An Empirical Study on the Optimization of Building Layout in the Affected Space of Ventilation Corridors—Taking Shijiazhuang as an Example
Abstract
1. Introduction
2. Study Area
3. Data and Methods
3.1. Data
- The Map of Ventilation Corridor Planning and Climate Recommendations of Shijiazhuang Metropolitan Area is the achievement of the Ventilation Corridor Delineation and Management Planning Study project, which is adopted from Shijiazhuang Master Plan Revision (2017–2030) [30]. It is used to identify representative study areas, assess local climatic environments, and select typical blocks.
- Building data is acquired from the 1:2000 topographic map data of 2017 in Shijiazhuang metropolitan area, which composed information on the number of building floors and their location. It was used to estimate the building coverage ratios and building heights based on GIS spatial analysis techniques. This data is provided by the Shijiazhuang Municipal Institute of Territorial Spatial Planning and Design. It is used for constructing 3D models of buildings, analyzing building spatial morphology, and extracting building parameters, including average building height, floor area ratio, building layout, and other urban spatial form parameters.
- Meteorological Data (1981–2010) is from representative National meteorological observation stations in Shijiazhuang. It is used to set initial meteorological conditions for simulations. The average wind speed is 1.7 m·s−1, and the local prevailing wind direction along the ventilation corridor is west–northwest (WNW). The other meteorological data is minute-by-minute observation data from DZB4-XVSB portable stations at the three typical blocks. It is used for the observational analysis of the impacts on wind environment.
3.2. Research Methods
3.2.1. Simulation Analysis Method for Building Impact on Ventilation Environment
3.2.2. Observational Analysis Method for Building Impact on Ventilation Environment
- Observation Sites:
- Observation time:
- Observation Parameters:
- Observation instruments:
3.2.3. Wind Environment Evaluation Standards and Methods
- Average Wind Speed
- Mean Wind Velocity Ratio
- Proportion of Outdoor Comfortable Wind Zones
3.2.4. Correlation Analysis Methods for Building Parameters and Wind Speed
4. Results and Analysis
4.1. Impact of Building Height on Wind Environment
4.1.1. Simulation Analysis of the Impact of Different Building Heights
- Characteristics of wind field distribution
- Statistics at proportion of different Wind Speed Ranges
- Analysis of Wind Environment Indicators
- Quantitative Relationship between Average Wind Speed and Building Height
4.1.2. Observation Analysis of the Impact of Different Building Heights
4.2. Impact of Building Layouts on Wind Environment
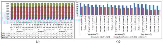
4.2.1. Simulation Analysis of the Impact of Different Building Layouts
4.2.2. Observation Analysis of the Impact of Different Building Layouts
5. Conclusions and Discussion
Author Contributions
Funding
Institutional Review Board Statement
Informed Consent Statement
Data Availability Statement
Conflicts of Interest
References
- Fang, X.Y.; Li, L.; Liu, W.; Ren, C.; Wang, J.; Cheng, C.; Yu, Y.; Zhang, S.; Du, W.; Liu, Y. Progress of researches and practices of urban ventilation corridors in China. Chin. J. Ecol. 2021, 40, 4088–4098. [Google Scholar] [CrossRef]
- Fang, X.Y.; Yang, R.Z.; Du, W.P. Climate and Urban Planning-An Important Guarantee for the Realization of Ecological Civilization in Cities; China Meteorological Press: Beijing, China, 2018; pp. 11–17. [Google Scholar]
- Ren, C.; Yang, R.Z.; Cheng, C.; Xing, P.; Fang, X.; Zhang, S.; Wang, H.; Shi, Y.; Zhang, X.; Kwok, Y.T.; et al. Creating breathing cities by adopting urban ventilation assessment and wind corridor plan: The implementation in Chinese cities. J. Wind. Eng. Ind. Aerodyn. 2018, 182, 170–188. [Google Scholar] [CrossRef]
- Chang, H.; Xiang, C.; Duan, C.; Wan, Z.; Liu, Y.; Zheng, Y.; Shang, Y.; Liu, M.; Shu, S. Study on the thermal performance and wind environment in a residential community. Int. J. Hydrogen Energy 2016, 41, 15868–15878. [Google Scholar] [CrossRef]
- Kress, R. Regionale Luftaustauschprozesse und ihre Bedeuung für die Rämliche Planung; Institut für Umweltschutz der Universität Dortmund: Dortmund, Germany, 1979; pp. 15–55. [Google Scholar]
- Yu, B.; Song, D.F.; Liu, S.; Wang, S.-S. Research on urban climate problems-solving oriented planning approaches in Xiamen. In Proceedings of the Chinese Low-carbon City Development International Conference, Shenzhen, China, 24–26 September 2015. [Google Scholar] [CrossRef]
- Liu, X.Q.; Huang, B.; Li, R.R.; Zhang, J.; Gou, Q.; Zhou, T.; Huang, Z. Wind environment assessment and planning of urban natural ventilation corridors using GIS: Shenzhen as a case study. Urban Clim. 2022, 42, 101091. [Google Scholar] [CrossRef]
- Lei, X.P.; He, L.B.; Wu, C.L. A Review of Urban Ventilation. Build. Energy Environ. 2021, 30, 11–17. [Google Scholar] [CrossRef]
- Du, W.P.; Fang, X.Y.; Liu, Y.H.; He, Y.; He, J. Construction of ventilation corridors in the Beijing central urban area based on meteorology and GIS technology. Urban Plan. Forum. 2016, 5, 79–85. [Google Scholar] [CrossRef]
- Zhang, X.L.; Li, L.; Du, Y.; Jiang, Y.; Fang, X.; Li, M.; Chen, Y.; Bai, Y.J. Numerical Study on the Influences of Urban Planning and Construction on the Summer Urban Heat Island in the Metropolis of Shenzhen. J. Trop. Meteorol. 2012, 17, 392–398. [Google Scholar] [CrossRef]
- Yao, H.Y.; Wu, D.; Zhang, H.L.; Ren, X.; Liu, D. Layout Mode of Residential District with Medium Plot Ratio Based on Optimization of Wind Environment: Take the Residential District in the Temperate Climates Areas with Medium Plot Ratio as an Example. J. BEE 2020, 48, 115–119. [Google Scholar] [CrossRef]
- Xie, Z.Y.; Yang, N. Optimization Design Tactics for High-rise Building Shape on Improvement of Outdoor Wind Environment. Archit. J. 2013, 2013, 76–81. [Google Scholar] [CrossRef]
- Wang, W.W.; Li, F.N.; Wang, D.; Wang, Q. Urban ventilation corridor construction based on ventilation potential and quantitative analysis of wind characteristics. J. Zhejiang Univ. (Eng. Sci.) 2019, 53, 470–481. [Google Scholar] [CrossRef]
- Gal, T.; Lindberg, F.; Unger, J. Comparing continuous sky view factor using 3D urban raster and vector databases: Comparison and application to urban climate. Theor. Appl. Climatol. 2009, 95, 111–123. [Google Scholar] [CrossRef]
- Mou, B.; He, B.J.; Zhao, D.X.; Chau, K.W. Numerical simulation of the effects of building dimensional variation on wind pressure distribution. Eng. Appl. Comput. Fluid Mech. 2017, 11, 293–309. [Google Scholar] [CrossRef]
- Zheng, S.; Wang, Y.; Zhai, Z.J.; Xue, Y.; Duanmu, L. Characteristics of wind flow around a target building with different surrounding building layers predicted by CFD simulation. Build. Environ. 2021, 201, 107962. [Google Scholar] [CrossRef]
- Countermeasures Committee. Secretariat of the Environmental Issues in the Eight Cities Summit. “Wind Path” Survey and Research—Research Report; Countermeasures Committee: Tokyo, Japan, 2007. [Google Scholar]
- Yin, J.; Zhan, Q.M.; Tayyab, M. The Ventilation Path Assessment of Urban Street in Wuhan. Pol. J. Environ. Stud. 2021, 30, 2877–2889. [Google Scholar] [CrossRef]
- Hu, Y.D.; Liu, Z.H.; Tan, H.W. Multi-parameter Impact on Wind Environment of Residential District. Build. Sci. 2017, 33, 108–114. [Google Scholar] [CrossRef]
- Zhang, P.H.; Cheng, F.; Dong, Q.M.; Guan, X. Study on the Flow Field under the Affection of Architectural Layout of High-Rise Residential Area. J. Shenyang Jianzhu Univ. (Nat. Sci.) 2012, 28, 684–690. [Google Scholar]
- Wang, Y.C. Numerical simulation study of the wind environment for high-rise residential district. Eng. Technol. Des. 2015, 30, 1576. [Google Scholar]
- Kubota, T.; Miura, M.; Tominaga, Y.; Mochida, A. Wind tunnel tests on the relationship between building density and pedestrian-level wind velocity: Development of guidelines for realizing acceptable wind environment in residential neighborhoods. Build. Environ. 2008, 43, 1699–1708. [Google Scholar] [CrossRef]
- Li, L.; Wu, D.; Zhang, L.J.; Yuan, L. Ventilation assessment on urban-block detailed planning based on numerical simulation. Acta Sci. Circumstantiae 2012, 32, 946–953. [Google Scholar]
- Blocken, B.; Janssen, W.D.; van Hooff, T. CFD simulation for pedestrian wind comfort and wind safety in urban areas: General decision framework and case study for the Eindhoven University campus. Environ. Model. Softw. 2012, 30, 3015–3034. [Google Scholar] [CrossRef]
- Kuo, C.Y.; Wang, R.J.; Lin, Y.P.; Lai, C.M. Urban Design with the Wind: Pedestrian-Level Wind Field in the Street Canyons Downstream of Parallel High-Rise Buildings. Energies 2020, 13, 2827. [Google Scholar] [CrossRef]
- Juan, Y.H.; Li, Z.T.; Lee, Y.T.; Wen, C.Y.; Yang, A.S. Effect of wind-based climate-responsive design on city breathability of a compact high-rise city. J. Build. Eng. 2023, 78, 107773. [Google Scholar] [CrossRef]
- Chen, L.; Ng, E.; An, X.; Ren, C.; Lee, M.; Wang, U.; He, Z. Sky view factor analysis of street canyons and its implications for daytime intra-urban air temperature differentials in high-rise, high-density urban areas of Hong Kong: A GIS-based simulation approach. Int. J. Climatol. 2012, 32, 121–136. [Google Scholar] [CrossRef]
- Yuan, C.; Norford, L.; Britter, R.; Ng, E. A modelling-mapping approach for fine scale assessment of pedestrian-level wind in high-density cities. Build. Environ. 2016, 97, 152–165. [Google Scholar] [CrossRef]
- Zhang, X.; Weerasuriya, A.U.; Lu, B.; Tse, K.T.; Liu, C.H.; Tamura, Y. Pedestrian-level wind environment near a super-tall building with unconventional configurations in a regular urban area. Build. Simul. 2020, 13, 439–456. [Google Scholar] [CrossRef]
- Zhang, S.; Fang, X.Y.; Cheng, C.; Chen, J.; Guo, F.; Yu, Y.; Yang, S. Multi-Scale Urban Natural Ventilation Climate Guidance: A Case Study in the Shijiazhuang Metropolitan Area. Atmosphere 2024, 15, 676. [Google Scholar] [CrossRef]
- Zhang, S.; Fang, X.; Cheng, C.; Chen, L.; Zhang, L.; Yu, Y.; Li, L.; Luo, H. Research on the Planning Method and Strategy of Urban Wind and Heat Environment Optimization—Taking Shenzhen, a Sub-Tropical Megacity in Southern China, as an Example. Atmosphere 2022, 13, 1395. [Google Scholar] [CrossRef]
- Wang, C.G.; Luo, F.; Wang, Y.W.; Liu, H. Experimental study of the impact of high-density building clusters and high-rise building on the wind environment. Trans. Atmos. Sci. 2016, 39, 133–139. [Google Scholar]
- Duan, Z.C.; Fang, H.H.; Li, J.J.; Wang, S. Comparative Analysis of Outdoor Wind Environment Measurement and PHOENICS Simulation Results: A Case Study of Xuzhou High-Rise Residential Community. Archit. Tech. 2019, 9, 124–126. [Google Scholar]
- Available online: https://www.soujianzhu.cn/NormAndRules/NormContent.aspx?id=276 (accessed on 21 June 2024).
- dos Santos, E.D.; Petry, A.P.; Rocha, L.A.; França, F.H. Numerical Study of Forced Convection Lid-Driven Cavity Flows Using LES (Large Eddy Simulation). J. Energy Power Eng. 2013, 7, 1669–1680. Available online: https://www.docin.com/p-818792278.html (accessed on 21 June 2024).
- Zhuang, Z.; Yu, Y.B.; Ye, H.; Tan, H.; Xie, J. Review on CFD Simulation Technology of Wind Environment around Buildings. Build. Sci. 2014, 30, 108–114. [Google Scholar] [CrossRef]
- Yuan, C.; Ng, E. Building porosity for better urban ventilation in high-density cities—A computational parametric study. Build. Environ. 2012, 50, 176–189. [Google Scholar] [CrossRef]
- Sadek, F.; Simiu, E. Peak non-Gaussian wind effects for data base-assisted low-rise building design. J. Eng. Mech. 2002, 128, 530–539. [Google Scholar] [CrossRef]
- Janssen, W.D.; Blocken, B.; van Hooff, T. Pedestrian wind comfort around buildings: Comparison of wind comfort criteria based on whole-flow field data for a complex case study. Build. Environ. 2013, 59, 547–562. [Google Scholar] [CrossRef]
- Zheng, Y.S.; Shi, Y.; Ren, C.; NG, E. Urban Ventilation Strategies for Micro Climate Improvement in Subtropical High-density Cities: A Case Study of Tai Po Market in Hong Kong. Urban Plan. Int. 2016, 31, 68–75. [Google Scholar] [CrossRef]
- Gong, C.; Wang, X. Research on Wind Environment for Urban Residential District in Different Building Layouts. Build. Sci. 2014, 30, 6–12. [Google Scholar] [CrossRef]
- Li, Q.; Meng, Q.; Zhao, L.; Xuan, Y.; Mochida, A.; Yoshino, H. Correlation analysis of urban planning factors and outdoor thermal environment around the residential buildings in hot-humid area of China. In Proceedings of the International Conference on Advances in Energy Engineering, Beijing, China, 5–8 July 2012. [Google Scholar]
- Ma, J.; Chen, S.F. Numerical study of plan arrangement effect on wind environment around tall buildings. J. Zhejiang Univ. (Eng. Sci.) 2007, 41, 1477–1481. [Google Scholar] [CrossRef]
- Razak, A.A.; Ikegaya, N.; Hagishima, A.; Tanimoto, J. Numerical investigation of urban geometry impact on pedestrian wind environment. In Proceedings of the Seventh International Colloquium on Bluff Body Aerodynamics and Applications, Shanghai, China, 2–6 September 2012. [Google Scholar]







| Perennial Dominant Wind Direction | Observing Days | Observing Points | Average Wind Speed | Variance | Proportion of Calm Wind (%) | Proportion of Light Air (%) | Proportion of Light Breeze (%) | Proportion of Outdoor Comfort Zone (%) |
|---|---|---|---|---|---|---|---|---|
| southeast | 25 August 2023 | windward side | 1.14 | 0.21 | 0.0 | 80.2 | 19.8 | 54.2 |
| The interior | 0.65 | 0.08 | 6.2 | 93.3 | 0.4 | 9.3 | ||
| leeward side | 0.50 | 0.04 | 7.1 | 92.9 | 0.0 | 0.6 | ||
| 13 September 2023 | windward side | 1.18 | 0.25 | 0.0 | 78.2 | 21.8 | 55.5 | |
| The interior | 0.75 | 0.09 | 3.3 | 95.7 | 1.0 | 15.1 | ||
| leeward side | 0.54 | 0.05 | 6.7 | 93.3 | 0.0 | 2.1 | ||
| 12 October 2023 | windward side | 0.78 | 0.13 | 0.0 | 96.8 | 3.2 | 21.5 | |
| The interior | 0.45 | 0.06 | 25.5 | 74.5 | 0.0 | 2.1 | ||
| leeward side | 0.35 | 0.03 | 33.4 | 66.6 | 0.0 | 0.3 | ||
| northeast | 6 November 2023 | windward side | 0.90 | 0.26 | 2.6 | 88.7 | 8.8 | 35.5 |
| The interior | 0.72 | 0.11 | 5.8 | 92.9 | 1.3 | 15.7 | ||
| leeward side | 1.20 | 0.52 | 1.0 | 70.4 | 27.4 | 50.1 | ||
| northwest | 19 December 2023 | windward side | 0.84 | 0.23 | 3.1 | 88.1 | 8.9 | 27.1 |
| The interior | 0.80 | 0.13 | 2.4 | 94.0 | 3.6 | 24.9 | ||
| leeward side | 1.06 | 0.52 | 0.4 | 83.1 | 14.9 | 33.1 |
| Perennial Dominant Wind Direction | Observing Days | Observing Points | Average Wind Speed | Variance | Proportion of Calm Wind (%) | Proportion of Light Air (%) | Proportion of Light Breeze (%) | Proportion of Outdoor Comfort Zone (%) |
|---|---|---|---|---|---|---|---|---|
| southeast | 8 August 2023 | windward side | 1.36 | 0.24 | 0.0 | 69.2 | 30.7 | 72.6 |
| interior | 0.98 | 0.16 | 0.0 | 90.2 | 9.8 | 42.7 | ||
| leeward side | 0.89 | 0.12 | 0.0 | 95.8 | 4.2 | 30.1 | ||
| 15 September 2023 | windward side | 0.52 | 0.25 | 2.0 | 81.1 | 16.0 | 45.7 | |
| interior | 0.43 | 0.16 | 8.9 | 86.2 | 3.6 | 18.7 | ||
| leeward side | 0.77 | 0.08 | 0.6 | 97.1 | 1.7 | 16.0 | ||
| 11 October 2023 | windward side | 1.10 | 0.23 | 0.4 | 83.8 | 15.8 | 51.9 | |
| interior | 0.88 | 0.16 | 0.7 | 91.5 | 7.8 | 29.9 | ||
| leeward side | 0.72 | 0.09 | 2.8 | 97.1 | 0.1 | 12.8 | ||
| northeast | 9 November 2023 | windward side | 1.18 | 0.47 | 0.9 | 72.1 | 26.5 | 52.4 |
| interior | 0.82 | 0.15 | 0.4 | 92.9 | 6.7 | 21.4 | ||
| leeward side | 2.16 | 0.63 | 0.0 | 22.9 | 70.1 | 92.0 | ||
| northwest | 6 December 2023 | windward side | 1.07 | 0.40 | 2.8 | 73.3 | 23.9 | 45.1 |
| interior | 0.80 | 0.20 | 6.7 | 85.1 | 8.2 | 25.2 | ||
| leeward side | 1.49 | 0.46 | 0.6 | 53.5 | 45.4 | 70.8 |
| Perennial Dominant Wind Direction | Observing Days | Observing Points | Average Wind Speed | Variance | Proportion of Calm Wind (%) | Proportion of Light Air (%) | Proportion of Light Breeze (%) | Proportion of Outdoor Comfort Zone (%) |
|---|---|---|---|---|---|---|---|---|
| southeast | 15 August 2023 | windward side | 1.5 | 0.48 | 1.6 | 54.5 | 43.8 | 68.8 |
| interior | 0.5 | 0.08 | 11.4 | 87.9 | 0.7 | 5.7 | ||
| leeward side | 0.7 | 0.13 | 6.2 | 93.3 | 0.4 | 22.4 | ||
| 25 September 2023 | windward side | 1.2 | 0.20 | 0.0 | 79.0 | 21.0 | 57.5 | |
| interior | 0.4 | 0.05 | 23.8 | 76.2 | 0.0 | 0.6 | ||
| leeward side | 0.6 | 0.05 | 4.5 | 95.5 | 0.0 | 2.0 | ||
| northeast | 18 October 2023 | windward side | 1.05 | 0.59 | 3.1 | 75.5 | 19.5 | 41.1 |
| interior | 0.29 | 0.05 | 50.9 | 49.1 | 0.0 | 0.4 | ||
| leeward side | 0.58 | 0.13 | 9.6 | 88.4 | 2.0 | 11.6 | ||
| 7 November 2023 | windward side | 1.06 | 0.32 | 2.9 | 76.7 | 20.4 | 47.5 | |
| interior | 0.40 | 0.05 | 31.3 | 68.8 | 0.0 | 0.7 | ||
| leeward side | 0.85 | 0.13 | 1.5 | 94.4 | 4.1 | 29.9 | ||
| northwest | 25 January 2024 | windward side | 1.09 | 0.41 | 3.2 | 75.7 | 20.4 | 42.1 |
| interior | 0.46 | 0.07 | 26.2 | 73.9 | 0.0 | 1.4 | ||
| leeward side | 0.76 | 0.18 | 1.4 | 94.0 | 4.6 | 22.1 |
Disclaimer/Publisher’s Note: The statements, opinions and data contained in all publications are solely those of the individual author(s) and contributor(s) and not of MDPI and/or the editor(s). MDPI and/or the editor(s) disclaim responsibility for any injury to people or property resulting from any ideas, methods, instructions or products referred to in the content. |
© 2025 by the authors. Licensee MDPI, Basel, Switzerland. This article is an open access article distributed under the terms and conditions of the Creative Commons Attribution (CC BY) license (https://creativecommons.org/licenses/by/4.0/).
Share and Cite
Zhang, S.; Yang, S.; Fang, X.; Cheng, C.; Chen, J.; Bian, T.; Yu, Y. An Empirical Study on the Optimization of Building Layout in the Affected Space of Ventilation Corridors—Taking Shijiazhuang as an Example. Appl. Sci. 2025, 15, 9783. https://doi.org/10.3390/app15179783
Zhang S, Yang S, Fang X, Cheng C, Chen J, Bian T, Yu Y. An Empirical Study on the Optimization of Building Layout in the Affected Space of Ventilation Corridors—Taking Shijiazhuang as an Example. Applied Sciences. 2025; 15(17):9783. https://doi.org/10.3390/app15179783
Chicago/Turabian StyleZhang, Shuo, Shanshan Yang, Xiaoyi Fang, Chen Cheng, Jing Chen, Tao Bian, and Ying Yu. 2025. "An Empirical Study on the Optimization of Building Layout in the Affected Space of Ventilation Corridors—Taking Shijiazhuang as an Example" Applied Sciences 15, no. 17: 9783. https://doi.org/10.3390/app15179783
APA StyleZhang, S., Yang, S., Fang, X., Cheng, C., Chen, J., Bian, T., & Yu, Y. (2025). An Empirical Study on the Optimization of Building Layout in the Affected Space of Ventilation Corridors—Taking Shijiazhuang as an Example. Applied Sciences, 15(17), 9783. https://doi.org/10.3390/app15179783
