Sign in to use this feature.

Years

Between: -

Subjects

remove_circle_outline
remove_circle_outline
remove_circle_outline
remove_circle_outline
remove_circle_outline
remove_circle_outline
remove_circle_outline

Journals

Article Types

Countries / Regions

Search Results (31)

Search Parameters:
Keywords = minimum SCR

Order results
Result details
Results per page
Select all
Export citation of selected articles as:
16 pages, 1468 KB  
Article
Optimal Placement and Sizing of Reactive Power Compensation Devices in Power Grids with High Penetration of Distributed Generation
by Nan Feng, Tao Niu, Jun Yan, Yufan Zhang, Yuyao Feng and Yuli Lei
Processes 2025, 13(9), 2953; https://doi.org/10.3390/pr13092953 - 16 Sep 2025
Viewed by 486
Abstract
To address voltage stability challenges in power grids with high penetration of distributed generation (DG), this paper proposes an optimal configuration method for reactive power compensation devices. Voltage-weak nodes are first identified using a novel short-circuit ratio (SCR) index. An average electrical distance [...] Read more.
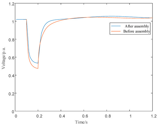
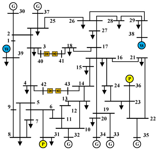
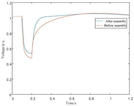
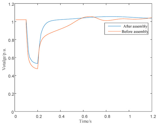
To address voltage stability challenges in power grids with high penetration of distributed generation (DG), this paper proposes an optimal configuration method for reactive power compensation devices. Voltage-weak nodes are first identified using a novel short-circuit ratio (SCR) index. An average electrical distance metric is then introduced to determine optimal installation nodes by computing distances between candidate nodes and weak nodes. Subject to constraints on maximum compensation capacity and allowable DG disconnection limits, MATLAB simulations validate the optimal configuration. Case studies on modified IEEE 9, 14 and 39 bus systems confirm the method’s efficacy: DG tripping due to low-/high-voltage ride-through failures is effectively mitigated, with minimum fault voltage increasing by 0.05–0.08 p.u. and voltage recovery time reduced by 0.15–0.8 s. Full article
(This article belongs to the Section Energy Systems)
Show Figures

Figure 1

17 pages, 3652 KB  
Article
Impact of Calefaction and AdBlue Atomization by Magneto-Strictive and Piezoelectric Phenomena on NOx in SCR Systems for Diesel Engines
by Ioan Mihai, Claudiu Marian Picus and Cornel Suciu
Appl. Sci. 2025, 15(17), 9648; https://doi.org/10.3390/app15179648 - 2 Sep 2025
Viewed by 550
Abstract
In recent decades, pollutant emissions from the combustion of fossil fuels have become increasingly serious for the environment. The present paper reports experimental results for research carried out under laboratory conditions for a Selective Catalytic Reduction (SCR) system, implemented in different configurations on [...] Read more.
In recent decades, pollutant emissions from the combustion of fossil fuels have become increasingly serious for the environment. The present paper reports experimental results for research carried out under laboratory conditions for a Selective Catalytic Reduction (SCR) system, implemented in different configurations on an ISUZU 4JB1 diesel engine. The obtained results allow for a comparative analysis of NOx formation as a function of diesel engine load (χ = 25–100%), at 1350, 2100, 2850, and 3600 rpm, with the engine operating under either cold (T < 343 K) or warm (T > 343 K) regimes. A preheating system for AdBlue droplets, in the form of a metal honeycomb that uses electromagnetic induction and incorporates a high-frequency generator, was introduced in the flow path of the combustion gases and tested to compare the experimental results. This system enabled temperatures of up to 643 K. A magneto-strictive system was also introduced in the SCR structure to atomize the AdBlue droplets to a minimum diameter of 3.5 μm. Using this principle, combined with preheating, the effect of calefaction was compared with the classical case of the internal heating of the SCR catalyst. For experimental purposes, piezoelectric cells dedicated to the transformation of the AdBlue solution into micro- or nano-droplets, which were entrained into the SCR by an ejector, were also used. Experimental results are presented in graphical form and reveal that the use of preheating, heating, or piezoelectric cells leads to improved NOx conversion. The tested solutions showed reductions in NOx emissions of up to eight times depending on the diesel engine load, demonstrating their strong impact on NOx reduction. Full article
Show Figures

Figure 1

24 pages, 7229 KB  
Article
Comparative Emission Analysis of Diesel Engine Integrated with Mn and Ce-Si Synthesis Catalyst-Based Molds Using Base Fuel and B50 Plastic Oil
by Premkumar Subramanian, Kavitha Ganeshan, Jibitesh Kumar Panda, Rajesh Kodbal, Malinee Sriariyanun, Arunkumar Thirugnanasambandam and Babu Dharmalingam
Energies 2025, 18(14), 3625; https://doi.org/10.3390/en18143625 - 9 Jul 2025
Viewed by 568
Abstract
Progressive research on reducing engine emissions is highly valued due to the emissions’ significant environmental and health impacts. This comprehensive comparative study examines the catalytic efficiency of manganese (Mn) and cerium silica (Ce-Si) synthesis catalyst-based molds in a diesel engine using a selective [...] Read more.
Progressive research on reducing engine emissions is highly valued due to the emissions’ significant environmental and health impacts. This comprehensive comparative study examines the catalytic efficiency of manganese (Mn) and cerium silica (Ce-Si) synthesis catalyst-based molds in a diesel engine using a selective catalytic reduction (SCR) technique with diesel and diesel–plastic oil blend (DPB) (B50). In addition to Fourier transform infrared spectroscopy (FTIR) studies, X-ray diffraction (XRD), scanning electron microscopy (SEM), and the Brunauer–Emmett–Teller (BET) method are utilized to characterize the produced molds before and after exhaust gas passes. The Ce-Si-based mold demonstrates superior redox capacity, better adsorption capacity, and better thermal stability, attributed to enhanced oxygen storage and structural integrity compared to the Mn-based mold. Under minimum load conditions, nitrogen oxide (NO) reduction efficiency peaks at 80.70% for the Ce-Si-based mold in the SCR treatment with DPB fuel. Additionally, significant reductions of 86.84%, 65.75%, and 88.88% in hydrocarbon (HC), carbon monoxide (CO), and smoke emissions, respectively, are achieved in the SCR treatment under optimized conditions. Despite a wide temperature range, Ce-Si-based mold promotes high surface area and superior gas diffusion properties. Overall, the Ce-Si-based mold provides efficient emission control in diesel engines, which paves a path for developing better environmental sustainability. The outcomes contribute to advancing environmental sustainability by supporting the achievement of SDGs 7, 11, and 13. Full article
(This article belongs to the Section B: Energy and Environment)
Show Figures

Figure 1

24 pages, 5959 KB  
Article
An Information Geometry-Based Track-Before-Detect Algorithm for Range-Azimuth Measurements in Radar Systems
by Jinguo Liu, Hao Wu, Zheng Yang, Xiaoqiang Hua and Yongqiang Cheng
Entropy 2025, 27(6), 637; https://doi.org/10.3390/e27060637 - 14 Jun 2025
Cited by 1 | Viewed by 772
Abstract
The detection of weak moving targets in heterogeneous clutter backgrounds is a significant challenge in radar systems. In this paper, we propose a track-before-detect (TBD) method based on information geometry (IG) theory applied to range-azimuth measurements, which extends the IG detectors to multi-frame [...] Read more.
The detection of weak moving targets in heterogeneous clutter backgrounds is a significant challenge in radar systems. In this paper, we propose a track-before-detect (TBD) method based on information geometry (IG) theory applied to range-azimuth measurements, which extends the IG detectors to multi-frame detection through inter-frame information integration. The approach capitalizes on the distinctive benefits of the information geometry detection framework in scenarios with strong clutter, while enhancing the integration of information across multiple frames within the TBD approach. Specifically, target and clutter trajectories in multi-frame range-azimuth measurements are modeled on the Hermitian positive definite (HPD) and power spectrum (PS) manifolds. A scoring function based on information geometry, which uses Kullback–Leibler (KL) divergence as a geometric metric, is then devised to assess these motion trajectories. Moreover, this study devises a solution framework employing dynamic programming (DP) with constraints on state transitions, culminating in an integrated merit function. This algorithm identifies target trajectories by maximizing the integrated merit function. Experimental validation using real-recorded sea clutter datasets showcases the effectiveness of the proposed algorithm, yielding a minimum 3 dB enhancement in signal-to-clutter ratio (SCR) compared to traditional approaches. Full article
(This article belongs to the Section Information Theory, Probability and Statistics)
Show Figures

Figure 1

23 pages, 9227 KB  
Article
Achieving NOx Emissions with Zero-Impact on Air Quality from Diesel Light-Duty Commercial Vehicles
by Theodoros Kossioris, Robert Maurer, Stefan Sterlepper, Marco Günther and Stefan Pischinger
Energies 2025, 18(8), 1882; https://doi.org/10.3390/en18081882 - 8 Apr 2025
Viewed by 968
Abstract
Many cities are still struggling to comply with current air quality regulations. Road transport is usually a significant source of NOx emissions, especially in urban areas. Therefore, NOx from road vehicles needs to be further reduced below current standards to ultra-low or even [...] Read more.
Many cities are still struggling to comply with current air quality regulations. Road transport is usually a significant source of NOx emissions, especially in urban areas. Therefore, NOx from road vehicles needs to be further reduced below current standards to ultra-low or even zero-impact levels. In a novel, holistic powertrain design approach, this paper presents powertrain solutions to achieve zero-impact NOx emissions with an N1 class III diesel light commercial vehicle. The design is based on a compliance test matrix consisting of six real-world scenarios that are critical for emissions and air quality. As a design baseline, a vehicle concept meeting the emission requirements as set out in the European Commission’s 2022 Euro 7 regulation proposal is used. The baseline vehicle concept can achieve zero-impact NOx emissions in 67% of these scenarios. To achieve zero-impact NOx emissions in all scenarios, further advanced emission solutions are mandatory. In congested urban areas, the use of an exhaust gas aftertreatment system preheating device with at least 20 kW of power for 1 min is required. In high-traffic highway situations, an underfloor SCR unit with a minimum volume of 12 l or the restriction of the maximum vehicle speed at 130 km/h is required. Full article
(This article belongs to the Special Issue Emission Control Technology in Internal Combustion Engines)
Show Figures

Graphical abstract

22 pages, 9467 KB  
Article
Study on the Dynamic Characteristics of Floating Production Storage and Offloading Units and Steel Catenary Risers Under the Action of Internal Solitary Waves
by Fengming Du, Mingjie Li, Zetian Mi and Pan Gao
J. Mar. Sci. Eng. 2025, 13(3), 521; https://doi.org/10.3390/jmse13030521 - 9 Mar 2025
Viewed by 739
Abstract
In the ocean, internal solitary waves (ISW) pose a serious threat to the safety of marine engineering structures such as floating production storage and offloading (FPSO) units and steel catenary risers (SCRs). In this work, a calculation method for the load acting on [...] Read more.
In the ocean, internal solitary waves (ISW) pose a serious threat to the safety of marine engineering structures such as floating production storage and offloading (FPSO) units and steel catenary risers (SCRs). In this work, a calculation method for the load acting on an FPSO by internal solitary waves and a calculation method for the cable recovery force were proposed, the motion characteristics of the FPSO under the action of internal solitary waves were analyzed, and the dynamic characteristics of SRCs were further studied. The results show that that the internal solitary wave load reaches its maximum value before the ISW reaches the FPSO position, and the displacement reaches its maximum value around the time when the ISW reaches the FPSO position. The smaller the horizontal pre-tension of the mooring cable, the greater the displacement of the FPSO. The stress of the SRC reaches its maximum value when the FPSO reaches its maximum displacement, while it reaches its minimum value when the FPSO reaches its minimum motion. As the incident angle of the ISW increases, the stress of the SCRs slightly decreases. This model and the findings can provide a technical support and guidance for the design of FPSOs and SCRs. Full article
Show Figures

Figure 1

26 pages, 7618 KB  
Article
Evaluation of the Impact of Photovoltaic Solar Power Plant Integration into the Grid: A Case Study of the Western Transmission Network in the Democratic Republic of Congo
by Kevin Kiangebeni Lusimbakio, Tonton Boketsu Lokanga, Pierre Sedi Nzakuna, Vincenzo Paciello, Jean-Pierre Nzuru Nsekere and Obed Tshimanga Tshipata
Energies 2025, 18(3), 639; https://doi.org/10.3390/en18030639 - 30 Jan 2025
Cited by 5 | Viewed by 4186
Abstract
Rising electricity demand and the need to reduce pollutant emissions highlight the importance of renewable energy, especially solar power. While most studies on photovoltaic (PV) integration focus on developed countries, least developed and developing countries such as the Democratic Republic of Congo (DRC) [...] Read more.
Rising electricity demand and the need to reduce pollutant emissions highlight the importance of renewable energy, especially solar power. While most studies on photovoltaic (PV) integration focus on developed countries, least developed and developing countries such as the Democratic Republic of Congo (DRC) face particular challenges due to fragile grid infrastructure. This work evaluates the technical and operational impacts of PV integration into the western grid of the DRC using DIgSILENT PowerFactory 2021 SP2 simulations. It examines penetration levels from 10% to 50% based on a 2012 MW baseline, and evaluates power losses, short-circuit ratios (SCRs), grid stability, harmonic distortions, and voltage oscillations. Results reveal that moderate penetration levels (10–20%) reduce active power losses by 25% while maintaining stability. However, above 30% penetration, critical challenges arise, including a drop of the SCR below the minimum recommended value of 3, prolonged voltage oscillations, and increased harmonic distortions, resulting from the reduced overall inertia of the grid following the increase in PV power from inverters without inertia. These findings emphasize the need for targeted solutions like Battery Energy Storage Systems (BESSs), Static Synchronous Compensators (STATCOMs), and harmonic filters. This work provides foundational insights for PV integration in fragile grids of LDCs and developing countries. Full article
(This article belongs to the Special Issue Integration of Renewable Energy Systems in Power Grid)
Show Figures

Figure 1

17 pages, 3430 KB  
Article
Application of an Improved State Feedback Control in the Selective Catalytic Reduction Denitrification Systems of Coal Power Units Under Variable Load Conditions
by Xiguo Cao, Yongtao Zhang, Heng Hu, Xiaochao Fan and Jiading Jiang
Processes 2024, 12(11), 2570; https://doi.org/10.3390/pr12112570 - 17 Nov 2024
Viewed by 946
Abstract
Selective catalytic reduction (SCR) flue gas denitrification systems are inherently complex, typically embodying characteristics of non-linearity, significant time delays, and susceptibility to multiple disturbances. In the context of coal power units engaging in deep load cycling and rapid frequency adjustment, conventional proportional-integral-derivative (PID) [...] Read more.
Selective catalytic reduction (SCR) flue gas denitrification systems are inherently complex, typically embodying characteristics of non-linearity, significant time delays, and susceptibility to multiple disturbances. In the context of coal power units engaging in deep load cycling and rapid frequency adjustment, conventional proportional-integral-derivative (PID) control struggles to meet the demands of effective control. This study introduces a control strategy that incorporates a “state observer + Linear Quadratic Regulator (LQR) state feedback + Improved Quantum Genetic Algorithm (IQGA) optimized PID”. Initially, local linear mathematical models of an SCR denitrification system at 340 MW, 450 MW, and 540 MW loads were used to design state observer and LQR state feedback control parameters for each operational condition. At a single load point, the IQGA was employed to optimize the outer loop PID parameters, followed by simulation experiments of load increases and decreases between 340 MW and 540 MW. The results demonstrated that, compared to two other strategies, the proposed approach reduced the overshoot by a minimum of 1.5% and shortened the adjustment time by 31.7% under conditions of step disturbances and internal perturbations. Throughout variable operational conditions, the strategy consistently exhibited minimal output fluctuations, rapid adjustment capabilities, strong disturbance rejection, and robust stability. This algorithm proves to be an effective method for controlling NOx concentrations, offering insights for precise ammonia injection control in future applications. Full article
(This article belongs to the Section Chemical Processes and Systems)
Show Figures

Figure 1

11 pages, 4156 KB  
Article
Superior Capsular Reconstruction Using an Acellular Dermal Xenograft or Allograft Improves Shoulder Function but Is Associated with a High Graft Failure Rate
by Maximilian Hinz, Lorenz Fritsch, Hannes Degenhardt, Marco-Christopher Rupp, Lucca Lacheta, Lukas N. Muench, Andrea Achtnich, Sebastian Siebenlist and Bastian Scheiderer
J. Clin. Med. 2024, 13(16), 4646; https://doi.org/10.3390/jcm13164646 - 8 Aug 2024
Cited by 4 | Viewed by 1681
Abstract
Objectives: The purpose of the present study was to evaluate clinical and functional outcomes, graft integrity rate and progression of osteoarthritis after superior capsular reconstruction (SCR) at short-term follow-up. Methods: Consecutive patients that underwent SCR using an acellular dermal xeno- or allograft between [...] Read more.
Objectives: The purpose of the present study was to evaluate clinical and functional outcomes, graft integrity rate and progression of osteoarthritis after superior capsular reconstruction (SCR) at short-term follow-up. Methods: Consecutive patients that underwent SCR using an acellular dermal xeno- or allograft between May 2018 and June 2020 for the treatment of irreparable posterosuperior rotator cuff tears were included. Shoulder function (American Shoulder and Elbow Surgeons [ASES] score), pain (Visual Analog Scale [VAS] for pain) and active shoulder range of motion (ROM) were evaluated preoperatively and after a minimum of 24 months postoperatively. Isometric strength was measured at follow-up and compared to the contralateral side. Magnetic resonance imaging was performed to evaluate graft integrity and osteoarthritis progression (shoulder osteoarthritis severity [SOAS] score). Results: Twenty-two patients that underwent SCR using a xeno- (n = 9) or allograft (n = 13) were evaluated 33.1 ± 7.2 months postoperatively. Four patients in the xenograft group underwent revision surgery due to pain and range of motion limitations and were excluded from further analysis (revision rate: 18.2%). Shoulder function (ASES score: 41.6 ± 18.8 to 72.9 ± 18.6, p < 0.001), pain levels (VAS for pain: 5.8 ± 2.5 to 1.8 ± 2.0, p < 0.001) and active flexion (p < 0.001) as well as abduction ROM (p < 0.001) improved significantly from pre- to postoperatively. Active external rotation ROM did not improve significantly (p = 0.924). Isometric flexion (p < 0.001), abduction (p < 0.001) and external rotation strength (p = 0.015) were significantly lower in the operated shoulder compared to the non-operated shoulder. Ten shoulders demonstrated a graft tear at the glenoid (n = 8, 44.4%) or humerus (n = 2, 11.1%). Graft lysis was observed in seven shoulders (38.9%). The graft was intact in one shoulder (5.6%), which was an allograft. A significant progression of shoulder osteoarthritis was observed at follow-up (SOAS score: 42.4 ± 10.1 to 54.6 ± 8.4, p < 0.001). Conclusions: At short-term follow-up, SCR using an acellular dermal xeno- or allograft resulted in improved shoulder function and pain with limitations in active external rotation ROM and isometric strength. Graft failure rates were high and osteoarthritis progressed significantly. Level of Evidence: Retrospective cohort study, Level III. Full article
(This article belongs to the Section Orthopedics)
Show Figures

Figure 1

17 pages, 2807 KB  
Article
Outcomes of Superior Capsular Reconstruction Using the Long Head of the Biceps Tendon in Large to Massive Rotator Cuff Tears: A Meta-Analysis and Systematic Review
by Kyun-Ho Shin, Il-Tae Jang and Seung-Beom Han
J. Clin. Med. 2024, 13(4), 1052; https://doi.org/10.3390/jcm13041052 - 12 Feb 2024
Cited by 5 | Viewed by 2762
Abstract
(1) Background: Addressing large to massive rotator cuff tears (LMRCTs) poses complex challenges. This systematic review investigated outcomes of superior capsular reconstruction (SCR) with the long head of the biceps tendon (LHBT) compared to conventional rotator cuff repair (RCR) for LMRCTs. (2) Methods: [...] Read more.
(1) Background: Addressing large to massive rotator cuff tears (LMRCTs) poses complex challenges. This systematic review investigated outcomes of superior capsular reconstruction (SCR) with the long head of the biceps tendon (LHBT) compared to conventional rotator cuff repair (RCR) for LMRCTs. (2) Methods: A systematic search across the MEDLINE/PubMed, EMBASE, Cochrane Library, and Scopus databases until 1 October 2023 identified studies that directly compared SCR with LHBT with conventional RCR in patients with LMRCTs and included a minimum of a 12-month follow-up period. The assessed outcome measures encompassed retear rates, functional outcomes, range of motion (ROM), and acromiohumeral interval (AHI). Risk of bias assessment was conducted via the Robins-I tool. (3) Results: In six studies with 456 cases (210 SCR using LHBT and 246 using RCR), SCR with LHBT significantly reduced retear rates (OR = 0.21; 95% CI, 0.12–0.36; p < 0.01; I2 = 0%). Furthermore, SCR with LHBT showed significant improvement in range of forward flexion (SMD 0.32, 95% CI: 0.09–0.55, p < 0.01, I2 = 39%) and AHI (SMD 0.61, 95% CI: 0.31–0.92, p < 0.01, I2 = 0%) postoperatively. (4) Conclusion: SCR with LHBT is a safe and effective treatment for LMRCTs, reducing retear rates, maintaining greater postoperative AHI, and improving ROM compared to conventional RCR. Additional high-quality interventional studies are needed to confirm these results. Full article
(This article belongs to the Special Issue Advances in Shoulder Surgery: Current Trends and Future Directions)
Show Figures

Graphical abstract

29 pages, 12305 KB  
Article
APO-ELM Model for Improving Azimuth Correction of Shipborne HFSWR
by Yaning Wang, Haibo Yu, Ling Zhang and Gangsheng Li
Remote Sens. 2023, 15(15), 3818; https://doi.org/10.3390/rs15153818 - 31 Jul 2023
Cited by 3 | Viewed by 1688
Abstract
Shipborne high-frequency surface wave radar (HFSWR) has a wide range of applications and plays an important role in moving target detection and tracking. However, the complexity of the sea detection environment causes the target signals received by shipborne HFSWR to be seriously disturbed [...] Read more.
Shipborne high-frequency surface wave radar (HFSWR) has a wide range of applications and plays an important role in moving target detection and tracking. However, the complexity of the sea detection environment causes the target signals received by shipborne HFSWR to be seriously disturbed by sea clutter. Sea clutter increases the difficulty of azimuth estimation, resulting in a challenging problem for shipborne HFSWR. To solve this problem, a novel azimuth correction method based on adaptive boosting error feedback dynamic weighted particle swarm optimization extreme learning machine (APO-ELM) is proposed to improve the azimuth estimation accuracy of shipborne HFSWR. First, the sea clutter is modeled and simulated. Then, we study its characteristics and analyze the influence of its characteristics on the first-order clutter spectrum and target detection accuracy, respectively. In addition, the proposed improved particle swarm optimization (PSO) and adaptive neuron clipping algorithm are used to optimize the input parameters of the ELM network. Then, the network performs error feedback based on the optimized parameter performance and updates the feature matrix, which can give a minimum clutter-error estimation. After that, it iteratively trains multiple weak learners using the adaptive boosting (AdaBoost) algorithm to form a strong learner and make strong predictions. Finally, after error compensation, the best azimuth estimation results are obtained. The sample sets used for the APO-ELM network are obtained from field shipborne HFSWR data. The network training and testing features include the wind direction, sea current, wind speed, platform speed, and signal-to-clutter ratio (SCR). The experimental results show that this method has a lower root-mean-square error than the back-propagation neural network and support vector regression (SVR) azimuth correction methods, which verifies the effectiveness of the proposed method. Full article
(This article belongs to the Special Issue Feature Paper Special Issue on Ocean Remote Sensing - Part 2)
Show Figures

Graphical abstract

15 pages, 5026 KB  
Article
Exploring the Multifunctionality of Mechanochemically Synthesized γ-Alumina with Incorporated Selected Metal Oxide Species
by Rabindra Dubadi, Ewelina Weidner, Bogdan Samojeden, Teofil Jesionowski, Filip Ciesielczyk, Songping Huang and Mietek Jaroniec
Molecules 2023, 28(5), 2002; https://doi.org/10.3390/molecules28052002 - 21 Feb 2023
Cited by 5 | Viewed by 2866
Abstract
γ-Alumina with incorporated metal oxide species (including Fe, Cu, Zn, Bi, and Ga) was synthesized by liquid-assisted grinding—mechanochemical synthesis, applying boehmite as the alumina precursor and suitable metal salts. Various contents of metal elements (5 wt.%, 10 wt.%, and 20 wt.%) were used [...] Read more.
γ-Alumina with incorporated metal oxide species (including Fe, Cu, Zn, Bi, and Ga) was synthesized by liquid-assisted grinding—mechanochemical synthesis, applying boehmite as the alumina precursor and suitable metal salts. Various contents of metal elements (5 wt.%, 10 wt.%, and 20 wt.%) were used to tune the composition of the resulting hybrid materials. The different milling time was tested to find the most suitable procedure that allowed the preparation of porous alumina incorporated with selected metal oxide species. The block copolymer, Pluronic P123, was used as a pore-generating agent. Commercial γ−alumina (SBET = 96 m2·g−1), and the sample fabricated after two hours of initial grinding of boehmite (SBET = 266 m2·g−1), were used as references. Analysis of another sample of γ-alumina prepared within 3 h of one-pot milling revealed a higher surface area (SBET = 320 m2·g−1) that did not increase with a further increase in the milling time. So, three hours of grinding time were set as optimal for this material. The synthesized samples were characterized by low-temperature N2 sorption, TGA/DTG, XRD, TEM, EDX, elemental mapping, and XRF techniques. The higher loading of metal oxide into the alumina structure was confirmed by the higher intensity of the XRF peaks. Samples synthesized with the lowest metal oxide content (5 wt.%) were tested for selective catalytic reduction of NO with NH3 (NH3-SCR). Among all tested samples, besides pristine Al2O3 and alumina incorporated with gallium oxide, the increase in reaction temperature accelerated the NO conversion. The highest NO conversion rate was observed for Fe2O3-incorporated alumina (70%) at 450 °C and CuO-incorporated alumina (71%) at 300 °C. The CO2 capture was also studied for synthesized samples and the sample of alumina with incorporated Bi2O3 (10 wt.%) gave the best result (1.16 mmol·g−1) at 25 °C, while alumina alone could adsorb only 0.85 mmol·g−1 of CO2. Furthermore, the synthesized samples were tested for antimicrobial properties and found to be quite active against Gram-negative bacteria, P. aeruginosa (PA). The measured Minimum Inhibitory Concentration (MIC) values for the alumina samples with incorporated Fe, Cu, and Bi oxide (10 wt.%) were found to be 4 µg·mL−1, while 8 µg·mL−1 was obtained for pure alumina. Full article
Show Figures

Graphical abstract

14 pages, 2518 KB  
Article
Study on Precipitation Kinetics of Calcium Pyro-Vanadate and Thermodynamics of Vanadium Water System
by Hangkai Liu and Qiaowen Yang
Metals 2023, 13(1), 10; https://doi.org/10.3390/met13010010 - 20 Dec 2022
Cited by 5 | Viewed by 1784
Abstract
Selective catalytic reduction (SCR) is a technology widely used in large coal-fired units to remove nitrogen oxides from flue gas, but it also generates a large number of waste catalysts every year. At present, the recovery of V from discarded SCR catalysts has [...] Read more.
Selective catalytic reduction (SCR) is a technology widely used in large coal-fired units to remove nitrogen oxides from flue gas, but it also generates a large number of waste catalysts every year. At present, the recovery of V from discarded SCR catalysts has good application prospects and environmental significance. In this paper, the kinetics and thermodynamics of vanadium precipitation process are described with the vanadium-containing liquid of waste denitration catalyst recovered by alkali leaching as raw material and CaCl2 as precipitant in order to further explore the mechanism of vanadium precipitation. The kinetics study showed that the crystallization process of calcium pyrovanadate can be well-described by Avrami kinetic model when the precipitation time is 95–130 min, and the vanadium precipitation temperature is 60–80 °C. After that, the Arrhenius equation was used to analyze the fitted kinetic data, and the apparent activation energy Ea of vanadium precipitation reaction was calculated to be 98.196 kJ/mol, and the pre exponential factor A = 8.59 × 1039 min−1. Thermodynamic study showed that when the pH of the vanadium water system is low, the +5 valence vanadium in the solution mainly exists in the form of VO2+ cation. When the pH is between 0–1, the solubility of vanadium reaches the minimum and then increases the solution pH again, and various polymerized anions are formed in the vanadium water system. When the temperature is 25 °C, the activity of vanadium in vanadium-containing solution is 10−1, the pH of solution is 8–12, and the existence form of +5 valence vanadium in solution is mainly HV2O73−. By analyzing the existing forms of V with different activities in a vanadium water system at 25 °C, it can be seen that with the decrease of V activity in liquid, the dominant region of polymerized vanadium-containing species in the potential pH diagram will disappear, indicating that vanadium mainly exists in the form of mononuclear ions in low-concentration vanadium-containing solutions, which is not conducive to precipitation. Therefore, in the process of precipitation of vanadium in solution, the concentration of V should be increased as much as possible. Full article
Show Figures

Figure 1

11 pages, 1762 KB  
Article
Diagnostic Performance of the Acute Kidney Injury Baseline Creatinine Equations in Children and Adolescents with Type 1 Diabetes Mellitus Onset
by Pier Luigi Palma, Stefano Guarino, Anna Di Sessa, Giulio Rivetti, Annalisa Barlabà, Federica Scaglione, Daniela Capalbo, Alfonso Papparella, Emanuele Miraglia del Giudice and Pierluigi Marzuillo
Diagnostics 2022, 12(10), 2268; https://doi.org/10.3390/diagnostics12102268 - 20 Sep 2022
Cited by 1 | Viewed by 1803
Abstract
Three new equations for calculating the estimated basal serum creatinine (ebSCr) in hospitalized children have been developed: the simplified acute kidney injury (AKI) baseline creatinine (ABC) equation which considered only age in the formula; the equation including age and minimum creatinine (Crmin [...] Read more.
Three new equations for calculating the estimated basal serum creatinine (ebSCr) in hospitalized children have been developed: the simplified acute kidney injury (AKI) baseline creatinine (ABC) equation which considered only age in the formula; the equation including age and minimum creatinine (Crmin) within the initial 72 h from hospitalization (ABC-cr); and the equation including Crmin and height, weight, and age as squared values (ABC-advanced). We aimed to test the diagnostic performance of the ABC, ABC-cr and ABC-advanced equations in diagnosing AKI in 163 prospectively enrolled children with type 1 diabetes mellitus (T1DM) onset. We considered measured basal serum creatinine (mbSCr), the creatinine measured 14 days after T1DM onset. AKI was defined by the highest/basal serum creatine (HC/BC) ratio > 1.5. On the basis of the mbSCr, the AKI was diagnosed in 66/163 (40.5%) patients. This prevalence was lower than the prevalence of AKI diagnosed on the basis of ABC ebSCr (122/163 patients; 74.8%) (p < 0.001) and similar to the prevalence of AKI diagnosed on the basis of ABC-cr ebSCr (72/163 patients; 44.2%) (p = 0.5) and to the prevalence of AKI diagnosed on the basis of ABC-advanced ebSCr (69/163; 42.3%) (p = 0.73). AKI determined using ABC ebSCr, ABC-cr ebSCr and ABC-advanced ebSCr showed, respectively, 63.5% (kappa = 0.35; p < 0.001), 87.7% (kappa = 0.75; p < 0.001), and 87.1% (kappa = 0.74; p < 0.001) agreement with AKI determined using mbSCr. Using the HC/BC ratio calculated on the basis of mbSCr as gold standard, for Bland–Altman plots the HC/BC ratio calculated on the basis of ABC formula presented higher bias and wider limits of agreement compared with the HC/BC ratio calculated on the basis of ABC-cr and ABC-advanced formulas. In the receiver–operating characteristics (ROC) curve analysis the HC/BC ratio calculated on the basis of ABC ebSCr presented lower area under the ROC curve (AUROC) (AUROC = 0.89; 95%CI: 0.85–0.95; p < 0.001) compared with HC/BC ratio calculated on the basis of ABC-cr (AUROC = 0.94; 95%CI: 0.91–0.98; p < 0.001) or ABC-advanced ebSCr (AUROC = 0.914; 95%CI: 0.91–0.97; p < 0.001). In both Bland–Altman plots and ROC curve analysis, the ABC-cr and ABC-advanced formulas performed similarly. In conclusion, the ABC-cr and ABC-advanced formulas present very good diagnostic performance toward AKI identification in a population of children with T1DM onset. Full article
Show Figures

Figure 1

22 pages, 7877 KB  
Article
A Systematic Control Design Method with Active Damping Control in Voltage Source Converters
by Hosein Gholami-Khesht, Pooya Davari, Chao Wu and Frede Blaabjerg
Appl. Sci. 2022, 12(17), 8893; https://doi.org/10.3390/app12178893 - 5 Sep 2022
Cited by 2 | Viewed by 2371
Abstract
This paper proposes a systematic control design method for active damping control of grid-connected voltage source converters (VSCs). The proposed control method considers the conventional cascaded control loops and improves them by including additional states feedback-based active damping. In such a way, all [...] Read more.
This paper proposes a systematic control design method for active damping control of grid-connected voltage source converters (VSCs). The proposed control method considers the conventional cascaded control loops and improves them by including additional states feedback-based active damping. In such a way, all control gains are lumped into one control gain matrix based on the proposed formulation. The lumping of all control gains into one matrix leads to a linear optimization problem, so different techniques can be used to calculate control gains. This work calculates them by using a simple but effective optimal control theorem as a noteworthy feature. The proposed control method can overcome the challenges of designing multiple control loops, evaluating wide time scale dynamics, and tuning required control parameters. Moreover, direct relationships between the proposed tuning parameters and system well-known stability and performance indicators such as maximum damping factor, minimum damping ratio, and the control efforts are identified, providing good physical insight. Finally, the proposed control structure and optimal gain calculations ensure power converter robustness against uncertainties in the grid’s short-circuit ratio (SCR) and different operating-point conditions. When the grid’s SCR changes from 10 (strong grid condition) to 1 (ultra-weak grid condition), the system under the proposed control method maintains good stability margins and simultaneously provides a fast dynamic response by facilitating the implementation of a high-bandwidth phase-locked loop (PLL). The performance of the proposed control strategy was investigated analytically and practically by conducting eigenvalue analysis, simulations, and experiments. Full article
(This article belongs to the Special Issue 5th Anniversary of Energy Section—Recent Advances in Energy)
Show Figures

Figure 1

Back to TopTop