metabolites that drive oxidative stress, inflammation, and apoptosis. Propolis is a bee-derived product with antioxidant and immunomodulatory properties. To investigate whether propolis supplementation attenuates AFB1-induced hepatic injury by modulating inflammatory mediators, Nrf2–HO-1 signaling, mitochondrial apoptosis, and CYP450 expression in rats, twenty-four male Sprague-Dawley rats were randomly allocated to four groups (n = 6): control, AFB1 (25 µg/kg/day), propolis (250 mg/kg/day), and AFB1 + propolis. Treatments were given by oral gavage for 28 days. Hepatic IL-1β, IL-6, TNF-α, Nrf2 and HO-1 levels were measured by ELISA. Histopathology was assessed on H&E-stained sections. Bax, Bcl-2, caspase-3, CYP1A2, CYP3A4, CYP2C19 and cytochrome P450 reductase expressions were evaluated immunohistochemically and quantified by ImageJ. Data were analyzed using one-way ANOVA with Tukey’s post hoc test. AFB1 significantly increased hepatic IL-1β and IL-6 and reduced Nrf2 levels, while propolis supplementation restored Nrf2, elevated HO-1 and significantly lowered IL-6 compared with AFB1 alone (p < 0.05). AFB1 induced marked hydropic degeneration, sinusoidal congestion, and mononuclear infiltration, alongside increased Bax and caspase-3 and decreased Bcl-2 expression; these changes were largely reversed in propolis-treated groups. AFB1 upregulated CYP1A2, CYP3A4 and cytochrome P450 reductase, whereas propolis co-treatment significantly suppressed their expression without affecting CYP2C19. Propolis supplementation attenuated AFB1-induced liver injury through coordinated anti-inflammatory, antioxidant, anti-apoptotic and metabolic regulatory effects, notably via restoration of Nrf2–HO-1 signaling and down-regulation of key CYP450 isoenzymes. Propolis may represent a promising natural dietary strategy against AFB1-associated hepatotoxicity, warranting further translational research. Full article
(This article belongs to the Section Molecular Pharmacology)
Show Figures

Figure 1

14 pages, 1827 KB  
Article
Riboflavin Increases Goat Sperm Motility via Enhancement of Mitochondrial β-Oxidation
by Qian Wang, Nan Zhang, Linlin Sun, Pigang Ding, Shengyan Zhao, Dongping Ma, Xin Kou, Zhendong Zhu and Lingjiang Min
Biology 2026, 15(1), 85; https://doi.org/10.3390/biology15010085 - 31 Dec 2025
Viewed by 301
Abstract
Mitochondrial energy metabolism is fundamental to sperm function, and fatty acid β-oxidation is an important pathway for adenosine triphosphate (ATP) production. Riboflavin, a precursor of key flavin cofactors, plays a critical role in regulating β-oxidation and supports multiple physiological processes. This study aimed [...] Read more.
Mitochondrial energy metabolism is fundamental to sperm function, and fatty acid β-oxidation is an important pathway for adenosine triphosphate (ATP) production. Riboflavin, a precursor of key flavin cofactors, plays a critical role in regulating β-oxidation and supports multiple physiological processes. This study aimed to determine whether adding riboflavin to semen dilution media could enhance goat sperm motility and to elucidate the underlying metabolic mechanisms. Goat semen was diluted in tris-citrate-glucose (TCG) medium containing 0, 5, 10, 15, and 20 μM riboflavin and incubated at 37 °C, after which sperm motility, acrosome integrity, mitochondrial membrane potential, ATP levels, malate dehydrogenase (MDH) and succinate dehydrogenase (SDH) activities, and the NADH/NAD+ were evaluated. The localization and expression of the β-oxidation enzymes carnitine palmitoyltransferase 1 (CPT1) and extremely long chain acyl-CoA dehydrogenase (ACADVL) were examined, and CPT1 activity was quantified. The results showed that CPT1 and ACADVL were present in goat sperm, and that 10 μM riboflavin significantly increased sperm motility, acrosome integrity, mitochondrial activity, ATP levels, and the activities of MDH, SDH, and CPT1, while also elevating NADH/NAD+ levels (p < 0.05). Notably, these enhancements were suppressed by 100 μM etomoxir, a mitochondrial β-oxidation inhibitor, which reduced total motility, ATP Levels, and CPT1 activity after riboflavin supplementation (p < 0.05). These findings indicate that goat sperm at least partly rely on mitochondrial β-oxidation for ATP generation and that riboflavin supplementation enhances mitochondrial metabolism, thereby improving sperm quality. Full article
(This article belongs to the Section Biochemistry and Molecular Biology)
Show Figures

Figure 1

Back to TopTop