Numerical Simulation of the Lubrication Performance of the Stator and Rotor Friction Pair Surface Rhombus-like Texture in Screw Pumps
Abstract
1. Introduction
2. Model Analysis
2.1. Geometric Model of the Screw Pump Stator Surface Texture
2.2. Theoretical Model for the Numerical Simulation
3. Numerical Simulation Method
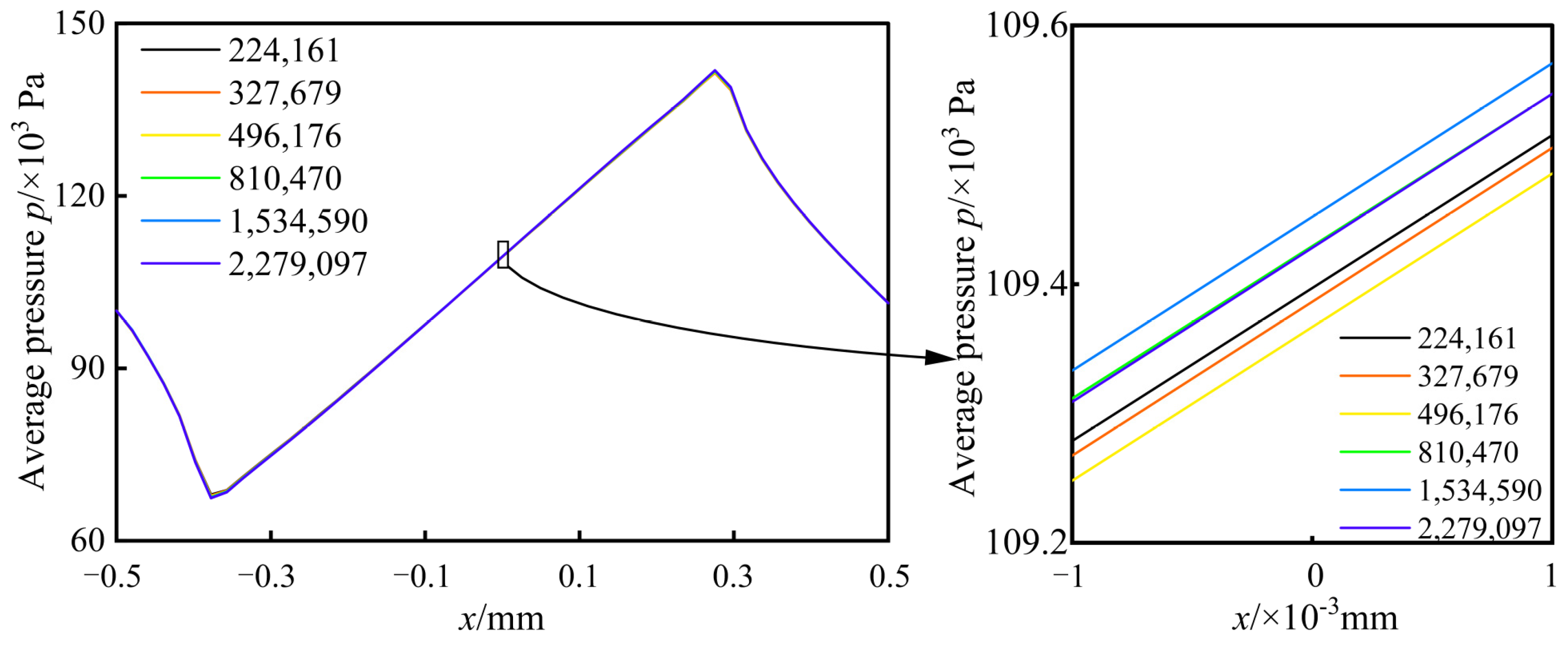
3.1. Mesh Division and CFD Solution Settings
3.2. Validation of the Numerical Simulation Method
3.3. Determination of the Flow Direction of the Medium
4. Analysis of the Numerical Simulation Results
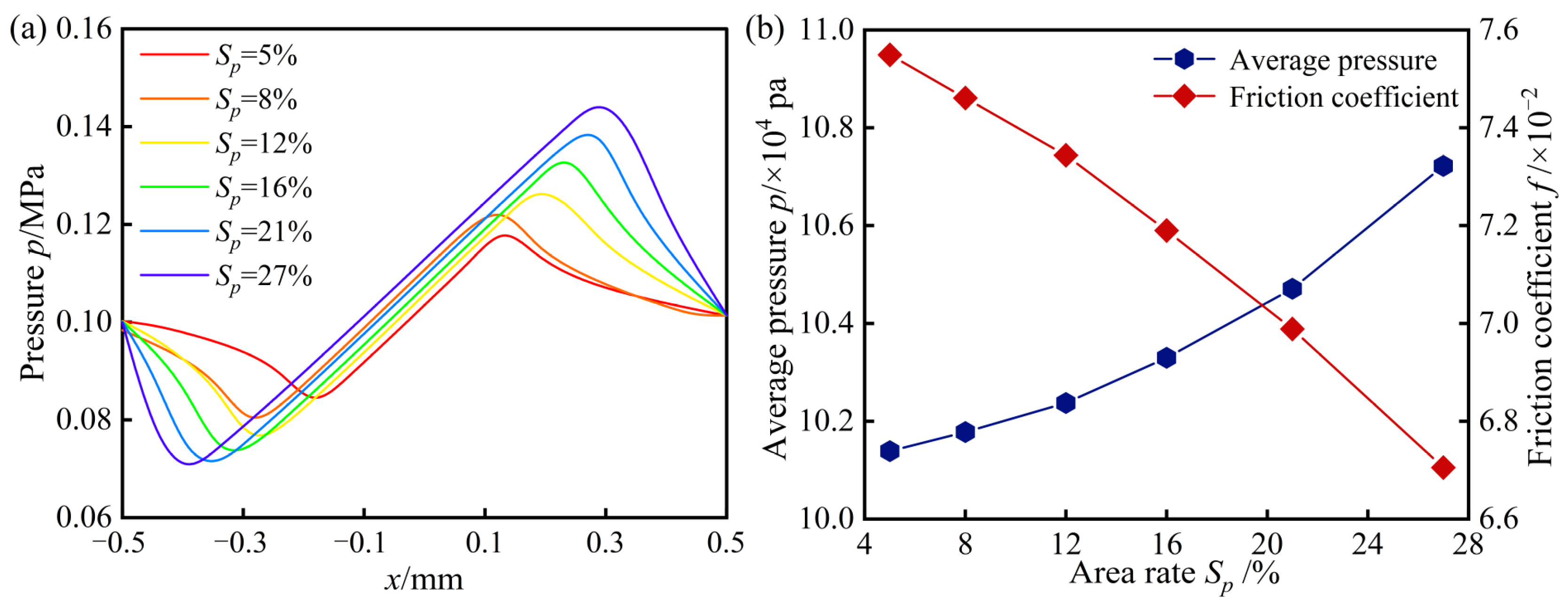
4.1. The Effect of the Texture Area Rate of Rhombus-like Micro-Dimples on the Surface Lubrication Performance of Screw Pump Stator and Rotor Friction Pairs
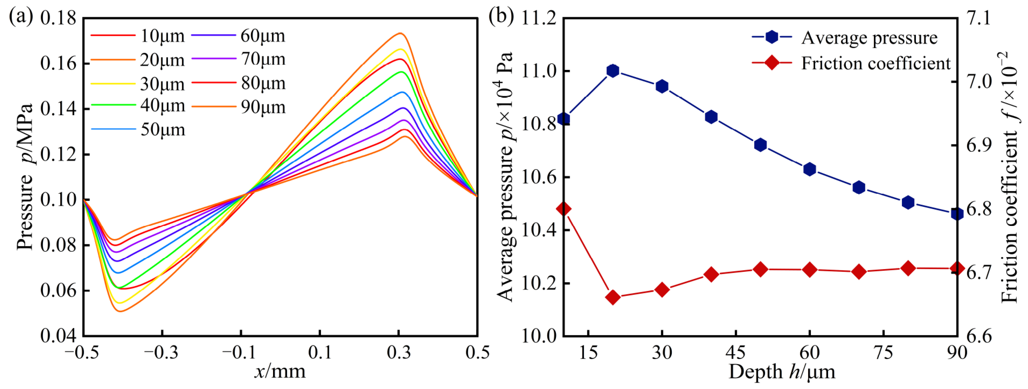
4.2. The Effect of the Texture Depth of Rhombus-like Micro-Dimples on the Surface Lubrication Performance of Screw Pump Stator and Rotor Friction Pairs
4.3. The Effect of the Rhombus-like Micro-Dimple Texture Shape on the Surface Lubrication Performance of Screw Pump Stator and Rotor Friction Pairs
4.4. The Effect of the Rhombus-like Micro-Dimple Texture Angle on the Surface Lubrication Performance of Screw Pump Stator and Rotor Friction Pairs
4.5. The Effect of the Actual Well Fluid Viscosity of Shale Oil on the Lubrication Performance of the Rhombus-like Micro-Dimple Texture
5. Conclusions
- (1)
 - The geometrical parameters of the rhombus-like micro-dimple texture significantly affected the friction performance of the friction surfaces. When the texture area rate increased, the dynamic pressure lubrication performance of the friction pairs significantly increased. When the area rate increased, the lubricant reservoir within the texture expanded, which resulted in a decrease in the oil film friction coefficient and an increase in the average pressure and net load carrying capacity. The optimal lubrication effect was achieved at an area rate of 27%.
 - (2)
 - When the texture depth increased, the oil film friction coefficient first decreased and then increased, while the average pressure first increased and then decreased. When the depth became greater than 30 μm, vortices started to form inside the structure. The intensity of these vortices increased with the increase in depth, which resulted in a more significant decrease in the dynamic pressure lubrication performance. The best lubrication performance was observed when the depth was close to 20 μm, which corresponded to the thickness of the oil film between the stator and rotor of the screw pump.
 - (3)
 - When the angle of the long side of the structure increased, the dispersing wedge angle also increased, reducing the negative pressure zone area of the oil film, increasing the positive pressure zone area, decreasing the oil film friction coefficient, and increasing the net load carrying capacity.
 - (4)
 - The angle between the texture center axis and the x-direction axis of the unit significantly affected the pressure distribution in the flow field. When this angle increased, the area of the negative pressure zone increased, while the positive pressure zone area decreased. This resulted in an increase in the friction coefficient and a decrease in the net bearing capacity. When the angle became greater than a certain threshold, the negative pressure area became smaller than the positive pressure area, which significantly reduced the oil film carrying capacity.
 - (5)
 - The optimal parameters for the rhombus-like dimple texture were an area rate, depth, long-side angle, and angle of 27%, 20 μm, 74°, and 0°, respectively. When the oil film had the largest net bearing capacity and the smallest coefficient of friction, the dynamic pressure lubrication was the highest and the effect of wear reduction was the most significant. The results of the study provide a theoretical basis and design guidance for improving the lubrication performance of the stator and rotor friction pairs in screw pumps.
 
Author Contributions
Funding
Data Availability Statement
Acknowledgments
Conflicts of Interest
References
- FestaBianchet, S.A.; Tyner, D.R.; Seymour, S.P.; Johnson, M.R. Methane venting at cold heavy oil production with sand (CHOPS) facilities is significantly underreported and led by high-emitting wells with low or negative value. Environ. Sci. Technol. 2023, 57, 3021–3030. [Google Scholar] [CrossRef] [PubMed]
 - Xu, J.; Deng, J.E.; Chen, Y.; Jia, L.X.; Xiao, Y.; Liu, W. Analysis of casing instability and factors influencing it in thermal production oil wells. Chem. Technol. Fuels Oils 2021, 57, 804–812. [Google Scholar] [CrossRef]
 - Ramos, A.M.; Brown, J.C.; Rojas, M.D.C.; Kuyuco, O.; Flores, J.G. Producing extra-heavy oil from the Orinoco Belt, Cerro Negro Area, Venezuela, using bottom-drive progressive cavity pumps. SPE Prod. Oper. 2007, 22, 151–155. [Google Scholar] [CrossRef]
 - Liu, X.F.; Liu, C.H.; Hao, Z.X.; Zheng, Y.; Zhang, K.; Wang, J.F.; Wei, S.B.; Hao, A.G.; Tao, J.L.; Cheng, H. Non-symmetric distributions of solids deposition for solid-water stratified flow in deviated tubing strings. Pet. Sci. 2023, 20, 3048–3061. [Google Scholar] [CrossRef]
 - Gusmanova, A.; Bekbayeva, R.; Koyshieva, A.; Abylai, K. Oil withdrawal technological advancement for multilayer field. Int. J. Oil Gas Coal Technol. 2022, 30, 265–282. [Google Scholar] [CrossRef]
 - Tavosi, S.; Alimardani, M.; Ghoreishy, R.H.M.; Mohammad, T. Fatigue failure modeling in rubber stator of downhole motors: Dependency to materials and geometry, and its application to life prediction. Eng. Fail. Anal. 2024, 159, 108072. [Google Scholar] [CrossRef]
 - Zheng, L.; Wu, X.D.; Han, G.Q.; Li, H.C.; Zuo, Y.; Zhou, D.K. Analytical model for the flow in progressing cavity pump with the metallic stator and rotor in clearance fit. Math. Probl. Eng. 2018, 2018, 3696930. [Google Scholar] [CrossRef]
 - Pan, L.; Tan, J.Z. Numerical investigation of contact stress between rotor and stator in a two-lead progressing cavity pump. J. Pet. Sci. Eng. 2015, 134, 176–185. [Google Scholar] [CrossRef]
 - Sun, W.X.; Wang, Y.Q.; Wang, K.; Wang, L. Research on three-dimensional modeling of multi-thread single screw pump rotor and stator based on UG. Key Eng. Mater. 2010, 873, 114–117. [Google Scholar] [CrossRef]
 - Guagliano, M. Fatigue failure of a bar of a twin-screw extruder for plastics. Eng. Fail. Anal. 2004, 12, 950–962. [Google Scholar] [CrossRef]
 - Borisova, K.E.; Ivanova, T.N.; Latypov, R.G. Study of screw pump stator and rotor working capacity to increase the output. Procedia Eng. 2017, 206, 688–691. [Google Scholar] [CrossRef]
 - Chen, J.; Wang, F.S.; Shi, G.C.; Cao, G.; He, Y.; Ge, W.T.; Liu, H.; Wu, H.A. Finite element analysis for adhesive failure of progressive cavity pump with stator of even thickness. J. Pet. Sci. Eng. 2015, 125, 146–153. [Google Scholar] [CrossRef]
 - Lv, X.R.; Wang, S.J.; Huo, X.Y. The effect of water content in crude oil on the tribological behavior of screw pump’s stator rubber. Chin. Sci. Bull. 2014, 59, 2868–2874. [Google Scholar] [CrossRef]
 - Shi, C.S.; Zhu, X.H.; Chen, Y.K.; Tang, L.P. Failure analysis of general stator and uniform wall thickness stator. Eng. Fail. Anal. 2018, 94, 239–248. [Google Scholar] [CrossRef]
 - Bornillo, K.; Bovo, E.; Sorgato, M.; Lucchetta, G. Data-driven analysis of the effects of microtextured surfaces on friction reduction for plastic syringe applications. Int. J. Adv. Manuf. Technol. 2025, 136, 2583–2599. [Google Scholar] [CrossRef]
 - Xu, G.M.; Liu, P.; Liu, A.; Zhang, C.F.; Zhang, G.; Wu, Q.Q.; Lu, H.L. Mechanically stable superhydrophobic surfaces constructed by laser surface texturing and micro-arc oxidation of TC4 alloy prepared based on SLM. Mater. Chem. Phys. 2024, 325, 129791. [Google Scholar] [CrossRef]
 - Gu, C.X.; Cui, Y.M.; Zhang, D. Research on the optimal design approach of the surface texture for journal bearings. Lubricants 2024, 12, 111. [Google Scholar] [CrossRef]
 - Slawomir, W.; Waldemar, K.; Pawel, P. Selected methods and applications of anti-friction and anti-wear surface texturing. Materials 2021, 14, 3227. [Google Scholar] [CrossRef] [PubMed]
 - Pawel, P.; Waldemar, K.; Rafal, R. Surface texturing of cylinder liners: A review. Materials 2022, 15, 8629. [Google Scholar] [CrossRef]
 - Wang, J.F.; Xue, W.H.; Gao, S.Y.; Li, S.; Duan, D.L. Effect of groove surface texture on the fretting wear of Ti–6Al–4V alloy. Wear 2021, 486, 204079. [Google Scholar] [CrossRef]
 - Wei, H.; Chen, G.J.; Chen, Z.; Yu, Z.W.; Huang, J.S. Progress on bionic textured cutting tools: A review and prospects. J. Bionic Eng. 2023, 21, 19–55. [Google Scholar] [CrossRef]
 - Yang, X.D.; Chen, W.G.; Zhang, Y.; Li, Z.Y.; Yang, J.W.; Dai, B.G.; Zhang, J.H.; Li, D.Y.; Qiu, Z.L. Tribological properties of MAO coating deposited on aluminum base bearing alloy with different texture shapes. Surf. Coat. Technol. 2024, 492, 131191. [Google Scholar] [CrossRef]
 - Zhang, H.Y.; Liu, X.R.; Gong, J.Z.; Bai, S.Z.; Sun, K.; Jia, X.R. Thermohydrodynamic lubrication characteristics of piston rings in diesel engine considering transient heat transfer under the parameterized surface texture of cylinder liners. Energies 2023, 16, 7924. [Google Scholar] [CrossRef]
 - Jia, H.K.; Zhou, Z.Y.; Yin, B.F.; Zhou, H.Q.; Xu, B. Influence of microdimple on lubrication performance of textured plunger pump. Ind. Lubr. Tribol. 2021, 73, 563–571. [Google Scholar] [CrossRef]
 - Magnus, C.; Gulenc, I.T.; Rainforth, W.M. Ambient dry sliding friction and wear behaviour of laser surface textured (LST) Ti3SiC2 MAX phase composite against hardened steel and alumina. Wear 2022, 490, 204184. [Google Scholar] [CrossRef]
 - Wang, J.H.; Huang, D.J.; Wang, B.; Zhang, Y.; Wang, J. Study on the tribological behavior of laser surface texturing on silicon nitride ceramic under water lubrication. Lubricants 2025, 13, 21. [Google Scholar] [CrossRef]
 - Peng, S.J.; Huang, Z.Q.; Wang, M.L.; Xiong, C.; Chen, K. Study on the influence of surface texture parameters of oil production screw motor rotor on the tribological properties of its friction pair. Processes 2023, 11, 618. [Google Scholar] [CrossRef]
 - Wang, M.L.; Huang, Z.Q.; Qian, W.J.; Li, G. Study of the effect of laser textured rotors on the starting performance of metal–rubber mating pairs under different lubricating media environments. Proc. Inst. Mech. Eng. Part J J. Eng. Tribol. 2024, 238, 450–463. [Google Scholar] [CrossRef]
 - Paul Joshua, S.; Dinesh Babu, P. Friction and wear characteristics for laser surface textured rolling bearing steel: Effect of pattern density, depth, and area. Trans. Indian Inst. Met. 2022, 75, 2923–2930. [Google Scholar] [CrossRef]
 - Cui, Z.T.; Guo, Z.W.; Yuan, C.Q. Influence of different rhombic surface textures on the tribological performance of water-lubricated bearings. Mater. Express 2020, 10, 1452–1462. [Google Scholar] [CrossRef]
 - Otero, E.J.; Ochoa, G.E.; Vallinot, B.I.; Tanarro, E.C. Optimising the design of textured surfaces for reducing lubricated friction coefficient. Lubr. Sci. 2017, 29, 183–199. [Google Scholar] [CrossRef]
 - Guo, Q.G.; Zheng, L.; Zhong, Y.H.; Wang, S.K.; Ren, L.Q. Numerical simulation of hydrodynamic lubrication performance for continuous groove-textured surface. Tribol. Int. 2021, 167, 107411. [Google Scholar] [CrossRef]
 - Shen, Z.H.; Wang, F.C.; Chen, Z.G.; Ruan, X.P.; Zeng, H.H.; Wang, J.H.; An, Y.R.; Fan, X.L. Numerical simulation of lubrication performance on chevron textured surface under hydrodynamic lubrication. Tribol. Int. 2020, 154, 106704. [Google Scholar] [CrossRef]
 - Liu, W.L.; Ni, H.J.; Chen, H.L.; Wang, P. Numerical simulation and experimental investigation on tribological performance of micro-dimples textured surface under hydrodynamic lubrication. Int. J. Mech. Sci. 2019, 163, 105095. [Google Scholar] [CrossRef]
 - Hua, X.J.; Puoza, C.; Zhang, P.Y.; Yin, B.F.; Xie, X.; Din, J.L. Numerical simulation and experimental analysis of grease friction properties on textured surface. Iran. J. Sci. Technol. Trans. Mech. Eng. 2019, 43, 357–369. [Google Scholar] [CrossRef]
 - Wei, Y.; Yan, H.M.; Li, S.; Wang, X.W. Numerical and experimental study of a sector-shaped surface texture in friction reduction. Tribol. Lett. 2024, 72, 60. [Google Scholar] [CrossRef]
 - Li, Y.L.; He, Y.Y.; Luo, J.B. Multi-objective optimization of surface texture shape in fluid mechanical face seals using mass-conserving cavitation boundary condition. Proc. Inst. Mech. Eng. Part J J. Eng. Tribol. 2024, 238, 581–599. [Google Scholar] [CrossRef]
 - Wang, Z.Q.; Sun, L.T.; Han, B.; Wang, X.Q.; Ge, Z.W. Study on the thermohydrodynamic friction characteristics of surface-textured valve plate of axial piston pumps. Micromachines 2022, 13, 1891. [Google Scholar] [CrossRef]
 - Zhong, Y.H.; Zheng, L.; Gao, Y.H.; Liu, Z.N. Numerical simulation and experimental investigation of tribological performance on bionic hexagonal textured surface. Tribol. Int. 2019, 129, 151–161. [Google Scholar] [CrossRef]
 - Mao, Y.K.; Chen, W.G.; Li, Y.; Dai, Y.F.; Guo, W.X.; Zhang, J.B.; Wang, Y.H.; Wang, Z.X.; Li, D.Y.; Lin, N.M. Simulation and experimental study on tribological properties of herringbone texture on 42CrMo bearing alloy steel surface. J. Mater. Eng. Perform. 2024, 34, 1364–1377. [Google Scholar] [CrossRef]
 - Lv, X.R.; Wang, H.M.; Wang, S.J. Effect of swelling nitrile rubber in cyclohexane on its ageing, friction and wear characteristics. Wear 2015, 328, 414–421. [Google Scholar] [CrossRef]
 - Li, Y.F.; Nie, D.L.; Cai, Z.Q. The performance analysis of screw pump stator elastomers: Polyamide 6/hydrogenated nitrile blends: Mechanical, oil resistance and tribological properties. Polym. Test. 2023, 128, 108226. [Google Scholar] [CrossRef]
 - Qian, C.; Li, Y.L.; Zhao, J.; Wang, S.J.; He, E.Q. Thermal-oxidative aging and tribological properties of carbon nanotube/nitrile butadiene rubber composites with varying acrylonitrile content: Molecular dynamics simulations. Polym. Eng. Sci. 2023, 63, 1516–1527. [Google Scholar] [CrossRef]
 - Wang, Z.Q.; Xu, Y.F.; Hu, S.; Ji, H.; Yang, J. Research on lubrication mechanism with fluid–solid coupling of port plate pair in swash plate axial piston pump. Proc. Inst. Mech. Eng. Part J J. Eng. Tribol. 2020, 234, 515–527. [Google Scholar] [CrossRef]
 - Liu, X.; Shi, X.; Hao, Z.; Wei, S.; Sun, Y.; Niu, X.; Liu, C.; Li, M.; Li, Z. Effect of complex well conditions on the swelling and tribological properties of high-acrylonitrile stator rubber in screw pumps. Polymers 2024, 16, 2036. [Google Scholar] [CrossRef]
 - Liu, X.; Sun, Y.; Liu, C.; Shi, X.; Niu, X.; Zheng, G.; Wei, W.; Wei, S.; Huang, S. Lubrication characteristics of a warhead-type irregular symmetric texture on the stator rubber surfaces of screw pumps. Lubricants 2024, 12, 397. [Google Scholar] [CrossRef]
 - Liu, X.; Niu, X.; Liu, C.; Shi, X.; Sun, Y.; Hao, Z.; Huang, S.; Wang, Y.; Tao, H. Study on the tribological properties of multilayer concentric hexagonal laser texturing on rubber surfaces of screw pumps. Materials 2024, 17, 3708. [Google Scholar] [CrossRef]
 - Wang, J.H.; Yan, Z.J.; Shen, Z.Y.; Pan, X.X. Three-dimensional CFD analysis of the influence of surface texture morphology parameters on lubrication performance. Lubr. Eng. 2021, 46, 37–43. [Google Scholar] [CrossRef]
 - Schneider, J.; Braun, D.; Greiner, C. Laser textured surfaces for mixed lubrication: Influence of aspect ratio, textured area and dimple arrangement. Lubricants 2017, 5, 32. [Google Scholar] [CrossRef]
 - Sahlin, F.; Larsson, R.; Glavatskih, B.S.; Almqvist, T. Two-Dimensional CFD-Analysis of micro-patterned surfaces in hydrodynamic lubrication. J. Tribol. 2005, 127, 96–102. [Google Scholar] [CrossRef]
 - Tripathi, K.; Gyawali, G.; Joshi, B.; Amanov, A.; Wohn, S. Improved tribological behavior of grey cast iron under low and high viscous lubricants by laser surface texturing. Mater. Perform. Charact. 2017, 6, 24–41. [Google Scholar] [CrossRef]
 - Wang, L.L.; Zhao, X.T.; Guo, S.H.; Wang, M. Tribological properties of surface microtexture friction pairs under different lubrication conditions. Adv. Mech. Eng. 2019, 11, 1687814019881569. [Google Scholar] [CrossRef]
 


















| Direction of Flow | Bearing Capacity Fz/×10−2 N | Friction Coefficient f | 
|---|---|---|
| x | 10.5 | 0.070 | 
| −x | 9.75 | 0.075 | 
| y | 10.1 | 0.073 | 
Disclaimer/Publisher’s Note: The statements, opinions and data contained in all publications are solely those of the individual author(s) and contributor(s) and not of MDPI and/or the editor(s). MDPI and/or the editor(s) disclaim responsibility for any injury to people or property resulting from any ideas, methods, instructions or products referred to in the content.  | 
© 2025 by the authors. Licensee MDPI, Basel, Switzerland. This article is an open access article distributed under the terms and conditions of the Creative Commons Attribution (CC BY) license (https://creativecommons.org/licenses/by/4.0/).
Share and Cite
Shi, X.; Liu, X.; Liu, C.; Hao, Z.; Huang, S.; Sun, Y.; Niu, X. Numerical Simulation of the Lubrication Performance of the Stator and Rotor Friction Pair Surface Rhombus-like Texture in Screw Pumps. Lubricants 2025, 13, 157. https://doi.org/10.3390/lubricants13040157
Shi X, Liu X, Liu C, Hao Z, Huang S, Sun Y, Niu X. Numerical Simulation of the Lubrication Performance of the Stator and Rotor Friction Pair Surface Rhombus-like Texture in Screw Pumps. Lubricants. 2025; 13(4):157. https://doi.org/10.3390/lubricants13040157
Chicago/Turabian StyleShi, Xiangzhi, Xinfu Liu, Chunhua Liu, Zhongxian Hao, Shouzhi Huang, Yi Sun, and Xinglong Niu. 2025. "Numerical Simulation of the Lubrication Performance of the Stator and Rotor Friction Pair Surface Rhombus-like Texture in Screw Pumps" Lubricants 13, no. 4: 157. https://doi.org/10.3390/lubricants13040157
APA StyleShi, X., Liu, X., Liu, C., Hao, Z., Huang, S., Sun, Y., & Niu, X. (2025). Numerical Simulation of the Lubrication Performance of the Stator and Rotor Friction Pair Surface Rhombus-like Texture in Screw Pumps. Lubricants, 13(4), 157. https://doi.org/10.3390/lubricants13040157
        
