TRPM2 Channel Involvement in the Hesperidin-Mediated Potentiation of Cisplatin’s Antitumor Action in Laryngeal Carcinoma Cells
Abstract
1. Introduction
2. Results
2.1. HESP Potentiates the Cytotoxic Effect of CSP in Hep-2 Cells
2.2. Co-Treatment with HESP and CSP Upregulates TRPM2 Expression
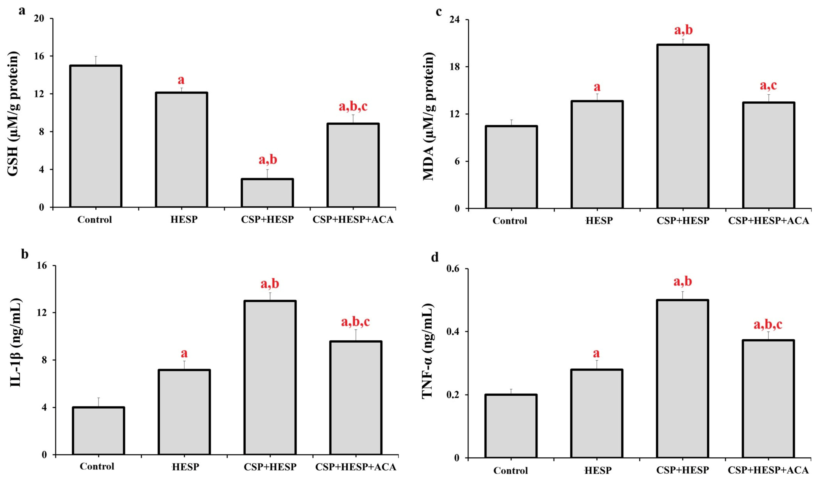
2.3. TRPM2 Activation Correlates with Enhanced Oxidative and Inflammatory Responses
2.4. TRPM2 Modulates Mitochondrial Membrane Potential (ΔΨm) and ROS Generation
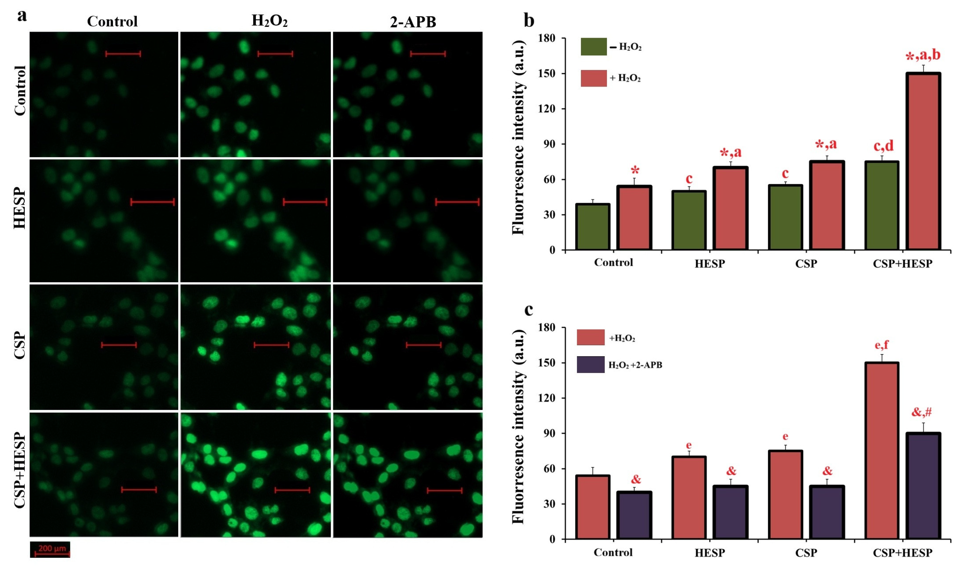
2.5. TRPM2-Dependent Ca2+ Influx in H2O2-Induced Oxidative Stress Conditions
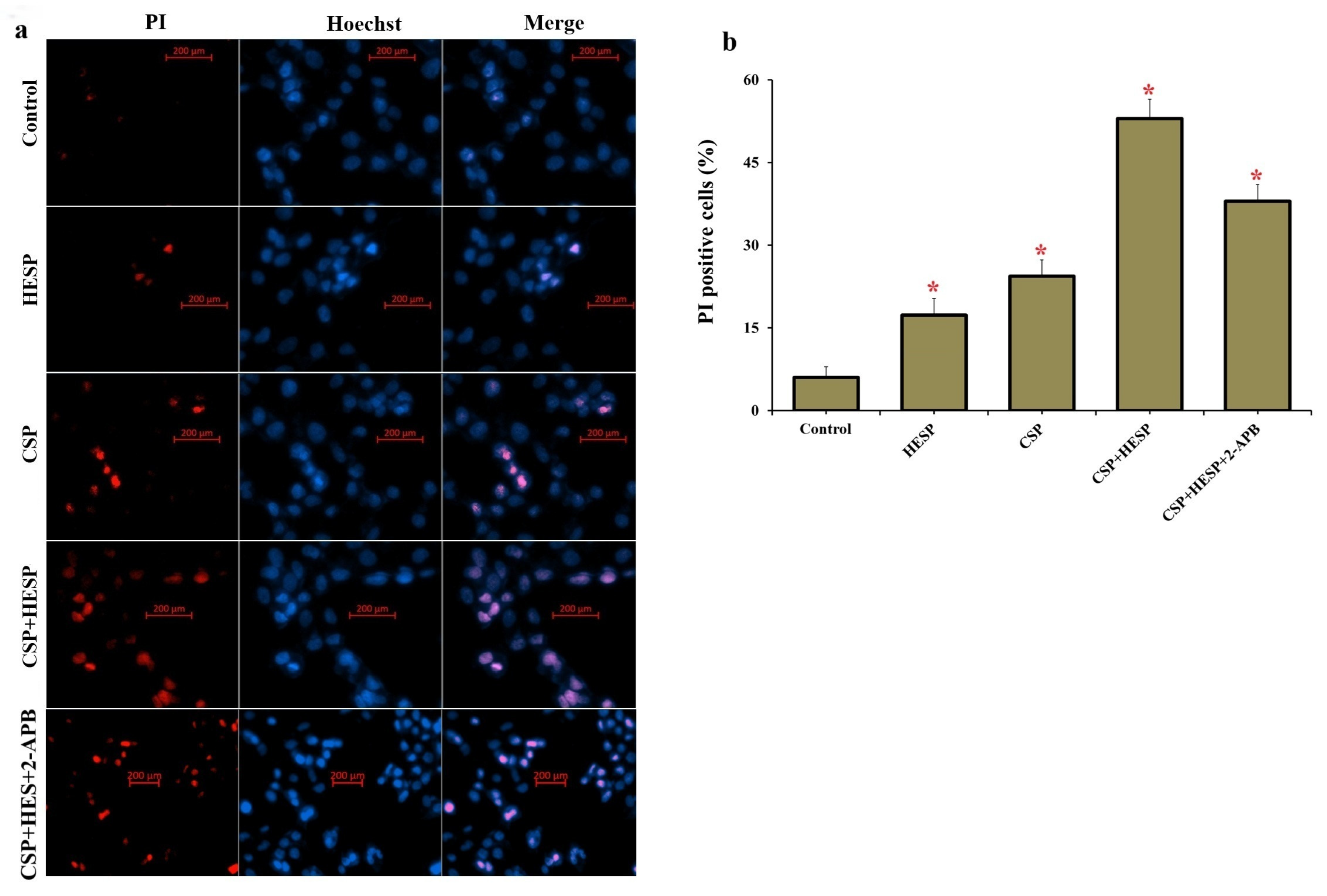
2.6. TRPM2 Activation Contributes to Cell Damage
3. Discussion
4. Materials and Methods
4.1. Cell Culture and Treatments
4.2. Cell Viability Assay
4.3. Western Blot Analysis
4.4. Assessment of Oxidative and Inflammatory Biomarkers
4.5. Measurement of Mitochondrial Membrane Potential and ROS Generation
4.6. Intracellular Ca2+ ([Ca2+]c) Imaging and TRPM2 Activity Assay
4.7. Evaluation of Cell Death by PI/Hoechst Dual Staining
4.8. Statistical Analysis
5. Conclusions
Author Contributions
Funding
Institutional Review Board Statement
Informed Consent Statement
Data Availability Statement
Conflicts of Interest
Abbreviations
| ACA | N-(p-amylcinnamoyl) anthranilic acid |
| ADPR | Adenosine diphosphate ribose |
| ANOVA | Analysis of variance |
| BCA | Bicinchoninic acid |
| Ca2+ | Calcium ion |
| CCK-8 | Cell Counting Kit-8 |
| CSP | Cisplatin |
| DCFH-DA | 2′,7′-Dichlorofluorescein diacetate |
| DMEM | Dulbecco’s Modified Eagle Medium |
| ECL | Enhanced chemiluminescence |
| ELISA | Enzyme-linked immunosorbent assay |
| FBS | Fetal bovine serum |
| GSH | Glutathione |
| HESP | Hesperidin |
| H2O2 | Hydrogen peroxide |
| IL-1β | Interleukin-1 beta |
| JC-1 | 5,5′,6,6′-Tetrachloro-1,1′,3,3′-tetraethylbenzimidazolylcarbocyanine iodide |
| LSCC | Laryngeal squamous cell carcinoma |
| MDA | Malondialdehyde |
| PI | Propidium iodide |
| PVDF | Polyvinylidene difluoride |
| ROS | Reactive oxygen species |
| SDS-PAGE | Sodium dodecyl sulfate–polyacrylamide gel electrophoresis |
| SD | Standard deviation |
| SPSS | Statistical Package for the Social Sciences |
| TNF-α | Tumor necrosis factor-alpha |
| TRPM2 | Transient receptor potential melastatin-2 |
| ΔΨm | Mitochondrial membrane potential |
References
- Johnson, D.E.; Burtness, B.; Leemans, C.R.; Lui, V.W.Y.; Bauman, J.E.; Grandis, J.R. Head and neck squamous cell carcinoma. Nat. Rev. Dis. Primers 2020, 6, 92. [Google Scholar] [CrossRef]
- Muzaffar, J.; Bari, S.; Kirtane, K.; Chung, C.H. Recent advances and future directions in clinical management of head and neck squamous cell carcinoma. Cancers 2021, 13, 338. [Google Scholar] [CrossRef]
- Yağcı, T.; Çınar, R.; Altıner, H.İ.; Dündar, R.; Yıldızhan, K. The Role of TRPM2 Channel in Doxorubicin-induced Cell Damage in Laryngeal Squamous Cancer Cells. Dokl. Biochem. Biophys. 2025, 520, 123–129. [Google Scholar] [CrossRef]
- Ranasinghe, R.; Mathai, M.L.; Zulli, A. Cisplatin for cancer therapy and overcoming chemoresistance. Heliyon 2022, 8, e10608. [Google Scholar] [CrossRef]
- Dasari, S.; Njiki, S.; Mbemi, A.; Yedjou, C.G.; Tchounwou, P.B. Pharmacological effects of cisplatin combination with natural products in cancer chemotherapy. Int. J. Mol. Sci. 2022, 23, 1532. [Google Scholar] [CrossRef] [PubMed]
- Pathak, K.; Pathak, M.P.; Saikia, R.; Gogoi, U.; Sahariah, J.J.; Zothantluanga, J.H.; Samanta, A.; Das, A. Cancer chemotherapy via natural bioactive compounds. Curr. Drug Discov. Technol. 2022, 19, 4–23. [Google Scholar] [CrossRef] [PubMed]
- Aggarwal, V.; Tuli, H.S.; Thakral, F.; Singhal, P.; Aggarwal, D.; Srivastava, S.; Pandey, A.; Sak, K.; Varol, M.; Khan, M.A. Molecular mechanisms of action of hesperidin in cancer: Recent trends and advancements. Exp. Biol. Med. 2020, 245, 486–497. [Google Scholar] [CrossRef] [PubMed]
- Bayir, M.H.; Yıldızhan, K.; Altındağ, F. Effect of hesperidin on sciatic nerve damage in STZ-induced diabetic neuropathy: Modulation of TRPM2 channel. Neurotox. Res. 2023, 41, 638–647. [Google Scholar] [CrossRef]
- Jeong, S.A.; Yang, C.; Song, J.; Song, G.; Jeong, W.; Lim, W. Hesperidin suppresses the proliferation of prostate cancer cells by inducing oxidative stress and disrupting Ca2+ homeostasis. Antioxidants 2022, 11, 1633. [Google Scholar] [CrossRef]
- Yıldızhan, K.; Bayir, M.H.; Huyut, Z.; Altındağ, F. Effect of Hesperidin on Lipid Profile, Inflammation and Apoptosis in Experimental Diabetes. Dokl. Biochem. Biophys. 2025, 520, 198–205. [Google Scholar] [CrossRef]
- Pandey, P.; Khan, F. A mechanistic review of the anticancer potential of hesperidin, a natural flavonoid from citrus fruits. Nutr. Res. 2021, 92, 21–31. [Google Scholar] [CrossRef]
- Abd El Latif, H.M.; El-Morsy, A.M.; Ibrahim, H.M.; Morsi, D.S. Synergistic Antineoplastic and Immunomodulatory Effects of Hesperidin in Ehrlich Ascites Carcinoma Tumor Model Treated with Cisplatin. Jordan J. Biol. Sci. 2024, 17, 141–151. [Google Scholar]
- Ziyadanoğulları, M.O.; Tuncer, M.C.; Özdemir, İ. Antitumor Effects of Hesperidin and Cisplatin on Human Osteosarcoma Cells Through Inhibiting Proliferation and Inducing Mitochondrial-Mediated Apoptosis. Medicina 2025, 61, 960. [Google Scholar] [CrossRef]
- Karabat, M.U.; Tuncer, M.C.; Özdemir, İ. In Vitro Evaluation of Cytotoxic and Pro-Apoptotic Effects of Hesperidin Alone and in Combination with Cisplatin on Human Malignant Melanoma Cell Line (A431). Pharmaceuticals 2025, 18, 854. [Google Scholar] [CrossRef] [PubMed]
- Yıldızhan, K.; Nazıroğlu, M. NMDA receptor activation stimulates hypoxia-induced TRPM2 channel activation, mitochondrial oxidative stress, and apoptosis in neuronal cell line: Modular role of memantine. Brain Res. 2023, 1803, 148232. [Google Scholar] [CrossRef] [PubMed]
- Bao, L.; Festa, F.; Freet, C.S.; Lee, J.P.; Hirschler-Laszkiewicz, I.M.; Chen, S.-J.; Keefer, K.A.; Wang, H.-G.; Patterson, A.D.; Cheung, J.Y. The human transient receptor potential melastatin 2 ion channel modulates ROS through Nrf2. Sci. Rep. 2019, 9, 14132. [Google Scholar] [CrossRef]
- Nazıroğlu, M. New molecular mechanisms on the activation of TRPM2 channels by oxidative stress and ADP-ribose. Neurochem. Res. 2007, 32, 1990–2001. [Google Scholar] [CrossRef]
- Nazıroğlu, M. TRPM2 cation channels, oxidative stress and neurological diseases: Where are we now? Neurochem. Res. 2011, 36, 355–366. [Google Scholar] [CrossRef]
- Malko, P.; Ding, R.; Jiang, L.-H. TRPM2 channel in oxidative stress-induced mitochondrial dysfunction and apoptotic cell death. Adv. Protein Chem. Struct. Biol. 2021, 125, 51–72. [Google Scholar] [PubMed]
- Osmanlıoğlu, H.Ö.; Yıldırım, M.K.; Akyuva, Y.; Yıldızhan, K.; Nazıroğlu, M. Morphine induces apoptosis, inflammation, and mitochondrial oxidative stress via activation of TRPM2 channel and nitric oxide signaling pathways in the hippocampus. Mol. Neurobiol. 2020, 57, 3376–3389, Erratum in Mol. Neurobiol. 2020, 57, 3390. [Google Scholar] [CrossRef]
- Ali, E.S.; Chakrabarty, B.; Ramproshad, S.; Mondal, B.; Kundu, N.; Sarkar, C.; Sharifi-Rad, J.; Calina, D.; Cho, W.C. TRPM2-mediated Ca2+ signaling as a potential therapeutic target in cancer treatment: An updated review of its role in survival and proliferation of cancer cells. Cell Commun. Signal. 2023, 21, 145. [Google Scholar] [CrossRef]
- Ji, D.; Luo, Z.-W.; Ovcjak, A.; Alanazi, R.; Bao, M.-H.; Feng, Z.-P.; Sun, H.-S. Role of TRPM2 in brain tumours and potential as a drug target. Acta Pharmacol. Sin. 2022, 43, 759–770. [Google Scholar] [CrossRef]
- Shitaw, E.E.; AlAhmad, M.; Sivaprasadarao, A. Inter-Organelle Crosstalk in Oxidative Distress: A Unified TRPM2-NOX2 Mediated Vicious Cycle Involving Ca2+, Zn2+, and ROS Amplification. Antioxidants 2025, 14, 776. [Google Scholar] [CrossRef] [PubMed]
- Yu, B.; Jin, L.; Yao, X.; Zhang, Y.; Zhang, G.; Wang, F.; Su, X.; Fang, Q.; Xiao, L.; Yang, Y. TRPM2 protects against cisplatin-induced acute kidney injury and mitochondrial dysfunction via modulating autophagy. Theranostics 2023, 13, 4356. [Google Scholar] [CrossRef] [PubMed]
- Singh, R.; Adhya, P.; Sharma, S.S. Redox-sensitive TRP channels: A promising pharmacological target in chemotherapy-induced peripheral neuropathy. Expert Opin. Ther. Targets 2021, 25, 529–545. [Google Scholar] [CrossRef]
- Santos, N.; Catão, C.; Martins, N.; Curti, C.; Bianchi, M.d.L.P.; Santos, A.C.d. Cisplatin-induced nephrotoxicity is associated with oxidative stress, redox state unbalance, impairment of energetic metabolism and apoptosis in rat kidney mitochondria. Arch. Toxicol. 2007, 81, 495–504. [Google Scholar] [CrossRef] [PubMed]
- Qian, W.; Nishikawa, M.; Haque, A.M.; Hirose, M.; Mashimo, M.; Sato, E.; Inoue, M. Mitochondrial density determines the cellular sensitivity to cisplatin-induced cell death. Am. J. Physiol.-Cell Physiol. 2005, 289, C1466–C1475. [Google Scholar] [CrossRef]
- Zhong, Z.; Zhai, Y.; Liang, S.; Mori, Y.; Han, R.; Sutterwala, F.S.; Qiao, L. TRPM2 links oxidative stress to NLRP3 inflammasome activation. Nat. Commun. 2013, 4, 1611. [Google Scholar] [CrossRef]
- Wang, L.; Negro, R.; Wu, H. TRPM2, linking oxidative stress and Ca2+ permeation to NLRP3 inflammasome activation. Curr. Opin. Immunol. 2020, 62, 131–135. [Google Scholar] [CrossRef]
- Miller, B.A. TRPM2 in Cancer. Cell Calcium 2019, 80, 8–17. [Google Scholar] [CrossRef]
- Chen, Z.; Wu, Z.; Xu, T.; Yu, F.; Wang, D. TRPM2: A pivotal player in tumor progression and a promising therapeutic target. Cancer Cell Int. 2025, 25, 356. [Google Scholar] [CrossRef]
- Giannaccari, M.; Florindi, C.; Bloise, N.; Moccia, F.; Lodola, F.; Visai, L. TRP channels and cancer modulation: A voyage beyond metabolic reprogramming, oxidative stress and the advent of nanotechnologies in targeted therapy. J. Exp. Clin. Cancer Res. 2025, 44, 240. [Google Scholar] [CrossRef] [PubMed]
- Ciaglia, T.; Vestuto, V.; Bertamino, A.; González-Muñiz, R.; Gómez-Monterrey, I. On the modulation of TRPM channels: Current perspectives and anticancer therapeutic implications. Front. Oncol. 2023, 12, 1065935. [Google Scholar] [CrossRef]
- Piciu, F.; Balas, M.; Badea, M.A.; Cucu, D. TRP channels in tumoral processes mediated by oxidative stress and inflammation. Antioxidants 2023, 12, 1327. [Google Scholar] [CrossRef]
- Aboraya, D.M.; El Baz, A.; Risha, E.F.; Abdelhamid, F.M. Hesperidin ameliorates cisplatin induced hepatotoxicity and attenuates oxidative damage, cell apoptosis, and inflammation in rats. Saudi J. Biol. Sci. 2022, 29, 3157–3166. [Google Scholar] [CrossRef]
- Zhou, J.; Nie, R.-C.; Yin, Y.-X.; Cai, X.-X.; Xie, D.; Cai, M.-Y. Protective effect of natural antioxidants on reducing Cisplatin-Induced nephrotoxicity. Dis. Markers 2022, 2022, 1612348. [Google Scholar] [CrossRef]
- Özdemir, İ.; Afşin, Y.; Tuncer, M.C.; Öztürk, Ş. Combined hesperidin and doxorubicin treatment induces apoptosis and modulates inflammatory cytokines in HeLa cervical cancer cells. Int. J. Mol. Sci. 2025, 26, 8753. [Google Scholar] [CrossRef]
- Sahu, B.D.; Kuncha, M.; Sindhura, G.J.; Sistla, R. Hesperidin attenuates cisplatin-induced acute renal injury by decreasing oxidative stress, inflammation and DNA damage. Phytomedicine 2013, 20, 453–460. [Google Scholar] [CrossRef]
- Zhang, Q.; Yang, Z.; Ou, X.; Zhang, M.; Ji, R.; Wu, G. Hesperidin Inhibits Oxidative Stress and Apoptosis of Granulosa Cells in Polycystic Ovarian Syndrome Through the JAK2/STAT3 and PI3K/AKT Pathways. Phytother. Res. 2025, 39, 5174–5197. [Google Scholar] [CrossRef] [PubMed]
- Yumnam, S.; Hong, G.E.; Raha, S.; Saralamma, V.V.G.; Lee, H.J.; Lee, W.S.; Kim, E.H.; Kim, G.S. Mitochondrial dysfunction and Ca2+ overload contributes to hesperidin induced paraptosis in hepatoblastoma cells, HepG2. J. Cell. Physiol. 2016, 231, 1261–1268. [Google Scholar] [CrossRef] [PubMed]
- Yazgan, Y.; Cinar, R. Gallic Acid Enhances Cisplatin-induced Death of Human Laryngeal Cancer Cells by Activating the TRPM2 Channel. Dokl. Biochem. Biophys. 2025, 521, 221–231. [Google Scholar] [CrossRef] [PubMed]
- Kumbul, Y.Ç.; Nazıroğlu, M. Paclitaxel promotes oxidative stress–mediated human laryngeal squamous tumor cell death through the stimulation of calcium and zinc signaling pathways: No synergic action of melatonin. Biol. Trace Elem. Res. 2022, 200, 2084–2098. [Google Scholar] [CrossRef] [PubMed]
- Zhang, H.; Yu, P.; Lin, H.; Jin, Z.; Zhao, S.; Zhang, Y.; Xu, Q.; Jin, H.; Liu, Z.; Yang, W. The discovery of novel ACA derivatives as specific TRPM2 inhibitors that reduce ischemic injury both in vitro and in vivo. J. Med. Chem. 2021, 64, 3976–3996. [Google Scholar] [CrossRef]
- Malko, P.; Syed Mortadza, S.A.; McWilliam, J.; Jiang, L.H. TRPM2 Channel in Microglia as a New Player in Neuroinflammation Associated with a Spectrum of Central Nervous System Pathologies. Front. Pharmacol. 2019, 10, 239. [Google Scholar] [CrossRef] [PubMed]
- Huang, P.; Qu, C.; Rao, Z.; Wu, D.; Zhao, J. Bidirectional regulation mechanism of TRPM2 channel: Role in oxidative stress, inflammation and ischemia-reperfusion injury. Front. Immunol. 2024, 15, 1391355. [Google Scholar] [CrossRef]
- Yazğan, Y.; Yıldızhan, K. Chrysin Boosts the Cell Death and Anticancer Actions of Doxorubicin by Stimulating the TRPM2 Channel in Glioblastoma Cells. Mol. Biol. 2025, 59, 784–794. [Google Scholar] [CrossRef]
- Sharif, T.; Martell, E.; Dai, C.; Ghassemi-Rad, M.S.; Kennedy, B.E.; Lee, P.W.; Gujar, S. Regulation of cancer and cancer-related genes via NAD+. Antioxid. Redox Signal. 2019, 30, 906–923. [Google Scholar] [CrossRef]
- Buelow, B.; Song, Y.; Scharenberg, A.M. The Poly (ADP-ribose) polymerase PARP-1 is required for oxidative stress-induced TRPM2 activation in lymphocytes. J. Biol. Chem. 2008, 283, 24571–24583. [Google Scholar] [CrossRef]
- Carrageta, D.F.; Freire-Brito, L.; Oliveira, P.F.; Alves, M.G. Evaluation of human spermatozoa mitochondrial membrane potential using the JC-1 Dye. Curr. Protoc. 2022, 2, e531. [Google Scholar] [CrossRef]
- Çınar, R.; Yıldızhan, K. Curcumin protects against MPP+-induced neurotoxicity in SH-SY5Y cells by modulating the TRPV4 channel. Mol. Biol. Rep. 2025, 52, 255. [Google Scholar] [CrossRef]






Disclaimer/Publisher’s Note: The statements, opinions and data contained in all publications are solely those of the individual author(s) and contributor(s) and not of MDPI and/or the editor(s). MDPI and/or the editor(s) disclaim responsibility for any injury to people or property resulting from any ideas, methods, instructions or products referred to in the content. |
© 2026 by the authors. Licensee MDPI, Basel, Switzerland. This article is an open access article distributed under the terms and conditions of the Creative Commons Attribution (CC BY) license.
Share and Cite
Çınar, R.; Yıldızhan, K.; Altıner, H.İ.; Yağcı, T. TRPM2 Channel Involvement in the Hesperidin-Mediated Potentiation of Cisplatin’s Antitumor Action in Laryngeal Carcinoma Cells. Int. J. Mol. Sci. 2026, 27, 1141. https://doi.org/10.3390/ijms27031141
Çınar R, Yıldızhan K, Altıner Hİ, Yağcı T. TRPM2 Channel Involvement in the Hesperidin-Mediated Potentiation of Cisplatin’s Antitumor Action in Laryngeal Carcinoma Cells. International Journal of Molecular Sciences. 2026; 27(3):1141. https://doi.org/10.3390/ijms27031141
Chicago/Turabian StyleÇınar, Ramazan, Kenan Yıldızhan, Halil İbrahim Altıner, and Tarık Yağcı. 2026. "TRPM2 Channel Involvement in the Hesperidin-Mediated Potentiation of Cisplatin’s Antitumor Action in Laryngeal Carcinoma Cells" International Journal of Molecular Sciences 27, no. 3: 1141. https://doi.org/10.3390/ijms27031141
APA StyleÇınar, R., Yıldızhan, K., Altıner, H. İ., & Yağcı, T. (2026). TRPM2 Channel Involvement in the Hesperidin-Mediated Potentiation of Cisplatin’s Antitumor Action in Laryngeal Carcinoma Cells. International Journal of Molecular Sciences, 27(3), 1141. https://doi.org/10.3390/ijms27031141

