Sign in to use this feature.

Years

Between: -

Subjects

remove_circle_outline
remove_circle_outline
remove_circle_outline
remove_circle_outline
remove_circle_outline
remove_circle_outline
remove_circle_outline
remove_circle_outline
remove_circle_outline

Journals

remove_circle_outline
remove_circle_outline
remove_circle_outline
remove_circle_outline
remove_circle_outline
remove_circle_outline
remove_circle_outline
remove_circle_outline
remove_circle_outline
remove_circle_outline

Article Types

Countries / Regions

remove_circle_outline
remove_circle_outline
remove_circle_outline
remove_circle_outline
remove_circle_outline
remove_circle_outline

Search Results (1,103)

Search Parameters:
Keywords = mining process water

Order results
Result details
Results per page
Select all
Export citation of selected articles as:
17 pages, 1530 KB  
Article
Compatibility for Large-Region Gas Extraction Technology in the Baode Coal Mine
by Xinjiang Luo, Lijun Jiang and Huazhou Huang
Energies 2026, 19(5), 1272; https://doi.org/10.3390/en19051272 - 4 Mar 2026
Viewed by 154
Abstract
To address the challenges of designing geologically compatible, large-scale gas drainage strategies in gassy coal mines, this study introduces an integrated workflow combining detailed gas-geological unit subdivision with the Analytic Hierarchy Process (AHP) for the Baode Coal Mine. This approach aims to transform [...] Read more.
To address the challenges of designing geologically compatible, large-scale gas drainage strategies in gassy coal mines, this study introduces an integrated workflow combining detailed gas-geological unit subdivision with the Analytic Hierarchy Process (AHP) for the Baode Coal Mine. This approach aims to transform gas drainage technology selection from empirical judgment to a systematic, quantitative decision-making process, thereby enhancing control precision and mine safety. First, the No. 8 coal seam was refined into ten distinct gas-geological units (II-i to II-x), forming the foundation for a targeted management strategy. For these units, a quantitative evaluation index system was constructed, integrating key factors such as permeability, structural characteristics, and unit area. The AHP was then employed to assess the adaptability of four primary drainage technologies: ULB-uni/bi (underground long borehole unidirectional/bidirectional drainage), UULB (underground ultra-long directional borehole drainage), UDLB-SHF (underground directional long borehole drainage with staged hydraulic fracturing), and FHWS (fractured horizontal wells drilled from the surface). The decision analysis reveals significant regional differentiation in technical suitability. FHWS ranks highest in structurally complex and water-rich zones. UDLB-SHF and UULB serve as viable, cost-effective alternatives to FHWS in various scenarios, with UULB being particularly advantageous for “large-area pre-drainage” in extensive panels with relatively simple geology. ULB-uni/bi is confirmed as the most economical option but is suitable only for minor blocks with simple conditions. Consequently, the study proposes a hierarchical, zone-specific strategy: prioritizing surface-based FHWS for high-risk zones, employing UDLB-SHF for active permeability enhancement in low-permeability resource-rich areas, utilizing UULB for efficient large-area drainage, and restricting ULB-uni/bi to small, geologically normal blocks. Ultimately, this research establishes a robust technical selection system that integrates fine geological subdivision, AHP-based multi-criteria evaluation, and targeted technology matching. It provides a scientific basis for balancing risk control and cost optimization in gas drainage design for the Baode Coal Mine. In summary, the methodological framework proposed in this study provides a systematic approach for coal mine gas control under complex geological conditions. Its core value lies in achieving the unity of scientificity and practicality in gas control technology decisions through standardized analysis logic and differentiated adaptation mechanisms, thereby providing support for the precise and efficient development of coal mine gas control. Full article
Show Figures

Figure 1

15 pages, 6245 KB  
Article
Evaluation of Water Richness in Coal Seam Roofs Based on Combined Subjective–Objective Weighting and a Matter-Element Extension Model
by Wenjie Sun, Wenjie Li, Kai Liu, Bingzi Li, Xuezhi Wang, Ziyu Wang and Hongyu Zhang
Appl. Sci. 2026, 16(5), 2429; https://doi.org/10.3390/app16052429 - 3 Mar 2026
Viewed by 157
Abstract
The roof aquifer of the Jurassic coal seam is the primary source of water inrush in the Nalinhe Mining Area. It poses a severe threat to safe mining operations. Accurate prediction of its water richness is crucial for production safety. This study focuses [...] Read more.
The roof aquifer of the Jurassic coal seam is the primary source of water inrush in the Nalinhe Mining Area. It poses a severe threat to safe mining operations. Accurate prediction of its water richness is crucial for production safety. This study focuses on the Nalinhe No. 2 Coal Mine. Seven key controlling factors were selected as evaluation indicators, including aquifer thickness, burial depth, core recovery rate, the thickness ratio of brittle to plastic rock, fault scale density, fault fractal dimension, and the density of fault endpoints and intersections. A hybrid weighting strategy was applied in this study. This strategy integrates the Analytic Hierarchy Process (AHP) and the Entropy Weight Method (EWM) to assign scientific weights to the evaluation indices. A water richness evaluation model was subsequently developed based on matter-element extension theory. The model calculates the comprehensive correlation degree for each grid node and determines the corresponding water richness level. Zoning results were validated with unit inflow data from pumping test boreholes, mine inflow observations, and ground transient electromagnetic survey findings. The predicted water richness zones closely matched the measured hydrogeological data. These results demonstrate the scientific rigor and reliability of the matter-element extension model. The proposed model provides a novel approach for assessing water richness in coal seam roof aquifers. Full article
(This article belongs to the Section Civil Engineering)
Show Figures

Figure 1

22 pages, 4065 KB  
Article
Effects of Typical Underground Coal Mine Environmental Factors on CO Oxidation Performance of Sn-Containing Catalyst
by Tianyu Xin, Bing Liang, Jiaxu Jin, Gang Bai, Junguang Wang, Qiang Liu, Yashengnan Sun and Xihua Zhou
Molecules 2026, 31(5), 838; https://doi.org/10.3390/molecules31050838 - 2 Mar 2026
Viewed by 290
Abstract
One of the primary causes of casualties as a result of underground coal mine disasters is the generation of high concentrations of carbon monoxide (CO). In this study, a copper (Cu)–manganese (Mn)–tin (Sn) composite oxide catalyst was prepared using the co-precipitation method, and [...] Read more.
One of the primary causes of casualties as a result of underground coal mine disasters is the generation of high concentrations of carbon monoxide (CO). In this study, a copper (Cu)–manganese (Mn)–tin (Sn) composite oxide catalyst was prepared using the co-precipitation method, and the effects of CO concentration (1–7%), reaction temperature (25–300 °C), and water poisoning degree (0–100%) on CO catalytic oxidation performance were systematically investigated using a dynamic activity testing system. The results demonstrated that within the CO concentration range of 1–7%, the catalyst was able to reduce the CO concentration to below 0.55% in a maximum of 248 s and maintain this level in a relatively stable state. Meanwhile, both the catalytic activity and maximum instantaneous reaction rate exhibited a linear increase with the rise in the CO concentration. Elevated temperature significantly shortened the equilibrium time and reduced the equilibrium concentration, achieving 99.99% elimination efficiency at 300 °C; however, catalyst activity decreased with increasing temperature due to adsorption step limitations. Water poisoning severely affected catalyst performance, with activity, elimination efficiency, and long-term stability exhibiting exponential decay as the water poisoning degree increased, with the most significant performance decline occurring in the 0–60% range. Based on the dynamic gas concentration analysis, the CO oxidation process with this catalyst exhibited characteristics consistent with the Mars–van Krevelen mechanism. These findings provide an experimental basis for evaluating the applicability of Sn-containing catalysts in extreme underground coal mine environments. Full article
Show Figures

Figure 1

18 pages, 3611 KB  
Article
Dynamic Evaluation of Aquifer Water Abundance Under Non-Stationary Conditions Based on TVP-CKF
by Situ Lv, Longqiang Zhang and Haonan Zhao
Water 2026, 18(5), 580; https://doi.org/10.3390/w18050580 - 28 Feb 2026
Viewed by 153
Abstract
Accurate prediction of aquifer water abundance is critical for coal mine safety, yet traditional static models often fail to capture the spatial heterogeneity and non-stationarity of hydrogeological conditions. This study proposes a dynamic evaluation methodology integrating Grey Relational Analysis, the Analytic Hierarchy Process, [...] Read more.
Accurate prediction of aquifer water abundance is critical for coal mine safety, yet traditional static models often fail to capture the spatial heterogeneity and non-stationarity of hydrogeological conditions. This study proposes a dynamic evaluation methodology integrating Grey Relational Analysis, the Analytic Hierarchy Process, and a Time-Varying Parameter Cubature Kalman Filter (TVP-CKF). By reconceptualizing spatial borehole data as a dynamic time-series process, the model recursively updates the contribution weights of six controlling factors based on monitoring data from 2012 to 2020. Analysis reveals a structural shift in the groundwater system: the influence of hydrochemical factors (TDS) has diminished, while hydraulic conductivity has become the dominant control over time. The TVP-CKF model significantly outperformed static regression and recursive least squares baselines, demonstrating superior convergence stability and precisely capturing transient inflow fluctuations. Furthermore, its uncertainty quantification effectively bounded extreme low-flow events within 95% confidence intervals. This approach validates the necessity of adaptive modeling in evolving geological environments, providing a robust, risk-quantified tool for precise water inrush prevention. Full article
(This article belongs to the Section Hydrogeology)
Show Figures

Figure 1

20 pages, 545 KB  
Article
Environmental Risks of Talc Mining
by Henrieta Pavolová, Mária Kaňuchová, Tomáš Bakalár, Ľubica Kozáková and Edyta Nartowska
Appl. Sci. 2026, 16(5), 2317; https://doi.org/10.3390/app16052317 - 27 Feb 2026
Viewed by 177
Abstract
This study examines the environmental risks associated with talc mining in Slovakia, focusing on various aspects. It applies a structured risk assessment methodology to evaluate the probability and severity of environmental impacts stemming from talc extraction, flotation, and tailings pond operations. Key stressors [...] Read more.
This study examines the environmental risks associated with talc mining in Slovakia, focusing on various aspects. It applies a structured risk assessment methodology to evaluate the probability and severity of environmental impacts stemming from talc extraction, flotation, and tailings pond operations. Key stressors include chemical pollutants such as oils, diesel, and flotation reagents, as well as physical disruptions like georelief alteration and vegetation loss. The findings highlight high environmental risks from technical infrastructure leaks and tailings pond operations, particularly regarding groundwater contamination and landscape modification. Moderate risks were identified in diesel and oil substance leakage, while flotation processes posed minimal risk. The research underscores the need for improved risk mitigation strategies, such as enhanced monitoring and containment systems, to protect local ecosystems and water resources. The study contributes to a better understanding of the long-term environmental impacts of mineral resource exploitation and provides a foundation for more sustainable mining practices. Full article
(This article belongs to the Special Issue Environmental Pollution and Wastewater Treatment Strategies)
Show Figures

Figure 1

26 pages, 5721 KB  
Article
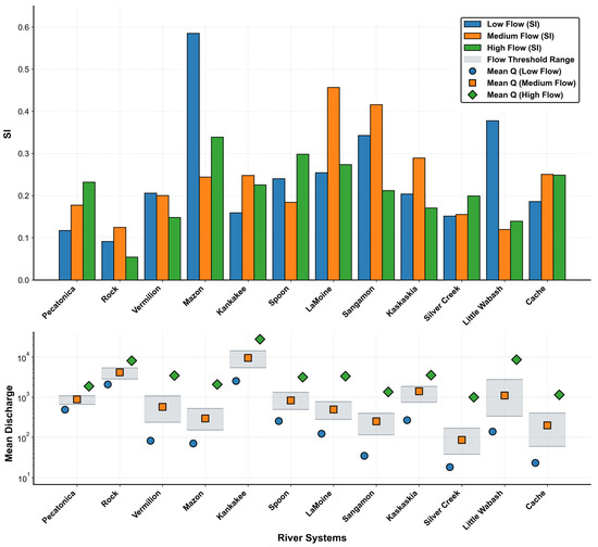
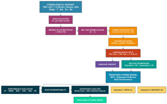
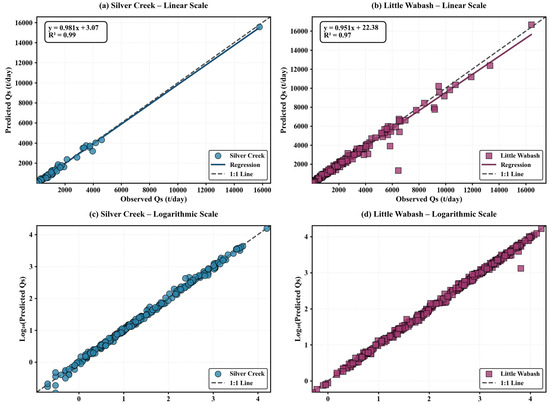
Improving the Prediction of Suspended Sediment Loads Through a Hybrid Red Fox–XGBoost Model for Diverse Flow Regimes in Illinois State
by Mostafa Sadeghzadeh, Sepideh Karimi, Jalal Shiri, Hadi Arvanaghi, Naser Shiri and Gerard Arbat
Water 2026, 18(5), 570; https://doi.org/10.3390/w18050570 - 27 Feb 2026
Viewed by 266
Abstract
Suspended sediment load (Qs) is an important parameter in the analysis of hydrological processes and management of water resources. Direct methods of measuring Qs are costly and require precise instruments, which makes their application limited, especially in remote regions. Indirect methods, on the [...] Read more.
Suspended sediment load (Qs) is an important parameter in the analysis of hydrological processes and management of water resources. Direct methods of measuring Qs are costly and require precise instruments, which makes their application limited, especially in remote regions. Indirect methods, on the other hand, discover the relationships between river hydrological parameters and Qs. Machine learning-based models are among the empirical data mining approaches that have been employed for the prediction of Qs under various conditions. Ensemble models, e.g., XGBoost (Python 3.12.3 with XGBoost version 3.1.0), are among the widely used machine learning approaches in the hydrologic context. A challenging step in establishing such models is conducting suitable hyperparameter tuning. A modeling study is reported here that combines the metaheuristic red fox algorithm (RFO) with XGBoost to improve Qs prediction. Daily observations of 21 years from Illinois State, USA (12 rivers), were used to assess the proposed methodology. Hydrologic data, including water stage, temperature, sediment concentration and river water flowrate were used as input variables when defining two input configurations. The obtained results reveal that the proposed RFO-XGBoost model outperformed the standalone XGBoost model in all the studied sites for both input configurations. However, the performance improvement percentage fluctuated among the sites. It was found that the model improvement was primarily affected by river hydrologic characteristics. A SHAP analysis revealed river flowrate as the most empirically influential input parameter in the model’s predictions of Qs. Uncertainty analysis through the Monte Carlo simulations further confirmed the proposed model’s enhanced performance and robustness. Full article
Show Figures

Figure 1

22 pages, 2693 KB  
Article
Evaluation of Pressure Retarded Osmosis for Energy Generation from Mine Water
by Giti Nouri, Catherine N. Mulligan, Fuzhan Nasiri, Carmen M. Neculita and Thomas Genty
Water 2026, 18(5), 558; https://doi.org/10.3390/w18050558 - 27 Feb 2026
Viewed by 189
Abstract
This study examines the application of mining effluents as feed solutions in a bench scale pressure retarded osmosis (PRO) system for energy generation and the prospect of water recycling or safe discharge to the environment. Effluents were characterized and pretreated by ultrafiltration (UF) [...] Read more.
This study examines the application of mining effluents as feed solutions in a bench scale pressure retarded osmosis (PRO) system for energy generation and the prospect of water recycling or safe discharge to the environment. Effluents were characterized and pretreated by ultrafiltration (UF) and nanofiltration (NF) prior to PRO. The PRO process was then conducted over 6 h in a cross flow flat plate cell with an effective membrane area of 34 cm2, a hydraulic pressure of 12.4 bar and a 3M ammonium carbonate (NH4)2CO3 as draw solution. Effluent 1 contained ions such as Cl (539 mg/L), NO3 (585 mg/L), SO42− (3000 mg/L), Na+ (560 mg/L), and Mg2+ (656 mg/L), with a total dissolved solids (TDS) concentration of 5400 mg/L, chemical oxygen demand (COD) of 136 mg/L, total organic carbon (TOC) concentration of 3.5 mg/L, and acidic pH of 3.8, while effluent 2 was highly dominated by Cl (32,100 mg/L), NO3 (9720 mg/L), SO42− (6512 mg/L), Na+ (14,306 mg/L), and Mg2+ (5336 mg/L), had a TDS concentration of 73,315 mg/L, COD of 8100 mg/L, TOC concentration of 10.2 mg/L, and pH of 7.4. These physiochemical properties indicated a significant potential of fouling and scaling which necessitated the appropriate pretreatments. It was shown that integrating UF and NF pretreatments was highly effective in refining the quality of effluents with a significant removal efficiency of above 90% for ions and heavy metals by NF, led to fouling mitigation, higher and more stable power density as well as potential water reuse or safe environmental discharge. The achieved water fluxes and power densities were 54 L/m2h and 18.6 W/m2, for effluent 1, and 38 L/m2h and 13 W/m2, for effluent 2, respectively. The outcome of this study is applicable for the mining sector especially in remote areas with the potential for water and energy recoveries to contribute to more sustainable mining operations. Full article
(This article belongs to the Section Wastewater Treatment and Reuse)
Show Figures

Figure 1

25 pages, 3197 KB  
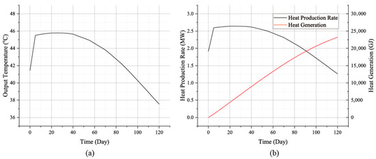
Article
Performance Evaluation of Heat Storage in a Full Operation Cycle of Cross-Seasonal Thermal Energy Storage Systems in Coal Mine Underground Reservoirs
by Wenying Tang, Jiawei Tang, Qiang Guo, Haiqin Zhang, Changhao Feng, Yilong Yuan, Xiaolin He and Zixu Hu
Appl. Sci. 2026, 16(5), 2166; https://doi.org/10.3390/app16052166 - 24 Feb 2026
Viewed by 138
Abstract
Coal mining has generated a large amount of underground space, which has traditionally been reused mostly as mine wastewater storage. Given the excellent thermal insulation properties of these mine reservoirs, their potential for seasonal energy storage is considerable. However, research on cross-seasonal thermal [...] Read more.
Coal mining has generated a large amount of underground space, which has traditionally been reused mostly as mine wastewater storage. Given the excellent thermal insulation properties of these mine reservoirs, their potential for seasonal energy storage is considerable. However, research on cross-seasonal thermal energy storage utilizing coal mine underground reservoirs remains limited, and the thermal storage characteristics of such systems throughout their entire operational cycle are not yet fully understood. This study employs numerical simulation methods to analyze the thermal storage performance of a cross-seasonal thermal storage system based on a coal mine underground reservoir throughout a fully operation cycle. Based on the actual geological conditions of the Daliuta Coal Mine in the Shendong Mining Area, we established a thermal-fluid coupling model for a coal mine underground reservoir. Using this model, we analyzed the entire process of the heat injection stage, heat storage stage, and heat production stage within the cross-seasonal thermal energy storage system. Based on the model, the feasibility of utilizing a coal mine underground reservoir for cross-seasonal thermal energy storage was evaluated, and the system’s thermal storage performance was assessed. Results indicate that under current geological conditions of the Daliuta Coal Mine and designed operating parameters, the effective heat storage rate of the cross-seasonal system can reach 78.16%. Through investigation of the thermal storage process, the distribution evolution of hot water and heat dissipation mechanisms were thoroughly analyzed. This study identified the heat storage phase as the primary stage controlling heat loss and discussed key influencing factors affecting the thermal storage process. These findings provide novel insights for utilizing coal mine goafs and residual underground spaces, offering a reference for developing and designing novel energy storage facilities. Full article
(This article belongs to the Section Green Sustainable Science and Technology)
Show Figures

Figure 1

20 pages, 6380 KB  
Article
Quantitative Evaluation of Displacement Fields in a Tailings Dam Physical Model Under Elevated Pore Water Pressure Using Digital Image Processing
by Abraham Armah, Mehrdad Razavi, Richard Otoo, Benjamin Abankwa and Sandra Donkor
Mining 2026, 6(1), 17; https://doi.org/10.3390/mining6010017 - 22 Feb 2026
Viewed by 244
Abstract
The mining industry still faces major environmental and socioeconomic problems as a result of tailings dam failures, which highlights the urgent need for improved monitoring and early-warning systems. This research offers practical recommendations for improved monitoring and safer design practices, in addition to [...] Read more.
The mining industry still faces major environmental and socioeconomic problems as a result of tailings dam failures, which highlights the urgent need for improved monitoring and early-warning systems. This research offers practical recommendations for improved monitoring and safer design practices, in addition to investigating the use of digital image processing (DIP) as a non-invasive technique for tracking slope deformation in tailings dam models subjected to incremental pore water pressure increases. To replicate real-world conditions as closely as possible, a scaled laboratory embankment was built using coarse and fine tailings. During controlled pore-pressure loading, more than 500 high-resolution photos were taken, recording the entire deformation sequence from initial displacement to slope failure. The images were processed using Mathematica to generate pixel-by-pixel displacement fields and vector plots, providing a detailed visualization of deformation mechanisms. The findings demonstrated that DIP accurately detects and measures surface displacement, revealing the mechanisms, direction, and intensity of deformation. This study illustrates the extensive potential of DIP for real-time monitoring by directly connecting slope instability triggered by incremental pore water pressure with visual indications of slope deformation. While the results confirm the strong potential of DIP for deformation monitoring with a minimum detectable displacement of approximately 1.0 mm under controlled laboratory conditions, its field application may be affected by scale effects, variable lighting, and environmental occlusion. The mining industry benefits greatly from the insights gained through in-depth image analysis, which promotes safer tailings dam design and management. Overall, DIP can provide a reliable, scalable foundation for real-time deformation monitoring in operational tailings dams, where continuous image-based measurements can help identify early signs of instability and support proactive risk management. Full article
Show Figures

Graphical abstract

37 pages, 13245 KB  
Article
Spatial Morphology Gene Map of Small Industrial and Mining Towns
by Qiguo Li, Lin Yang, Zhaomin Xu and Tingting Gao
Land 2026, 15(2), 352; https://doi.org/10.3390/land15020352 - 21 Feb 2026
Viewed by 309
Abstract
The small towns influenced by the long-term impact of the industrial and mining industries have formed distinctive spatial morphology. A systematic exploration of their spatial form characteristics can make up for the deficiencies of the existing research on spatial form, enrich the theory [...] Read more.
The small towns influenced by the long-term impact of the industrial and mining industries have formed distinctive spatial morphology. A systematic exploration of their spatial form characteristics can make up for the deficiencies of the existing research on spatial form, enrich the theory of urban spatial form, and provide theoretical support for the planning practice of such special towns. Therefore, this paper constructs a theoretical framework of structure–region–boundary and uses methods such as space syntax, shape index, and compactness to comprehensively analyze the spatial morphology gene types of 28 small industrial and mining towns in terms of structure, region, and boundary, and draw the corresponding gene maps. The research results show that in terms of structural genes, the transportation structure of small towns can be classified into grid, branch-shaped, and hybrid types; the relationship between mountains and towns can be categorized as mountain-encircled, mountain-fringed, mountain-adjacent, and no-mountain types; and the relationship between water and towns can be divided into simple intersection, intersection along the short side, intersection along the long side, compound intersection, and no-river types. The common types are grid, mountain-encircled, and no rivers. In terms of regional genes, the texture of small towns can be classified as self-organized, planned, and hybrid types; the public space of streets can be divided into high, medium, and low according to accessibility; the form of industrial and mining processing areas can be classified as terminal, marginal, independent, and central types. Among these, the hybrid, low-accessibility, and terminal types are the most common. In terms of boundary genes, the boundary morphology of most industrial and mining small towns is finger-shaped and uniform. Full article
(This article belongs to the Section Urban Contexts and Urban-Rural Interactions)
Show Figures

Figure 1

17 pages, 2737 KB  
Article
Gravity-Based Dry Beneficiation of Low-Calorific Coals Using an Air Table Separator
by Uğur Tekir
Minerals 2026, 16(2), 182; https://doi.org/10.3390/min16020182 - 7 Feb 2026
Viewed by 262
Abstract
Increasing constraints related to water consumption and operational complexity have intensified interest in dry coal beneficiation as an alternative to conventional wet cleaning, particularly for low-calorific coals used in thermal power plants. In this study, the performance of a gravity-based dry beneficiation process [...] Read more.
Increasing constraints related to water consumption and operational complexity have intensified interest in dry coal beneficiation as an alternative to conventional wet cleaning, particularly for low-calorific coals used in thermal power plants. In this study, the performance of a gravity-based dry beneficiation process using an air table was experimentally investigated for run-of-mine coals from the Soma Coal Basin, utilized in the Soma A Thermal Power Plant. The coal was crushed to −10 mm and classified into three size fractions, 5–10 mm, 3–5 mm, and 1–3 mm, before beneficiation. A pilot-scale air table with a capacity of 10 t/h was employed, and operating parameters including table inclination, airflow rate, and vibration frequency were optimized for each size fraction. Clean coal yields of 86.8–88.7% were achieved, while the ash content was reduced from 32 to 35% in the feed to 27.8%–29.7% in the clean coal (dry basis), remaining within the acceptable ash limits of the boiler design. The reject fractions exhibited high ash contents of approximately 71%–72%, indicating effective de-stoning and removal of high-density gangue minerals. Low and consistent Ep values (0.05–0.06) together with nearly constant cut-point densities (D50 ≈ 1.82%–1.83 g/cm3) demonstrated sharp and stable density-based separation. The dust fraction remained limited (1.4%–2.1%), confirming mechanically stable operation. The removal of approximately 10% of the feed as high-density reject was found to reduce coal milling energy demand and lower the energy consumption of ash handling and disposal systems. Overall, the results show that air table-based dry beneficiation enables water-free and energy-efficient pre-concentration of low-calorific coals, offering strong potential for application in water-scarce regions. Full article
(This article belongs to the Section Mineral Processing and Extractive Metallurgy)
Show Figures

Figure 1

15 pages, 10195 KB  
Article
Fractal Evolution of Mining-Induced Fractures in Thick and Hard Roofs Using Similar Simulation and Fractal Theory
by Xuan Cui, Shengli Yang, Hao Yue, Aoxiang Wang and Yongkai Zhao
Fractal Fract. 2026, 10(2), 110; https://doi.org/10.3390/fractalfract10020110 - 4 Feb 2026
Viewed by 263
Abstract
During coal mining, the development of joint fractures in overlying rock strata is one of the key factors that degrade the mechanical properties of rock masses, form water-conducting fracture zones, and induce safety hazards. To investigate the fracture evolution characteristics of overlying strata [...] Read more.
During coal mining, the development of joint fractures in overlying rock strata is one of the key factors that degrade the mechanical properties of rock masses, form water-conducting fracture zones, and induce safety hazards. To investigate the fracture evolution characteristics of overlying strata during coal extraction under thick and hard roof conditions, this study established a mining physical model based on similarity simulation technology, tracked the fracture evolution process, and performed quantitative analysis using fractal theory. The results show that fracture development is significantly correlated with the mining advance distance: the fractal dimension of fractures is small in the initial mining stage and gradually increases as the working face advances. When the mining width exceeds the ultimate span of the roof, local fractures expand rapidly with a sharp rise in the fractal dimension to 1.436; further increasing the mining width triggers large-scale sudden fracture expansion, resulting in severe degradation of rock mass integrity, with the maximum fractal dimension reaching 1.445. The research findings provide theoretical references for safety management and disaster prevention in coal mining under thick and hard roof conditions. Full article
Show Figures

Figure 1

18 pages, 3218 KB  
Article
Application of Opalized Tuff as an Aggregate in Lightweight Concrete
by Todorka Samardzioska, Dimitar Goshev and Slobodan B. Mickovski
Sustainability 2026, 18(3), 1547; https://doi.org/10.3390/su18031547 - 3 Feb 2026
Viewed by 504
Abstract
Lightweight concretes have gained great momentum in construction in the last decade, due to the large number of sustainable characteristics and construction advantages associated with them. The sustainability of lightweight concrete depends mainly on the application of sustainable aggregates, such as the amorphous [...] Read more.
Lightweight concretes have gained great momentum in construction in the last decade, due to the large number of sustainable characteristics and construction advantages associated with them. The sustainability of lightweight concrete depends mainly on the application of sustainable aggregates, such as the amorphous opalized tuff, found in large quantities in Eastern Macedonia. It is economically viable, easy to extract from surface mines, and easy to process. The physical, chemical, and mechanical properties, porosity, and water absorption of the tuff as a stone aggregate were examined as the aim of this study, with the objective of assessing its potential application in lightweight concrete. The tuff showed an average bulk density 87.2% lower than that of limestone. The compressive strength of the tested opalized tuff samples was 41.16 MPa, or 48.5% of the average strength of limestone rock (84.88 MPa). Furthermore, three concrete mixes with different aggregates were tested: with 100% limestone, with 50% tuff and 50% limestone, and with 100% tuff. The increase in the amount of tuff in the concrete mix required a larger amount of water, due to the high porosity of the tuff; the high water absorption of the tuff aggregate reduced the consistency of the concrete mix, so the bulk density decreased significantly with increasing tuff content. The concrete with 100% tuff aggregate was 44% lighter than concrete with 100% limestone aggregate, which means that concrete–tuff mixes can be classified as lightweight concrete. Our results further showed that by increasing the amount of opalized tuff aggregate in the concrete, the compressive strength of the hardened concrete decreased. The 50:50 mix showed an average compressive strength of 25.68 MPa at 28 days, i.e., 42% lower than the average compressive strength for limestone concrete (44.27 MPa). The tuff-only mix exhibited a compressive strength of 10.46 MPa that was 76.4% lower than limestone-only concrete. The increase in the amount of tuff in the concrete was shown to reduce the thermal conductivity; i.e., concrete with tuff aggregate showed a thermal conductivity coefficient of 0.3585 W/m·K, which is 5.58 times lower than that of conventional concrete with limestone aggregate. The results from the laboratory analyses provide guidance for the application of the local amorphous opalized tuff as a natural stone and as a filler for producing lightweight mortars and concretes. Every alternative and possibility for its application would contribute to reducing waste, reducing energy consumption in buildings, and thus creating an ecologically safe environment. The application of opalized tuff in lightweight concrete will support green jobs and the circular economy using locally available, alternative material, through reducing transportation emissions and decreasing waste. Full article
Show Figures

Figure 1

12 pages, 827 KB  
Proceeding Paper
Mine Water Inrush Propagation Modeling and Evacuation Route Optimization
by Xuemei Yu, Hongguan Wu, Jingyi Pan and Yihang Liu
Eng. Proc. 2025, 120(1), 40; https://doi.org/10.3390/engproc2025120040 - 3 Feb 2026
Viewed by 187
Abstract
We modeled water inrush propagation in mines and the optimization of evacuation routes. By constructing a water flow model, the propagation process of water flow through the tunnel network is simulated to explore branching, superposition, and water level changes. The model was constructed [...] Read more.
We modeled water inrush propagation in mines and the optimization of evacuation routes. By constructing a water flow model, the propagation process of water flow through the tunnel network is simulated to explore branching, superposition, and water level changes. The model was constructed based on breadth-first search (BFS) and a time-stepping algorithm. Furthermore, by integrating Dijkstra’s algorithm with a spatio-temporal expanded graph, miners’ evacuation routes were planned, optimizing travel time and water level risk. In scenarios with multiple water inrush points, we developed a multi-source asynchronous model that enhances route safety and real-time performance, enabling efficient emergency response during mine water disasters. For Problem 1 defined in this study, a graph structure and BFS algorithm were used to calculate the filling time of tunnels at a single water inrush point. For Problem 2, we combined the water propagation model with dynamic evacuation route planning, realizing dynamic escape via a spatio-temporal state network and Dijkstra’s algorithm. For Problem 3, we constructed a multi-source asynchronous water inrush dynamic network model to determine the superposition and propagation of water flows from multiple inrush points. For Problem 4, we established a multi-objective evacuation route optimization model, utilizing a time-expanded graph and a dynamic Dijkstra’s algorithm to integrate travel time and water level risk for personalized evacuation decision-making. Full article
(This article belongs to the Proceedings of 8th International Conference on Knowledge Innovation and Invention)
Show Figures

Figure 1

17 pages, 4346 KB  
Study Protocol
Research and Application of Damage Zoning Characteristics and Damage Reduction Techniques in High-Intensity Mining Strata of the Shendong Mining Area
by Yongqiang Zhao, Xiaolong Wang, Jie Fang, Jianqi Ma, Mengyuan Li, Xinjie Liu and Jiangping Yan
Appl. Sci. 2026, 16(3), 1315; https://doi.org/10.3390/app16031315 - 28 Jan 2026
Viewed by 174
Abstract
With the increase in mining intensity and scale, the damage to groundwater resources and surface ecology caused by coal mining has become the main problem facing coal development. Coal mining can cause a redistribution of stress field and stress concentration in local areas [...] Read more.
With the increase in mining intensity and scale, the damage to groundwater resources and surface ecology caused by coal mining has become the main problem facing coal development. Coal mining can cause a redistribution of stress field and stress concentration in local areas of overlying rock, resulting in varying degrees of movement and damage to the overlying rock. Quantitative analysis of the degree of migration and damage in different areas of overlying rock and zoning control is crucial for achieving loss reduction and green mining. In this paper, the overburden damage is divided into regions according to the different causes of formation, regional characteristics of severity, and other factors, and the specific calculation method is given. UDEC7.0 numerical simulation software is used to simulate the overlying rock damage, and the best mining parameters are provided through the area changes in different zones. The research conclusions are as follows: according to the different damage states of overburden rock, the damage of overburden rock can be divided into four parts: I, caving fracture zone, II, fracture development zone, III, sliding failure zone, and IV, slight failure zone. In the four zones, the damage in zones II and IV is relatively light. During the mining process, attention should be given to controlling the development of Zone I to prevent it from abnormally enlarging; for Zone II, hydraulic fracturing can be used when there is a thick, hard key layer that poses a water inrush risk; for Zone III, the focus should be on preventing surface step fractures caused by it. For example, when a thick, hard key layer is present in Zone II, hydraulic fracturing can be applied to avoid large area hanging roofs and severe rock pressure. When the mining height is low, it mainly affects the proportion of regions I and III. With the increase in mining height, the main affected region becomes the II region. The larger the mining height is, the larger the proportion of the II region. With the increase in propulsion speed, the impact range on the surface increases, but the area with severe damage is relatively reduced. With the increase in mining width, the proportion of relatively seriously damaged areas increased. On-site measurements have shown that when the speeds of 120,401 and 22,207 working faces are slow, the rock layer pressure shows a dense state, the overburden fracture is more fully developed, and the area proportion of I and II zones is increased, which reflects the phenomenon of dense surface fracture development on the surface. When the advancing speed is large, the area proportions of zones III and IV increase, and the damage scope decreases. The on-site testing verified the conclusions drawn from theoretical analysis and numerical simulation, which can guide other mines under similar conditions to achieve safe and green production. Full article
(This article belongs to the Special Issue Mining-Induced Rock Strata Damage and Mine Disaster Control)
Show Figures

Figure 1

Back to TopTop