Sign in to use this feature.

Years

Between: -

Subjects

remove_circle_outline
remove_circle_outline
remove_circle_outline
remove_circle_outline
remove_circle_outline
remove_circle_outline
remove_circle_outline
remove_circle_outline
remove_circle_outline

Journals

Article Types

Countries / Regions

Search Results (77)

Search Parameters:
Keywords = micro-scale CFD

Order results
Result details
Results per page
Select all
Export citation of selected articles as:
15 pages, 861 KB  
Article
Propane Ignition Characteristics in a Pt-Catalyzed Microreactor for SOFC Preheating: A Numerical Study of Catalyst Activity Effects
by Zhulong Wang, Zhen Wang, Zhifang Miao, Lili Ma, Weiqiang Xu, Zunmin Li, Zhiyuan Yang and Guohe Jiang
Batteries 2025, 11(11), 390; https://doi.org/10.3390/batteries11110390 - 23 Oct 2025
Viewed by 37
Abstract
Leveraging catalytic microreactors as compact yet powerful thermal sources represents a promising approach to enable rapid and reliable startup of small-scale solid oxide fuel cell (SOFC) systems. In the present study, the homogeneous–heterogeneous (HH) combustion behavior of a propane/air mixture in a Pt-catalyzed [...] Read more.
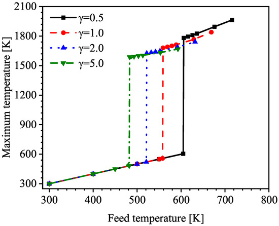
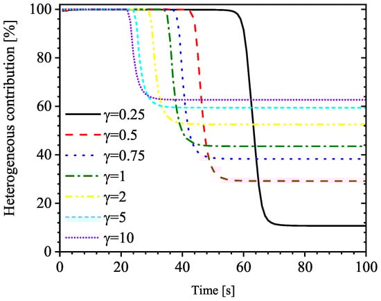
Leveraging catalytic microreactors as compact yet powerful thermal sources represents a promising approach to enable rapid and reliable startup of small-scale solid oxide fuel cell (SOFC) systems. In the present study, the homogeneous–heterogeneous (HH) combustion behavior of a propane/air mixture in a Pt-catalyzed microreactor is investigated using two-dimensional computational fluid dynamic (CFD) simulations. The catalytic reaction kinetics model is integrated into the general module of ANSYSY Fluent via a user-defined function (UDF) interface. By varying the surface area factor, the ignition characteristics of the propane/air mixture under different catalyst activities are systematically explored. Numerical results reveal that the relative catalyst activity range of 0–2 represents a sensitive region for propane/air ignition characteristics, characterized by a 541 K decrease in ignition temperature and a 50% reduction in ignition delay time. Nevertheless, further increases in relative catalyst activity from 2 to 10, yield a much smaller reduction—64 K in ignition temperature and 6.7 s in ignition delay time—indicating a weakly responsive regime. The relative contribution of the heterogeneous reaction (HTR) to the total heat release decreases with higher feed temperatures but increases with enhanced catalyst activity. Regarding the temporal evolution of HTR contribution, the initiation of homogeneous ignition undermines the dominance of HTR contribution. Irrespective of catalytic activity levels, the relative contributions of the two reaction pathways subsequently undergo dynamic redistribution and ultimately stabilize, reaching an equilibrium state within approximately 10 s. These findings provide critical insights into the role of catalyst activity in propane/air mixture ignition and the interplay between homogeneous and heterogeneous reactions in microscale combustion systems. Full article
(This article belongs to the Special Issue Challenges, Progress, and Outlook of High-Performance Fuel Cells)
Show Figures

Figure 1

19 pages, 3815 KB  
Article
An Empirical Study on the Optimization of Building Layout in the Affected Space of Ventilation Corridors—Taking Shijiazhuang as an Example
by Shuo Zhang, Shanshan Yang, Xiaoyi Fang, Chen Cheng, Jing Chen, Tao Bian and Ying Yu
Appl. Sci. 2025, 15(17), 9783; https://doi.org/10.3390/app15179783 - 5 Sep 2025
Viewed by 1907
Abstract
This article focuses on how to further explore the impact of building layout and form on the local wind environment in micro scale ventilation corridors connected to the urban scale. Taking Shijiazhuang as the research area, three typical blocks of complex building forms, [...] Read more.
This article focuses on how to further explore the impact of building layout and form on the local wind environment in micro scale ventilation corridors connected to the urban scale. Taking Shijiazhuang as the research area, three typical blocks of complex building forms, including old and new ones, were selected near the built ventilation corridors. CFD numerical simulation and on-site observation experiments were conducted to analyze the impact of different building heights and layouts on the wind environment in each typical block qualitatively and quantitatively. The above can provide a reference and guidance for the construction of secondary and tertiary ventilation corridors and the spatial form design of functional buildings during urban renewal in the stock era. The results show the following: (1) average wind speed, Mean Wind Velocity ratio, and the proportion of the outdoor pedestrian comfort zone are negatively correlated with the building height, but there is a threshold for them to decrease with the increase in the building height. Observation experiments also indicate that in the background of the south wind, the internal and leeward wind environment of new high-rise residential areas is better than that of old low residential areas. (2) Regression analysis was conducted between the simulated average wind speed and the building height, indicating that regulating the average building height to be below 45 m can improve the wind environment as the building height decreases. (3) The enclosed building complex has the smallest impact distance on downstream wind speed compared to point, row, and staggered layouts, but its internal ventilation environment is relatively poor. To ensure the ventilation performance, the upper limit of the building height should be stricter, and it should be controlled within at least 40 m, especially below 30 m. (4) In the process of urban renewal in the future, it is recommended to conduct an overall ventilation efficiency evaluation for different blocks. Compared to others, increasing the height of buildings and leaving more space to increase the inter site ratio/building spacing is more beneficial for the overall ventilation environment. Full article
Show Figures

Figure 1

21 pages, 2974 KB  
Article
Development of a Cavitation Indicator for Prediction of Failure in Pump-As-Turbines Using Numerical Simulation
by Maciej Janiszkiewicz and Aonghus McNabola
Energies 2025, 18(16), 4253; https://doi.org/10.3390/en18164253 - 11 Aug 2025
Viewed by 555
Abstract
The increasing deployment of pumps-as-turbines in small-scale hydropower applications in off-design conditions strengthens the need for the monitoring of the operation and maintenance (O&M) needs. PATs (pumps-as-turbines, pumps operated in reverse to generate electric current) are increasingly used because of their low cost [...] Read more.
The increasing deployment of pumps-as-turbines in small-scale hydropower applications in off-design conditions strengthens the need for the monitoring of the operation and maintenance (O&M) needs. PATs (pumps-as-turbines, pumps operated in reverse to generate electric current) are increasingly used because of their low cost as micro-hydropower plants; however, limited research has focused on their maintenance needs during operation. This is an important consideration given their use under conditions for which they were not originally designed. One of the most challenging O&M issues in hydromachinery is cavitation, which can harm turbines and reduce their efficiency. In this study, Computational Fluid Dynamics (CFD) was used for 15 different simulations of PAT configurations and their cavitation behaviour was investigated under varying inlet pressure and mass flow conditions. A cavitation strength indicator was developed using linear regression, describing the strength of cavitation from 0 (no cavitation) to 100 (extreme cavitation). This parameter depends on mass flow rate and head, which are easily measured parameters using standard sensors. With this approach, it is possible to monitor cavitation status in a continuous manner in a working PAT without the need for complex sensors. With this application, it is also possible to avoid costly damage, shutting down turbines when cavitation strength is exceptionally high. Full article
(This article belongs to the Special Issue Optimization Design and Simulation Analysis of Hydraulic Turbine)
Show Figures

Figure 1

14 pages, 38692 KB  
Article
Development of a Microscale Urban Airflow Modeling System Incorporating Buildings and Terrain
by Hyo-Been An and Seung-Bu Park
Atmosphere 2025, 16(8), 905; https://doi.org/10.3390/atmos16080905 - 25 Jul 2025
Viewed by 486
Abstract
We developed a microscale airflow modeling system with detailed building and terrain data to better understand the urban microclimate. Building shapes and heights, and terrain elevation data were integrated to construct a high-resolution urban surface geometry. The system, based on computational fluid dynamics [...] Read more.
We developed a microscale airflow modeling system with detailed building and terrain data to better understand the urban microclimate. Building shapes and heights, and terrain elevation data were integrated to construct a high-resolution urban surface geometry. The system, based on computational fluid dynamics using OpenFOAM, can resolve complex flow structures around built environments. Inflow boundary conditions were generated using logarithmic wind profiles derived from Automatic Weather System (AWS) observations under neutral stability. After validation with wind-tunnel data for a single block, the system was applied to airflow modeling around a university campus in Seoul using AWS data from four nearby stations. The results demonstrated that the system captured key flow characteristics such as channeling, wake, and recirculation induced by complex terrain and building configurations. In particular, easterly inflow cases with high-rise buildings on the leeward side of a mountain exhibited intensified wakes and internal recirculations, with elevated centers influenced by tall structures. This modeling framework, with further development, could support diverse urban applications for microclimate and air quality, facilitating urban resilience. Full article
(This article belongs to the Section Atmospheric Techniques, Instruments, and Modeling)
Show Figures

Figure 1

19 pages, 4122 KB  
Article
Fluid Dynamics Analysis of Flow Characteristics in the Clearance of Hydraulic Turbine Seal Rings
by Leilei Chen, Wenhao Wu, Jian Deng, Bing Xue, Liuming Xu, Baosheng Xie and Yuchuan Wang
Energies 2025, 18(14), 3726; https://doi.org/10.3390/en18143726 - 14 Jul 2025
Viewed by 473
Abstract
The hydraulic turbine serves as the cornerstone of hydropower generation systems, with the sealing system’s performance critically influencing energy conversion efficiency and operational cost-effectiveness. The sealing ring is a pivotal component, which mitigates leakage and energy loss by regulating flow within the narrow [...] Read more.
The hydraulic turbine serves as the cornerstone of hydropower generation systems, with the sealing system’s performance critically influencing energy conversion efficiency and operational cost-effectiveness. The sealing ring is a pivotal component, which mitigates leakage and energy loss by regulating flow within the narrow gap between itself and the frame. This study investigates the intricate flow dynamics within the gap between the sealing ring and the upper frame of a super-large-scale Francis turbine, with a specific focus on the rotating wall’s impact on the flow field. Employing theoretical modeling and three-dimensional transient computational fluid dynamics (CFD) simulations grounded in real turbine design parameters, the research reveals that the rotating wall significantly alters shear flow and vortex formation within the gap. Tangential velocity exhibits a nonlinear profile, accompanied by heightened turbulence intensity near the wall. The short flow channel height markedly shapes flow evolution, driving the axial velocity profile away from a conventional parabolic pattern. Further analysis of rotation-induced vortices and flow instabilities, supported by turbulence kinetic energy monitoring and spectral analysis, reveals the periodic nature of vortex shedding and pressure fluctuations. These findings elucidate the internal flow mechanisms of the sealing ring, offering a theoretical framework for analyzing flow in microscale gaps. Moreover, the resulting flow field data establishes a robust foundation for future studies on upper crown gap flow stability and sealing ring dynamics. Full article
(This article belongs to the Special Issue Optimization Design and Simulation Analysis of Hydraulic Turbine)
Show Figures

Figure 1

18 pages, 1467 KB  
Article
Volume of Fluid (VOF) Method as a Suitable Method for Studying Droplet Formation in a Microchannel
by Felipe Santos Paes da Silva and Paulo Noronha Lisboa-Filho
Micromachines 2025, 16(7), 757; https://doi.org/10.3390/mi16070757 - 27 Jun 2025
Cited by 1 | Viewed by 1003
Abstract
Microfluidics is a rapidly advancing field focused on optimizing microdevices for applications such as organ-on-a-chip systems and enhancing laboratory analyses. Understanding the physical parameters of droplet generation is crucial for these devices. Computational fluid dynamics (CFD) techniques are essential for providing insights into [...] Read more.
Microfluidics is a rapidly advancing field focused on optimizing microdevices for applications such as organ-on-a-chip systems and enhancing laboratory analyses. Understanding the physical parameters of droplet generation is crucial for these devices. Computational fluid dynamics (CFD) techniques are essential for providing insights into the limitations and efficiency of numerical methods for studying fluid dynamics and improving our understanding of various application conditions. However, the influence of different numerical methods on the analysis of physical parameters in problems involving droplet generation in microchannels remains an area of ongoing research. This study implements the Volume of Fluid (VOF) method to investigate key physical parameters, including droplet size and the effect of the capillary number on fluid regimes, in droplet generation within a microchannel featuring a T-junction geometry. We compare the VOF method with the widely used Level Set Method (LSM) to evaluate its suitability for this context. The results show that the VOF method agrees with the LSM in fundamental outcomes, such as the reduction in droplet diameter as the flow rate ratio increases and the identification of the capillary number’s influence on fluid regime classification. The VOF method provides a clearer understanding of transitions between fluid regimes by detecting stages of non-uniformity in droplet size. It identifies a transition region between regimes with variations in droplet size, proving to be effective at mapping fluid flow regimes. This study highlights the potential of the VOF method in offering more detailed insights into instabilities and transitions between fluid regimes at the microscale. Full article
Show Figures

Figure 1

25 pages, 6353 KB  
Article
CFD and Experimental Comparison for Micro-Pump Performance in Space Applications: A Case Study
by Oana Dumitrescu, Cristian Dobromirescu, Valeriu Dragan, Ionut Sebastian Vintila and Radu Mihalache
Appl. Sci. 2025, 15(12), 6623; https://doi.org/10.3390/app15126623 - 12 Jun 2025
Viewed by 717
Abstract
This paper presents a case study comparing CFD predictions with experimental measurements for micropumps, with the goal of evaluating the accuracy and limitations of CFD methods in complex microscale geometries. A fast design and evaluation methodology was developed, integrating linear design, 3D fully [...] Read more.
This paper presents a case study comparing CFD predictions with experimental measurements for micropumps, with the goal of evaluating the accuracy and limitations of CFD methods in complex microscale geometries. A fast design and evaluation methodology was developed, integrating linear design, 3D fully viscous CFD-based optimization, and rapid prototyping and testing. The main problem at this scale and configuration of pumps is the combination of Reynolds and Taylor numbers. Their impact on labyrinth performance prediction and therefore volumetric efficiency dominates the losses at this scale. Multiple CFD simulations were conducted using various turbulence models and solver settings, and results were compared against experimental data. The labyrinth region was simulated both independently and as part of the full pump assembly, with RANS and LES used for the former and RANS for the latter. Precision 3D-printed rotors and volutes were tested, and performance maps were obtained. Significant discrepancies between CFD and experiments were observed, which were reconciled using two empirical scaling coefficients for pressure and mass flow. These collapsed the CFD predictions onto the experimental data across all available speedlines. While the generalizability of these coefficients remains uncertain, the concept of using corrected scales, rather than other methods, seems to capture the macroscopic discrepancies between CFD and experiments. Full article
Show Figures

Figure 1

14 pages, 3883 KB  
Article
Numerical Optimization of Laser Powder Bed Fusion Process Parameters for High-Precision Manufacturing of Pure Molybdenum
by İnayet Burcu Toprak, Nafel Dogdu and Metin Uymaz Salamci
Appl. Sci. 2025, 15(10), 5485; https://doi.org/10.3390/app15105485 - 14 May 2025
Viewed by 957
Abstract
This study presents a comprehensive numerical investigation of the Laser Powder Bed Fusion (LPBF) process for pure molybdenum, focusing on high-precision modeling and process optimization. The powder spreading behavior is simulated using the Discrete Element Method (DEM), while molten pool dynamics are analyzed [...] Read more.
This study presents a comprehensive numerical investigation of the Laser Powder Bed Fusion (LPBF) process for pure molybdenum, focusing on high-precision modeling and process optimization. The powder spreading behavior is simulated using the Discrete Element Method (DEM), while molten pool dynamics are analyzed through Computational Fluid Dynamics (CFD). Optimization of process parameters is performed using FLOW-3D Release 7 software in conjunction with the HEEDS-SHERPA algorithm. A total of 247 simulations are conducted to assess the effects of four critical parameters: laser power (50–400 W), scanning speed (80–300 mm/s), laser spot diameter (40–100 µm), and powder layer thickness (50–100 µm). The optimal parameter set—350 W laser power, 120 mm/s scanning speed, 50 µm spot diameter, and 50 µm layer thickness—results in an 80% laser absorption rate, a 60% reduction in micro-porosity, and over a 30% enhancement in both molten pool volume and surface area. Utilizing a fine 10 µm mesh resolution enables detailed insights into temperature gradients and phase transition behavior. The findings highlight that optimized parameter selection significantly improves the structural integrity of Mo-based components while minimizing manufacturing defects, thus offering valuable guidance for advancing industrial-scale additive manufacturing of refractory metals. Full article
(This article belongs to the Section Additive Manufacturing Technologies)
Show Figures

Figure 1

27 pages, 8076 KB  
Article
Identification and Diagnosis of Wind Health-Vulnerable Spaces in High-Rise Residential Areas of Xi’an
by Jiewen Chen, Siqing Ma, Yuan Meng, Yu Liu and Juan Ren
Buildings 2025, 15(9), 1538; https://doi.org/10.3390/buildings15091538 - 2 May 2025
Cited by 1 | Viewed by 767
Abstract
As urbanization accelerates, high-rise residential areas (HRRAs) have become a dominant urban housing typology. However, their complex building layouts significantly alter local wind environments, potentially impacting residents’ health. While existing studies mainly focus on macro-scale wind analysis, there is limited exploration of the [...] Read more.
As urbanization accelerates, high-rise residential areas (HRRAs) have become a dominant urban housing typology. However, their complex building layouts significantly alter local wind environments, potentially impacting residents’ health. While existing studies mainly focus on macro-scale wind analysis, there is limited exploration of the micro-environmental interactions between wind conditions and human activities. This study proposes the concept of Wind Health-Vulnerable Space (WHVS) and addresses the following scientific question: How do building layouts affect local wind fields and influence pollutant accumulation and health risks, particularly for air pollutants like PM2.5 (particulate matter with an aerodynamic diameter of 2.5 μm or less), which is closely associated with adverse respiratory and cardiovascular health outcomes? To investigate this, a multidimensional framework integrating computational fluid dynamics (CFD) simulations with point-of-interest (POI) data was developed to identify and diagnose these spaces. Case studies of two typical HRRAs in Xi’an, China, reveal two types of WHVSs: (1) localized calm zones between buildings (wind speed < 0.5 m/s, pressure −0.5 to 3 Pa), where PM2.5 concentrations are 25–30% higher than surrounding areas; and (2) large-scale weak wind areas in enclosed layouts (wind speed < 0.5 m/s, pressure −1 to −2 Pa), with PM2.5 concentrations increased by 28–35%. The results highlight a dual mechanism in the formation of vulnerable spaces: wind field disturbances caused by building layout and the overlay effect of human activity distribution. This framework offers new insights and scientific support for health-oriented urban planning and building layout optimization. Full article
Show Figures

Figure 1

18 pages, 14349 KB  
Article
Numerical Simulation of the Lubrication Performance of the Stator and Rotor Friction Pair Surface Rhombus-like Texture in Screw Pumps
by Xiangzhi Shi, Xinfu Liu, Chunhua Liu, Zhongxian Hao, Shouzhi Huang, Yi Sun and Xinglong Niu
Lubricants 2025, 13(4), 157; https://doi.org/10.3390/lubricants13040157 - 2 Apr 2025
Cited by 2 | Viewed by 736
Abstract
To address wear failure in screw pump stator and rotor friction pairs, this study constructed a numerical model of a rhombus-like micro-dimple texture on friction pair surfaces based on the scale structure of rhombus rattlesnakes. The model was based on the fluid dynamic [...] Read more.
To address wear failure in screw pump stator and rotor friction pairs, this study constructed a numerical model of a rhombus-like micro-dimple texture on friction pair surfaces based on the scale structure of rhombus rattlesnakes. The model was based on the fluid dynamic pressure lubrication mechanism. The CFD method was used to calculate the bearing capacity, friction coefficient, flow field pressure distribution, and flow trace distribution of an oil film carrying surface. The effects of the area rate, depth, shape, and angle of the rhombus-like dimple texture and the actual well fluid viscosity of shale oil on the surface lubrication performance of screw pump stator and rotor friction pairs were analyzed. The results demonstrated that increasing the texture area rate and the angle of the long sides and decreasing the texture angle resulted in a decrease in the oil film surface friction coefficient and an increase in the average pressure and net bearing capacity as well as the hydrodynamic lubrication performance. The average pressure increased and then decreased as the texture depth increased, while the friction coefficient of the oil film surface initially decreased and then increased. At a texture depth of 20 μm, the friction coefficient reached its lowest value while the average pressure and net bearing capacity of the oil film reached their highest value, which resulted in optimal hydrodynamic lubrication performance. When the texture depth became greater than 20 μm, vortices were gradually formed within the texture, which decreased the hydrodynamic lubrication performance. When the area rate of the rhombus-like dimple texture, depth, angle between long sides, and angle were, respectively, equal to 27%, 20 μm, 74°, and 0°, the net bearing capacity of the oil film was maximized, the friction coefficient was minimized, and the hydrodynamic lubrication performance and anti-wear effect reached their highest values. The increase in the viscosity of the actual well fluid could enhance the dynamic pressure lubrication performance and improve the bearing capacity. Full article
(This article belongs to the Special Issue Tribology of Textured Surfaces)
Show Figures

Figure 1

35 pages, 8688 KB  
Article
Wind Field Simulation and Its Impacts on Athletes’ Performance, Based on the Computational Fluid Dynamics Method: A Case Study of the National Sliding Centre of the Beijing 2022 Winter Olympics
by Hongyuan Huo, Zhaofang Wang, Lingying Zhou, Zhansheng Liu and Mincheng Tu
Appl. Sci. 2025, 15(7), 3685; https://doi.org/10.3390/app15073685 - 27 Mar 2025
Viewed by 594
Abstract
The wind field plays an important role in the maintenance of large sport venues. Most wind field simulation research involves no quantitative analysis of the impacts of the wind environment on athletes’ safety and performance. Taking the National Sliding Centre (NSC) of the [...] Read more.
The wind field plays an important role in the maintenance of large sport venues. Most wind field simulation research involves no quantitative analysis of the impacts of the wind environment on athletes’ safety and performance. Taking the National Sliding Centre (NSC) of the Beijing 2022 Winter Olympics as the research object, this paper conducts a wind field simulation study based on CFD, and innovatively explores the quantitative impact of building-scale wind environment characteristics on micro-athletes’ wind resistance and performance for the first time. First, an NSC model and a human body model of athletes are constructed and simplified. Grid independence verification is carried out, and the grid is divided and optimized. Second, wind environment simulation under different climatic conditions is completed, based on CFD technology. The defined wind speed dispersion indexes are calculated. The characteristics of the wind field outside the venue is quantitatively analyzed. Third, we define and calculate the main influencing parameters on athletes’ competition performance. The impacts of the wind field on micro-athletes’ performance are quantified. With a gradual increase in wind level (3.125, 3.5, 4.5, 5.5, 6.5, 7.5, 8.229), the optimized sliding route can reduce the air resistance by 0.2607 N, 0.3415 N, 0.4600 N, 0.6469 N, 0.9283 N, 1.1741 N, and 1.4535 N, which can improve the athletes’ competition results by 0.02 s, 0.03 s, 0.04 s, 0.06 s, 0.09 s, 0.11 s, and 0.14 s, respectively. This paper provides methodological support for exploring the mechanism of athlete performance from the perspective of a building-scale environment. Full article
Show Figures

Figure 1

17 pages, 7826 KB  
Article
Evaluating the Spatial Coverage of Air Quality Monitoring Stations Using Computational Fluid Dynamics
by Giannis Ioannidis, Paul Tremper, Chaofan Li, Till Riedel, Nikolaos Rapkos, Christos Boikos and Leonidas Ntziachristos
Atmosphere 2025, 16(3), 326; https://doi.org/10.3390/atmos16030326 - 12 Mar 2025
Cited by 1 | Viewed by 1211
Abstract
Densely populated urban areas often experience poor air quality due to high levels of anthropogenic emissions. The population is frequently exposed to harmful gaseous and particulate pollutants, which are directly linked to various health issues, including respiratory diseases. Accurately assessing and predicting pollutant [...] Read more.
Densely populated urban areas often experience poor air quality due to high levels of anthropogenic emissions. The population is frequently exposed to harmful gaseous and particulate pollutants, which are directly linked to various health issues, including respiratory diseases. Accurately assessing and predicting pollutant concentrations within urban areas is therefore crucial. This study developed a computational fluid dynamic (CFD) model designed to capture turbulence effects that influence pollutant dispersion in urban environments. The focus was on key pollutants commonly associated with vehicular emissions, such as carbon monoxide (CO), nitrogen oxides (NOx), volatile organic compounds (VOCs), and particulate matter (PM). The model was applied to the city of Augsburg, Germany, to simulate pollutant behavior at a microscale level. The primary objectives were twofold: first, to accurately predict local pollutant concentrations and validate these predictions against measurement data; second, to evaluate the representativeness of air quality monitoring stations in reflecting the broader pollutant distribution in their vicinity. The approach presented here has demonstrated that when focusing on an area within a specific radius of an air quality station, the representativeness ranges between 10% and 16%. On the other hand, when assessing the representativeness across the street of deployment, the spatial coverage of the sensor ranges between 23% and 80%. This analysis highlights that air quality stations primarily capture pollution levels from high-activity areas directly across their deployment site, rather than reflecting conditions in nearby lower-activity zones. This approach ensures a more comprehensive understanding of urban air pollution dynamics and assesses the reliability of air quality (AQ) monitoring stations. Full article
(This article belongs to the Special Issue Emerging Technologies for Observation of Air Pollution (2nd Edition))
Show Figures

Figure 1

15 pages, 74958 KB  
Article
Hybridization of a Micro-Scale Savonius Rotor Using a Helical Darrieus Rotor
by Martin Moreno, Iván Trejo-Zúñiga, Jesús Terrazas, Arturo Díaz-Ponce and Andrés Pérez-Terrazo
Fluids 2025, 10(3), 63; https://doi.org/10.3390/fluids10030063 - 6 Mar 2025
Cited by 1 | Viewed by 2899
Abstract
This study presents a micro-scale hybrid wind turbine that integrates a Savonius rotor with a Helical Darrieus rotor, aiming to enhance energy conversion efficiency and adaptability for decentralized renewable energy generation. The hybrid design leverages the high torque generation of the Savonius rotor [...] Read more.
This study presents a micro-scale hybrid wind turbine that integrates a Savonius rotor with a Helical Darrieus rotor, aiming to enhance energy conversion efficiency and adaptability for decentralized renewable energy generation. The hybrid design leverages the high torque generation of the Savonius rotor and the aerodynamic efficiency of the Helical Darrieus rotor. Computational analyses using CFD simulations and experimental validation with a 3D-printed prototype in a closed wind tunnel were conducted at speeds ranging from 3 to 8 m/s. The results demonstrate that the hybrid turbine achieves a power coefficient of 0.26 at an optimal tip-speed ratio of 2.7, marking a 180% improvement over standalone Savonius rotors. The hybridization process mitigates the low-speed inefficiencies of the Savonius rotor. It compensates for the high-speed limitations of the Darrieus rotor, resulting in a turbine capable of operating efficiently over a wider range of wind speeds. This balanced integration maximizes energy harvesting and improves adaptability to varying wind conditions, achieving balanced and synergistic performance. Full article
(This article belongs to the Special Issue CFD Applications in Environmental Engineering)
Show Figures

Figure 1

20 pages, 6019 KB  
Article
Experimental Measurements of Wind Flow Characteristics on an Ellipsoidal Vertical Farm
by Simeng Xie, Pedro Martinez-Vazquez and Charalampos Baniotopoulos
Buildings 2024, 14(11), 3646; https://doi.org/10.3390/buildings14113646 - 16 Nov 2024
Cited by 2 | Viewed by 1252
Abstract
The rise of high-rise vertical farms in cities is helping to mitigate urban constraints on crop production, including land, transportation, and yield requirements. However, separate issues arise regarding energy consumption. The utilisation of wind energy resources in high-rise vertical farms is therefore on [...] Read more.
The rise of high-rise vertical farms in cities is helping to mitigate urban constraints on crop production, including land, transportation, and yield requirements. However, separate issues arise regarding energy consumption. The utilisation of wind energy resources in high-rise vertical farms is therefore on the agenda. In this study, we investigate the aerodynamic performance of an ellipsoidal tall building with large openings to determine, on the one hand, the threshold income wind that could impact human comfort, and on the other, the turbulence intensity at specific locations on the roof and façade where micro-wind turbines could operate. To this end, we calculate the wind pressure coefficient and turbulence intensity of two scale models tested within a wind tunnel facility and compare the results with a separate CFD simulation completed in the past. The results confirm that the wind turbines installed on the building façade at a height of at least z/h = 0.725 can operate properly when the inlet wind speed is greater than 7 m/s. Meanwhile, the wind regime on the roof is more stable, which could yield higher energy harvesting via wind turbines. Furthermore, we observe that the overall aerodynamic performance of the models tested best under wind flowing at angles of 45° and 60° with respect to their centreline, whereas the turbulence at the wind envelope compares to that of the free wind flow at roof height. Full article
(This article belongs to the Special Issue Wind Load Effects on High-Rise and Long-Span Structures: 2nd Edition)
Show Figures

Figure 1

17 pages, 35159 KB  
Article
Comparative Study of CALPUFF and CFD Modeling of Toxic Gas Dispersion in Mountainous Environments
by Mei Li, Choho Lo, Dongou Yang, Yuanchen Li and Zhe Li
Atmosphere 2024, 15(11), 1370; https://doi.org/10.3390/atmos15111370 - 14 Nov 2024
Cited by 1 | Viewed by 2141
Abstract
Verifying the pattern of toxic gas dispersion simulations under mountainous conditions is vital for emergency response and rescue. In this study, a comparative analysis is conducted between CALPUFF (California Puff Model) and CFD (Computational Fluid Dynamics) gas dispersion modeling focusing on the range [...] Read more.
Verifying the pattern of toxic gas dispersion simulations under mountainous conditions is vital for emergency response and rescue. In this study, a comparative analysis is conducted between CALPUFF (California Puff Model) and CFD (Computational Fluid Dynamics) gas dispersion modeling focusing on the range of Semi-Lethal Concentration (LC50) and Immediate Danger to Life and Health Concentration (IDLH). To identify general dispersion patterns, a hypothetical pipeline breakout accident in a mountainous area is simulated and thirteen groups of simulation conditions are set up for the experiments, including calm wind (velocity less than 0.5 m/s) and winds from the east (E), south (S), west (W), and north (N) at velocities of 1, 2, and 3 m/s with a 1 arc-second degree SRTM data as terrain data. Comparative experiments show the diffusion patterns of the two models are essentially consistent, and the overall dispersion range deviation between two methods is within 266 m. The evaluation of CALPUFF’s adaptability for microscale mountainous environments indicates its potential use for high-sulfur gas fields and gas dispersion simulations in emergency scenarios. Full article
Show Figures

Figure 1

Back to TopTop