Investigation into the Dynamic Coupling Mechanisms of Labile Phosphorus, Iron, and Sulfur in Lakeside Wetland Sediments
Abstract
1. Introduction
2. Materials and Methods
2.1. Study Area
2.2. Sample Collection and Preparation
2.3. Experimental Methods
2.3.1. Methods for Sediment and Water Analysis
2.3.2. DGT Deployment and Analysis
2.3.3. Microbial Community Analysis
2.4. Data Analysis and Diffusive Flux Calculation
- is the exposure window area (cm2).
- is the accumulated mass of the target ion on the binding gel (µg).
- is the deployment time (s).
- is the diffusion coefficient (cm2·s−1).
- is the thickness of the diffusion layer (cm).
- is the DGT-measured concentration (mg·L−1).
- is the concentration in the extract (mg·L−1);
- is the volume of extractant (mL);
- is the volume of the binding gel (mL);
- is the elution efficiency.
3. Results
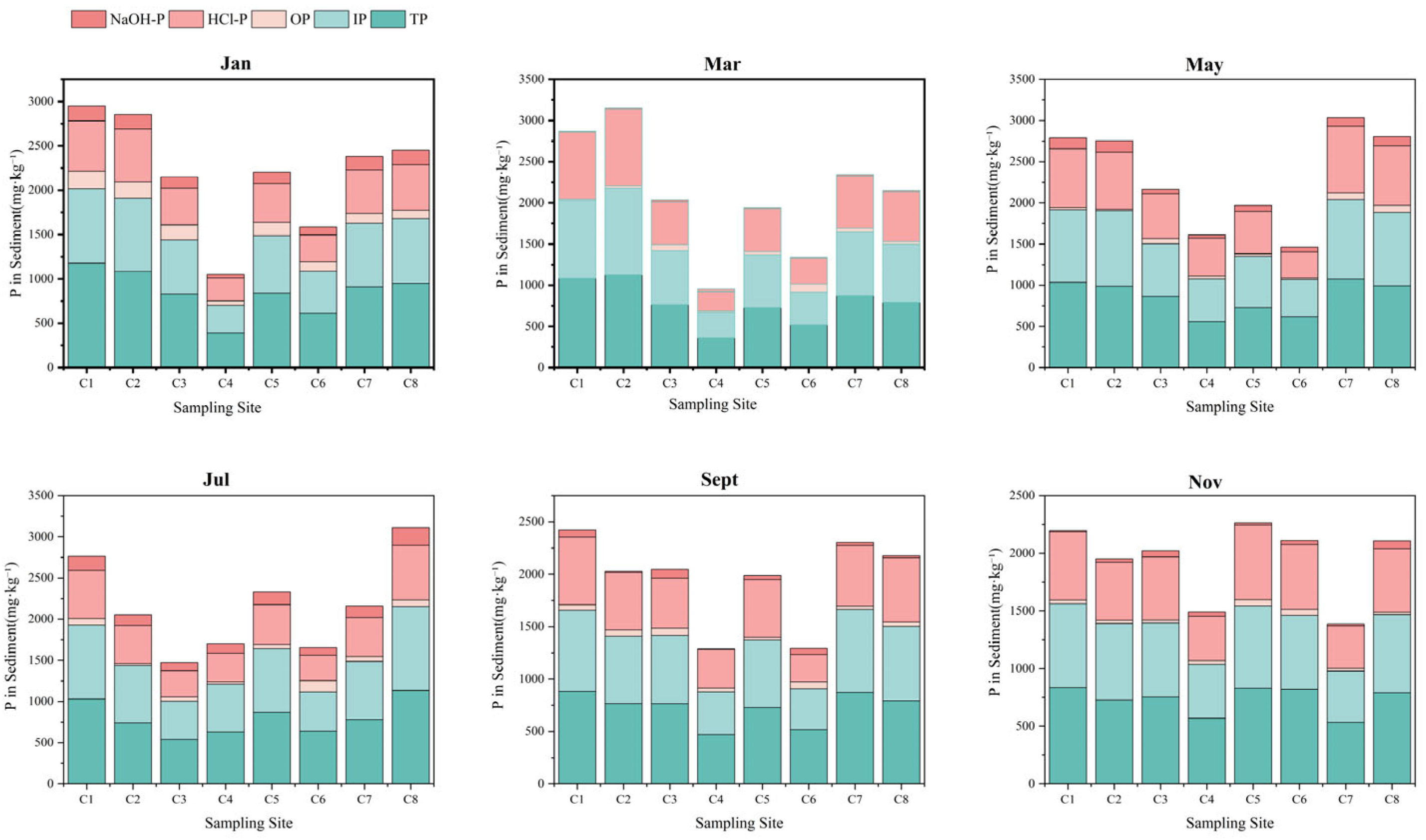
3.1. Spatiotemporal Distribution of Sediment Phosphorus
3.2. Vertical and 2D Distribution of Labile P, Fe, and S
3.3. Diffusive Flux and Fractionation of Phosphorus
3.4. Microbial Community Structure in Sediments
4. Discussion
4.1. Spatiotemporal Heterogeneity Driven by Hydrology and Land Use
4.2. Iron–Sulfur–Phosphorus Coupling and Sediment Phosphorus Release Mechanism
4.3. Environmental Response of Diffusive Flux and Phosphorus Fractions
4.4. Microbial Drivers of the Phosphorus Cycle
5. Conclusions
Author Contributions
Funding
Data Availability Statement
Acknowledgments
Conflicts of Interest
References
- Søndergaard, M.; Jensen, J.P.; Jeppesen, E. Role of Sediment and Internal Loading of Phosphorus in Shallow Lakes. Hydrobiologia 2003, 506, 135–145. [Google Scholar] [CrossRef]
- Baldwin, D.S.; Mitchell, A.M. The Effects of Drying and Re-Flooding on the Sediment and Soil Nutrient Dynamics of Lowland River-Floodplain Systems: A Synthesis. Regul. Rivers Res. Manag. 2000, 16, 457–467. [Google Scholar] [CrossRef]
- Mortimer, C.H. The Exchange of Dissolved Substances Between Mud and Water in Lakes. J. Ecol. 1941, 29, 280. [Google Scholar] [CrossRef]
- Cesbron, F.; Metzger, E.; Launeau, P.; Deflandre, B.; Delgard, M.-L.; Thibault De Chanvalon, A.; Geslin, E.; Anschutz, P.; Jézéquel, D. Simultaneous 2D Imaging of Dissolved Iron and Reactive Phosphorus in Sediment Porewaters by Thin-Film and Hyperspectral Methods. Environ. Sci. Technol. 2014, 48, 2816–2826. [Google Scholar] [CrossRef]
- Stockdale, A.; Davison, W.; Zhang, H. High-Resolution Two-Dimensional Quantitative Analysis of Phosphorus, Vanadium and Arsenic, and Qualitative Analysis of Sulfide, in a Freshwater Sediment. Environ. Chem. 2008, 5, 143–149. [Google Scholar] [CrossRef]
- Kraal, P.; Burton, E.D.; Rose, A.L.; Kocar, B.D.; Lockhart, R.S.; Grice, K.; Bush, R.T.; Tan, E.; Webb, S.M. Sedimentary Iron–Phosphorus Cycling under Contrasting Redox Conditions in a Eutrophic Estuary. Chem. Geol. 2015, 392, 19–31. [Google Scholar] [CrossRef]
- Rozan, T.F.; Taillefert, M.; Trouwborst, R.E.; Glazer, B.T.; Ma, S.; Herszage, J.; Valdes, L.M.; Price, K.S.; Luther Iii, G.W. Iron-sulfur-phosphorus Cycling in the Sediments of a Shallow Coastal Bay: Implications for Sediment Nutrient Release and Benthic Macroalgal Blooms. Limnol. Oceanogr. 2002, 47, 1346–1354. [Google Scholar] [CrossRef]
- Zhang, L.; Xu, Y.J.; Li, S. Source and Quality of Dissolved Organic Matter in Streams Are Reflective to Land Use/Land Cover, Climate Seasonality and pCO2. Environ. Res. 2023, 216, 114608. [Google Scholar] [CrossRef]
- Ding, S.; Wang, Y.; Wang, D.; Li, Y.Y.; Gong, M.; Zhang, C. In Situ, High-Resolution Evidence for Iron-Coupled Mobilization of Phosphorus in Sediments. Sci. Rep. 2016, 6, 24341. [Google Scholar] [CrossRef]
- Wang, Y.; Ding, S.; Ren, M.; Li, C.; Xu, S.; Sun, Q.; Xu, L. Enhanced DGT Capability for Measurements of Multiple Types of Analytes Using Synergistic Effects among Different Binding Agents. Sci. Total Environ. 2019, 657, 446–456. [Google Scholar] [CrossRef]
- Pan, F.; Guo, Z.; Cai, Y.; Liu, H.; Wu, J.; Fu, Y.; Wang, B.; Gao, A. Kinetic Exchange of Remobilized Phosphorus Related to Phosphorus-Iron-Sulfur Biogeochemical Coupling in Coastal Sediment. Water Resour. Res. 2019, 55, 10494–10517. [Google Scholar] [CrossRef]
- Zhang, H.; Davison, W. Performance Characteristics of Diffusion Gradients in Thin Films for the in Situ Measurement of Trace Metals in Aqueous Solution. Anal. Chem. 1995, 67, 3391–3400. [Google Scholar] [CrossRef]
- Che, F.; Chen, J.; Wang, S.; Zheng, S.; Jiang, X. Spatio-temporal distribution, influencing factors and control countermeasures of phosphorus in water and sediments of Nanhu Lake system. J. Environ. Eng. Technol. 2020, 10, 928–935. [Google Scholar]
- Wang, S.; Zhang, B.; Jiang, X.; Wang, W.; Zhao, L.; Chen, J. Study on chemical forms of phosphorus in sediments by sequential extraction method. Res. Environ. Sci. 2015, 28, 1382–1388. [Google Scholar] [CrossRef]
- Ding, S.; Chen, M.; Gong, M.; Fan, X.; Qin, B.; Xu, H.; Gao, S.; Jin, Z.; Tsang, D.C.W.; Zhang, C. Internal Phosphorus Loading from Sediments Causes Seasonal Nitrogen Limitation for Harmful Algal Blooms. Sci. Total Environ. 2018, 625, 872–884. [Google Scholar] [CrossRef] [PubMed]
- Carpenter, S.R.; Caraco, N.F.; Correll, D.L.; Howarth, R.W.; Sharpley, A.N.; Smith, V.H. Nonpoint Pollution of Surface Waters with Phosphorus and Nitrogen. Ecol. Appl. 1998, 8, 559–568. [Google Scholar] [CrossRef]
- Yang, Y.; Liu, Q.; Hu, Z.; Zhang, Y.; Gao, Y. Distribution and pollution assessment of carbon, nitrogen and phosphorus in sediments of Lake Taihu Basin. Acta Sci. Circumstantiae 2014, 34, 3057–3064. (In Chinese) [Google Scholar] [CrossRef]
- Roden, E.E.; Edmonds, J.W. Phosphate Mobilization in Iron-Rich Anaerobic Sediments: Microbial Fe (III) Oxide Reduction versus Iron-Sulfide Formation. Arch. Hydrobiol. 1997, 139, 347–378. [Google Scholar] [CrossRef]
- Aldous, A.R.; Craft, C.B.; Stevens, C.J.; Barry, M.J.; Bach, L.B. Soil Phosphorus Release from a Restoration Wetland, Upper Klamath Lake, Oregon. Wetlands 2007, 27, 1025–1035. [Google Scholar] [CrossRef]
- Barko, J.W.; James, W.F. Effects of Submerged Aquatic Macrophytes on Nutrient Dynamics, Sedimentation, and Resuspension. In The Structuring Role of Submerged Macrophytes in Lakes; Jeppesen, E., Søndergaard, M., Søndergaard, M., Christoffersen, K., Eds.; Ecological Studies; Springer: New York, NY, USA, 1998; Volume 131, pp. 197–214. ISBN 978-1-4612-6871-0. [Google Scholar]
- Hupfer, M.; Lewandowski, J. Oxygen Controls the Phosphorus Release from Lake Sediments—A Long-Lasting Paradigm in Limnology. Int. Rev. Hydrobiol. 2008, 93, 415–432. [Google Scholar] [CrossRef]
- Gu, X.; Chen, K.; Zhang, L.; Fan, C. Preliminary Evidence of Nutrients Release from Sediment in Response to Oxygen across Benthic Oxidation Layer by a Long-Term Field Trial. Environ. Pollut. 2016, 219, 656–662. [Google Scholar] [CrossRef]
- Gao, Y.; Liang, T.; Tian, S.; Wang, L.; Holm, P.E.; Bruun Hansen, H.C. High-Resolution Imaging of Labile Phosphorus and Its Relationship with Iron Redox State in Lake Sediments. Environ. Pollut. 2016, 219, 466–474. [Google Scholar] [CrossRef]
- Muyzer, G.; Stams, A.J.M. The Ecology and Biotechnology of Sulphate-Reducing Bacteria. Nat. Rev. Microbiol. 2008, 6, 441–454. [Google Scholar] [CrossRef]
- Pan, F.; Guo, Z.; Cai, Y.; Liu, H.; Wang, X. Spatio-temporal distribution of phosphorus, iron and sulfur in intertidal sediments of Xiamen and the potential risk of phosphorus release. Acta Oceanol. Sin. 2021, 43, 14–26. (In Chinese) [Google Scholar] [CrossRef]
- Chen, Q.; Chen, J.; Wang, J.; Guo, J.; Jin, Z.; Yu, P.; Ma, Z. In Situ, High-Resolution Evidence of Phosphorus Release from Sediments Controlled by the Reductive Dissolution of Iron-Bound Phosphorus in a Deep Reservoir, Southwestern China. Sci. Total Environ. 2019, 666, 39–45. [Google Scholar] [CrossRef]
- Wang, F.; Wang, J.; Cao, T.; Ji, X.; Yan, J.; Ding, S.; Chen, N. Seasonal Hypoxia Enhances Sediment Iron-Bound Phosphorus Release in a Subtropical River Reservoir. Sci. Total Environ. 2024, 936, 173261. [Google Scholar] [CrossRef]
- Ni, R.; Hu, M.; Zhong, Y.; Yan, R.; Wu, H.; Wang, J.; Liu, C.; Liao, H. Response of soil phosphorus forms to increased salinity and its influencing factors in Minjiang Estuary wetland. Acta Ecol. Sin. 2024, 44, 7140–7149. [Google Scholar]
- Wang, J.; Liu, H.; Zhang, Q.; Li, L.; Qiao, Z.; Li, J. Occurrence forms and distribution characteristics of phosphorus in sediments of Huixian Wetland, Guilin. J. Guilin Univ. Technol. 2020, 40, 201–208. [Google Scholar]
- Jiang, T.; Ma, T.; Peng, Z.; Zheng, B.; Jiang, Q. Comparative study on occurrence characteristics and adsorption capacity of sediment phosphorus in reclaimed area and lake area: A case study of Chenhu Wetland in Jianghan Plain. J. Lake Sci. 2025, 37, 446–456. [Google Scholar]
- Xi, Y.; Qu, W.; Fu, D.; Wang, S.; Han, Y.; Hu, L.; Li, Y.; Wang, P. Study on the effect of in-situ capping on phosphorus release and interfacial characteristics in lake sediments. China Environ. Sci. 2025, 45, 6241–6249. [Google Scholar]
- Zhou, Y.; Wang, H.; Zhang, Y.; Cai, Y.; Yin, H.; Yang, Z.; Li, Q.; Yuan, H. Availability and Diffusion Kinetic Process of Phosphorus in the Water–Sediment Interface Assessed by the High-Resolution DGT Technique. J. Soils Sediments 2021, 21, 3274–3288. [Google Scholar] [CrossRef]
- Liu, Y.; Huang, S.; Zhang, L.; Peng, X.; Zhang, X.; Ge, F.; Liu, B.; Wu, Z. Spatial distribution characteristics and release risk of sediment phosphorus in Honghu International Important Wetland. Environ. Sci. 2021, 42, 3198–3205. (In Chinese) [Google Scholar] [CrossRef]
- Chen, X.; Wang, Y.; Li, M.; He, X.; Li, Q.; Jin, J.; Wu, T.; Shao, Y.; Wu, J.; Li, G.; et al. Seasonal Changes-Facilitated Release of Phosphorus and Tungsten from the Lake Taihu Sediments through Reductive Dissolution of Fe/Mn (Hydr)Oxides and Competitive Adsorption with Dissolved Organic Matter. Environ. Pollut. 2025, 383, 126746. [Google Scholar] [CrossRef]
- Liu, Y.-P.; Song, D.; Jiao, L.-X.; Zheng, J.-L.; Zhang, M.; Yao, B.; Yan, J.-Y.; Wu, J.-X.; Wen, X. Sedimentary Differentiation Characteristics of Organic Matter and Phosphorus in Eutrophic Lake Special Zones. Water 2025, 17, 1899. [Google Scholar] [CrossRef]
- Lv, X.; Ma, B.; Yu, J.; Chang, S.X.; Xu, J.; Li, Y.; Wang, G.; Han, G.; Bo, G.; Chu, X. Bacterial Community Structure and Function Shift along a Successional Series of Tidal Flats in the Yellow River Delta. Sci. Rep. 2016, 6, 36550. [Google Scholar] [CrossRef]
- Yin, X.; Li, S.; Shang, T.; Jiang, X.; Zhen, Y. Characteristics of bacterial community structure in intertidal sediments of the Yellow River Estuary. Acta Ecol. Sin. 2021, 41, 8496–8506. [Google Scholar] [CrossRef]
- Wu, J.; Hong, Q.; Zhang, J.; Xie, C.; Liu, Y.; Li, D.; Liu, H.; Fan, Z. Response Analysis of Microbial Community Structures and Functions Under Water and Sediment Changes in the Middle and Lower Yellow River. Diversity 2025, 17, 41. [Google Scholar] [CrossRef]
- Imhoff, J.F.; Thiel, V. Phylogeny and Taxonomy of Chlorobiaceae. Photosynth. Res. 2010, 104, 123–136. [Google Scholar] [CrossRef] [PubMed]












| Sampling Sites | Wet Period TP (g·kg−1) | Wet Period AP (mg·kg−1) | Dry Period TP (g·kg−1) | Dry Period AP (mg·kg−1) |
|---|---|---|---|---|
| C1 | 1.03 | 13.472 | 1.17658 | 20.732 |
| C2 | 0.74 | 16.581 | 1.08 | 22.438 |
| C3 | 0.54 | 15.332 | 0.83 | 17.324 |
| C4 | 0.63 | 17.438 | 0.39 | 11.334 |
| C5 | 0.87 | 2.13 | 0.84 | 5.278 |
| C6 | 0.64 | 3.57 | 0.61347 | 1.975 |
| C7 | 0.78 | 14.256 | 0.91 | 0.438 |
| C8 | 1.135 | 11.327 | 0.95 | 0.552 |
Disclaimer/Publisher’s Note: The statements, opinions and data contained in all publications are solely those of the individual author(s) and contributor(s) and not of MDPI and/or the editor(s). MDPI and/or the editor(s) disclaim responsibility for any injury to people or property resulting from any ideas, methods, instructions or products referred to in the content. |
© 2026 by the authors. Licensee MDPI, Basel, Switzerland. This article is an open access article distributed under the terms and conditions of the Creative Commons Attribution (CC BY) license.
Share and Cite
Zhou, F.; Liu, D.; Deng, C. Investigation into the Dynamic Coupling Mechanisms of Labile Phosphorus, Iron, and Sulfur in Lakeside Wetland Sediments. Water 2026, 18, 486. https://doi.org/10.3390/w18040486
Zhou F, Liu D, Deng C. Investigation into the Dynamic Coupling Mechanisms of Labile Phosphorus, Iron, and Sulfur in Lakeside Wetland Sediments. Water. 2026; 18(4):486. https://doi.org/10.3390/w18040486
Chicago/Turabian StyleZhou, Fuyi, Daiwei Liu, and Chengxun Deng. 2026. "Investigation into the Dynamic Coupling Mechanisms of Labile Phosphorus, Iron, and Sulfur in Lakeside Wetland Sediments" Water 18, no. 4: 486. https://doi.org/10.3390/w18040486
APA StyleZhou, F., Liu, D., & Deng, C. (2026). Investigation into the Dynamic Coupling Mechanisms of Labile Phosphorus, Iron, and Sulfur in Lakeside Wetland Sediments. Water, 18(4), 486. https://doi.org/10.3390/w18040486

