Sign in to use this feature.

Years

Between: -

Subjects

remove_circle_outline
remove_circle_outline
remove_circle_outline
remove_circle_outline
remove_circle_outline
remove_circle_outline
remove_circle_outline
remove_circle_outline
remove_circle_outline

Journals

remove_circle_outline
remove_circle_outline
remove_circle_outline
remove_circle_outline
remove_circle_outline
remove_circle_outline
remove_circle_outline
remove_circle_outline
remove_circle_outline
remove_circle_outline
remove_circle_outline
remove_circle_outline
remove_circle_outline
remove_circle_outline
remove_circle_outline
remove_circle_outline
remove_circle_outline
remove_circle_outline
remove_circle_outline
remove_circle_outline
remove_circle_outline
remove_circle_outline
remove_circle_outline
remove_circle_outline
remove_circle_outline
remove_circle_outline

Article Types

Countries / Regions

remove_circle_outline
remove_circle_outline
remove_circle_outline
remove_circle_outline
remove_circle_outline
remove_circle_outline

Search Results (2,966)

Search Parameters:
Keywords = micro dynamics

Order results
Result details
Results per page
Select all
Export citation of selected articles as:
47 pages, 19308 KB  
Review
Research Progress of Electrochemical Machining Technology in Surface Processing: A Review
by Yiran Wang, Yong Yang, Chaoyang Han, Guibing Pang, Shuangjiao Fan, Yunchao Xu, Zhen He and Jianru Fang
Micromachines 2025, 16(10), 1174; https://doi.org/10.3390/mi16101174 - 16 Oct 2025
Abstract
Traditional mechanical processing techniques are confronted with significant challenges when machining advanced materials possessing excellent mechanical properties. Electrochemical machining (ECM), as a material removal technology based on the principle of anodic dissolution, demonstrates distinctive advantages including the absence of contact stress, independence from [...] Read more.
Traditional mechanical processing techniques are confronted with significant challenges when machining advanced materials possessing excellent mechanical properties. Electrochemical machining (ECM), as a material removal technology based on the principle of anodic dissolution, demonstrates distinctive advantages including the absence of contact stress, independence from material hardness, and elimination of mechanical residual stress and recast layers. These characteristics render ECM particularly suitable for high-precision applications requiring superior surface quality. This review systematically summarizes the applications, recent progress, and current challenges of ECM in surface processing. According to diverse surface requirements, ECM technology is classified into two core directions based on primary objectives. The first direction focuses on surface quality enhancement, where nanoscale planarization, residual stress reduction, and uniform surface performance are achieved through precise regulation of anodic dissolution. The second direction concerns material shaping, which is subdivided into macro-scale and micro-scale processing. Macro-scale forming combines electrochemical dissolution with mechanical action to maintain high material removal rate (MRR) while achieving micron-level precision. Micro-scale forming employs nanosecond pulse power supplies and precision electrode/mask designs to overcome manufacturing limitations of micro-nano features on hard-brittle materials. Despite progress achieved, key technical bottlenecks persist, including unstable dynamic control of the inter-electrode gap, environmental concerns regarding electrolytes, and tooling degradation. Future research should prioritize the development of green processing technologies, intelligent control systems, multi-scale manufacturing strategies, and multi-energy field hybrid technologies to enhance the capability of ECM in meeting increasingly stringent surface requirements for advanced materials. Full article
(This article belongs to the Section D:Materials and Processing)
Show Figures

Figure 1

22 pages, 4389 KB  
Article
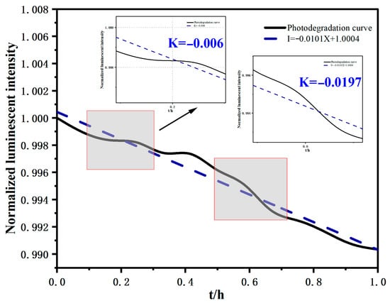
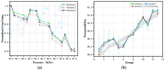
Integrated Hardware and Algorithmic Decoupling of Light-Noise-Attenuation Coupled Errors: A Path to 50 Pa Precision in Micro-Pressure PSP Measurements
by Kun Cao, Qiang Liu, Chunhua Wei, Yunmao Bai and Lei Liang
Aerospace 2025, 12(10), 929; https://doi.org/10.3390/aerospace12100929 (registering DOI) - 15 Oct 2025
Abstract
In low-speed flow (Ma < 0.3), pressure-sensitive paint (PSP) technology encounters a significant bottleneck in micro-pressure measurements due to the coupled interference of light source instability, camera noise, and paint photodegradation. This study introduces a hardware–algorithm collaborative decoupling framework to address the light [...] Read more.
In low-speed flow (Ma < 0.3), pressure-sensitive paint (PSP) technology encounters a significant bottleneck in micro-pressure measurements due to the coupled interference of light source instability, camera noise, and paint photodegradation. This study introduces a hardware–algorithm collaborative decoupling framework to address the light noise–degradation coupling issue. The framework integrates real-time light source fluctuation monitoring using a photomultiplier tube (PMT), a combined histogram–wavelet denoising algorithm, and a dynamic photodegradation compensation model. A high-precision static calibration system with a pressure control error of 3.4 Pa was constructed to validate the proposed framework. The experimental results indicate that light source fluctuations contribute an error of 42.61 Pa, accounting for 33% of the total error. After collaborative optimization, the PSP measurement error was reduced to below 50 Pa, representing a 50% improvement compared to previous results (100 Pa). This study provides reliable technical support for micro-pressure measurement applications, such as low-speed wind tunnel testing of aerospace vehicles and microfluidic diagnostics. Full article
(This article belongs to the Section Aeronautics)
Show Figures

Figure 1

19 pages, 3248 KB  
Article
Effects of Riparian Zone Width and Soil Depth: Soil Environmental Factors Drive Changes in Soil Enzyme Activity
by Zixuan Yan, Peng Li, Chaohong Feng, Yongxiang Cao, Kunming Lu, Chenxu Zhao and Zhanbin Li
Land 2025, 14(10), 2056; https://doi.org/10.3390/land14102056 - 15 Oct 2025
Abstract
Functioning as a critical ecotone between terrestrial and aquatic ecosystems, riparian zones exhibit soil enzyme activities that serve as key biomarkers of their nutrient cycling processes. However, despite considerable focus on riparian soil properties, the dynamics and underlying drivers of these enzymatic activities [...] Read more.
Functioning as a critical ecotone between terrestrial and aquatic ecosystems, riparian zones exhibit soil enzyme activities that serve as key biomarkers of their nutrient cycling processes. However, despite considerable focus on riparian soil properties, the dynamics and underlying drivers of these enzymatic activities are not yet fully characterized. To this end, soils were systematically sampled across varying widths and depths from three representative riparian zones to quantify the driving forces of physicochemical properties on enzyme activity dynamics. The results showed that the soil enzyme activity was highest in the forest riparian zone and lowest in the farmland riparian zone, with average enzyme activities of 37.95 (μmol·g−1·h−1) and 26.85 (μmol·g−1·h−1), respectively. The width of the riparian zone changes the spatial distribution of soil enzyme activity. The soil enzyme activity is higher in the land edge area far from the river (profile-1) and lower in the water edge area near the river (profile-4), with average enzyme activities of 47.4384 (μmol·g−1·h−1) and 17.0017 (μmol·g−1·h−1), respectively. Moreover, soil water content (SWC) has a strong impact on enzyme activity changes. The increase in soil depth reduces soil enzyme activity, with enzyme activity in the 0–20 cm soil layer being 1.5 times higher than in the 20–50 cm soil layer. Meanwhile, the primary factors influencing changes in soil enzyme activity have gradually shifted from total nitrogen (TN), nitrate nitrogen (NO3-N), and soil organic carbon (SOC) to the sole control of SOC. Research has shown that human influence strongly interferes with soil enzyme activity in riparian zones. The width of the riparian zone and soil depth serve as key drivers of the spatial distribution of soil enzyme activity by modulating soil environmental factors. The patterns revealed in this study indicate that maintaining appropriate riparian zone width and reducing anthropogenic disturbances can enhance nutrient cycling dynamics at the micro-scale by increasing soil enzyme activity. This process is crucial for strengthening the riparian zone’s macro-level ecosystem services, particularly by effectively enhancing its capacity to sequester and transform nutrients like nitrogen and phosphorus from agricultural nonpoint sources, thereby safeguarding downstream water quality. Consequently, soil enzyme activity serves as a key indicator, providing essential scientific basis for assessing riparian health and guiding ecological restoration efforts. Full article
Show Figures

Figure 1

14 pages, 4396 KB  
Article
Experimental Study on AE Response and Mechanical Behavior of Red Sandstone with Double Prefabricated Circular Holes Under Uniaxial Compression
by Ansen Gao, Jie Fu, Kuan Jiang, Chengzhi Qi, Sunhao Zheng, Yanjie Feng, Xiaoyu Ma and Zhen Wei
Processes 2025, 13(10), 3270; https://doi.org/10.3390/pr13103270 - 14 Oct 2025
Viewed by 33
Abstract
Natural rock materials, containing micro-cracks and pore defects, significantly alter their mechanical behavior. This study investigated fracture interactions of red sandstone containing double close-round holes (diameter: 10 mm; bridge angle: 30°, 45°, 60°, 90°) using acoustic emission (AE) monitoring and the discrete element [...] Read more.
Natural rock materials, containing micro-cracks and pore defects, significantly alter their mechanical behavior. This study investigated fracture interactions of red sandstone containing double close-round holes (diameter: 10 mm; bridge angle: 30°, 45°, 60°, 90°) using acoustic emission (AE) monitoring and the discrete element simulations method (DEM), which was a novel methodology for revealing dynamic failure mechanisms. The uniaxial compression tests showed that hole geometry critically controlled failure modes: specimens with 0° bridge exhibited elastic–brittle failure with intense AE energy releases and large fractures, while 45° arrangements displayed elastic–plastic behaviors with stable AE signal responses until collapse. The quantitative AE analysis revealed that the fracture-type coefficient k had a distinct temporal clustering characteristic, demonstrating the spatiotemporal synchronization of tensile and shear crack initiation and propagation. Furthermore, numerical simulations identified a critical stress redistribution phenomenon, that axial compressive force chains concentrated along the loading axis, forming continuous longitudinal compression zones, while radial tensile dispersion dominated hole peripheries. Crucially, specimens with 45° and 90° bridges induced prominently symmetric tensile fractures (85° to horizontal direction) and shear-dominated failure near junctions. These findings can advance damage prediction in discontinuous geological media and offer direct insights for optimizing excavation sequences and support design in cavern engineering. Full article
Show Figures

Figure 1

25 pages, 7807 KB  
Article
Study on the Evolution Patterns of Cavitation Clouds in Friction-Shear Cavitating Water Jets
by Xing Dong, Yun Jiang, Chenhao Guo and Lu Chang
Appl. Sci. 2025, 15(20), 10992; https://doi.org/10.3390/app152010992 - 13 Oct 2025
Viewed by 109
Abstract
Current cavitating water jet technology for mineral liberation predominantly relies on the micro-jet impact generated by bubble collapse. Consequently, conventional nozzle designs often overlook the shear effects on mineral particles within the internal flow path. Moreover, the cavitation cloud evolution mechanisms in nozzles [...] Read more.
Current cavitating water jet technology for mineral liberation predominantly relies on the micro-jet impact generated by bubble collapse. Consequently, conventional nozzle designs often overlook the shear effects on mineral particles within the internal flow path. Moreover, the cavitation cloud evolution mechanisms in nozzles operating on this innovative principle remain insufficiently explored. This study systematically evaluates the cavitation performance of an innovatively designed cavitating jet nozzle with friction-shear effects (CJN-FSE), whose optimized internal structure enhances the interlayer shear and stripping effects crucial for the liberation of layered minerals. Utilizing high-speed imaging, we visualized submerged friction-shear cavitating water jets and systematically investigated the dynamic evolution patterns of cavitation clouds under jet pressures ranging from 15 to 35 MPa. The results demonstrate that the nozzle achieves effective cavitation, with jet pressure exerting a significant influence on the morphology and evolution of the cavitation clouds. As the jet pressure increased from 15 to 35 MPa, the cloud length, width, and average shedding distance increased by 37.05%, 45.79%, and 211.25%, respectively. The mean box-counting dimension of the cloud contour rose from 1.029 to 1.074, while the shedding frequency decreased from 1360 to 640 Hz. Within the 15–25 MPa range, the clouds showed periodic evolution, with each cycle comprising four stages: inception, development, shedding, and collapse. At 30 MPa, mutual interference between adjacent clouds emerged, leading to unsteady shedding behavior. This study thereby reveals the influence of jet pressure on the dynamic evolution patterns and unsteady shedding mechanisms of the clouds. It provides a theoretical and experimental basis for subsequent research into the nozzle’s application in liberating layered minerals and proposes a new design paradigm for cavitation nozzles tailored to the mechanical properties of specific minerals. Full article
(This article belongs to the Topic Fluid Mechanics, 2nd Edition)
Show Figures

Figure 1

15 pages, 3266 KB  
Article
Nano-Functionalized Magnetic Carbon Composite for Purification of Man-Made Polluted Waters
by Tetyana I. Melnychenko, Vadim M. Kadoshnikov, Oksana M. Arkhipenko, Tetiana I. Nosenko, Iryna V. Mashkina, Lyudmila A. Odukalets, Sergey V. Mikhalovsky and Yuriy L. Zabulonov
C 2025, 11(4), 77; https://doi.org/10.3390/c11040077 - 13 Oct 2025
Viewed by 164
Abstract
Among the main man-made water pollutants that pose a danger to the environment are oil products, heavy metals, and radionuclides, as well as micro- and nanoplastics. To purify such waters, it is necessary to use advanced methods, with sorption being one of them. [...] Read more.
Among the main man-made water pollutants that pose a danger to the environment are oil products, heavy metals, and radionuclides, as well as micro- and nanoplastics. To purify such waters, it is necessary to use advanced methods, with sorption being one of them. The aim of this work is to develop a nano-functionalized composite, comprising magnetically responsive, thermally expanded graphite (TEG) and the natural clay bentonite, and to assess its ability to purify man-made contaminated waters. Throughout the course of the research, the methods of scanning electron microscopy, optical microscopy, dynamic light scattering, radiometry, and atomic absorption spectrophotometry were used. The use of the TEG–bentonite composite for the purification of the model water, simulating radioactively contaminated nuclear power plant (NPP) effluent, reduced the content of organic substances by 10–15 times, and the degree of extraction of cesium, strontium, cobalt, and manganese was between 81.4% and 98.8%. The use of the TEG–bentonite composite for the purification of real radioactively contaminated water obtained from the object “Shelter” (“Ukryttya” in Ukrainian), in the Chernobyl Exclusion Zone, Ukraine, with high activity, containing organic substances, including micro- and nanoplastics, reduced the radioactivity by three orders of magnitude. The use of cesium-selective sorbents for additional purification of the filtrate allowed for further decontamination of radioactively contaminated water with an efficiency of 99.99%. Full article
(This article belongs to the Section Carbon Materials and Carbon Allotropes)
Show Figures

Graphical abstract

28 pages, 13934 KB  
Article
Integration of Industrial Internet of Things (IIoT) and Digital Twin Technology for Intelligent Multi-Loop Oil-and-Gas Process Control
by Ali Saleh Allahloh, Mohammad Sarfraz, Atef M. Ghaleb, Abdulmajeed Dabwan, Adeeb A. Ahmed and Adel Al-Shayea
Machines 2025, 13(10), 940; https://doi.org/10.3390/machines13100940 (registering DOI) - 13 Oct 2025
Viewed by 155
Abstract
The convergence of Industrial Internet of Things (IIoT) and digital twin technology offers new paradigms for process automation and control. This paper presents an integrated IIoT and digital twin framework for intelligent control of a gas–liquid separation unit with interacting flow, pressure, and [...] Read more.
The convergence of Industrial Internet of Things (IIoT) and digital twin technology offers new paradigms for process automation and control. This paper presents an integrated IIoT and digital twin framework for intelligent control of a gas–liquid separation unit with interacting flow, pressure, and differential pressure loops. A comprehensive dynamic model of the three-loop separator process is developed, linearized, and validated. Classical stability analyses using the Routh–Hurwitz criterion and Nyquist plots are employed to ensure stability of the control system. Decentralized multi-loop proportional–integral–derivative (PID) controllers are designed and optimized using the Integral Absolute Error (IAE) performance index. A digital twin of the separator is implemented to run in parallel with the physical process, synchronized via a Kalman filter to real-time sensor data for state estimation and anomaly detection. The digital twin also incorporates structured singular value (μ) analysis to assess robust stability under model uncertainties. The system architecture is realized with low-cost hardware (Arduino Mega 2560, MicroMotion Coriolis flowmeter, pneumatic control valves, DAC104S085 digital-to-analog converter, and ENC28J60 Ethernet module) and software tools (Proteus VSM 8.4 for simulation, VB.Net 2022 version based human–machine interface, and ML.Net 2022 version for predictive analytics). Experimental results demonstrate improved control performance with reduced overshoot and faster settling times, confirming the effectiveness of the IIoT–digital twin integration in handling loop interactions and disturbances. The discussion includes a comparative analysis with conventional control and outlines how advanced strategies such as model predictive control (MPC) can further augment the proposed approach. This work provides a practical pathway for applying IIoT and digital twins to industrial process control, with implications for enhanced autonomy, reliability, and efficiency in oil and gas operations. Full article
(This article belongs to the Special Issue Digital Twins Applications in Manufacturing Optimization)
Show Figures

Figure 1

18 pages, 7555 KB  
Article
Considering γ’ and Dislocation in Constitutive Modeling of Hot Compression Behavior of Nickel-Based Powder Superalloy
by Liwei Xie, Jinhe Shi, Jiayu Liang, Dechong Li, Lei Zhao, Qian Bai, Kailun Zheng and Yaping Wang
Materials 2025, 18(20), 4680; https://doi.org/10.3390/ma18204680 - 12 Oct 2025
Viewed by 285
Abstract
The deformation mechanism during the hot compression of PM nickel-based superalloy FGH99 and its micro-structural evolution, especially the evolution of γ’ phases, are the key factors affecting the final molding quality of aero-engine hot forged turbine disks. In this study, a new constitutive [...] Read more.
The deformation mechanism during the hot compression of PM nickel-based superalloy FGH99 and its micro-structural evolution, especially the evolution of γ’ phases, are the key factors affecting the final molding quality of aero-engine hot forged turbine disks. In this study, a new constitutive model of viscoplasticity with micro-structures as physical internal parameters were developed to simulate the hot compression behavior of FGH99 by incorporating the strengthening effect of the γ’ phase. The mechanical behavior of high-temperature (>1000 K) compressive deformation of typical superalloys under a wide strain rate (0.001~1 s−1) is investigated using the Gleeble thermal-force dynamic simulation tester. The micro-structure after the hot deformation was characterized using EBSD and TEM. Work hardening as well as dynamic softening were observed in the hot compression tests. Based on the mechanical responses and micro-structural features, the model considered the coupled effects of dislocation density, DRX, and γ’ phase during hot flow. The model is programmed into a user subroutine based on the Fortran language and called in the simulation of the DEFORM-3D V6.1 software, thus realizing the multiscale predictive simulation of FGH99 alloy by combining macroscopic deformation and micro-structural evolution. The established viscoplastic constitutive model shows a peak discrepancy of 10.05% between its predicted hot flow stresses and the experimental values. For the average grain size of FGH99, predictions exhibit an error below 7.20%. These results demonstrate the high accuracy of the viscoplastic constitutive model developed in this study. Full article
Show Figures

Figure 1

39 pages, 1466 KB  
Article
Empirical Evaluation of an Elitist Replacement Strategy for Differential Evolution with Micro-Populations
by Irving Luna-Ortiz, Alejandro Rodríguez-Molina, Miguel Gabriel Villarreal-Cervantes, Mario Aldape-Pérez, Alam Gabriel Rojas-López and Jesús Aldo Paredes-Ballesteros
Biomimetics 2025, 10(10), 685; https://doi.org/10.3390/biomimetics10100685 - 12 Oct 2025
Viewed by 129
Abstract
This paper introduces a variant of differential evolution with micro-populations, called μ-DE-ERM, which incorporates a periodic elitist replacement mechanism with the aim of preserving diversity without the need to measure it explicitly. The proposed algorithm is designed for scenarios with reduced evaluation [...] Read more.
This paper introduces a variant of differential evolution with micro-populations, called μ-DE-ERM, which incorporates a periodic elitist replacement mechanism with the aim of preserving diversity without the need to measure it explicitly. The proposed algorithm is designed for scenarios with reduced evaluation budgets, where efficiency and convergence stability are critical. Its performance is evaluated on CEC 2005 and CEC 2017 benchmark suites, covering unimodal, multimodal, hybrid, and composition functions, as well as on two real-world engineering problems: the identification of dynamic parameters and the tuning of a PID controller for a one-degree-of-freedom robotic manipulator. The comparative analysis shows that μ-DE-ERM achieves competitive or superior results against its predecessors DE and μ-DE, and remains effective when contrasted with advanced algorithms such as L-SHADE and RuGA. Furthermore, additional comparisons with algorithms with competitive replacement mechanisms, μ-DE-Cauchy and μ-DE-Shrink, confirm the robustness of the proposal in real applications, particularly under strict computational constraints. These findings support μ-DE-ERM as a practical and efficient alternative for optimization problems in resource-limited environments, delivering reliable solutions at low computational cost. Full article
(This article belongs to the Special Issue Exploration of Bio-Inspired Computing: 2nd Edition)
Show Figures

Figure 1

17 pages, 8354 KB  
Article
Feasibility of a Low-Cost MEMS Accelerometer for Tree Dynamic Stability Analysis: A Comparative Study with Seismic Sensors
by Ilaria Incollu, Andrea Giachetti, Yamuna Giambastiani, Hervè Atsè Corti, Francesca Giannetti, Gianni Bartoli, Irene Piredda and Filippo Giadrossich
Forests 2025, 16(10), 1572; https://doi.org/10.3390/f16101572 - 11 Oct 2025
Viewed by 223
Abstract
Urban trees are subjected to stressful conditions caused by anthropogenic, biotic, and abiotic factors. These stressors can cause structural changes, increasing the risks of branch failure or even complete uprooting. To mitigate the risks to people’s safety, administrators must assess and evaluate the [...] Read more.
Urban trees are subjected to stressful conditions caused by anthropogenic, biotic, and abiotic factors. These stressors can cause structural changes, increasing the risks of branch failure or even complete uprooting. To mitigate the risks to people’s safety, administrators must assess and evaluate the health and structural stability of trees. Risk analysis typically takes into account environmental vulnerability and tree characteristics, assessed at a specific point in time. However, although dynamic tests play a crucial role in risk assessment in urban environments, the high cost of the sensors significantly limits their widespread application across large tree populations. For this reason, the present study aims to evaluate the effectiveness of low-cost sensors in monitoring tree dynamics. A low-cost micro-electro-mechanical systems (MEMS) sensor is tested in the laboratory and the field using a pull-and-release test, and its performance is compared with that of seismic reference accelerometers. The collected data are analyzed and compared in terms of both the frequency and time domains. To obtain reliable measurements, the accelerations must be generated by substantial dynamic excitations, such as high wind events or abrupt changes in loading conditions. The results show that the MEMS sensor has lower accuracy and higher noise compared to the seismic sensor; however, the MEMS can still identify the main peaks in the frequency domain compared to the seismic sensor, provided that the input amplitude is sufficiently high. Full article
(This article belongs to the Section Forest Inventory, Modeling and Remote Sensing)
Show Figures

Figure 1

17 pages, 4602 KB  
Article
Experimental Investigation of Hydraulic Fracturing Damage Mechanisms in the Chang 7 Member Shale Reservoirs, Ordos Basin, China
by Weibo Wang, Lu Bai, Peiyao Xiao, Zhen Feng, Meng Wang, Bo Wang and Fanhua Zeng
Energies 2025, 18(20), 5355; https://doi.org/10.3390/en18205355 - 11 Oct 2025
Viewed by 198
Abstract
The Chang 7 member of the Ordos Basin hosts abundant shale oil and gas resources and plays a vital role in the development of unconventional energy. This study investigates differences in damage evolution and underlying mechanisms between representative shale oil and shale gas [...] Read more.
The Chang 7 member of the Ordos Basin hosts abundant shale oil and gas resources and plays a vital role in the development of unconventional energy. This study investigates differences in damage evolution and underlying mechanisms between representative shale oil and shale gas reservoir cores from the Chang 7 member under fracturing fluid hydration. A combination of high-temperature expansion tests, nuclear magnetic resonance (NMR), and micro-computed tomography (Micro-CT) was used to systematically characterize macroscopic expansion behavior and microscopic pore structure evolution. Results indicate that shale gas cores undergo faster expansion and higher imbibition rates during hydration (reaching stability in 10 h vs. 23 h for shale oil cores), making them more vulnerable to water-lock damage, while shale oil cores exhibit slower hydration but more pronounced pore structure reconstruction. After 72 h of immersion in fracturing fluid, both core types experienced reduced pore volumes and structural reorganization; however, shale oil cores demonstrated greater capacity for pore reconstruction, with a newly formed pore volume fraction of 34.5% compared to 24.6% for shale gas cores. NMR and Micro-CT analyses reveal that hydration is not merely a destructive process but a dynamic “damage–reconstruction” evolution. Furthermore, the addition of clay stabilizers effectively mitigates water sensitivity and preserves pore structure, with 0.7% identified as the optimal concentration. The research results not only reveal the differential response law of fracturing fluid damage in the Chang 7 shale reservoir but also provide a theoretical basis and technical support for optimizing fracturing fluid systems and achieving differential production increases. Full article
(This article belongs to the Section H: Geo-Energy)
Show Figures

Graphical abstract

32 pages, 2199 KB  
Review
Regulatory Landscapes of Non-Coding RNAs During Drought Stress in Plants
by Paulina Bolc, Marta Puchta-Jasińska, Adrian Motor, Marcin Maździarz and Maja Boczkowska
Int. J. Mol. Sci. 2025, 26(20), 9892; https://doi.org/10.3390/ijms26209892 (registering DOI) - 11 Oct 2025
Viewed by 314
Abstract
Drought is a leading constraint on plant productivity and will intensify with climate change. Plant acclimation emerges from a multilayered regulatory system that integrates signaling, transcriptional reprogramming, RNA-based control, and chromatin dynamics. Within this hierarchy, non-coding RNAs (ncRNAs) provide a unifying regulatory layer; [...] Read more.
Drought is a leading constraint on plant productivity and will intensify with climate change. Plant acclimation emerges from a multilayered regulatory system that integrates signaling, transcriptional reprogramming, RNA-based control, and chromatin dynamics. Within this hierarchy, non-coding RNAs (ncRNAs) provide a unifying regulatory layer; microRNAs (miRNAs) modulate abscisic acid and auxin circuits, oxidative stress defenses, and root architecture. This balances growth with survival under water-deficient conditions. Small interfering RNAs (siRNAs) include 24-nucleotide heterochromatic populations that operate through RNA-directed DNA methylation, which positions ncRNA control at the transcription–chromatin interface. Long non-coding RNAs (lncRNAs) act in cis and trans, interact with small RNA pathways, and can serve as chromatin-associated scaffolds. Circular RNAs (circRNAs) are increasingly being detected as responsive to drought. Functional studies in Arabidopsis and maize (e.g., ath-circ032768 and circMED16) underscore their regulatory potential. This review consolidates ncRNA biogenesis and function, catalogs drought-responsive modules across model and crop species, especially cereals, and outlines methodological priorities, such as long-read support for isoforms and back-splice junctions, stringent validation, and integrative multiomics. The evidence suggests that ncRNAs are tractable entry points for enhancing drought resilience while managing growth–stress trade-offs. Full article
(This article belongs to the Special Issue Plant Responses to Biotic and Abiotic Stresses)
Show Figures

Figure 1

21 pages, 1111 KB  
Article
Beyond Immediate Impact: A Systems Perspective on the Persistent Effects of Population Policy on Elderly Well-Being
by Haoxuan Cheng, Guang Yang, Zhaopeng Xu and Lufa Zhang
Systems 2025, 13(10), 897; https://doi.org/10.3390/systems13100897 (registering DOI) - 11 Oct 2025
Viewed by 187
Abstract
This study adopts a systems perspective to examine the persistent effects of China’s One-Child Policy (OCP) on the subjective well-being of older adults, emphasizing structural persistence, reinforcing feedback, and path-dependent lock-in in complex socio-technical systems. Using nationally representative data from the China Longitudinal [...] Read more.
This study adopts a systems perspective to examine the persistent effects of China’s One-Child Policy (OCP) on the subjective well-being of older adults, emphasizing structural persistence, reinforcing feedback, and path-dependent lock-in in complex socio-technical systems. Using nationally representative data from the China Longitudinal Aging Social Survey (CLASS-2014), we exploit the OCP’s formal rollout at the end of 1979—operationalized with a 1980 cutoff—as a quasi-natural experiment. A Fuzzy Regression Discontinuity (FRD) design identifies the Local Average Treatment Effect of being an only-child parent on late-life well-being, mitigating endogeneity from selection and omitted variables. Theoretically, we integrate three lenses—policy durability and lock-in, intergenerational support, and life course dynamics—to construct a cross-level transmission framework: macro-institutional environments shape substitution capacity and constraint sets; meso-level family restructuring reconfigures support network topology and intergenerational resource flows; micro-level life-course processes accumulate policy-induced adaptations through education, savings, occupation, and residence choices, with effects materializing in old age. Empirically, we find that the OCP significantly reduces subjective well-being among the first generation of affected parents decades later (2SLS estimate ≈ −0.23 on a 1–5 scale). The effects are heterogeneous: rural residents experience large negative impacts, urban effects are muted; men are more adversely affected than women; and individuals without spouses exhibit greater declines than those with spouses. Design validity is supported by a discontinuous shift in fertility at the threshold, smooth density and covariate balance around the cutoff, bandwidth insensitivity, “donut” RD robustness, and a placebo test among ethnic minorities exempt from strict enforcement. These results demonstrate how demographic policies generate lasting impacts on elderly well-being through transforming intergenerational support systems. Policy implications include strengthening rural pension and healthcare systems, expanding community-based eldercare services for spouseless elderly, and developing complementary support programs. Full article
Show Figures

Figure 1

30 pages, 7320 KB  
Article
Micro-Hydropower Generation Using an Archimedes Screw: Parametric Performance Analysis with CFD
by Martha Fernanda Mohedano-Castillo, Carlos Díaz-Delgado, Boris Miguel López-Rebollar, Humberto Salinas-Tapia, Abad Posadas-Bejarano and David Rojas Valdez
Fluids 2025, 10(10), 264; https://doi.org/10.3390/fluids10100264 - 10 Oct 2025
Viewed by 263
Abstract
Micro-hydropower technologies are increasingly attracting attention due to their potential to contribute to sustainable energy generation. With the growing global demand for electricity, it is essential to research and innovate in the development of devices capable of harnessing hydroelectric potential through such technologies. [...] Read more.
Micro-hydropower technologies are increasingly attracting attention due to their potential to contribute to sustainable energy generation. With the growing global demand for electricity, it is essential to research and innovate in the development of devices capable of harnessing hydroelectric potential through such technologies. In this context, the Archimedes screw generator (ASG) stands out as a device that potentially offers significant advantages for micro-hydropower generation. This study aimed, through a simplified yet effective method, to analyze and determine the simultaneous effects of the number of blades, inclination angle, and flow rate on the torque, mechanical power, and efficiency of an ASG. Computational Fluid Dynamics (CFD) was employed to obtain the torque and perform the hydrodynamic analysis of the devices, in order to compare the results of the optimal geometric and operational characteristics with previous studies. This proposal also helps guide future work in the preliminary design and evaluation of ASGs, considering the geometric and flow conditions that take full advantage of the available water resources. Under the specific conditions analyzed, the most efficient generator featured three blades, a 20° inclination, and an inlet flow rate of 24.5 L/s, achieving a mechanical power output of 117 W with an efficiency of 71%. Full article
Show Figures

Figure 1

21 pages, 4328 KB  
Article
Design and Optimization of Lightweight Electromagnetic Valves for High-Altitude Latex Balloons
by Xiaoran Li, Donghui Zhang, Qiguang Yang, Zihao Wang and Chen Chen
Machines 2025, 13(10), 934; https://doi.org/10.3390/machines13100934 - 10 Oct 2025
Viewed by 229
Abstract
To address the altitude control requirements of high-altitude latex balloons, this paper proposes a novel lightweight electromagnetically actuated valve design. The valve employs a permanent magnet–electromagnet–spring composite structure to achieve rapid opening/closing motions through electromagnetic force control, enabling precise regulation of balloon gas [...] Read more.
To address the altitude control requirements of high-altitude latex balloons, this paper proposes a novel lightweight electromagnetically actuated valve design. The valve employs a permanent magnet–electromagnet–spring composite structure to achieve rapid opening/closing motions through electromagnetic force control, enabling precise regulation of balloon gas venting. 3D electromagnetic field simulations were conducted to validate the magnetic flux density distribution, while computational fluid dynamics (CFD) simulations based on the Reynolds-averaged Navier–Stokes equations were employed to evaluate the valve’s aerodynamic characteristics. The CFD results confirmed stable venting performance, with near-linear flow–pressure relationships and localized jet structures that support reliable operation under stratospheric conditions. A multidisciplinary optimization framework was further applied to achieve a lightweight structural design of critical components. Experimental results demonstrate that the optimized valve achieves a total mass of 984.69 g with an actuation force of 15.263 N, maintaining stable performance across a temperature range of −60 °C to 25 °C. This study provides an innovative and systematically validated solution for micro-valve design in lighter-than-air vehicles. Full article
Show Figures

Figure 1

Back to TopTop