Sign in to use this feature.

Years

Between: -

Subjects

remove_circle_outline
remove_circle_outline
remove_circle_outline
remove_circle_outline
remove_circle_outline
remove_circle_outline
remove_circle_outline
remove_circle_outline
remove_circle_outline

Journals

remove_circle_outline
remove_circle_outline
remove_circle_outline
remove_circle_outline
remove_circle_outline
remove_circle_outline
remove_circle_outline
remove_circle_outline
remove_circle_outline
remove_circle_outline
remove_circle_outline
remove_circle_outline
remove_circle_outline
remove_circle_outline
remove_circle_outline
remove_circle_outline
remove_circle_outline
remove_circle_outline
remove_circle_outline

Article Types

Countries / Regions

remove_circle_outline
remove_circle_outline
remove_circle_outline
remove_circle_outline
remove_circle_outline
remove_circle_outline

Search Results (2,970)

Search Parameters:
Keywords = migration assays

Order results
Result details
Results per page
Select all
Export citation of selected articles as:
19 pages, 1705 KB  
Article
In Vitro Perspective on Hypofractionated Radiotherapy in Breast Cancer
by Peter du Plessis, Pauline Busisiwe Nkosi, Shankari Nair and John Akudugu
Radiation 2026, 6(1), 2; https://doi.org/10.3390/radiation6010002 - 21 Jan 2026
Abstract
Breast cancer remains a major global health challenge, with treatment access further constrained during the COVID-19 pandemic, particularly in resource-limited settings. This study evaluates the in vitro effects of hypofractionated versus conventionally fractionated radiotherapy on three breast cell lines: MCF-7 (oestrogen receptor-positive, ER [...] Read more.
Breast cancer remains a major global health challenge, with treatment access further constrained during the COVID-19 pandemic, particularly in resource-limited settings. This study evaluates the in vitro effects of hypofractionated versus conventionally fractionated radiotherapy on three breast cell lines: MCF-7 (oestrogen receptor-positive, ER+/PR+), MDA-MB-231 (triple-negative: ER/PR/HER2), and MCF-10A (non-tumorigenic mammary epithelial). Cells were exposed to cobalt-60 γ-rays, and radiobiological endpoints assessed included clonogenic survival, α/β ratios, adaptive responses, migration, invasion, and cytotoxicity through lactate dehydrogenase assays. The α/β ratios ranged from 2.5 to 5.4 Gy across breast cancer subtypes. Hypofractionation reduced survival in hormone receptor-positive cells, whereas triple-negative cells exhibited increased survival. Adaptive radiation responses enhanced viability across all cell lines, while non-cancerous MCF-10A cells demonstrated reduced migration following treatment. These findings suggest that hypofractionated radiotherapy may be beneficial in hormone receptor-positive breast cancer, while triple-negative disease may show a trend toward different responses, although this was not statistically significant (MDA-MB-231, p = 0.290). The results underscore the importance of tailoring fractionation strategies to breast cancer subtype and highlight the translational potential of preclinical radiobiology in guiding personalised radiation oncology approaches. Full article
Show Figures

Figure 1

19 pages, 2842 KB  
Article
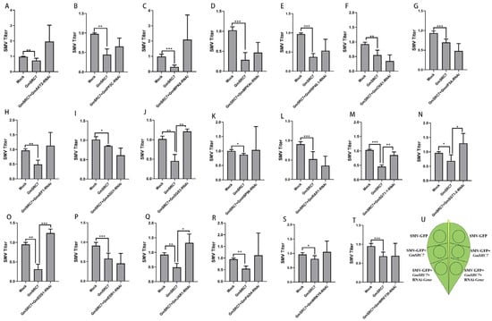
Signaling Pathway Analysis and Downstream Genes Associated with Disease Resistance Mediated by GmSRC7
by Aoga Li, Chongyang Yao, Ting Yan, Xiaomin Hao, Dongying Geng, Qi Zhang, Hui Li, Wenquan Bao and Yue Bai
Plants 2026, 15(2), 318; https://doi.org/10.3390/plants15020318 - 21 Jan 2026
Abstract
GmSRC7 is a broad-spectrum antiviral R gene from soybean, but its downstream and functionally related genes remain unclear. Virus-induced gene silencing (VIGS) assays in Nicotiana benthamiana (Nb) showed that suppression of several gene families—WRKY transcription factors, chaperones, ethylene pathway components, MAPK [...] Read more.
GmSRC7 is a broad-spectrum antiviral R gene from soybean, but its downstream and functionally related genes remain unclear. Virus-induced gene silencing (VIGS) assays in Nicotiana benthamiana (Nb) showed that suppression of several gene families—WRKY transcription factors, chaperones, ethylene pathway components, MAPK cascade elements, salicylic acid (SA) signaling genes, calcium-dependent protein kinases, nuclear migration proteins, RNA replication-related genes, and immune regulators—consistently weakened GmSRC7-mediated resistance to Soybean Mosaic Virus (SMV) and Tobacco Mosaic Virus (TMV). Targeted silencing of four regulatory genes—NbEDS1, NbARF1, NbSGT1, and NbCOI1—markedly enhanced GmSRC7-mediated resistance to SMV and TMV in our experiments. Silencing the serine/threonine kinase gene NbPBS1 increased GmSRC7-conferred resistance to SMV but did not significantly alter its resistance to TMV. Transient expression assays showed that NbARF1, NbSGT1, and NbCOI1 antagonize GmSRC7-mediated defense against SMV and TMV, whereas NbPBS1 specifically suppresses anti-SMV activity without affecting TMV resistance. Transient overexpression of SA-degrading enzymes (AtS3H, AtS5H, and NahG) significantly reduced GmSRC7-conferred resistance to SMV, indicating that SA is essential for this R protein-mediated defense. Genes were also grouped by immune pathways and function: co-expression of chaperone family genes inhibited GmSRC7 activity against SMV and TMV, while co-expression of WRKY family genes enhanced anti-SMV activity of GmSRC7. Finally, transient silencing of soybean genes GmEDS1, GmSGT1-1, GmSGT1-2, GmJAR1, and GmSGS3 compromised GmSRC7-mediated resistance to SMV. Full article
(This article belongs to the Special Issue Advances in Plant Molecular Biology and Gene Function)
Show Figures

Figure 1

17 pages, 3200 KB  
Article
The Self-Assembling Peptide P11-4 Induces the Expression of Mineralization-Related Genes in Odontoblasts Independently of Metabolic Alterations
by Leticia Martins Pereira, Marina Damasceno e Souza de Carvalho Chiari, Diego Mauro Carneiro Pereira, Regina Maria Puppin-Rontani and Fábio Dupart Nascimento
J. Funct. Biomater. 2026, 17(1), 50; https://doi.org/10.3390/jfb17010050 - 18 Jan 2026
Viewed by 100
Abstract
(1) Background: The synthetic eleven-amino acid peptide P11-4, derived from DMP-1, self-assembles into β-sheet tapes, ribbons, fibrils, and fibers that form a 3D matrix enriched with calcium-binding sites. This study investigated whether P11-4 modulates gene and protein expression or [...] Read more.
(1) Background: The synthetic eleven-amino acid peptide P11-4, derived from DMP-1, self-assembles into β-sheet tapes, ribbons, fibrils, and fibers that form a 3D matrix enriched with calcium-binding sites. This study investigated whether P11-4 modulates gene and protein expression or induces adverse metabolic alterations in odontoblast-like cells. (2) Methods: MDPC-23 cells were cultured under standard conditions and stimulated with different concentrations of P11-4, followed by assessments of cell viability using the MTT assay, proliferation and migration, cytoplasmic calcium kinetics, reactive oxygen species (ROS) production, osteogenic differentiation-related gene expression via PCR array, and expression of the pro-inflammatory cytokine interleukin-6 (IL-6) using confocal microscopy and flow cytometry. (3) Results: The MTT assay showed that P11-4 at 6.3, 12.6, and 25.2 µmol/L was non-cytotoxic and did not alter MDPC-23 cell proliferation or migration. Only the 25.2 µmol/L concentration induced a detectable Ca2+ influx and a slight increase in ROS. Among the 84 genes examined, P11-4 at 6.3 µmol/L upregulated 79 genes, including transcription factors, signaling molecules, and extracellular matrix-related proteins. Furthermore, P11-4 did not increase IL-6 expression under any condition tested. (4) Conclusion: P11-4 markedly modulates mineralization-associated gene regulation without causing metabolic damage in odontoblast-like cells. Full article
(This article belongs to the Special Issue Biomaterials in Restorative Dentistry and Endodontics (2nd Edition))
Show Figures

Figure 1

18 pages, 14186 KB  
Article
Modulation of Cancer-Associated Fibroblasts via the miR-624-5p/FAP Axis Drives Progression and Metastasis in Non-Small Cell Lung Cancer
by Yan Zhao, Shuman Zhen, Xiaoxu Li, Xiaolin Chen, Xue Zhang, Xinming Zhao and Lihua Liu
Cancers 2026, 18(2), 279; https://doi.org/10.3390/cancers18020279 - 16 Jan 2026
Viewed by 99
Abstract
Background: Cancer-associated fibroblasts (CAFs) are key mediators of metastatic progression in non-small cell lung cancer (NSCLC). Fibroblast activation protein (FAP) serves as the hallmark of CAF activation. However, the upstream regulation of FAP remains elusive, limiting stroma-targeted therapy development. Methods: 68Ga-FAP inhibitor [...] Read more.
Background: Cancer-associated fibroblasts (CAFs) are key mediators of metastatic progression in non-small cell lung cancer (NSCLC). Fibroblast activation protein (FAP) serves as the hallmark of CAF activation. However, the upstream regulation of FAP remains elusive, limiting stroma-targeted therapy development. Methods: 68Ga-FAP inhibitor (FAPI)-04 PET/CT imaging was performed on 61 NSCLC patients to evaluate the clinical significance of FAP. CAFs and normal fibroblasts (NFs) were isolated from patient tissues. Bioinformatic analysis and qRT-PCR were employed to screen and validate miRNAs. Functional assays (CCK-8, collagen contraction, wound healing, transwell co-culture) were utilized to investigate the role of miR-624-5p in regulating fibroblast activation and the effects on the metastatic potential of NSCLC cells. The targeting relationship between miR-624-5p and FAP was validated using FISH, dual-luciferase assay, and Western blotting. Results: 68Ga-FAPI-04 uptake was higher in advanced NSCLC (p < 0.001) and correlated with tumor size, lymph node metastases, and distant metastases (p < 0.05). Isolated primary CAFs significantly enhanced the migration and invasion of A549 and PC9 cells compared to NFs (p < 0.001). We identified miR-624-5p as a significantly downregulated miRNA in CAFs (p < 0.001). Functionally, miR-624-5p overexpression inhibited CAF proliferation and collagen contraction (p < 0.01) and reduced the proliferation, migration, and invasion capabilities of A549 and PC9 cells (p < 0.001). Mechanistically, miR-624-5p bound to FAP mRNA and negatively regulated FAP expression (p < 0.001), thus suppressing CAF activation and tumor metastasis. Conclusions: Our findings establish miR-624-5p as a novel upstream regulator that suppresses FAP expression, consequently inhibiting CAF activation and its pro-metastatic function. Targeting the miR-624-5p/FAP axis represents a promising therapeutic strategy for NSCLC metastasis. Full article
(This article belongs to the Special Issue Lung Cancer: Updates on Therapy and Prognostic Prediction)
Show Figures

Figure 1

21 pages, 7669 KB  
Article
BCAR3 Hypomethylation as a Potential Diagnostic Marker for Thyroid Cancer and Its Mechanism via Promoting EMT and AKT/mTOR Pathway
by Wenkang Yu, Yizhu Mao, Yifei Yin, Jiacheng Yang, Yi Zhang, Xuandong Huang, Yifen Zhang, Chenxia Jiang and Rongxi Yang
Cancers 2026, 18(2), 267; https://doi.org/10.3390/cancers18020267 - 15 Jan 2026
Viewed by 119
Abstract
Background: BCAR3 has been implicated in various cancers, yet its role in thyroid cancer (TC) remains unclear. This study aimed to investigate the methylation status, functional effects, and underlying mechanisms of BCAR3 in TC. Methods: BCAR3 methylation was analyzed using matrix-assisted laser desorption/ionization–time-of-flight [...] Read more.
Background: BCAR3 has been implicated in various cancers, yet its role in thyroid cancer (TC) remains unclear. This study aimed to investigate the methylation status, functional effects, and underlying mechanisms of BCAR3 in TC. Methods: BCAR3 methylation was analyzed using matrix-assisted laser desorption/ionization–time-of-flight (MALDI-TOF) mass spectrometry in 422 TC and 371 benign thyroid nodule samples. Expression levels were assessed via immunohistochemistry, qPCR, and Western blot. Functional assays including proliferation, migration, and invasion were performed after BCAR3 knockdown. Rescue experiments using a PI3K activator were conducted to examine pathway mechanisms. Results: BCAR3 was significantly hypomethylated in TC compared to benign tissues (p < 0.001), with CpG_6 most strongly associated with TC risk (odds ratio, OR = 1.73, p < 0.001). Notably, BCAR3 hypomethylation was more pronounced in cases with larger tumor size and advanced disease stage. Furthermore, BCAR3 methylation showed differential patterns across TC subtypes, with medullary thyroid carcinoma exhibiting the lowest methylation levels. BCAR3 expression was upregulated in TC tissues and cell lines (p < 0.05). Mechanistically, BCAR3 knockdown reduced phosphorylation of AKT/mTOR and altered expression of epithelial-to-mesenchymal transition (EMT) marker, characterized by an increase in E-cadherin and decreases in Vimentin and N-cadherin, and consequently suppressed proliferation, migration, and invasion (p < 0.05). Rescue experiments with a PI3K activator showed a trend towards restoration of these effects, although not to the level of the control groups. Conclusions: BCAR3 hypomethylation contributes to TC cells’ proliferation, migration, and invasion by promoting AKT/mTOR activation and EMT. These findings highlight the potential of BCAR3 methylation as both a biomarker and a therapeutic target in TC. Full article
(This article belongs to the Section Molecular Cancer Biology)
Show Figures

Figure 1

22 pages, 3229 KB  
Article
Antitumor Activity of All-Trans Retinoic Acid and Curcumin-Loaded BSA Nanoparticles Against U87 Glioblastoma Cells
by Ceyda Sonmez, Aleyna Baltacioglu, Julide Coskun, Gulen Melike Demirbolat, Ozgul Gok and Aysel Ozpinar
Life 2026, 16(1), 131; https://doi.org/10.3390/life16010131 - 15 Jan 2026
Viewed by 215
Abstract
Glioblastoma (GBM) is a highly aggressive brain tumor characterized by invasive growth, intrinsic drug resistance, and the presence of the blood–brain barrier. All of these features make treatment extremely challenging and underscore the need for developing effective combination strategies and advanced drug delivery [...] Read more.
Glioblastoma (GBM) is a highly aggressive brain tumor characterized by invasive growth, intrinsic drug resistance, and the presence of the blood–brain barrier. All of these features make treatment extremely challenging and underscore the need for developing effective combination strategies and advanced drug delivery systems. This study aimed to develop a bovine serum albumin (BSA) nanoparticle (NP)-based delivery system to overcome the poor bioavailability and pharmacokinetic limitations of two potent anti-tumor agents, all-trans retinoic acid (ATRA) and curcumin (CURC), and to evaluate their antitumor activity in U87-MG GBM cells. Drug-free and ATRA/CURC-loaded BSA-NPs were synthesized using an optimized desolvation method and characterized in terms of particle size, polydispersity index, morphology, drug encapsulation efficiency, and release behavior. The cytotoxic, anti-migratory, and pro-apoptotic effects of the NPs on U87-MG GBM cells were assessed using real-time proliferation and migration assays and Annexin V/PI staining followed by flow cytometry. Collectively, the findings indicated that the co-delivery of ATRA and CURC using BSA-NPs showed enhanced antiproliferative, antimigratory, and pro-apoptotic effects. With its controlled release profile, high loading capacity, and favorable nanoscale dimensions, the ATRA-CURC-BSA–NP system represents a promising nanoplatform for GBM therapy that warrants further in vivo investigation. To the best of our knowledge, this is the first study demonstrating the inhibition of glioblastoma cell growth through the co-delivery of all-trans retinoic acid and curcumin using a bovine serum albumin-based nanoparticle system. Full article
(This article belongs to the Section Pharmaceutical Science)
Show Figures

Figure 1

15 pages, 1379 KB  
Article
Molecular Interaction and Biological Activity of Fatty Acids and Sterols: An In Silico and In Vitro Approach Against Haemonchus contortus
by Susan Yaracet Páez-León, Alexandre Cardoso-Taketa, Abraham Madariaga-Mazón, Adriana Morales-Martínez, Juan Felipe de Jesús Torres-Acosta, Gabriela Mancilla-Montelongo, Víctor Manuel Hernández-Velázquez, Gabriel Navarrete-Vázquez, Elba Villegas and Liliana Aguilar-Marcelino
Pharmaceuticals 2026, 19(1), 140; https://doi.org/10.3390/ph19010140 - 14 Jan 2026
Viewed by 524
Abstract
Background: Haemonchus contortus is a gastrointestinal nematode that affects small ruminants and exhibits widespread resistance to commercial anthelmintics. This has driven interest in natural compounds such as fatty acids and sterols; however, their biological relevance against resistant parasite strains remains insufficiently understood. [...] Read more.
Background: Haemonchus contortus is a gastrointestinal nematode that affects small ruminants and exhibits widespread resistance to commercial anthelmintics. This has driven interest in natural compounds such as fatty acids and sterols; however, their biological relevance against resistant parasite strains remains insufficiently understood. Methods: The nematicidal potential of four fatty acids (palmitic, linoleic, pentadecanoic, and stearic acids) and two sterols (β-sitosterol and ergosterol), all of them commercially available in Mexico, was evaluated against infective L3 larvae of a benzimidazole-resistant H. contortus strain. In vitro larval mortality and migration inhibition assays were performed, and molecular docking analyses were conducted to explore interactions with the glutamate-gated chloride channel (GluCl) using AutoDock4. Statistical analyses were performed using ANOVA followed by Tukey’s post hoc test (p < 0.05). Results: Molecular docking indicated strong binding affinities of ergosterol and β-sitosterol to GluCl, comparable to that of ivermectin. In vitro assays showed that fatty acids, particularly linoleic acid, produced more pronounced effects on larval motility, suggesting predominantly nematostatic activity. No clear dose–response relationship was observed in migration assays, and in vitro mortality remained limited across treatments. Conclusions: The results highlight a disconnect between in silico binding affinity and in vitro biological activity, particularly in a drug-resistant H. contortus strain. Integrating in vitro bioassays with computational approaches provides valuable mechanistic insight but also underscores the limitations of affinity-based predictions for assessing anthelmintic efficacy. Full article
Show Figures

Graphical abstract

21 pages, 78949 KB  
Article
FGF2 as a Potential Tumor Suppressor in Lung Adenocarcinoma
by Shih-Sen Lin, Hsin-Ying Lu, Tsung-Ming Chang, Ying-Sui Sun and Ju-Fang Liu
Diagnostics 2026, 16(2), 250; https://doi.org/10.3390/diagnostics16020250 - 13 Jan 2026
Viewed by 235
Abstract
Background/Objectives: Lung adenocarcinoma (LUAD), the predominant subtype of non-small cell lung cancer (NSCLC), is frequently diagnosed at advanced stages with distant metastasis, underscoring the need for effective prognostic biomarkers. Fibroblast growth factor 2 (FGF2), a multifunctional regulator, has shown to play contradictory [...] Read more.
Background/Objectives: Lung adenocarcinoma (LUAD), the predominant subtype of non-small cell lung cancer (NSCLC), is frequently diagnosed at advanced stages with distant metastasis, underscoring the need for effective prognostic biomarkers. Fibroblast growth factor 2 (FGF2), a multifunctional regulator, has shown to play contradictory roles in cancer progression. Methods: We analyzed three independent Gene Expression Omnibus (GEO) datasets (GSE19804, GSE18842, and GSE19188) to identify consistently dysregulated genes in LUAD. Functional enrichment (GO, KEGG, and cancer hallmark analysis), protein–protein interaction (PPI) network construction, and hub gene prioritization were performed using public bioinformatic tools. Survival analyses were conducted via the Kaplan–Meier Plotter. The expression of FGF2 was validated across multiple platforms, including TCGA, CPTAC, TNMplot, LCE, and the Human Protein Atlas. Functional assays (Transwell migration and wound healing) demonstrated that exogenous FGF2 significantly suppressed LUAD cell motility in vitro. Results: A total of 949 differentially expressed genes (DEGs) were commonly identified across datasets, with enrichment in cell adhesion and metastasis-related pathways. Among the 11 hub genes identified, FGF2 was consistently downregulated in LUAD tissues across all datasets and stages. Higher FGF2 expression was associated with longer overall and progression-free survival. In vitro, FGF2 treatment significantly suppressed the migration and wound healing abilities of LUAD cell lines. Conclusions: FGF2 is downregulated in LUAD and inversely associated with metastatic progression and poor prognosis. The observed reduction in cancer cell motility upon FGF2 treatment in vitro, together with its expression pattern, supports a potential tumor-suppressive role and suggests that FGF2 may serve as a candidate non-invasive biomarker for monitoring LUAD metastasis. Full article
Show Figures

Figure 1

22 pages, 4486 KB  
Article
Astaxanthin as a Natural Photoprotective Agent: In Vitro and In Silico Approach to Explore a Multi-Targeted Compound
by Aida Lahmar, Balkis Abdelaziz, Nahla Gouader, Abir Salek, Imen Waer and Leila Chekir Ghedira
Sci. Pharm. 2026, 94(1), 8; https://doi.org/10.3390/scipharm94010008 - 13 Jan 2026
Viewed by 202
Abstract
Ultraviolet B radiation is a major cause of skin aging, cellular senescence, and inflammaging, mediated by the excessive production of reactive oxygen species (ROS) and induction of apoptosis. This study evaluated the photo-protective effects of astaxanthin, one of the strongest natural antioxidants, in [...] Read more.
Ultraviolet B radiation is a major cause of skin aging, cellular senescence, and inflammaging, mediated by the excessive production of reactive oxygen species (ROS) and induction of apoptosis. This study evaluated the photo-protective effects of astaxanthin, one of the strongest natural antioxidants, in UVB-treated keratinocytes. The antioxidant capacity of astaxanthin was evaluated using ABTS, DPPH, and NBT/riboflavin/SOD assays. HaCaT cells were exposed to 30 mJ/cm2 of UVB radiation. Photoprotective effects and accumulated ROS were evaluated in UVB-irradiated HaCaT cells by MTT and DCFH-DA assays. Nitric oxide levels were quantified using the Griess reagent. Apoptosis was assessed by dual staining using acridine orange/ethidium bromide, lysosomal integrity by acridine orange uptake, and cell migration by scratch assay. Cell adhesion was assessed on ECM-coated Nunc plates. Finally, we formulated a 0.5% astaxanthin-enriched cream. Astaxanthin mitigated UVB-induced damage by reducing intracellular ROS levels by 3.7-fold, decreasing nitric oxide production to 29.8 ± 7.7% at the highest concentration, and maintaining lysosomal integrity. The carotenoid significantly enhanced cell viability, increasing it from 60.64 ± 8.3% in UV-treated cells to 102.1 ± 3.22% at 40 µM. Moreover, treated cells showed a significant reduction (p < 0.001) in the apoptotic rate (37.7 ± 3.1 vs. 87.7 ± 3.8 in UVB-irradiated cells, as evidenced by reduced chromatin condensation and nuclear fragmentation. Astaxanthin also enhanced tissue repair, as evidenced by increased cell migration and adhesion to several extracellular matrix (ECM) proteins (poly-L-lysine, laminin, fibrinogen, vitronectin and collagen I). In silico molecular docking predicted strong binding affinities between astaxanthin and key cellular targets, including JAK2 (−9.9 kcal/mol, highest affinity), STAT3, FAK, COX-2, NF-k-B, MMP2, and MMP9. The formulated cream demonstrated an in vitro SPF of 7.2 ± 2.5. Astaxanthin acts as a multifunctional photoprotective compound, providing a strong rationale for its incorporation into cosmetic and dermatological formulations, as further supported by the successful formulation and in vitro SPF estimation of an astaxanthin-enriched cream. Full article
Show Figures

Figure 1

17 pages, 2282 KB  
Article
Fisetin Suppresses the Proliferative and Migratory Behavior of HeLa Cells by Modulating Aberrant Epigenetic Marks (Writers and Erasers)
by Nazia Afroze, Reham I. Alagal, Lujain A. Almousa, Ritu Raina, Prathap Bava, Lizna Mohamed Ali, Tarique Noorul Hasan and Arif Hussain
Epigenomes 2026, 10(1), 3; https://doi.org/10.3390/epigenomes10010003 - 12 Jan 2026
Viewed by 258
Abstract
Purpose: The reversible deviant in epigenomic modulations is the highlight of developing new anti-cancer drugs, necessitating the use of fisetin as an epigenetic modifier in the study. Methods: In silico and molecular studies were performed to analyze the modulatory effect of fisetin on [...] Read more.
Purpose: The reversible deviant in epigenomic modulations is the highlight of developing new anti-cancer drugs, necessitating the use of fisetin as an epigenetic modifier in the study. Methods: In silico and molecular studies were performed to analyze the modulatory effect of fisetin on various writers and erasers. Further, whole genome DNA methylation sequencing and expression studies were performed. Global DNA methylation-LINE 1 kit was used to check global DNA methylation. Additionally, the effect of fisetin on migration was evaluated by colony, scratch, and invasion assays and qPCR and protein expression studies of migration-related genes were carried out on HeLa cells. Results: In silico studies have supported that fisetin interacts with writers and erasers in their catalytic site and the simulation studies showed minimum fluctuations in energy and temperature over a 10 ns timescale indicating that these complexes are likely to remain stable. Fisetin (20–50 µM) dose-dependently inhibited DNA methyltransferases (DNMT), histone deacetyl transferases (HDAC), histone acetyl transferases (HAT), and histone methyltransferases (HMT) activities at 48 h, with inhibition ranging from 24 to 72% compared to the control. The expression and enzymatic activity of these proteins, along with various H4 and H3 modification marks, were observed to be altered following fisetin treatment at 48 h. Fisetin treatment reduced promoter methylation in various tumor suppressor genes ranging from 15.29% to 76.23% and leading to the corresponding reactivation of important tumor suppressor genes; however, it did not lead to any alteration in the global DNA methylation compared to untreated controls linked with the anti-migratory properties of fisetin as the percentage of migrated cells dropped from ~40% to ~8%. Conclusions: This study gives a mechanistic insight of fisetin as a potential epigenetic modifier in HeLa cells. Full article
(This article belongs to the Collection Epigenetic Regulation of Cellular Differentiation)
Show Figures

Figure 1

26 pages, 4308 KB  
Article
Development of Antimicrobial Wound Healing Hydrogels Based on the Microbial Polysaccharide Pullulan
by Natalya Vedyashkina, Lyudmila Ignatova, Yelena Brazhnikova, Ilya Digel and Tatiana Stupnikova
Polysaccharides 2026, 7(1), 7; https://doi.org/10.3390/polysaccharides7010007 - 9 Jan 2026
Viewed by 322
Abstract
Microbial polysaccharides are promising components for wound-care products. This study reports the development of wound-healing antimicrobial hydrogels, based on pullulan from Aureobasidium pullulans, combined with mesenchymal cell-derived conditioned medium. Structural characterization of pullulan was confirmed by FTIR and NMR. Twenty-three formulations containing [...] Read more.
Microbial polysaccharides are promising components for wound-care products. This study reports the development of wound-healing antimicrobial hydrogels, based on pullulan from Aureobasidium pullulans, combined with mesenchymal cell-derived conditioned medium. Structural characterization of pullulan was confirmed by FTIR and NMR. Twenty-three formulations containing pullulan, chitosan, gelatin, citric acid, and antimicrobial agents were prepared. Physicochemical screening identified optimal hydrogels: No. 22 (1.2% pullulan, 1.2% chitosan, 0.2% citric acid, 2.4% gelatin, 0.1% conditioned medium, 0.4% glutaraldehyde) and No. 23 (2.4% pullulan, no chitosan, the remaining components identical to those in No. 22). Both exhibited pH values of 5.34 and 5.49, moisture content of 92%, swelling capacities of 175% and 213%, and dynamic viscosity between 58–120 mPa·s. Cytotoxicity testing with human mesenchymal stem cells showed no significant toxicity, with both hydrogels supporting cell adhesion and proliferation. Antimicrobial assays demonstrated inhibitory activity against Staphylococcus aureus and Escherichia coli for both formulations; only hydrogel No. 23 inhibited Pseudomonas aeruginosa. In vitro scratch assays revealed that hydrogel No. 23 significantly promoted fibroblast migration, achieving 30.25% scratch closure after 24 h. The developed formulations combine favorable physicochemical properties with antimicrobial efficacy and regenerative potential, supporting further evaluation as advanced wound-healing and anti-burn dressings. Full article
Show Figures

Graphical abstract

19 pages, 6097 KB  
Article
Circuitous Ways of EWS::FLI1 Using Circular RNA ZNF609 to Evade Translational Repression by miR-145 in Ewing’s Sarcoma
by Aakash Koppula, Ahmed Abdelgawad, Brigette Romero, Victoria Beringer, Vijay Parashar and Mona Batish
Biomedicines 2026, 14(1), 129; https://doi.org/10.3390/biomedicines14010129 - 8 Jan 2026
Viewed by 286
Abstract
Background: Ewing’s sarcoma (EwS) is a pediatric bone and soft tissue cancer driven by the oncogenic fusion protein EWS::FLI1. Currently, EwS lacks targeted therapies, necessitating the identification of novel regulatory mechanisms. While the role of microRNAs and long non-coding RNAs has been explored [...] Read more.
Background: Ewing’s sarcoma (EwS) is a pediatric bone and soft tissue cancer driven by the oncogenic fusion protein EWS::FLI1. Currently, EwS lacks targeted therapies, necessitating the identification of novel regulatory mechanisms. While the role of microRNAs and long non-coding RNAs has been explored in EwS, the presence and functional significance of circular RNAs (circRNAs) in EwS is not reported. This is the first study to report the presence and role of oncogenic circRNA, circZNF609 in EwS tumor progression. Methods: Expression of circZNF609 was validated in 5 different EwS cell lines using qPCR. Cellular localization of circZNF609 was identified using circFISH. Functional assays for proliferation, migration and apoptosis were performed in wild type and circZNF609 knocked down (KD) cell lines to confirm its oncogenic role. The impact of circZNF609 on EWS::FLI1 protein levels was confirmed using western blots, immunofluorescence, and polysome fractionation. Mechanistic insights were gained utilizing bioinformatic, dual-luciferase reporter assays, rescue experiments, and microscopy to identify and validate the circRNA-miRNA-mRNA regulatory axis. Results: We report the first identification of circZNF609 in EwS, demonstrating that its expression is EWS::FLI1-dependent. Functional analysis reveals that circZNF609 promotes cell proliferation and metastasis while inhibiting apoptosis. Mechanistically, circZNF609 acts as a molecular sponge for miR-145-5p. By sequestering this miRNA, circZNF609 prevents the translational repression of EWS::FLI1, thereby sustaining oncogenic signaling. Conclusions: These findings identify circZNF609 as a novel post-transcriptional regulator of EWS::FLI1 and establish its critical role in EwS pathogenesis. Our results suggest that targeting the circZNF609/miR-145-5p/EWS::FLI1 axis may offer a promising therapeutic strategy for EwS. Full article
Show Figures

Graphical abstract

17 pages, 8188 KB  
Article
Leptin Drives Breast Cancer Aggressiveness Acting Through the Activation of the NCOA1/STAT3 Pathway
by Khouloud Ayed, Amal Gorrab, Hichem Bouguerra, Rym Akrout, Sami Zekri, Wassim Y. Almawi, Rahma Boughriba, Khalil Choukri, Dhouha Bacha, Alessandra Pagano, Jean-François Louet, Hervé Kovacic, Mounia Tannour-Louet and Asma Gati
Med. Sci. 2026, 14(1), 32; https://doi.org/10.3390/medsci14010032 - 8 Jan 2026
Viewed by 206
Abstract
Background/Objectives: Obesity-associated hyperleptinemia has been linked to breast cancer (BC) progression via mechanisms that remain incompletely understood. This study explores the role of leptin and its receptor (LEPR) in facilitating BC cell proliferation, migration, epithelial–mesenchymal transition (EMT), and STAT3 signaling pathway activation. [...] Read more.
Background/Objectives: Obesity-associated hyperleptinemia has been linked to breast cancer (BC) progression via mechanisms that remain incompletely understood. This study explores the role of leptin and its receptor (LEPR) in facilitating BC cell proliferation, migration, epithelial–mesenchymal transition (EMT), and STAT3 signaling pathway activation. Methods: We analyzed gene expression and survival data from TCGA BRCA dataset. MCF-7 and MDA-MB-231 BC cells were exposed to leptin at 10 ng/mL (lean-associated levels) and 100 ng/mL (elevated levels linked to obesity). MTT assays, colony formation tests, wound-healing and tumor spheroid dissemination experiments evaluated cell proliferation and migration. Immunofluorescence and Western blot analysis assessed changes in EMT markers and cytoskeletal alterations, while Western blotting and qPCR assessed STAT3 and NCOA1 expression and activation levels. Results: Elevated LEPR expression was linked with unfavorable prognosis in BC patients. Higher doses of leptin (100 ng/mL) significantly enhanced cellular proliferation rates and migratory capabilities, in both cell lines, and promoted EMT characteristics marked by downregulated E-cadherin and cytoskeleton structural changes. Whereas heightened JAK2/STAT3 signaling correlated with elevated leptin dosages, STAT3 inhibition using AG490 reversed leptin-induced migration while reinstating E-cadherin levels to baseline. Furthermore, leptin upregulated NCOA1, an essential STAT3 coactivator, facilitating increased expression of Cyclin D1 and VEGF target genes. Clinical positive relationships were seen between LEP/LEPR expressions and NCOA1 levels and between NCOA1 and various gene signatures related to STAT3/P-STAT3 within BC specimens. Conclusions: Obesity-associated hyperleptinemia enhances aggressiveness in BC through a mechanism involving LEPR-mediated activation pathways encompassing NCOA1/STAT3, which drive proliferation, migration, and EMT. This assigns a potential therapeutic utility for obesity-related advancements found within BC pathology. Full article
(This article belongs to the Special Issue Feature Papers in Section “Cancer and Cancer-Related Research”)
Show Figures

Graphical abstract

42 pages, 9322 KB  
Article
Characterization of a New Biocomposite Based on Bioactive Compounds from Ganoderma lucidum and Jellyfish Collagen Destined for In Vitro Evaluation of Antitumor Effects in the Oral Cavity
by Carolina Pascale, Alexandru Burcea, Claudia Florina Bogdan-Andreescu, Emin Cadar, Antoanela Popescu, Ticuta Negreanu-Pirjol, Florica Busuricu, Ana-Maria Pesterau, Adrian Cosmin Rosca and Rodica Sirbu
Pharmaceuticals 2026, 19(1), 108; https://doi.org/10.3390/ph19010108 - 7 Jan 2026
Viewed by 234
Abstract
Background/Objectives: Oral squamous cell carcinoma (OSCC) remains a major therapeutic challenge due to treatment-related toxicity and impaired oral tissue regeneration. This study aimed to develop and characterize a novel biocomposite based on bioactive compounds from Ganoderma lucidum incorporated into marine collagen derived from [...] Read more.
Background/Objectives: Oral squamous cell carcinoma (OSCC) remains a major therapeutic challenge due to treatment-related toxicity and impaired oral tissue regeneration. This study aimed to develop and characterize a novel biocomposite based on bioactive compounds from Ganoderma lucidum incorporated into marine collagen derived from Rhizostoma pulmo and to evaluate its physicochemical properties, antioxidant and antimicrobial activities, and in vitro antitumor potential in the oral cavity. Methods: Hydroalcoholic extracts of G. lucidum and pepsin-soluble collagen peptides from R. pulmo jellyfish were prepared and combined to obtain two hydrogel biocomposites with different component ratios. Chemical and structural characterization was performed using HPLC-DAD, SDS-PAGE, FT-IR, circular dichroism, and spectrophotometric assays. Antioxidant activity was assessed by DPPH radical scavenging and reducing power assays, while antimicrobial activity was evaluated against oral pathogens using diffusion and MIC methods. In vitro biological activity was investigated using MTT viability and scratch migration assays on human OSCC cell lines (SCC-9 and HSC-3). Results: The biocomposites preserved the structural integrity of type I collagen and incorporated polysaccharides and polyphenols from G. lucidum. The combined formulations showed enhanced antioxidant and antimicrobial activities compared with collagen alone. In vitro assays demonstrated dose- and time-dependent reductions in OSCC cell viability and delayed cell migration, with effects comparable to those of G. lucidum extract. Conclusions: The G. lucidumR. pulmo biocomposite exhibits favorable physicochemical properties and demonstrates antioxidant, antimicrobial, and in vitro antitumor activity. These findings support its potential as a multifunctional biomaterial for further investigation as an adjunct approach in oral cancer-related applications. Full article
Show Figures

Graphical abstract

24 pages, 18899 KB  
Article
Network Pharmacology of the Phytochemical Content of Sunflower Seed (Helianthus annuus L.) Extract from LC-MS on Wound-Healing Activity and the In Vitro Wound Scratch Assay
by Juthamat Ratha, Tanit Padumanonda, Chawalit Yongram, Pimolwan Siriparu, Suthida Datham, Muhammad Subhan, Chatchavarn Chenboonthai and Ploenthip Puthongking
Plants 2026, 15(2), 187; https://doi.org/10.3390/plants15020187 - 7 Jan 2026
Viewed by 425
Abstract
Sunflower seeds have been reported to be a healthy natural source of polyphenols. This study aimed to explore the mechanisms of potential compounds in sunflower seed extract involved in wound healing; major compounds were investigated through network pharmacology and molecular docking. In an [...] Read more.
Sunflower seeds have been reported to be a healthy natural source of polyphenols. This study aimed to explore the mechanisms of potential compounds in sunflower seed extract involved in wound healing; major compounds were investigated through network pharmacology and molecular docking. In an in vitro wound-healing assay applied using an immortalised human keratinocyte (HaCaT) cell model, 10 µg/mL of the sunflower seed extract promoted cell migration in HaCaT cells and led to complete wound closure after 24 h; at a 1 µg/mL concentration, it led to complete wound closure after 72 h. The sunflower seed extract presented moderate-to-strong antioxidant activity. Liquid chromatography–mass spectrometry and high-performance liquid chromatography were used to identify the major compounds present in the sunflower seed extract. Forty-seven compounds were identified, among which chlorogenic acid was the most abundant phenolic compound. Network pharmacology was used to identify wound-healing-related targets. In total, 252 proteins were linked to the 47 compounds. Cyto-Hubba analysis identified 10 hub proteins with a strong correlation with wound healing. Molecular docking was used to assess the ability of the major compounds in the sunflower seed extract to combat NF-κB1, EGFR, and MMP9. Chlorogenic acid showed higher binding affinity to all targets. Moreover, its pharmacokinetic properties were well distributed in the plasma (VDss = 0.377 log L/kg), and they were not a carcinogen and did not cause skin sensitisation. In conclusion, the findings suggest that the sunflower seed extract is a potential source of bioactive compounds that can enhance wound healing and can be developed to create a transdermal application. Full article
(This article belongs to the Section Phytochemistry)
Show Figures

Figure 1

Back to TopTop