Characterization of a New Biocomposite Based on Bioactive Compounds from Ganoderma lucidum and Jellyfish Collagen Destined for In Vitro Evaluation of Antitumor Effects in the Oral Cavity
Abstract
1. Introduction
2. Results
2.1. Chemical Profiling of Ganoderma lucidum Ethanolic Extract and Rhizostoma pulmo Collagen Hydrolysate
2.2. Monosaccharide Types of Polysaccharide Content of G. lucidum
2.3. Rhizostoma pulmo Collagen Characterization
2.3.1. SDS-PAGE Analysis
2.3.2. Circular Dichroism Spectral Analysis
2.3.3. FT-IR Analysis

2.4. Amino Acid Content of R. pulmo
2.5. Polyphenolic Content
2.5.1. Total Phenolic and Flavonoid Content
2.5.2. Individual Phenolic Acids
2.6. Characterization of the New Biocomposite Obtained
2.6.1. Macroscopic Study of GL-JPC Composite
- Extract E1 (GL–JPC): prepared with a composition of 3/5 (v/v) 10% GL ethanolic extract and 2/5 (v/v) JPC collagenic hydrogel extract.
- Extract E2 (GL–JPC): prepared with a composition of 4/5 (v/v) 10% GL ethanolic extract and 1/5 (v/v) JPC collagenic hydrogel extract.
2.6.2. Microscopic Study of GL-JPC Composite
2.6.3. Rheological Study of the Newly Obtained Biocomposites
2.7. Antimicrobial Activity
2.8. Antioxidant Activity
2.8.1. DPPH Assay
2.8.2. Reducing Power

2.9. Biological Evaluation of the New GL-JPC Biocomposite
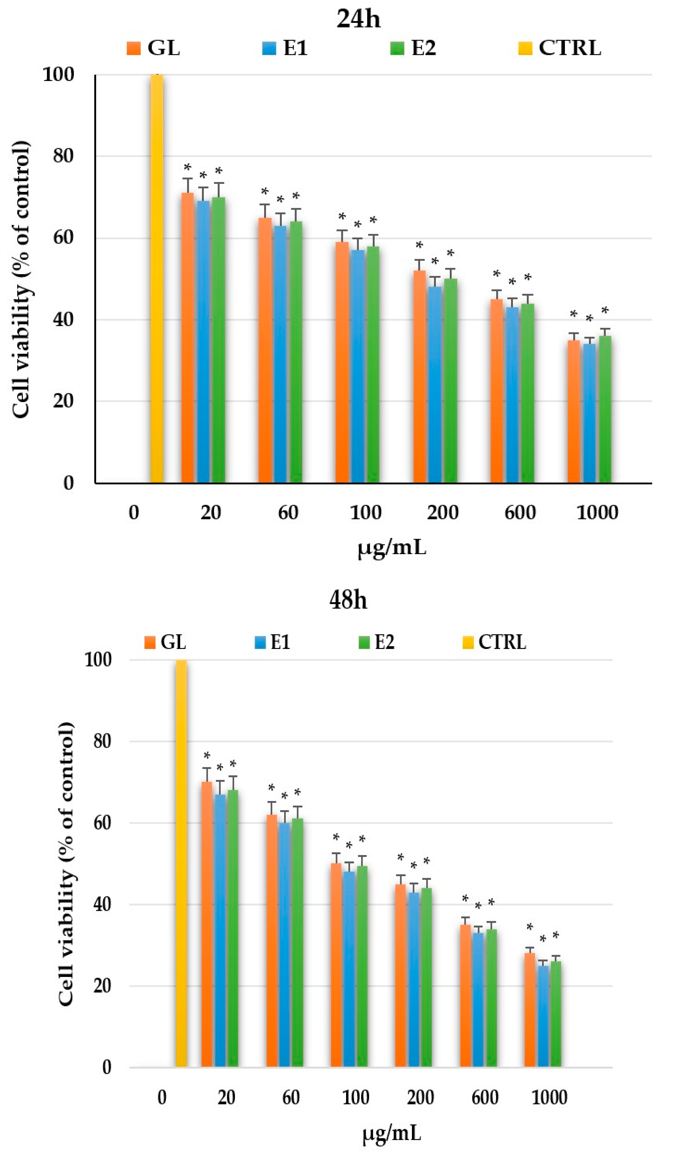
2.9.1. Anticancer Activity on the SCC-9 Lines Cells of New Composite E1 and E2 with GL-JPC
2.9.2. Anticancer Activity on the HSC3 Lines Cells of New Composites E1 and E2 with GL-JPC
3. Discussion
4. Materials and Methods
4.1. Chemical Reagents
4.2. Preparation of Extracts
4.2.1. G. lucidum Extracts
4.2.2. R. pulmo Collagen Extract
4.3. Formulation of the New Biocomposite Based on G. lucidum and R. pulmo
4.4. Determination of the Proximal Composition and Nutritional Values of the Studied Species
4.4.1. Biochemical Composition of Fungus G. lucidum
4.4.2. Biochemical Composition of Jellyfish R. pulmo
4.5. Identification of Monosaccharide Types of the Polysaccharide Content from G. lucidum
4.6. Jellyfish R. pulmo General Characterization
4.6.1. SDS-PAGE Analysis
4.6.2. Circular Dichroism Spectral Analysis
4.6.3. FT-IR Spectroscopy Analysis of Collagen
4.7. Determination of the Amino Acid Composition from R. pulmo
4.8. Determination of the Polyphenolic Content
4.8.1. Determination of the Total Phenolic Content (TPC)
4.8.2. Determination of the Total Flavonoid Content (TFC) from G. lucidum
4.8.3. Determination of the Individual Phenolic Compounds by the HPLC-DAD Method
4.9. Physicochemical Characteristics of the New Biocomposite
4.9.1. Macroscopic and Microscopic Study
4.9.2. Rheological Study
4.10. Antimicrobial Activity
4.11. Antioxidant Activity
4.11.1. DPPH Method
4.11.2. Reducing Power Assay
4.12. Biological Evaluation
4.12.1. Cell Viability for SCC-9 and HSC3 Cell Lines
4.12.2. Scratch Test on SCC-9 and HSC3 Cell Lines
4.13. Statistical Methods
5. Conclusions
Author Contributions
Funding
Institutional Review Board Statement
Informed Consent Statement
Data Availability Statement
Conflicts of Interest
Abbreviations
| GL | Ganoderma lucidum |
| HWE | Hot Water Extract |
| EDTA-Na | Ethylene Diamine Tetra acetic Acid Sodium Salt |
| BSA | Bovine Serum Albumin |
| CD | Circular Dichroism |
| HPLC | High-Performance Liquid Chromatography |
| RT | Retention Time |
| AOAC | Association of Official Analytical Chemists |
| JPC | Jellyfish-derived Collagen Peptides |
| SDS-PAGE | Sodium Dodecyl Sulfate–Polyacrylamide Gel Electrophoresis |
| FT-IR | Fourier-Transform Infrared Spectroscopy |
| PSC | Pepsin-Soluble Collagen |
| TPC | Total Phenolic Compounds |
| TFC | Total Flavonoid Content |
| GAE | Gallic Acid |
| QE | Quercetin |
| DPPH | α-Difenil-β-Picrilhidrazil |
| MIC | Minimum Inhibitory Concentration |
| MTT | 3-(4,5-dimethylthiazol-2-yl)-2,5-diphenyltetrazolium bromide |
| DMEM | Dulbecco’s Modified Eagle Medium |
| FBS | Fetal Bovine Serum |
| OSCC | Oral Squamous Cancer Cells |
References
- Peres, M.A.; Macpherson, L.M.D.; Weyant, R.J.; Daly, B.; Venturelli, R.; Mathur, M.R.; Listl, S.; Celeste, R.K.; Guarnizo-Herreño, C.C.; Kearns, C.; et al. Oral diseases: A global public health challenge. Lancet 2019, 394, 249–260. [Google Scholar] [CrossRef] [PubMed]
- Abed, H.; Damien Reilly, D.; Burke, M.; Blánaid Daly, B. Patients with head and neck cancers’ oral health knowledge, oral health-related quality of life, oral health status, and adherence to advice on discharge to primary dental care: A prospective observational study. Spec. Care Dentristy 2019, 39, 593–602. [Google Scholar] [CrossRef]
- Warnakulasuriya, S.; Kujan, O.; Aguirre-Urizar, J.M.; Bagan, J.V.; González-Moles, M.Á.; Kerr, A.R.; Lodi, G.; Mello, F.W.; Monteiro, L.; Ogden, G.R.; et al. Oral potentially malignant disorders: A consensus report from an international seminar on nomenclature and classification, convened by the WHO Collaborating Centre for Oral Cancer. Oral Dis. 2020, 27, 1862–1880. [Google Scholar] [CrossRef] [PubMed]
- Sung, H.; Ferlay, J.; Siegel, R.L.; Laversanne, M.; Soerjomataram, I.; Jemal, A.; Bray, F. Global cancer statistics 2020: GLOBOCAN estimates of incidence and mortality worldwide for 36 cancers in 185 countries. CA Cancer J Clin. 2021, 71, 209–249. [Google Scholar] [CrossRef]
- Gaździcka, J.; Gołąbek, K.; Strzelczyk, J.K. Epigenetic Modifications in Head and Neck Cancer. Biochem. Genet. 2020, 58, 213–244. [Google Scholar] [CrossRef]
- Wan, Y.; Liu, H.; Zhang, M.; Huang, X.; Zhou, H.; Zhu, Y. Prognostic value of epithelial-mesenchymal transition-inducing transcription factors in head and necksquamous cell carcinoma: A meta-analysis. Heak Neack 2020, 42, 1067–1076. [Google Scholar] [CrossRef]
- Bugshan, A.; Farooq, I. Oral squamous cell carcinoma: Metastasis, potentially associated malignant disorders, etiology and recent advancements in diagnosis approved. F1000Research 2020, 9, 229. [Google Scholar] [CrossRef]
- Jung, A.R.; Jung, C.H.; Noh, J.K.; Lee, Y.C.; Eun, Y.G. Epithelial-mesenchymal transition gene signature is associated with prognosis and tumor microenvironment in head and neck squamous cell carcinoma. Sci. Rep. 2020, 10, 3652. [Google Scholar] [CrossRef] [PubMed]
- Sato, K.; Hayashi, Y.; Watanabe, K.; Yoshimi, R.; Hibi, H. Concurrent chemoradiotherapy with intravenous cisplatin and docetaxel for advanced oral cancer. Nagoya J. Med. Sci. 2019, 8, 407–414. [Google Scholar] [CrossRef]
- Ghosh, S. Cisplatin: The first metal based anticancer drug. Bioorg. Chem. 2019, 88, 102925. [Google Scholar] [CrossRef]
- Cheng, Y.; Li, S.; Gao, L.; Zhi, K.; Ren, W. The Molecular Basis and Therapeutic Aspects of Cisplatin Resistance in Oral Squamous Cell Carcinoma. Front. Oncol. 2021, 11, 761379. [Google Scholar] [CrossRef]
- Ezzat, Y.E.; Sharka, R.M.; Huzaimi, A.A.; Zahrani, K.M.; Abed, H.H. The role of exercise therapy in managing post-radiotherapy trismus in head and neck cancer. J. Taibah Univ. Med. Sci. 2021, 16, 127–133. [Google Scholar] [CrossRef]
- Bharadwaj, R.; Sahu, R.B.; Haloi, J.; Laloo, D.; Barooah, P.; Keppen, C.; Deka, M.; Medhi, S. Combinatorial therapeutic approach for treatment of oral squamous cell carcinoma. Artif. Cells Nanomed. Biotechnol. 2019, 47, 572–585. [Google Scholar] [CrossRef]
- Zhang, M.; Liang, J.; Yang, Y.; Liang, H.; Jia, H.; Li, D. Current trends of targeted drug delivery for oral cancer therapy. Front. Bioeng. Biotechnol. 2020, 8, 618931. [Google Scholar] [CrossRef]
- Wong, T.; Wiesenfeld, D. Oral Cancer. Aust. Dent. J. 2018, 63, S91–S99. [Google Scholar] [CrossRef]
- Khalil, A.; Jameson, M.J. The EGFR inhibitor gefitinib enhanced the response of human oral squamous cell carcinoma to cisplatin In Vitro. Drugs R.D. 2017, 17, 545–555. [Google Scholar] [CrossRef]
- Imran, M.; Abdur Rauf, A.; Abu-Izneid, T.; Nadeem, M.; Shariati, M.A.; Khan, I.A.; Imran, A.; Orhan, I.E.; Rizwan, M.; Atif, M.; et al. Luteolin, a flavonoid, as an anticancer agent: A review. Biomed. Pharmacother. 2019, 112, 108612. [Google Scholar] [CrossRef]
- Nazhvani, A.D.; Sarafraz, N.; Askari, F.; Heidari, F.; Razmkhah, M. Anti-cancer effects of traditional medicinal herbs on oral squamous cell carcinoma. Asian Pac. J. Cancer Prev. 2020, 21, 479–484. [Google Scholar] [CrossRef] [PubMed]
- Ma, C.; Zhuang, Z.; Su, Q.; He, J.; Li, H. Curcumin Has Anti-Proliferative and Pro-Apoptotic Effects on Tongue Cancer in vitro: A Study with Bioinformatics Analysis and In Vitro Experiments. Drug Des. Dev. Ther. 2020, 14, 509–518. [Google Scholar] [CrossRef] [PubMed]
- Billi, M.; Pagano, S.; Pancrazi, G.S.; Valenti, C.; Bruscoli, S.; Michele, A.; Febo, M.; Grignani, F.; Marinucci, L. DNA damage and cell death in human oral squamous cell carcinoma cells: The potential biological offects of cannabidiol. Arch. Og. Oral. Biol. 2025, 169, 106110. [Google Scholar] [CrossRef] [PubMed]
- Cadar, E.; Negreanu-Pirjol, T.; Pascale, C.; Sirbu, R.; Prasacu, I.; Negreanu-Pirjol, B.-S.; Tomescu, C.L.; Ionescu, A.-M. Natural Bio-Compounds from Ganoderma lucidum and Their Beneficial Biological Actions for Anticancer Application: A Review. Antioxidants 2023, 12, 1907. [Google Scholar] [CrossRef]
- Toson, E.A.; El-Fallal, A.A.; Oransa, M.A. In Vitro antitumor effects of methanolic extracts of three Ganoderema mushrooms. Sci. Rep. 2025, 15, 2274. [Google Scholar] [CrossRef] [PubMed]
- Kumar, V.; Yadav, H.K. Therapeutic potential of an edible macro-fungus: Ganoderma lucidum (Curtis) P. Karst. Indian. J. Trad. Know. 2019, 18, 702–713. [Google Scholar]
- Bhat, Z.A.; Wani, A.H.; War, J.M.; Bhat, M.Y. Major bioactive properties of Ganoderma polysaccharides: A Review. Asian J. Pharm. Clin. Res. 2021, 14, 11–24. [Google Scholar] [CrossRef]
- Sirbu, R.; Mustafa, A.; Tomescu, A.; Stanciu, G.; Cadar, E. Rheological and Microbiological Study on Bio-Composites with Marine Chitosan Polymers from Black Sea Stone Crabs used in Medical Therapy of Tissue Regeneration. Mater. Plast. 2019, 56, 148–155. [Google Scholar] [CrossRef]
- Sirbu, R.; Stanciu, G.; Tomescu, A.; Ionescu, A.M.; Cadar, E. Evaluation of Antioxidant and Antimicrobial Activity in Relation to Total Phenolic Content of Green Algae from Black Sea. Rev. Chim. 2019, 70, 1197–1203. [Google Scholar] [CrossRef]
- Cadar, E.; Negreanu-Pirjol, T.; Sirbu, R.; Dragan, A.-M.L.; Negreanu-Pirjol, B.-S.; Axente, E.R.; Ionescu, A.-M. Biocompounds from Green Algae of Romanian Black Sea Coast as Potential Nutraceuticals. Processes 2023, 11, 1750. [Google Scholar] [CrossRef]
- Cadar, E.; Popescu, A.; Dragan, A.-M.-L.; Pesterau, A.-M.; Pascale, C.; Anuta, V.; Prasacu, I.; Velescu, B.S.; Tomescu, C.L.; Bogdan-Andreescu, C.F. Bioactive Compounds of Marine Algae and Their Potential Health and Nutraceutical Applications: A Review. Mar. Drugs 2025, 23, 152. [Google Scholar] [CrossRef]
- Kim, J.H.; Choi, W.Y.; Jeong, S.J.; Park, K.H.; Lee, G.; Kim, M.; Joo, S.C.; Kim, S.; Cho, B.J.; Son, Y.O.; et al. Assessing the therapeutic potential of Ganoderma lucidum spore oil in alleviating periodontal tissue damage in murine periodontitis model. Appl. Biol. Chem. 2024, 67, 1–12. [Google Scholar] [CrossRef]
- Haleem, A.M.; Taha, M.M.; Ayoub, A.A. Anti-tumor and anti-oxidant effects of Ganoderma lucidum extracts on oral squamous cell carcinoma and skin squamous cell carcinoma In Vitro. Curr. Issues Pharm. Med. Sci. 2024, 37, 79–84. [Google Scholar] [CrossRef]
- Camargo, M.R.; Frazon, T.F.; Inacio, K.K.; Smiderle, F.R.; Amor, N.G.; Dionísio, T.J.; Santos, C.F.; Rodini, C.O.; Lara, V.S. Ganoderma lucidum polysaccharides inhibit In Vitro tumorigenesis, cancer stem cell properties and epithelial-mesenchymal transition in oral squamous cell carcinoma. J. Ethnopharmacol. 2022, 286, 114891. [Google Scholar] [CrossRef]
- Hsu, W.H.; Hua, W.J.; Qiu, W.L.; Tseng, A.J.; Cheng, H.C.; Lin, T.Y. WSG, a glucose-enriched polysaccharide from Ganoderma lucidum, suppresses tongue cancer cells via inhibition of EGFR-mediated signaling and potentiates cisplatin-induced apoptosis. Int. J. Biol. Macromol. 2021, 193, 1201–1208. [Google Scholar] [CrossRef]
- Zeng, Z.; Xiao, K. Ganoderma lucidum polysaccharide (GLP) inhibited the progression of oral squamous cell carcinoma via the miR-188/BCL9/β-catenin pathway. Adv. Polym. Technol. 2020, 2020, 7472314. [Google Scholar] [CrossRef]
- Xu, N.; Peng, X.-L.; Li, H.-R.; Liu, J.-X.; Cheng, J.-S.-Y.; Qi, X.-Y.; Ye, S.-J.; Gong, H.-L.; Zhao, X.-H.; Yu, J.; et al. Marine-Derived Collagen as Biomaterials for Human Health. Front. Nutr. 2021, 8, 702108. [Google Scholar] [CrossRef]
- Cherim, M.; Sirbu, R.; Tomescu, A.; Popa, M.F.; Cadar, E. Comparative Studies on the Physico-chemical Characteristics of Bio-materials with Collagen from Calf and Fish Skins from Black Sea. Mater. Plast. 2019, 56, 179–185. [Google Scholar] [CrossRef]
- Cadar, E.; Pesterau, A.M.; Sirbu, R.; Negreanu-Pirjol, B.S.; Tomescu, C.L. Jellyfishes—Significant Marine Resources with Potential in the Wound-Healing Process: A Review. Mar. Drugs 2023, 21, 201. [Google Scholar] [CrossRef]
- Pesterau, A.M.; Popescu, A.; Sirbu, R.; Cadar, E.; Busuricu, F.; Dragan, A.-M.L.; Pascale, C.; Ionescu, A.-M.; Bogdan-Andreescu, C.F.; Radu, M.-D.; et al. Marine Jellyfish Collagen and Other Bioactive Natural Compounds from the Sea, with Significant Potential for Wound Healing and Repair Materials. Mar. Drugs 2025, 23, 252. [Google Scholar] [CrossRef]
- Sirbu, R.; Stanciu, G.; Cadar, E.; Tomescu, A.; Cherim, M. Validation of a Quantitative Analysis Method for Collagen Extracted from Grey Mullet Marine Fish. Rev. De. Chim. 2019, 70, 835–842. [Google Scholar] [CrossRef]
- Cadar, E.; Pesterau, A.-M.; Prasacu, I.; Ionescu, A.-M.; Pascale, C.; Dragan, A.-M.L.; Sirbu, R.; Tomescu, C.L. Marine Antioxidants from Marine Collagen and Collagen Peptides with Nutraceuticals Applications: A Review. Antioxidants 2024, 13, 919–968. [Google Scholar] [CrossRef] [PubMed]
- Cherim, M.; Stanciu, G.; Rasit, E.Y.; Cadar, E. Capitalization of marine resources from Black Sea by obtaining and characterizing collagen from Grey Mullet. J. Sci. Arts 2017, 4, 795–802. [Google Scholar]
- Cadar, E.; Mustafa, A.; Tomescu, A.; Cherim, M. Studies regarding polluting agents in Black Sea algae. J. Sci. Arts 2018, 1, 255–264. [Google Scholar]
- Cadar, E.; Sirbu, R.; Pirjol, B.S.N.; Ionescu, A.M.; Pirjol, T.N. Heavy metals bioaccumulation capacity on marine algae biomass from Romanian Black Sea Coast. Rev. Chim. 2019, 70, 3065–3072. [Google Scholar] [CrossRef]
- Mirzapour-Kouhdasht, A.; Moosavi-Nasab, M.; Krishnaswamy, K.; Khalesi, M. Optimization of gelatin production from Barred mackerel by-products: Characterization and hydrolysis using native and commercial proteases. Food Hydrocoll. 2020, 108, 105970–105984. [Google Scholar] [CrossRef]
- Yaghoubzadeh, Z.; Peyravii, G.F.; Kaboosi, H.; Safari, R.; Fattahi, E. Antioxidant activity and anticancer effect of bioactive peptides from rainbow trout (Oncorhynchus mykiss) skin hydrolysate. Int. J. Pept. Res. Ther. 2019, 26, 625–632. [Google Scholar] [CrossRef]
- Wali, F.; Majid, S.; Rasool, S.; Shehada, S.B.; Abdulkareem, S.K.; Firdous, A.; Beigh, S.; Shakeel, S.; Mushtaq, S.; Akbar, I.; et al. Natural products against cancer: Review on phytochemicals from marine sources in preventing cancer. Saudi Pharm. J. 2019, 27, 767–777. [Google Scholar] [CrossRef] [PubMed]
- Rahman, M.A.; Al Masud, A.; Lira, N.Y.; Shakil, S. Proximate analysis, phytochemical screening and antioxidant activity of different strains of Ganoderma lucidum (Reishi Mushroom). Open J. Biol. Sci. 2020, 5, 24–27. [Google Scholar] [CrossRef]
- Pesterau, A.-M.; Sirbu, R.; Cadar, E. Extraction and Method Validation for Collagen Obtained from the Jellyfish Rhizostoma Pulmo Found on the Romanian Black Sea Coast. Eur. J. Nat. Sci. Med. 2025, 8, 2–18. [Google Scholar] [CrossRef]
- Gharib, M.A.; Radwan, H.A.; Elhassaneen, Y.A. Nutrients and Nutraceuticals Content and In Vitro Biological Activities of Reishi Mushroom (Ganoderma lucidum) Fruiting Bodies. Alex. Sci. Exch. J. 2022, 43, 301–316. [Google Scholar] [CrossRef]
- Taofiq, O.; Heleno, S.A.; Calhelha, R.C.; José Alves, M.; Barros, L.; González-Paramás, A.M.; Barreiro, M.F.; Ferreira, I.C.F.R. The potential of Ganoderma lucidum extracts as bioactive ingredients in topical formulations, beyond its nutritional benefits. Food Chem. Toxicol. 2017, 108, 139–147. [Google Scholar] [CrossRef]
- El Sheikha, A.F. Nutritional Profile and Health Benefits of Ganoderma lucidum “Lingzhi, Reishi, or Mannentake” as Functional Foods: Current Scenario and Future Perspectives. Foods 2022, 11, 1030. [Google Scholar] [CrossRef]
- Leone, A.; Lecci, R.M.; Durante, M.; Meli, F.; Piraino, S. The Bright Side of Gelatinous Blooms: Nutraceutical Value and Antioxidant Properties of Three Mediterranean. Mar. Drugs 2015, 13, 4654–4681. [Google Scholar] [CrossRef]
- D’Ambra, I.; Malej, A. Scyphomedusae of the Mediterranean: State of the Art and Future Perspectives. Cent. Nerv. Syst. Agents Med. Chem. 2015, 15, 81–94. [Google Scholar] [CrossRef]
- D’Ambra, I.; Merquiol, L. Jellyfish from Fisheries By-Catches as a Sustainable Source of High-Value Compounds with Biotechnological Applications. Mar. Drugs 2022, 20, 266. [Google Scholar] [CrossRef]
- Belbachir, K.; Noreen, R.; Gouspillou, G.; Petibois, C. Collagen types analysis and differentiation by FTIR spectroscopy. Anal. Bioanal. Chem. 2009, 395, 829–837. [Google Scholar] [CrossRef]
- Riaz, T.Z.; Rabia, Z.; Faiza, Z.; Kanwal, I.; Nawshad, M.; Sher, Z.S.; Abdur, R.; Rizvi, S.A.A.; Rehman, I.U. FTIR analysis of natural and synthetic collagen FTIR analysis of natural and synthetic collagen. Appl. Spectrosc. Rev. 2018, 53, 703–746. [Google Scholar] [CrossRef]
- Derkus, B.; Arslan, Y.; Bayraç, T.; Kantarcıoğlu, İ.; Emregul, K.; Emregül, E. Development of a novel aptasensor using jellyfish collagen as matrix and thrombin detection in blood samples obtained from patients with various neurodisease. Sens. Actuators B Chem. 2016, 2016, 228. [Google Scholar] [CrossRef]
- James, S.; Tilvi, S.; Khandeparker, R.; Sreepada, R.A.; Thakur, N.; Gauthankar, M. Jellyfish Rhizostoma pulmo collected off Goa Coast (India) as a rich source of tryptophan containing collagen and its enhanced antioxidant potential. J. Food Sci. Technol. 2023, 60, 2825–2834. [Google Scholar] [CrossRef]
- Gąsecka, M.; Mleczek, M.; Siwulski, M.; Niedzielski, P.; Kozak, L. Phenolic and Flavonoid Content in Hericium Erinaceus, Ganoderma lucidum, and Agrocybe aegerita under Selenium Addition. Acta Alim. 2016, 45, 300–308. [Google Scholar] [CrossRef]
- ISO-10993-1; Biological Evaluation of Medical Devices—Part 1: Evaluation and Testing within a Risk Management Process. International Organization for Standardisation: Geneva, Switzerland, 2018. Available online: https://www.iso.org/standard/68936.html (accessed on 24 November 2025).
- Migone, C.; Scacciati, N.; Grassiri, B.; De Leo, M.; Braca, A.; Puppi, D.; Zambito, Y.; Piras, A.M. Jellyfish Polysaccharides for Wound Healing Applications. Int. J. Mol. Sci. 2022, 23, 11491. [Google Scholar] [CrossRef] [PubMed]
- Grada, A.; Otero-Vinas, M.; Prieto-Castrillo, F.; Obagi, Z.; Falanga, V. Research Techniques Made Simple: Analysis of Collective Cell Migration Using the Wound Healing Assay. J. Investig. Dermatol. 2017, 137, 11–16. [Google Scholar] [CrossRef] [PubMed]
- Camargo, M.R.; Inacio, K.K.; Frazon, T.F.; Amôr, N.G.; Corrêa, L.E.; Costa, F.C.; Quagliato, E.N.; Rodini, C.O.; Lara, V.S. Ganoderma lucidum polysaccharides associated with 5-Fluorouracil impair OSCC tumorigenesis In Vitro. Pharmacol. Res. 2023, 9, 100310. [Google Scholar] [CrossRef]
- Badwelan, M.; Muaddi, H.; Ahmed, A.; Lee, K.T.; Tran, S.D. Oral Squamous Cell Carcinoma and Concomitant Primary Tumors, What Do We Know? A Review of the Literature. Curr. Oncol. 2023, 30, 721–3734. [Google Scholar] [CrossRef] [PubMed]
- Muralidharan, S.; Nikalje, M.; Subramaniam, T.; Koshy, J.A.; Koshy, A.V.; Bangera, D. A Narrative Review on Oral Squamous Cell Carcinoma. J. Pharm. Bioallied Sci. 2025, 17, 204–206. [Google Scholar] [CrossRef] [PubMed]
- Zhou, Y.; Wang, L.; Liu, M. Oral squamous cell carcinoma: Insights into cellular heterogeneity, drug resistance, and evolutionary trajectories. Cell Biol. Toxicol. 2025, 41, 101. [Google Scholar] [CrossRef]
- Busuricu, F.; Schroder, V.; Margaritti, D.; Nadolu, D.; Anghel, A.H. Preliminary study regarding sodium benzoate and other food dyes sinergic action using BSLA citotoxicity test. Sci. Pap. 2019, 1, 410–416. [Google Scholar]
- Epstein, J.B.; Güneri, P.; Barasch, A. Appropriate and necessary oral care for people with cancer: Guidance to obtain the right oral and dental care at the right time. Support. Care Cancer 2014, 22, 1981–1988. [Google Scholar] [CrossRef]
- Epstein, J.B.; Thariat, J.; Bensadoun, R.J.; Barasch, A.; Murphy, B.A.; Kolnick, L.; Popplewell, L.; Maghami, E. Oral complications of cancer and cancer therapy: From cancer treatment to survivorship. CA Cancer J. Clin. 2012, 62, 400–422. [Google Scholar] [CrossRef] [PubMed]
- Ho, M.W.; Field, E.A.; Field, J.K.; Risk, J.M.; Rajlawat, B.P.; Rogers, S.N.; Steele, J.C.; Triantafyllou, A.; Woolgar, J.A.; Lowe, D.; et al. Outcomes of oral squamous cell carcinoma arising from oral epithelial dysplasia: Rationale for monitoring premalignant oral lesions in a multidisciplinary clinic. Br. J. Oral. Maxillofac. Surg. 2013, 51, 594–599. [Google Scholar] [CrossRef]
- Rethman, M.P.; Carpenter, W.; Cohen, E.E.W.; Epstein, J.; Evans, C.A.; Flaitz, C.M.; Graham, F.J.; Hujoel, P.P.; Kalmar, J.R.; Koch, W.M.; et al. Evidence-based clinical recommendations regarding screening for oral squamous cell carcinomas. J. Am. Dent. Assoc. 2010, 141, 509–520. [Google Scholar] [CrossRef] [PubMed]
- Chang, C.T.; Liu, S.; Muo, C.; Tsai, C.; Huang, Y. Dental Prophylaxis and Osteoradionecrosis: A Population-Based Study. J. Dent. Res. 2017, 96, 531–538. [Google Scholar] [CrossRef]
- Reuss, J.M.; Alonso-Gamo, L.; Garcia-Aranda, M.; Reuss, D.; Albi, M.; Albi, B.; Vilaboa, D.; Vilaboa, B. Oral Mucosa in Cancer Patients—Putting the Pieces Together: A Narrative Review and New Perspectives. Cancers 2023, 15, 3295. [Google Scholar] [CrossRef] [PubMed]
- Dunnack, H.J.; Judge, M.P.; Cong, X.; Salner, A.; Duffy, V.B.; Xu, W. An Integrative Review of the Role of the Oral and Gut Microbiome in Oral Health Symptomatology During Cancer Therapy. Oncol. Nurs. Forum. 2021, 48, 317–331. [Google Scholar] [CrossRef] [PubMed]
- Bechir, A.; Sirbu, R.; Pacurar, M.; Podariu, A.C.; Monea, M.; Bechir, E.S.; Ghergic, D.L. The Effect of Collagenic Gels with Marine Algae Extracts Mixtures in the Treatment of Recurrent Aphthous Stomatitis. Rev. Chim. 2014, 65, 362–368. [Google Scholar]
- Sirbu, R.; Zaharia, T.; Maximov, V.; Bechir, A.M.; Maris, M.; Negreanu-Pirjol, B.S.; Artenie Maris, D.; Negreanu-Pirjol, T.; Leca, M.; Cadar, E. Clean bio-technologies for obtaining new pharmaceutical formulations based on collagen gels and marine algae extracts for medical applications. JEPE 2010, 11, 654–665. [Google Scholar]
- Deng, Y.; Ma, J.; Zhang, Q. Dynamic biomarkers indicate the immunological benefits provided by Ganoderma spore powder in post-operative breast and lung cancer patients. Clin. Transl. Oncol. 2021, 23, 1481–1490. [Google Scholar] [CrossRef]
- Jeitler, M.; Michalsen, A.; Frings, D.; Hubner, M.; Fischer, M.; Koppold-Liebscher, D.A. Significance of medicinal mushrooms in integrative oncology: A narrative review. Front. Pharmacol. 2020, 11, 1–13. [Google Scholar] [CrossRef]
- Pascale, C.; Sîrbu, R.; Cadar, E. Study on Nutritional Composition of Fungus Ganoderma lucidum. EJNSM 2024, 7, 107–121. [Google Scholar] [CrossRef]
- Pascale, C.; Sirbu, R.; Busuricu, F.; Cadar, E. Spectral Analysis and Phytochemical Screening of Ganoderma lucidum Mushroom Extracts. EJMNS 2024, 8, 42–52. [Google Scholar] [CrossRef]
- Li, J.; Gu, F.; Cai, C.; Hu, M.; Fan, L.; Hao, J.; Yu, G. Purification, structural characterization, and immunomodulatory activity of the polysaccharides from Ganoderma lucidum. Int. J. Biol. Macromol. 2020, 143, 806–813. [Google Scholar] [CrossRef]
- Liu, G.; Zhang, J.; Kan, Q.; Song, M.; Hou, T.; An, S.; Lin, H.; Chen, H.; Hu, L.; Xian, J.; et al. Extraction, Structural Characterization, and Immunomodulatory Activity of a High Molecular Weight Polysaccharide From Ganoderma lucidum. Front. Nutr. 2022, 9, 846080. [Google Scholar] [CrossRef]
- Sui, X.C.; Guo, Q.B.; Xia, Y.M.; Cui, S.W.; Shen, J.; Zhang, J.; Ding, Z.Y. Structure features of the intracellular polysaccharide from Ganoderma lucidum and the irrelative immune-anticancer activities of GLPs. Bioacti. Carbohydr. Diet. Fibre. 2016, 8, 43–50. [Google Scholar] [CrossRef]
- Zhong, Y.; Tan, P.; Lin, H.; Zhang, D.; Chen, X.; Pang, J.; Mu, R. A Review of Ganoderma lucidum Polysaccharide: Preparations, Structures, Physicochemical Properties and Application. Foods 2024, 13, 2665. [Google Scholar] [CrossRef] [PubMed]
- Li, L.F.; Liu, H.B.; Zhang, Q.W.; Li, Z.P.; Wong, T.L.; Fung, H.Y.; Zhang, J.X.; Bai, S.P.; Lu, A.P.; Han, Q.B. Comprehensive comparison of polysaccharides from Ganoderma lucidum and G. sinense: Chemical, antitumor, immunomodulating and gut-microbiota modulatory properties. Sci. Rep. 2018, 8, 6172. [Google Scholar] [CrossRef]
- Addad, S.; Exposito, J.Y.; Faye, C.; Ricard-Blum, S.; Lethias, C. Isolation, characterization and biological evaluation of jellyfish collagen for use in biomedical applications. Mar. Drugs 2011, 9, 967–983. [Google Scholar] [CrossRef]
- Paradiso, F.; Fitzgerald, J.; Yao, S.; Barry, F.; Taraballi, F.; Gonzalez, D.; Conlan, R.S.; Francis, L. Marine Collagen Substrates for 2D and 3D Ovarian cancer Cell Systems. Front. Bioeng. Biotechnol. 2019, 7, 343. [Google Scholar] [CrossRef] [PubMed]
- De Domenico, S.; De Rinaldis, G.; Paulmery, M.; Piraino, S.; Leone, A. Barrel Jellyfish (Rhizostoma pulmo) as Source of Antioxidant Peptides. Mar. Drugs 2019, 17, 134. [Google Scholar] [CrossRef]
- Peng, G.; Xiong, C.; Zeng, X.; Jin, Y.; Huang, W. Exploring Nutrient Profiles, Phytochemical Composition, and the Antiproliferative Activity of Ganoderma lucidum and Ganoderma leucocontextum: A Comprehensive Comparative Study. Foods 2024, 13, 614. [Google Scholar] [CrossRef]
- Ren, S.; Liu, H.; Sang, Q.; Lu, M.; Gao, Q.; Chen, W. A Review of Bioactive Components and Pharmacological Effects of Ganoderma lucidum. Food Sci. Nutr. 2025, 13, 70623. [Google Scholar] [CrossRef]
- Sheikh, I.A.; Vyas, D.; Lone, R.; Singh, V. Ganoderma lucidum and Trametes hirsuta as Potent Antioxidants in Free Radical Systems In Vitro. W. J. Pharm. Pharmaceut. Sci. 2015, 4, 1695–1710. [Google Scholar]
- Wu, T.; Xu, B. Antidiabetic and Antioxidant Activities of Eight Medicinal Mushroom Species from China. Int. J. Med. Mush. 2015, 17, 129–140. [Google Scholar] [CrossRef]
- Veljović, S.; Veljović, M.; Nikićević, N.; Despotović, S.; Radulović, S.; Nikšić, M.; Filipović, L. Chemical composition, antiproliferative and antioxidant activity of differently processed Ganoderma lucidum ethanol extracts. J. Food Sci. Technol. 2017, 54, 1312–1320. [Google Scholar] [CrossRef] [PubMed]
- Cadar, E.; Erimia, E.M.; Tomescu, C.-L.A. New Formulation with Marine Algae from Black Sea. EJMNS 2019, 2, 69–75. [Google Scholar] [CrossRef]
- Karunarathna, S.C.; Patabendige, N.M.; Hapuarachchi, K.K.; Promputtha, I. Exploring the health benefits of Ganoderma: Antimicrobial properties and mechanisms of action. Front. Cell. Infect. Microbiol. 2025, 15, 1535246. [Google Scholar] [CrossRef]
- Ahmad, M.F.; Alsayegh, A.A.; Ahmad, F.A.; Akhtar, M.S.; Alavudeen, S.S.; Bantun, F.G. lucidum: Insight into antimicrobial and antioxidant properties with development of secondary metabolites. Heliyon 2024, 10, 25607. [Google Scholar] [CrossRef] [PubMed]
- Hoque, N.; Al-Faysal, A.; Iftekhar, A.; Md, A.; Nargis, C. In Vitro antioxidant, antimicrobial and cytotoxic activities of the various extracts of Ganoderma lucidum available in Bangladesh. J. Pharmacog. Phytochem. 2015, 4, 42–46. [Google Scholar]
- Avci, E.; Avci, A.G.; Köse, D. Determination of Antioxidant and Antimicrobial Activities of Medically Important Mushrooms Using Different Solvents and Chemical Composition via GC/MS Analyses. J. Food Nutr. Res. 2014, 2, 429–434. [Google Scholar] [CrossRef][Green Version]
- Kamra, A.; Bhatt, A.B. Evaluation of antimicrobial and antioxidant activity of Ganoderma lucidum extracts against human pathogenic bacteria. Int. J. Pharm. Pharm. Sci. 2012, 4, 359–362. [Google Scholar]
- Simões, D.; Miguel, S.P.; Ribeiro, M.P.; Coutinho, P.; Mendonça, A.G.; Correia, I.J. Recent advances on antimicrobial wound dressing: A review. Eur. J. Pharm. Biopharm. 2018, 127, 130–141. [Google Scholar] [CrossRef]
- Erbiai, E.H.; Amina, B.; Kaoutar, A.; Saidi, R.; Lamrani, Z.; Pinto, E.; Esteves da Silva, J.C.G.; Maouni, A.; Pinto da Silva, L. Chemical Characterization and Evaluation of Antimicrobial Properties of the Wild Medicinal Mushroom Ganoderma lucidum Growing in Northern Moroccan Forests. Life 2023, 13, 1217. [Google Scholar] [CrossRef]
- Mojarad, F.; Alikhani, M.Y.; Daneshyar, F.; Abedi Firouzjaei, D. An Investigation of the Antibiofilm and Antibacterial Effects of Ganoderma Lucidum and Nisin Compared with Chlorhexidine Mouthwash on Streptococcus Mutans. J. Babol Univ. Med. Sci. 2025, 27, 37. [Google Scholar]
- Parameswari, B.D.; Rajakumar, M.; Hariharam, A.; Kumar, S.; Mohamed, K.; Ballal, S. Green Synthesis of Ganoderma Lucidum-Mediated Silver Nanoparticles and its Microbial Activity against Oral Pathogenic Microbes: An In Vitro Study. J. Pharm. Bioall. Sci. 2024, 16, 1456–1460. [Google Scholar] [CrossRef]
- Sridhar, S.; Sivaprakasam, E.; Balakumar, R.; Kavitha, D. Evaluation of antibacterial and antifungal activity of Ganoderma lucidum (curtis) p. karst fruit bodies extracts. World J. Sci. Technol. 2011, 1, 08–11. [Google Scholar]
- Cadar, E.; Sirbu, R.; Ibram, A.; Ionescu, A.M. Evaluation of Total Phenolic Content in Relation to Antioxidant Activity of Brown Algae Cystoseira barbata from Black Sea. Rev. Chim. 2019, 70, 2684–2689. [Google Scholar] [CrossRef]
- Fan, L.; Li, J.; Deng, K.; Ai, L. Effects of drying methods on the antioxidant activities of polysaccharides extracted from Ganoderma lucidum. Carbohydr. Polym. 2012, 87, 1849–1854. [Google Scholar] [CrossRef]
- Ma, C.-W.; Feng, M.; Zhai, X.; Hu, M.; You, L.; Luo, W.; Zhao, M. Optimization for the extraction of polysaccharides from Ganoderma lucidum and their antioxidant and antiproliferative activities. J. Taiwan. Inst. Chem. Eng. 2013, 44, 886–894. [Google Scholar] [CrossRef]
- Kang, Q.; Chen, S.; Li, S.; Wang, B.; Liu, X.; Hao, L.; Lu, J. Comparison on characterization and antioxidant activity of polysaccharides from Ganoderma lucidum by ultrasound and conventional extraction. Int. J. Biol. Macromol. 2019, 124, 1137–1144. [Google Scholar] [CrossRef] [PubMed]
- Cör, D.; Knez, Z.; Knez Hrncic, M. Antitumour, Antimicrobial, Antioxidant and Antiacetylcholinesterase Effect of Ganoderma Lucidum Terpenoids and Polysaccharides: A Review. Molecules 2018, 23, 649. [Google Scholar] [CrossRef]
- Hsieh, T.C.; Wu, J.M. Suppression of proliferation and oxidative stress by extracts of Ganoderma lucidum in the ovarian cancer cell line OVCAR-3. Int. J. Mol. Med. 2011, 28, 1065–1069. [Google Scholar] [CrossRef][Green Version]
- Smina, T.P.; Mathew, J.; Janardhanan, K.K.; Devasagayam, T.P. Antioxidant activity and toxicity profile of total triterpenes isolated from Ganoderma lucidum (Fr.) P. Karst occurring in South India. Environ. Toxicol. Pharmacol. 2011, 32, 438–446. [Google Scholar] [CrossRef]
- Smina, T.P.; De, S.; Devasagayam, T.P.; Adhikari, S.; Janardhanan, K.K. Ganoderma lucidum total triterpenes prevent radiation-induced DNA damage and apoptosis in splenic lymphocytes In Vitro. Mutat. Res. 2011, 726, 188–194. [Google Scholar] [CrossRef]
- Lu, H.M.; Uesaka, T.; Katoh, O.; Kyo, E.; Watanabe, H. Prevention of the development of preneoplastic lesions, aberrant crypt foci, by a water-soluble extract from cultured medium of Ganoderma lucidum (Rei-shi) mycelia in male F344 rats. Oncol. Rep. 2001, 8, 1341–1345. [Google Scholar] [CrossRef] [PubMed]
- Lu, H.; Kyo, E.; Uesaka, T.; Katoh, O.H.W. A water-soluble extract from cultured medium of Ganoderma lucidum (Rei-shi) mycelia suppresses azoxymethane-induction of colon cancers in male F344 rats. Oncol. Rep. 2003, 10, 375–379. [Google Scholar] [CrossRef]
- Lee, J.M.; Kwon, H.; Jeong, H.; Lee, J.W.; Lee, S.Y.; Baek, S.J.; Surh, Y.J. Inhibition of lipid peroxidation and oxidative DNA damage by Ganoderma lucidum. Phytother. Res. 2001, 15, 245–249. [Google Scholar] [CrossRef]
- XiaoPing, C.X.; Yan, C.; Shuibing, L.; You Gou, C. Free radical scavenging of Ganoderma lucidum polysaccharides and its effect on antioxidant enzymes and immunity activities in cervical carcinoma rats. Carbohydr. Polym. 2009, 77, 389–393. [Google Scholar] [CrossRef]
- Zhao, W.; Jiang, X.; Deng, W.; Lai, Y.; Wu, M.; Zhang, Z. Antioxidant activities of Ganoderma lucidum polysaccharides and their role on DNA damage in mice induced by cobalt-60 gamma-irradiation. Food Chem. Toxicol. 2012, 50, 303–309. [Google Scholar] [CrossRef]
- Prommasith, P.; Surayot, U.; Autsavapromporn, N.; Rod-in, W.; Rachtanapun, P.; Wangtueai, S. Immunomodulatory, Anticancer, and Antioxidative Activities of Bioactive Peptide Fractions from Enzymatically Hydrolyzed White Jellyfish (Lobonema smithii). Foods 2024, 13, 3350. [Google Scholar] [CrossRef]
- Khalil, E.A.; Swelim, H.; El-Tantawi, H.; Bakr, A.F.; Abdellatif, A. Characterization, cytotoxicity and antioxidant activity of sea urchins (Diadema savignyi) and jellyfish (Aurelia aurita) extracts. Egypt. J. Aquat. Res. 2022, 48, 343–348. [Google Scholar] [CrossRef]
- Dwiandhono, I.; Widodo, H.B.; Wahyono, D.J.; Ratnaningtyas, N.I.; Nawangtantrini, G.; Novrial, D.; Ashar, F. The Cytotoxic Effect of Ganoderma lucidum Ethanol Extract on KB CCL-17 Oral Cancer Cell Culture. J. Biotech. Indon. 2020, 9, 99–105. [Google Scholar] [CrossRef]
- You, B.-J.; Lee, H.-Z.; Chung, K.-R.; Lee, M.-H.; Huang, M.-J.; Tien, N.; Chan, C.-W.; Kuo, Y.-H. Enhanced Production of Ganoderic Acids and Cytotoxicity of Ganoderma lucidum Using Solid-Medium Culture. Biosci. Biotechnol. Biochem. 2012, 76, 1529–1534. [Google Scholar] [CrossRef] [PubMed]
- Xu, N.; Tian, H.; Po Fung, C.; Lin, Y.; Chen, Y.; Zhu, G.; Shen, Y.; Guo, C.; Yang, H. Inhibition of human oral squamous cell carcinoma proliferation and migration by prodrug-activating suicide gene therapies. Exp. Ther. Med. 2023, 25, 92. [Google Scholar] [CrossRef] [PubMed]
- Felician, F.F.; Yu, R.-H.; Li, M.-Z.; Li, C.-J.; Chen, H.-Q.; Jiang, Y.; Tang, T.; Qi, W.-Y.; Xu, H.-M. The wound healing potential of collagen peptides derived from the jellyfish Rhopilema esculentum. Chin. J. Traumatol. 2019, 22, 12–20. [Google Scholar] [CrossRef]
- Association of Official Analytical Chemists International (AOAC). Official Methods of Analysis of Association of Official Analytical Chemists International, 19th ed.; AOAC International: Washington, DC, USA, 2019. [Google Scholar]
- Roy, D.N.; Azad, A.; Sultana, M.F.; Anisuzzaman, A.S.M.; Khondkar, P. Nutritional profile and mineral composition of two edible mushroom varieties consumed and cultivated in Bangladesh. J. Phytopharmacol. 2015, 4, 217–220. [Google Scholar] [CrossRef]
- Singh, R.; Kaur, N.; Shri, R.; Singh, A.P.; Dhingra, G.S. Proximate composition and element contents of selected species of Ganoderma with reference to dietary intakes. Env. Monit. Assess. 2020, 192, 270. [Google Scholar] [CrossRef]
- Cadar, E.; Axinte, E.R.; Amzoiu, M.; Jurja, S.; Cherim, M. Preliminary Study on the Marine Algae from the Romanian Black Sea coast. J. Sci. Arts. 2019, 4, 989–1000. [Google Scholar]
- Albalasmeh, A.A.; Berhe, A.A.; Ghezzehei, T.A. A new method for rapid determination of carbohydrate and total carbon concentrations using UV spectrophotometr. Carbohydr. Polym. 2013, 97, 253–261. [Google Scholar] [CrossRef]
- Lowry, O.H.; Rosbrough, N.J.; Farr, A.L.; Randall, R.J. Quantitation of Protein. J. Biol. Chem. 1951, 193, 265–275. [Google Scholar] [CrossRef] [PubMed]
- Bradford, M.M. A rapid and sensitive method for the quantitation of microgram quantities of protein utilizing the principle of protein-dye binding. Anal. Biochem. 1976, 72, 248–254. [Google Scholar] [CrossRef] [PubMed]
- Percy, J.; Fife, F. The Biochemical Composition and Energy Content of Arctic Marine Macrozooplankton. Arctic 1981, 34, 307–313. [Google Scholar] [CrossRef]
- Zhang, H.L.; Cui, S.H.; Zha, X.Q.; Bansal, V.; Xue, L.; Li, X.L.; Hao, R.; Pan, L.H.; Luo, J.P. Jellyfish skin polysaccharides: Extraction and inhibitory activity on macrophage-derived foam cell formation. Carbohydr. Polym. 2014, 106, 393–402. [Google Scholar] [CrossRef] [PubMed]
- Eid, S.M.; Farag, M.A.; Bawazeer, S. Underivatized Amino Acid Chromatographic Separation: Optimized Conditions for HPLC-UV Simultaneous Quantification of Isoleucine, Leucine, Lysine, Threonine, Histidine, Valine, Methionine, Phenylalanine, Tryptophan, and Tyrosine in Dietary Supplements. ACS Omega 2022, 7, 31106–31114. [Google Scholar] [CrossRef]
- Barzideh, Z.; Latiff, A.A.; Gan, C.-Y.; Benjakul, S.; Karim, A.A. Isolation and characterisation of collagen from the ribbon jellyfish (Chrysaora sp.). Int. J. Food Sci. Technol. 2014, 49, 1490–1499. [Google Scholar] [CrossRef]
- Sidhu, J.S.; Ali, M.; Al-Rashdan, A.; Ahmed, N. Onion (Allium cepa L.) is potentially a good source of important antioxidants. J. Food Sci. Technol. 2019, 56, 1811–1819. [Google Scholar] [CrossRef] [PubMed]
- Singleton, V.L.; Orthofer, R.; Lamuela-Raventos, R.M. Analysis of total phenols and other oxidation substrates and antioxidants by means of Folin–Ciocalteau reagent. Methods Enzym. 1999, 299, 152. [Google Scholar] [CrossRef]
- Stabili, L.; Rizzo, L.; Caprioli, R.; Leone, A.; Piraino, S. Jellyfish Bioprospecting in the Mediterranean Sea: Antioxidant and Lysozyme-Like Activities from Aurelia coerulea (Cnidaria, Scyphozoa) Extracts. Mar. Drugs 2021, 19, 619. [Google Scholar] [CrossRef]
- Chang, C.-C.; Yang, M.-H.; Wen, H.-M.; Chern, J.-C. Estimation of total flavonoid content in propolis by two complementary colometric methods. J. Food Drug Analys. 2002, 10, 178–182. [Google Scholar] [CrossRef]
- Masjedi, M.; Nateghi, L.; Berenjy, S.; Eshaghi, M.R. Optimization of Extraction of Flavonoid, Total Phenolic, Antioxidant, and Antimicrobial Compounds from Ganoderma Lucidum by Maceration Method. Iran. J. Chem. Chem. Eng. 2022, 41, 3127–3140. [Google Scholar] [CrossRef]
- Tajbakhsh, S.; Ilkhani, M.; Rustaiyan, A.; Larijani, K.; Sartavi, K.; Tahmasebi, R.; Asayesh, G. Antibacterial effect of the brown alga Cystoseira trinodis. J. Med. Plants Res. 2011, 5, 4654–4657. [Google Scholar]
- Brand, W.W.; Cuvelier, M.E.; Berset, C. Use of a free radical method to evaluate antioxidant activity. Lebensm. Wiss. Technol. 1995, 28, 25–30. [Google Scholar] [CrossRef]
- Hsu, C.L.; Chen, W.; Weng, Y.M.; Tseng, C.Y. Chemical composition, physical properties and antioxidant activities of yam flours as affected by different drying methods. Food Chem. 2003, 83, 85–92. [Google Scholar] [CrossRef]














| Characteristics | 70% Ethanolic Extract of G. lucidum | Hydrogel Extract JPC from R. pulmo | ||
|---|---|---|---|---|
| G. lucidum | References | With 10% Pepsin | References | |
| Moisture % (DW) | 11.98 ± 4.34 | 12.19 ± 0.33 [46] 8.14 ± 1.12 [48] | 13.1 ± 0.10 | - |
| Ash 600–800 °C % (DW) | 2.84 ± 0.50 | 3.93 ± 0.18 [46] 2.4 ± 0.20 [49] | 0.55 ± 0.10 | - |
| Polysaccharides % (DW) | 42.80 ± 5.53 | 44.19 ± 0.17 [46] 37.33 ± 4.06 [48] 88.4 ± 0.20 [49] | 1.25 ± 0.30 W; 0.65 ± 0.25 G | - |
| Proteins % (DW) | 7.49 ± 0.56 | 8.54 ± 0.87 [48] 6.72 ± 0.04 [49] 19.5 ± 0.04 [50] | 59.48 ± 0.55 23.29 ± 0.85 B; 20 ± 1.21 OA; 17.07 ± 1.85 G | 61.80 [51] 6 W; 8.70–13.70 B; [53] 27 OA; 18 G [52] |
| Collagen content % (DW) | - | - | 55.5 ± 0.60 | 56.3 [53]; 57.1 [37] |
| Lipids % (DW) | 2.83 ± 0.18 | 2.4 ± 0.29 [46] 2.50 ± 0.02 [50] 3.00 ± 0.01 [50] | 5.20 ± 0.79 W; 1.55 ± 0.10 G | 2.3 W; [53] 4.0 ± 0.10 W; 0.80 OA; 1.20 G; [53] |
| Total dietary fiber % (DW) | 2.90 ± 0.01 | 3.5 ± 0.01 [50] | - | - |
| Monosaccharide Structures | Aqueous Extract of G. lucidum (mg/g) |
|---|---|
| Xylose | 0.41 ± 0.01 |
| Fructose | 14.50 ± 0.02 |
| Glucose | 12.91 ± 0.02 |
| Sucrose | 0.82 ± 0.01 |
| Maltose | 51.01 ± 0.01 |
| Region | Wavelength | Allocation | Wavelength from References |
|---|---|---|---|
| Aminde A | 3305.75 cm−1 | N-H stretch coupled with a hydrogen bond | 3.283cm−1 [56] |
| Amide B | 2929.41 cm−1 | CH2 asymmetric stretching | 2.934 cm−1 [56] |
| Amide I | 1651.60 cm−1 | Stretching C=O/hydrogen bond coupled with COO− | 1.647 cm−1 [39] |
| Amide II | 1539.31 cm−1 | NH bending coupled with CN stretching, CH2 bending, COO− symmetric stretching, CH2, hydrogen bonds. | 1.550 cm−1 [55] |
| Amide III | 1241.18 cm−1 | NH bending coupled with CN stretching, C-O stretching | 1.238 cm−1 [56] |
| Amino Acid Type | R. pulmo from Black Sea Coast (Residues/1000 Residues) | R. pulmo from Goa Coast, India (%) [57] |
|---|---|---|
| Essential amino acids (EAAs) | ||
| Cystine (Cys) | 1.20 | - |
| Arginine (Arg) | 6.20 | 5.63 |
| Glycine (Gly) | 33.40 | 29.34 |
| Glutamic acid (Glu) | 15.20 | 13.46 |
| Leucine (Leu) | 8.60 | 6.35 |
| Histidine (His) | 0.60 | - |
| Proline (Pro) | 3.90 | 2.97 |
| Lysine (Lys) | 6.30 | 4.62 |
| Threonine (Thr) | 5.25 | 3.18 |
| Hydroxiproline (Hyp) | 3.65 | 4.82 |
| Valine (Val) | 4.90 | 2.80 |
| Tyrosine (Tyr) | 3.90 | 1.77 |
| Triptophan (Trp) | 2.80 | 4.72 |
| Non-essential aminoacids (NEAAs) | ||
| Aspartic acid (Asp) | 6.65 | 10.91 |
| Alanine (Ala) | 6.90 | 10.38 |
| Serine (Ser) | 1.70 | - |
| TPC | TFC | ||||
|---|---|---|---|---|---|
| G. lucidum (mg GAE/g DW) | R. pulmo (μg GAE/g DW) | G. lucidum (mg QE/g DW) | |||
| 35.80 ± 0.50 | 30.916 ± 0.50 [46] | 6.58 ± 0.50 | 2.07 ± 0.50 [50] | 65.32 ± 0.50 | 34.09–38.08 [57] |
| Type | Results for GL mg/100 g DW | Results for JPC mg/100 g WW |
|---|---|---|
| p-coumaric Acid | 0.038 ± 0.02 | - |
| Vanillic Acid | 0.10 ± 0.01 | - |
| Gallic Acid | 742.08 ± 0.02 | 5.84 ± 0.02 |
| Chlorogenic Acid | 0.12 ± 0.01 | - |
| Kaempferol | 59.57 ± 0.01 | - |
| Vanillin | 0.10 ± 0.02 | - |
| Ellagic Acid | 3.78 ± 0.02 | - |
| 3-Methil-Gallic Acid | 1.56 ± 0.02 | - |
| Syringic acid | 0.40 ± 0.01 | 0.50 ± 0.009 |
| Caftaric acid | - | 0.24 ± 0.01 |
| Compound | Color | Observation |
|---|---|---|
| G. lucidum 60% ethanolic extract | yellow-brown | Liquid |
| G. lucidum 75% ethanolic extract | brown | Liquid |
| Collagen peptides from R. pulmo | white | Powder |
| Hydrogel with 3/5 parts of extract of ethanolic GL 10% and 2/5 parts extract of R. pulmo collagen peptide extract (E1) | light yellow | viscous, gelatinous texture |
| Hydrogel with 4/5 parts of 10% ethanolic GL extract and 1/5 parts of R. pulmo collagen peptide extract (E2) | light brown | viscous, gelatinous texture |
| Bacterial Strain | MIC (μg/mL) | ||
|---|---|---|---|
| G. lucidum | R. pulmo | GL-JPC Composite | |
| S. mutans | 85 ± 0.7 | 50 ± 0.5 | 86.5 ± 0.8 |
| S. aureus | 80 ± 0.5 | 75 ± 0.4 | 85 ± 0.5 |
| C. albicans | 75 ± 0.6 | 75 ± 0.2 | 75 ± 0.8 |
| E. coli | 76 ± 0.8 | 75 ± 0.3 | 77 ± 0.5 |
| P. aeruginosa | 50 ± 0.8 | 50 ± 0.6 | 52 ± 0.6 |
| P. mirabilis | 35 ± 0.8 | 25 ± 0.5 | 36 ± 0.5 |
| Viscosity ɳ (cP) Depending on Shear Speed D (s−1) | Shear Speed D (s−1) in Correlation with the Selected Rotation Speed ω (rpm) | Shear Speed D (s−1) Depending on Shear Stress τ (Pa) | Shear Stress τ (Pa) Depending on Viscosity ɳ (cP) and Shear Speed D (s−1) |
|---|---|---|---|
| ɳ = f(D) | D = ω × R | D = f(τ) | Τ = ɳ × D |
| (6) | (7) | (8) | (9) |
Disclaimer/Publisher’s Note: The statements, opinions and data contained in all publications are solely those of the individual author(s) and contributor(s) and not of MDPI and/or the editor(s). MDPI and/or the editor(s) disclaim responsibility for any injury to people or property resulting from any ideas, methods, instructions or products referred to in the content. |
© 2026 by the authors. Licensee MDPI, Basel, Switzerland. This article is an open access article distributed under the terms and conditions of the Creative Commons Attribution (CC BY) license.
Share and Cite
Pascale, C.; Burcea, A.; Bogdan-Andreescu, C.F.; Cadar, E.; Popescu, A.; Negreanu-Pirjol, T.; Busuricu, F.; Pesterau, A.-M.; Rosca, A.C.; Sirbu, R. Characterization of a New Biocomposite Based on Bioactive Compounds from Ganoderma lucidum and Jellyfish Collagen Destined for In Vitro Evaluation of Antitumor Effects in the Oral Cavity. Pharmaceuticals 2026, 19, 108. https://doi.org/10.3390/ph19010108
Pascale C, Burcea A, Bogdan-Andreescu CF, Cadar E, Popescu A, Negreanu-Pirjol T, Busuricu F, Pesterau A-M, Rosca AC, Sirbu R. Characterization of a New Biocomposite Based on Bioactive Compounds from Ganoderma lucidum and Jellyfish Collagen Destined for In Vitro Evaluation of Antitumor Effects in the Oral Cavity. Pharmaceuticals. 2026; 19(1):108. https://doi.org/10.3390/ph19010108
Chicago/Turabian StylePascale, Carolina, Alexandru Burcea, Claudia Florina Bogdan-Andreescu, Emin Cadar, Antoanela Popescu, Ticuta Negreanu-Pirjol, Florica Busuricu, Ana-Maria Pesterau, Adrian Cosmin Rosca, and Rodica Sirbu. 2026. "Characterization of a New Biocomposite Based on Bioactive Compounds from Ganoderma lucidum and Jellyfish Collagen Destined for In Vitro Evaluation of Antitumor Effects in the Oral Cavity" Pharmaceuticals 19, no. 1: 108. https://doi.org/10.3390/ph19010108
APA StylePascale, C., Burcea, A., Bogdan-Andreescu, C. F., Cadar, E., Popescu, A., Negreanu-Pirjol, T., Busuricu, F., Pesterau, A.-M., Rosca, A. C., & Sirbu, R. (2026). Characterization of a New Biocomposite Based on Bioactive Compounds from Ganoderma lucidum and Jellyfish Collagen Destined for In Vitro Evaluation of Antitumor Effects in the Oral Cavity. Pharmaceuticals, 19(1), 108. https://doi.org/10.3390/ph19010108

