Sign in to use this feature.

Years

Between: -

Subjects

remove_circle_outline
remove_circle_outline
remove_circle_outline
remove_circle_outline
remove_circle_outline
remove_circle_outline
remove_circle_outline
remove_circle_outline
remove_circle_outline

Journals

remove_circle_outline
remove_circle_outline
remove_circle_outline
remove_circle_outline
remove_circle_outline

Article Types

Countries / Regions

remove_circle_outline
remove_circle_outline
remove_circle_outline
remove_circle_outline

Search Results (441)

Search Parameters:
Keywords = millimeter scale

Order results
Result details
Results per page
Select all
Export citation of selected articles as:
18 pages, 14037 KB  
Article
Optimizing the Design of a Low-Profile Phased-Array-Fed Lens Antenna Based on Genetic Algorithms
by Yuyang Lu, Jing-Ya Deng and Jian Ren
Electronics 2026, 15(6), 1145; https://doi.org/10.3390/electronics15061145 - 10 Mar 2026
Abstract
To address the stringent cost and performance requirements of commercial Satellite-on-the-Move (SOTM) terminals, we propose a Genetic Algorithm (GA)-based design for a millimeter-wave Phased-Array-Fed Lens (PAFL). This antenna is specifically intended to be the electronic scanning module within a hybrid mechanical–electronic steering architecture. [...] Read more.
To address the stringent cost and performance requirements of commercial Satellite-on-the-Move (SOTM) terminals, we propose a Genetic Algorithm (GA)-based design for a millimeter-wave Phased-Array-Fed Lens (PAFL). This antenna is specifically intended to be the electronic scanning module within a hybrid mechanical–electronic steering architecture. In this hybrid configuration, wide-angle coverage is handled by mechanical positioning, while the PAFL is responsible for high-precision fine tracking and jitter compensation within a critical ±15° field of view. By utilizing a small-scale active array to illuminate a large passive planar lens, this design significantly reduces hardware costs compared to full phased arrays. To mitigate phase aberrations and gain loss inherent in such compact focal-to-diameter (F/D) systems, a two-stage co-optimization strategy is introduced. It globally optimizes the lens phase distribution and subsequently synthesizes feed excitation codebooks to dynamically correct residual errors. A Ka-band prototype comprising an 8 × 8 active feed and a 28 × 28 transmitarray lens was fabricated. Measurements demonstrated stable scanning within the required ±15° range with a gain variation of less than 1.5 dB, achieving a peak directivity of 28.9 dBi and sidelobe levels below −12 dB. Full article
Show Figures

Figure 1

16 pages, 1773 KB  
Article
Seepage-Induced Crack Opening in Cemented Joints: A Hydromechanical Study for Geotechnical Applications
by Nazim Hussain, Guoxin Zhang, Songhui Li, Yongrong Qiu and Arifullah
Geotechnics 2026, 6(1), 27; https://doi.org/10.3390/geotechnics6010027 - 7 Mar 2026
Viewed by 104
Abstract
Seepage through construction joints is a major factor affecting uplift pressure and long-term safety of concrete dams. Pre-existing joints with millimeter-scale openings provide preferential flow paths, where hydraulic pressure can induce joint opening and permeability escalation. In this study, seepage-induced joint-opening behavior is [...] Read more.
Seepage through construction joints is a major factor affecting uplift pressure and long-term safety of concrete dams. Pre-existing joints with millimeter-scale openings provide preferential flow paths, where hydraulic pressure can induce joint opening and permeability escalation. In this study, seepage-induced joint-opening behavior is investigated using a coupled hydromechanical numerical framework with damage-dependent aperture evolution. The impacts of initial crack width, interface cohesiveness, and interface tensile strength on the evolution of crack opening displacement (COD) and hydraulic instability are comprehensively isolated by parametric studies. The results show that, once tensile opening is activated, variations in cohesion have a negligible influence on pressure–COD responses and failure pressure, indicating that cohesion degradation does not control seepage-induced instability in pre-existing cracks. In divergence, interface tensile strength strongly governs damage initiation, the onset of rapid crack opening, and the critical hydraulic pressure at failure. Larger initial crack widths act as geometric accelerators, leading to earlier instability and enhanced permeability evolution under increasing seepage pressure. A dimensionless, pressure–tensile strength ratio is shown to unify the observed responses, revealing a transition from a geometry-controlled regime to a damage-dominated failure regime. These findings indicate that seepage-induced instability in concrete dams is primarily controlled by tensile resistance of construction joints rather than cohesion degradation, providing guidance for uplift pressure assessment and seepage control design. Full article
Show Figures

Figure 1

30 pages, 9483 KB  
Article
Anisotropic Mechanical Parameter Testing of Bedded Shale and Its Influence Mechanisms on Hydraulic Fracture Propagation
by Zhihao Zhao, Yuan Liu, Litao Shang, Jinliang Song, Man Li, Dawei Hu and Fujian Yang
Appl. Sci. 2026, 16(5), 2534; https://doi.org/10.3390/app16052534 - 6 Mar 2026
Viewed by 182
Abstract
The development and utilization of unconventional shale oil and gas have enhanced the resilience of global energy security. Hydraulic fracturing is the primary method for enhancing unconventional shale oil and gas extraction. Previous studies have predominantly employed homogenized geomechanical models to simulate fracture [...] Read more.
The development and utilization of unconventional shale oil and gas have enhanced the resilience of global energy security. Hydraulic fracturing is the primary method for enhancing unconventional shale oil and gas extraction. Previous studies have predominantly employed homogenized geomechanical models to simulate fracture propagation in rock masses. However, bedding planes and inhomogeneous mineral distributions introduce mechanical anisotropy in shale, rendering conventional homogenized models insufficient for accurately representing hydraulic fracturing in real reservoirs. For this, millimeter-scale indentation testing was employed to systematically quantify the depth-dependent distribution of mechanical parameters across varying bedding orientations, using fragmented shale samples obtained from the Qingshankou Formation of the Songliao Basin, northern China. Then, hydraulic fracturing simulations were performed using the mechanical properties derived from the indentation tests. The key findings include: (1) The elastic modulus of the Qingshankou Formation shale reservoir exhibits significant anisotropic properties in both the depth and bedding orientations. The elastic modulus measured parallel to bedding (10.23–65.08 GPa) is 28% higher than that measured perpendicular to bedding (9.60–47.24 GPa) due to shale bedding anisotropy. The mineralogical composition predominantly governs the depth-dependent anisotropy, with an elevated brittle mineral content increasing the elastic modulus and a higher clay content reducing it. (2) The simulation results reveal that the depth-dependent anisotropy of elastic modulus induces asymmetric hydraulic fracture propagation, with the fractures preferentially extending along the orientations exhibiting a higher elastic modulus. This behavior arises due to the enhanced brittleness and reduced deformation resistance of high-modulus rocks, facilitating fracture advancement. The study offers critical insights for hydraulic fracturing design and operational implementation in bedded shale reservoirs. Full article
Show Figures

Figure 1

18 pages, 4639 KB  
Article
Effects of Residual Stress on Springback in Creep Age Forming of 2219 Aluminum Alloy Double-Curvature Thin-Walled Parts
by Jiwang Yu, Lihua Zhan and Youliang Yang
Metals 2026, 16(3), 269; https://doi.org/10.3390/met16030269 - 28 Feb 2026
Viewed by 144
Abstract
Residual stresses are inevitably introduced during plate manufacturing and pre-processing (e.g., quenching and pre-stretching). However, springback prediction in creep age forming (CAF) is still frequently carried out by assuming an initially stress-free blank, which may lead to biased deformation–stress histories and tool compensation [...] Read more.
Residual stresses are inevitably introduced during plate manufacturing and pre-processing (e.g., quenching and pre-stretching). However, springback prediction in creep age forming (CAF) is still frequently carried out by assuming an initially stress-free blank, which may lead to biased deformation–stress histories and tool compensation errors, hindering high-accuracy forming. This study aimed to close this practical gap by quantifying how inherited residual stresses affected the CAF springback of AA2219 double-curvature thin-walled parts. In this study, a multi-step finite element (FE) process chain covering quenching, pre-stretching, and creep age forming (CAF) was developed to investigate the evolution of the initial residual stress field and its influence on CAF springback. Surface residual stresses after quenching and after pre-stretching were measured by X-ray diffraction (XRD) to validate the FE models. The results show that, after quenching, the through-thickness residual stress exhibits a characteristic ‘compressive at the surfaces and tensile in the core’ distribution, and pre-stretching markedly reduces the residual stress level. During CAF, although the initial residual stress difference is largely equilibrated during loading, it affects springback primarily through differences in accumulated creep deformation. Incorporating the initial residual stress field reduces the springback error bandwidth from 9.59 mm to 3.51 mm (a 63.4% reduction) under the original die configuration. Additional simulations under a modified die curvature (geometric deviation ≈ 6 mm) demonstrate that the springback reduction remains at the millimeter scale, indicating that the proposed FE framework maintains a consistent predictive improvement across different curvature conditions. This work provides a theoretical basis and practical guidance for high-precision creep age forming. Full article
Show Figures

Figure 1

17 pages, 6389 KB  
Article
Selective Corneal Tissue Ablation via Amide-Resonant Mid-Infrared Femtosecond Pulses Delivered by an Anti-Resonant Hollow-Core Fiber
by Junbo Zhao, Ang Deng, Jinmiao Guo, Xuemei Yang, Wei Li, Xing Huang, Wenyong Luo and Houkun Liang
Photonics 2026, 13(3), 219; https://doi.org/10.3390/photonics13030219 - 26 Feb 2026
Viewed by 218
Abstract
Mid-infrared (MIR) femtosecond lasers, resonant with the absorption bands of amide-related molecular groups in the range of 6.1 to 6.5 μm, have been demonstrated to be effective for tissue ablation. However, the flexible and stable delivery of such pulses to micrometer-scale tissue regions [...] Read more.
Mid-infrared (MIR) femtosecond lasers, resonant with the absorption bands of amide-related molecular groups in the range of 6.1 to 6.5 μm, have been demonstrated to be effective for tissue ablation. However, the flexible and stable delivery of such pulses to micrometer-scale tissue regions for controlled ablation remains challenging. Here, we utilize a silica-based anti-resonant hollow-core fiber (AR-HCF) to deliver high-power MIR femtosecond pulses with high temporal and spectral fidelity, featuring pulse durations of approximately 340 fs and peak power densities exceeding 1 GW/cm2, for selective tissue ablation. Benefiting from the small numerical aperture of the AR-HCF, a relatively stable and consistent beam spot size can be maintained over a millimeter-scale propagation distance. Precise control of the ablation depth can be achieved by appropriately selecting the scanning parameters, with penetration depths reaching the sub-millimeter scale. Furthermore, for the first time, we systematically compare the tissue ablation performance of MIR femtosecond lasers at resonant wavelengths (6.4 and 6.1 μm) and a non-resonant wavelength (5.5 μm) under identical scanning conditions. An ablation depth ratio of more than 8:1 is observed, demonstrating the high efficiency and selectivity of the resonance-based ablation mechanism. These results establish flexible delivery of high-power MIR femtosecond pulses in tissue-resonant bands via silica-based AR-HCF as a powerful platform for selective, precise, and efficient tissue ablation, providing a promising approach for interventional and minimally invasive surgery. Full article
Show Figures

Figure 1

14 pages, 405 KB  
Article
Choice of Quantum Vacuum for Inflation Observables
by Melo Wood-Saanaoui, Rudnei O. Ramos and Arjun Berera
Symmetry 2026, 18(3), 399; https://doi.org/10.3390/sym18030399 - 25 Feb 2026
Viewed by 194
Abstract
We investigate the modifications to inflationary observables that arise when adopting an α-vacuum instead of the standard Bunch–Davies vacuum for quantum fluctuations during inflation. Within the Starobinsky inflationary model, we compute and compare the scalar spectral index, its running, and the running [...] Read more.
We investigate the modifications to inflationary observables that arise when adopting an α-vacuum instead of the standard Bunch–Davies vacuum for quantum fluctuations during inflation. Within the Starobinsky inflationary model, we compute and compare the scalar spectral index, its running, and the running of the running arising from different choices of the initial vacuum state. We further examine the energy scales associated with α-vacua and argue that, for any number of extra spatial dimensions, the relevant scale can be truncated at the Hubble scale, ∼O(1013)GeV, without conflict with current Cavendish-type experimental bounds on sub-millimeter gravity (∼250μm). Our analysis demonstrates that the α-vacuum is subject to stringent constraints as a viable de Sitter-invariant alternative to the Euclidean (Bunch–Davies) vacuum, with the corrections that it induces in the inflationary observables being strongly limited by the latest Planck data. Full article
(This article belongs to the Special Issue Symmetry and Cosmology)
Show Figures

Figure 1

25 pages, 3917 KB  
Article
Dynamic Noise Adaptation in the Motion Model of Monte Carlo Localization for Consistent Localization
by Charney Park and Jiyoun Moon
Sensors 2026, 26(5), 1415; https://doi.org/10.3390/s26051415 - 24 Feb 2026
Viewed by 272
Abstract
Precise position estimation is essential for mobile robots to operate autonomously. In industrial environments that require precision tasks such as docking—including structured indoor facilities such as hospitals, factories, and warehouses—highly accurate localization is often necessary, with accuracy demands ranging from the centimeter to [...] Read more.
Precise position estimation is essential for mobile robots to operate autonomously. In industrial environments that require precision tasks such as docking—including structured indoor facilities such as hospitals, factories, and warehouses—highly accurate localization is often necessary, with accuracy demands ranging from the centimeter to millimeter level depending on the application. Various registration-based localization algorithms have been investigated in response to this requirement. However, fundamental limitations exist, such as a high dependency on initial position estimates, increased computational load, and difficulties in ensuring real-time performance in large-scale environments. The proposed method introduces a dynamic noise adaptation (DNA) technique applicable to the Monte Carlo localization (MCL) algorithm, a particle filter-based localization method, to overcome these limitations. The proposed algorithm improves real-time localization accuracy and estimation consistency by dynamically optimizing the motion noise of MCL using the non-penetration rate, which can serve as a reliability metric in light detection and ranging (LiDAR)-based localization. The proposed algorithm was evaluated in comparison with the expansion Monte Carlo localization 2 (EMCL2) algorithm in both simulation and real-world environments. In the simulated environment, the proposed method achieved lower localization error with respect to the ground truth compared to EMCL2 and the improved adaptive Monte Carlo localization (AMCL) method incorporating a virtual motion model. In real-world experiments, localization performance was evaluated through comparison with a reference trajectory, and the proposed algorithm consistently demonstrated reduced localization error. Full article
(This article belongs to the Special Issue Intelligent Control and Robotic Technologies in Path Planning)
Show Figures

Figure 1

20 pages, 3857 KB  
Article
Collective Magnetic Mesoporous Silica Nanorobots for Targeted Oral Capsaicin Delivery in Colitis Intervention
by Hongyue Zhang, Yuzhu Di, Lubo Jin, Shuai Yang, Zesheng Li and Bo Qu
Micromachines 2026, 17(2), 272; https://doi.org/10.3390/mi17020272 - 22 Feb 2026
Viewed by 278
Abstract
Magnetic nanoparticles, with their excellent biocompatibility and biodegradability, serve as ideal materials for constructing targeted drug delivery systems. Iron oxide (Fe3O4) nanoparticles, controllably prepared via methods such as solvothermal synthesis, can be combined with mesoporous silica to construct magnetically [...] Read more.
Magnetic nanoparticles, with their excellent biocompatibility and biodegradability, serve as ideal materials for constructing targeted drug delivery systems. Iron oxide (Fe3O4) nanoparticles, controllably prepared via methods such as solvothermal synthesis, can be combined with mesoporous silica to construct magnetically steerable nanorobots. Such robots enable efficient drug loading and precise delivery. To address challenges in the treatment of Inflammatory Bowel Disease (IBD), including the significant side effects of systemic drugs and the low oral bioavailability and poor colonic targeting of novel food-derived drugs (e.g., capsaicin with anti-inflammatory activity), this study designed capsaicin-loaded iron oxide-mesoporous silica composite nanorobots (Cap-M@mSbots). Driven by a rotating gradient magnetic field of up to 80 mT, Cap-M@mSbots achieve large-scale emergent collective locomotion, with a maximum collective locomotion velocity reaching 180.7 μm/s, and are capable of long-distance movement overcoming millimeter-scale obstacles. This system can be actively propelled to colonic lesion sites under magnetic guidance, achieving targeted drug enrichment and sustained release, thereby offering a novel strategy for the targeted therapy of IBD. Full article
(This article belongs to the Special Issue Recent Study and Progress in Micro/Nanorobots)
Show Figures

Figure 1

14 pages, 3564 KB  
Article
Millimeter-Scale Magnetic Positioning Using a Single AMR Sensor and BP Neural Network
by Guanjun Zhang, Zihe Zhao, Peiwen Luo, Wanli Zhang and Wenxu Zhang
Sensors 2026, 26(4), 1339; https://doi.org/10.3390/s26041339 - 19 Feb 2026
Viewed by 273
Abstract
Unlike conventional positioning systems that rely on multiple sensors, the positioning system proposed in this study uses a single anisotropic magnetoresistive (AMR) sensor to measure the magnetic field of a target permanent magnet. This approach significantly reduces the system hardware cost and complexity, [...] Read more.
Unlike conventional positioning systems that rely on multiple sensors, the positioning system proposed in this study uses a single anisotropic magnetoresistive (AMR) sensor to measure the magnetic field of a target permanent magnet. This approach significantly reduces the system hardware cost and complexity, facilitating the miniaturization of positioning systems. Leveraging a BP neural network model, which is shown to be fast and accurate, the positioning system obtains the real-time magnetic field of the target magnet using a single sensor, subsequently converting three-axis magnetic field data into coordinate information to achieve real-time tracking and localization. The results show that the root mean square errors (RMSEs) for the X and Z axes in the simulation are 0.27 mm and 0.26 mm, respectively, while the RMSEs for the X, Y, and Z axes in the actual test are 0.83 mm, 1.15 mm, and 0.85 mm, respectively. It is also observed that the positioning error correlates with variations in the magnetic field with respect to position, which originate from the strong distance-dependent nonlinearity of the magnetic field. This method not only reduces hardware costs but also maintains accuracy. It is particularly well-suited to applications requiring high-precision positioning and tracking, achieving millimeter-level accuracy within a volume of 50 × 40 × 40 mm3. It has potential applications in aerospace intelligent connectors, medical devices and automation systems, where space and signal lines are limited. Full article
(This article belongs to the Section Navigation and Positioning)
Show Figures

Figure 1

32 pages, 2176 KB  
Article
Innovative Design of a Vertical Retractable Multipurpose Support System
by Elkin I. Gutierrez-Velasquez, Hector Parra-Peñuela and Jairo Cortes-Lizarazo
Designs 2026, 10(1), 22; https://doi.org/10.3390/designs10010022 - 18 Feb 2026
Viewed by 225
Abstract
The Support System with Vertical Retractable Mechanism (SSVRS) is an advancement in telescopic technology that replaces continuous threaded or fluid-dependent interfaces with an internal stepped mechanism based on geometric mechanical interference. This coaxial design uses an integrated pin that engages with discrete grooves, [...] Read more.
The Support System with Vertical Retractable Mechanism (SSVRS) is an advancement in telescopic technology that replaces continuous threaded or fluid-dependent interfaces with an internal stepped mechanism based on geometric mechanical interference. This coaxial design uses an integrated pin that engages with discrete grooves, enabling rapid height adjustments and positioning speeds that are significantly faster than those of traditional mechanisms. Unlike friction-based systems that are prone to slipping under dynamic loads, the SSVRS provides millimeter-level precision and exceptional stability, even in vibrational environments. The SSVRS’s versatility stems from its parametric modular design, which scales from lightweight domestic fixtures to heavy-duty industrial machinery by customizing material selection—ranging from high-strength steel to glass fiber-reinforced nylon—and slot configuration. Specifically, vertical slot arrangements facilitate rapid movement, and spiral geometries allow for high-precision alignment. Furthermore, the SSVRS optimizes long-term operational efficiency and sustainability through low maintenance requirements, minimal moving parts, and the use of recyclable materials. By combining high-speed positioning, robust structural integrity, and adaptive modularity, the SSVRS provides a high-performance, concrete alternative to current mainstream linear modules and traditional support structures. Full article
Show Figures

Figure 1

33 pages, 7717 KB  
Article
RIME-Net: A Physics-Guided Unpaired Learning Framework for Automotive Radar Interference Mitigation and Weak Target Enhancement
by Jiajia Shi, Haojie Zhou, Liu Chu, Fengling Tan, Guocheng Sun and Yu Tao
Sensors 2026, 26(4), 1277; https://doi.org/10.3390/s26041277 - 15 Feb 2026
Viewed by 350
Abstract
With the widespread deployment of automotive millimeter-wave radars, mutual interference and broadband noise severely degrade the signal-to-noise ratio (SNR) of range–Doppler (RD) maps, leading to the loss of weak targets. Existing deep learning methods rely on difficult-to-obtain paired training samples and often cause [...] Read more.
With the widespread deployment of automotive millimeter-wave radars, mutual interference and broadband noise severely degrade the signal-to-noise ratio (SNR) of range–Doppler (RD) maps, leading to the loss of weak targets. Existing deep learning methods rely on difficult-to-obtain paired training samples and often cause excessive target smoothing due to a lack of physical constraints. To address these challenges, this paper proposes RIME-Net, a physics-guided unpaired learning framework designed to jointly achieve radar interference mitigation and weak target enhancement. First, based on a cycle-consistent adversarial architecture, we designed the Interference Mitigation Network (IM-Net). IM-Net integrates spectral consistency loss and identity mapping constraints, learning a robust mapping from the interference domain to the clean domain without paired supervision, effectively suppressing low-rank interference and preserving signal integrity. Second, to recover target details attenuated during denoising, we propose the saliency-aware Target Enhancement Network (TE-Net). TE-Net combines multi-scale residual blocks and channel-spatial attention mechanisms, selectively enhancing weak target features based on saliency priors. Extensive experiments on diverse datasets show that RIME-Net significantly outperforms existing supervised and model-driven methods in terms of SINR, recall, and structural similarity, providing a robust solution for reliable radar perception in complex electromagnetic environments. Full article
(This article belongs to the Special Issue Recent Advances of FMCW-Based Radar Sensors)
Show Figures

Figure 1

22 pages, 3790 KB  
Article
Smartphone-Based Automated Photogrammetry for Reconstruction of Residual Limb Models in Prosthetic Design
by Lander De Waele, Jolien Gooijers and Dante Mantini
Sensors 2026, 26(4), 1251; https://doi.org/10.3390/s26041251 - 14 Feb 2026
Viewed by 249
Abstract
Accurate modeling of residual limb geometry is essential for prosthetic socket design, yet current scanning techniques can be costly, operator-dependent, or impractical for repeated clinical use. This study presents a fully automated, low-cost photogrammetry workflow capable of generating metrically accurate 3D models of [...] Read more.
Accurate modeling of residual limb geometry is essential for prosthetic socket design, yet current scanning techniques can be costly, operator-dependent, or impractical for repeated clinical use. This study presents a fully automated, low-cost photogrammetry workflow capable of generating metrically accurate 3D models of lower-limb residual limbs using video and still images acquired with a standard smartphone or a full-frame digital camera. The pipeline integrates adaptive frame selection, deep learning-based background removal, robust metric scaling via ArUco markers, and open-source Structure-from-Motion and Multi-View Stereo reconstruction, requiring no manual post-processing or proprietary software. Accuracy and repeatability were evaluated using four 3D-printed limb phantoms and high-resolution CT-derived meshes as ground truth. Smartphone video and full-frame camera acquisitions achieved sub-millimeter surface accuracy, volume and perimeter errors within ±1%, and high inter-session repeatability, all within clinically accepted thresholds for prosthetic socket fabrication. In contrast, smartphone still-photo reconstructions showed larger deviations and reduced stability. Acquisition time was under five minutes, and complete reconstruction required approximately 1 h and 30 min. These results demonstrate that smartphone video-based photogrammetry provides a practical, scalable, and clinically viable alternative for residual limb modeling, particularly in resource-constrained or remote care settings. Full article
(This article belongs to the Special Issue Sensors for Object Detection, Pose Estimation, and 3D Reconstruction)
Show Figures

Figure 1

17 pages, 2317 KB  
Article
Investigation into the Dynamic Coupling Mechanisms of Labile Phosphorus, Iron, and Sulfur in Lakeside Wetland Sediments
by Fuyi Zhou, Daiwei Liu and Chengxun Deng
Water 2026, 18(4), 486; https://doi.org/10.3390/w18040486 - 13 Feb 2026
Viewed by 335
Abstract
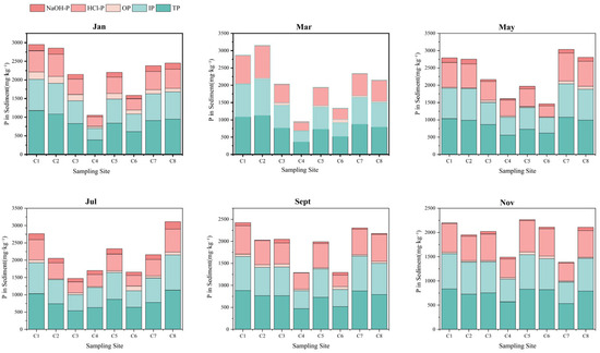
The release of phosphorus (P) from littoral wetland sediments drives eutrophication, with iron (Fe) and sulfur (S) cycles playing key regulatory roles. This study investigated the Tongyang River corridor wetland (Lake Chaohu) in China to elucidate P–Fe–S coupling mechanisms. High-resolution two-dimensional (2D) Diffusive [...] Read more.
The release of phosphorus (P) from littoral wetland sediments drives eutrophication, with iron (Fe) and sulfur (S) cycles playing key regulatory roles. This study investigated the Tongyang River corridor wetland (Lake Chaohu) in China to elucidate P–Fe–S coupling mechanisms. High-resolution two-dimensional (2D) Diffusive Gradients in Thin-Films (DGT), P-fractionation, and microbial sequencing were employed during wet and dry periods. Results indicated significant total phosphorus (TP) spatial heterogeneity and seasonal available phosphorus (AP) variation. A robust spatial co-variance between DGT-Fe and DGT-P (r > 0.95) reinforces the iron-redox paradigm. However, 2D mapping revealed discretized sub-millimeter “hotspots,” demonstrating that iron (oxyhydr)oxide reductive dissolution is governed by micro-scale niches rather than uniform processes. Microbial analysis further identified summer diversity and Chloroflexi enrichment as primary biological drivers of P mobilization. Specifically, hydrological fluctuations dictate the iron-redox cycle, with wet-period microbial activation serving as the engine for internal P release. These findings suggest that regulating sediment redox conditions across hydrological stages is essential for mitigating wetland eutrophication. Full article
(This article belongs to the Section Water Quality and Contamination)
Show Figures

Figure 1

21 pages, 15724 KB  
Article
Performance Evaluation of Wick-Free Vapor Chamber Featuring Hierarchical Laser Engineered Surfaces
by Iztok Golobič, Armin Hadžić, Gregor Bahč, Matevž Zupančič and Matic Može
Appl. Sci. 2026, 16(4), 1795; https://doi.org/10.3390/app16041795 - 11 Feb 2026
Viewed by 263
Abstract
Thin vapor chambers are attractive for compact electronics but become difficult to operate reliably as the vapor space approaches the millimeter scale, especially when classical wick structures are omitted. This work investigates how coupled evaporator and condenser wettability governs the performance of a [...] Read more.
Thin vapor chambers are attractive for compact electronics but become difficult to operate reliably as the vapor space approaches the millimeter scale, especially when classical wick structures are omitted. This work investigates how coupled evaporator and condenser wettability governs the performance of a 1 mm thick wick-free vapor chamber. Six configurations are evaluated by combining three condenser surface states (reference, superhydrophilic, superhydrophobic) with either a reference copper evaporator or a laser-textured superhydrophilic evaporator. Thermal performance is assessed from 10 to 40 W using the evaporator–condenser temperature difference and overall thermal resistance. The results show that the preferred condenser wettability depends on evaporator capability. With the reference evaporator, the lowest thermal resistance at 40 W is achieved with reference and superhydrophobic condensers (1.21 and 1.18 K/W). With the laser-textured evaporator, a superhydrophilic condenser provides the best performance, and the SHPI–SHPI configuration reaches 0.77 K/W at 40 W. These findings provide practical guidance for designing ultrathin wick-free vapor chambers through coordinated interface wettability selection. Full article
Show Figures

Figure 1

22 pages, 13212 KB  
Article
Multi-Layered Porous Helmholtz Resonators for Low-Frequency and Broadband Sound Absorption
by Xuewei Liu, Tianyu Gu, Ling Li and Dan Wang
Materials 2026, 19(3), 600; https://doi.org/10.3390/ma19030600 - 4 Feb 2026
Viewed by 314
Abstract
Unlike classical multi-layered micro-perforated panels (MPPs), which rely on sub-millimeter orifices for sound dissipation, we propose a multi-layered porous Helmholtz resonators absorber. It consists of alternately layered perforated porous material panels and perforated rigid panels with millimeter- to centimeter-scale orifices, primarily relying on [...] Read more.
Unlike classical multi-layered micro-perforated panels (MPPs), which rely on sub-millimeter orifices for sound dissipation, we propose a multi-layered porous Helmholtz resonators absorber. It consists of alternately layered perforated porous material panels and perforated rigid panels with millimeter- to centimeter-scale orifices, primarily relying on porous materials for sound energy dissipation. Theoretically, perforated porous material panels are modeled as homogeneous fluid layers using double porosity theory, and the total surface impedance is derived through bottom-to-top impedance translation. A double-layered prototype was tested to validate the theoretical and numerical models, achieving near-perfect absorption peaks at 262 Hz and 774 Hz, with a subwavelength total thickness of 11 cm and a broadband absorption above an absorption coefficient of 0.7 from 202 Hz to 1076 Hz. Simulations of sound pressure, particle velocity, power dissipation, and sound intensity flow confirm that Helmholtz resonances in each layer enhance sound entry into resistive porous materials, causing absorption peaks. Parameter studies show this absorber maintains high absorption peaks across wide ranges of orifice diameters and panel thicknesses. Finally, an optimized triple-layer porous Helmholtz resonators absorber achieves an ultra-broadband absorption above a coefficient of 0.95 from 280 Hz to 1349 Hz with only 16.5 mm thickness. Compared with conventional MPPs, this design features significantly larger orifices that are easier to fabricate and less susceptible to blockage in harsh environments, offering an alternative solution for low-frequency and broadband sound absorption. Full article
(This article belongs to the Section Mechanics of Materials)
Show Figures

Graphical abstract

Back to TopTop