Considering γ’ and Dislocation in Constitutive Modeling of Hot Compression Behavior of Nickel-Based Powder Superalloy
Abstract
1. Introduction
2. Experimental Methods
2.1. Experimental Material
2.2. Hot Compression Test
3. Hot Compression Results
3.1. Hot Flow Behavior
3.2. Micro-Structure Characterization
4. Material Modeling
4.1. Constitutive Modeling of Nickel-Based Powder Superalloy
4.1.1. Modeling of γ’ Precipitates
4.1.2. Constitutive Modeling of Hot Deformation
4.2. Model Verification
4.2.1. Prediction of Stress–Strain Curve
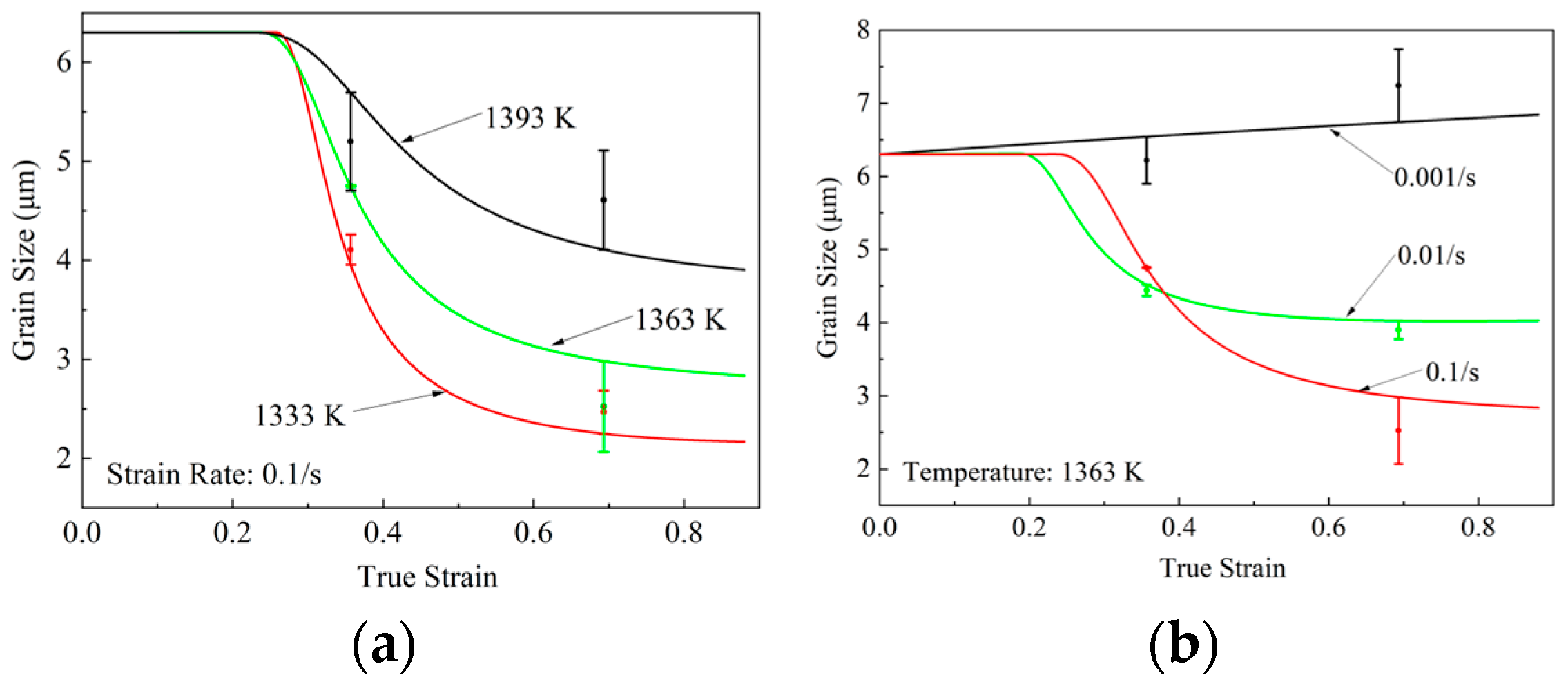
4.2.2. Prediction of Grain Size
5. Deform Thermal Compression Simulation
5.1. Buildup of Model
5.2. Finite Element Results and Analysis
6. Conclusions
- (1)
- Within the temperature range of 1303–1393 K, FGH99 exhibit high sensitivity to both strain rate and temperature. As temperature increases and strain rate decreases, the flow stress rises. Significant work hardening occurs during the early stages of deformation, attributed to dislocation multiplication and dislocation pile-up hindering the deformation of the alloy. As deformation progresses, dynamic recovery becomes one of the dominant mechanisms governing the material’s behavior.
- (2)
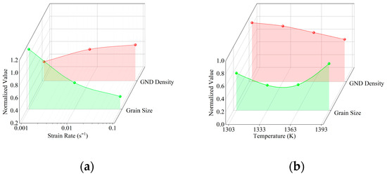
- Microstructural observations by EBSD indicate that the hot deformation behavior of FGH99 is governed by the competitive interaction between work hardening and DRX. Elevated strain rates promote dislocation accumulation and grain refinement by restricting recovery and DRX progress, whereas higher temperatures facilitate dislocation annihilation and grain growth. There is a strong negative correlation between grain size and GND density.
- (3)
- TEM observations reveal the γ’ phase as a strengthening phase in FGH99. Microscopic morphology indicates that γ’ significantly impedes dislocation movement. Concurrently, the precipitation of γ’ along grain boundaries results in a serrated surface structure at these interfaces. This enhances the creep resistance of nickel-based superalloys during high-temperature deformation. Furthermore, the inherently high shear strength of the γ’ phase exerts a pronounced influence on the mechanical properties of the material.
- (4)
- A new constitutive of viscoplasticity with micro-structures as physical internal parameters was established, which is able to accurately predict the stress–strain curve of FGH99 in the experimental range, with a maximum deviation of 10.05% in its prediction. The grain size was also predicted with a maximum deviation of 7.20%. In addition, through the secondary development to achieve the call of the model in the DEFORM simulation, the micro-structure evolution in the simulation is consistent with the micro-structure pattern in the test.
Author Contributions
Funding
Informed Consent Statement
Data Availability Statement
Conflicts of Interest
References
- Kumar, S.S.S.; Raghu, T.; Bhattacharjee, P.P.; Rao, G.A.; Borah, U. Strain Rate Dependent micro-structural Evolution during Hot Deformation of a Hot Isostatically Processed Nickel Base Superalloy. J. Alloys Compd. 2016, 681, 28–42. [Google Scholar] [CrossRef]
- Raisson, G.; Guédou, J.Y.; Guichard, D.; Rongvaux, J.M. Production of Net-Shape Static Parts by Direct HIPing of Nickel Base Superalloy Prealloyed Powders. In Euro Superalloys 2010; Trans Tech Publications Ltd.: Stafa-Zurich, Switzerland, 2011; Volume 278, pp. 277–282. [Google Scholar] [CrossRef]
- Mukhtarov, S.; Karyagin, D.; Ganeev, A.; Zainullin, R.; Shakhov, R.; Imayev, V. The Effect of Forging and Heat Treatment Variables on micro-structure and Mechanical Properties of a Re-Bearing Powder-Metallurgy Nickel Base Superalloy. Metals 2023, 13, 1110. [Google Scholar] [CrossRef]
- Yang, Q.Z.; Shi, D.Q.; Yang, X.G.; Huang, W.Q. Propagation Behaviors of Small Cracks in Powder Metallurgy Nickel-Based Superalloy FGH4096. Acta Metall. Sin. 2022, 58, 683–694. [Google Scholar] [CrossRef]
- Chen, L.; Zhang, B.; Yang, Y.; Zhao, T.; Xu, Y.; Wang, Q.; Zan, B.; Cai, J.; Wang, K.; Chen, X. Evolution of Hot Processing Map and micro-structure of As-Forged Nickel-Based Superalloy during Hot Deformation. J. Mater. Res. Technol. 2023, 24, 7638–7653. [Google Scholar] [CrossRef]
- Li, Q.H.; Li, F.G.; Wan, Q.; Li, M.Q. Finite Element Simulation of Superplastic Isothermal Forging Process for Nickel-Base PM Superalloy. MSF 2007, 551–552, 297–302. [Google Scholar] [CrossRef]
- Guo, B.; Sun, C.S.; Zhang, S.C.; Ge, C.C. Isothermal Forging Process Design for Spray-Formed FGH95 Superalloy Turbine Disk Based on Numerical Simulation. Rare Met. 2013, 32, 347–353. [Google Scholar] [CrossRef]
- Tan, Y.B.; Ma, Y.H.; Zhao, F. Hot Deformation Behavior and Constitutive Modeling of Fine Grained Inconel 718 Superalloy. J. Alloys Compd. 2018, 741, 85–96. [Google Scholar] [CrossRef]
- Zhang, J.B.; Wu, C.J.; Peng, Y.Y.; Xia, X.C.; Li, J.G.; Ding, J.; Liu, C.; Chen, X.G.; Dong, J.; Liu, Y.C. Hot Compression Deformation Behavior and Processing Maps of ATI 718Plus Superalloy. J. Alloys Compd. 2020, 835, 155195. [Google Scholar] [CrossRef]
- Kim, Y.-K.; Kim, D.; Kim, H.-K.; Oh, C.-S.; Lee, B.-J. An Intermediate Temperature Creep Model for Ni-Based Superalloys. Int. J. Plast. 2016, 79, 153–175. [Google Scholar] [CrossRef]
- Lin, Y.C.; Wen, D.X.; Deng, J.; Liu, G.; Chen, J. Constitutive Models for High-Temperature Flow Behaviors of a Ni-Based Superalloy. Mater. Des. 2014, 59, 115–123. [Google Scholar] [CrossRef]
- Geng, P.; Qin, G.; Zhou, J.; Li, T.; Ma, N. Characterization of micro-structures and Hot-Compressive Behavior of GH4169 Superalloy by Kinetics Analysis and Simulation. J. Mater. Process. Technol. 2021, 288, 116879. [Google Scholar] [CrossRef]
- Wu, H.; Liu, M.X.; Wang, Y.; Huang, Z.Q.; Tan, G.; Yang, L. Experimental Study and Numerical Simulation of Dynamic Recrystallization for a FGH96 Superalloy during Isothermal Compression. J. Mater. Res. Technol. 2020, 9, 5090–5104. [Google Scholar] [CrossRef]
- Slavik, D.; Cook, T.S. A Unified Constitutive Model for Superalloys. Int. J. Plast. 1990, 6, 651–664. [Google Scholar] [CrossRef]
- Lin, Y.C.; Chen, X.M.; Wen, D.X.; Chen, M.S. A Physically-Based Constitutive Model for a Typical Nickel-Based Superalloy. Comput. Mater. Sci. 2014, 83, 282–289. [Google Scholar] [CrossRef]
- Basoalto, H.C.; Brooks, J.W.; Di Martino, I. Multiscale micro-structure Modelling for Nickel Based Superalloys. Mater. Sci. Technol. 2009, 25, 221–227. [Google Scholar] [CrossRef]
- Zhang, M.X.; Zhang, B.J.; Jiao, X.Y.; Ding, H. Hot deformation behaviors and micro-structure evolution of a supersaturated nickel-based superalloy. Mater. Charact. 2024, 211, 113915. [Google Scholar] [CrossRef]
- Wang, Y.; Shao, W.Z.; Zhen, L.; Zhang, X.M. micro-structure Evolution during Dynamic Recrystallization of Hot Deformed Superalloy 718. Mater. Sci. Eng. A 2008, 486, 321–332. [Google Scholar] [CrossRef]
- Kardani, A.; Mehrafrooz, B.; Montazeri, A. MD-based Computational Design of New Engineered Ni-Based Nanocatalysts: An In-Depth Study of the Underlying Mechanism. Eur. Phys. J. Plus 2018, 133, 88. [Google Scholar] [CrossRef]
- Lin, J.; Liu, Y. A Set of Unified Constitutive Equations for Modelling micro-structure Evolution in Hot Deformation. J. Mater. Process. Technol. 2003, 143–144, 281–285. [Google Scholar] [CrossRef]
- Zener, C. Theory of Growth of Spherical Precipitates from Solid Solution. J. Appl. Phys. 1949, 20, 950–953. [Google Scholar] [CrossRef]
- Liu, Z.S.; Mohles, V.; Engler, O.; Gottstein, G. Thermodynamics Based Modelling of the Precipitation Kinetics in Commercial Aluminium Alloys. Comput. Mater. Sci. 2014, 81, 410–417. [Google Scholar] [CrossRef]
- Zhang, J.; Deng, Y.L.; Zhang, X.M. Constitutive Modeling for Creep Age Forming of Heat-Treatable Strengthening Aluminum Alloys Containing Plate or Rod Shaped Precipitates. Mater. Sci. Eng. A 2013, 563, 8–15. [Google Scholar] [CrossRef]
- da Costa Teixeira, J.; Cram, D.G.; Bourgeois, L.; Bastow, T.J.; Hill, A.J.; Hutchinson, C.R. On the Strengthening Response of Aluminum Alloys Containing Shear-Resistant Plate-Shaped Precipitates. Acta Mater. 2008, 56, 6109–6122. [Google Scholar] [CrossRef]
- Aaronson, H.I.; Kinsman, K.R.; Russell, K.C. The Volume Free Energy Change Associated with Precipitate Nucleation. Scr. Metall. 1970, 4, 101–106. [Google Scholar] [CrossRef]
- Li, C.; Wan, M.; Wu, X.D.; Huang, L. Constitutive Equations in Creep of 7B04 Aluminum Alloys. Mater. Sci. Eng. A 2010, 527, 3623–3629. [Google Scholar] [CrossRef]
- Perrard, F.; Deschamps, A.; Maugis, P. Modelling the Precipitation of NbC on Dislocations in α-Fe. Acta Mater. 2007, 55, 1255–1266. [Google Scholar] [CrossRef]
- Liu, G.; Zhang, G.J.; Ding, X.D.; Sun, J.; Chen, K.H. Modeling the Strengthening Response to Aging Process of Heat-Treatable Aluminum Alloys Containing Plate/Disc- or Rod/Needle-Shaped Precipitates. Mater. Sci. Eng. A 2003, 344, 113–124. [Google Scholar] [CrossRef]
- Lin, J.G. Fundamentals of Materials Modelling for Metals Processing Technologies: Theories and Applications; Volume Chapter 3: Unified Constitutive Modelling Techniques; Imperial College Press: London, UK, 2015. [Google Scholar] [CrossRef]
- Lin, J.; Dean, T.A. Modelling of micro-structure Evolution in Hot Forming Using Unified Constitutive Equations. J. Mater. Process. Technol. 2005, 167, 354–362. [Google Scholar] [CrossRef]
- Sandström, R.; Lagneborg, R. A model for hot working occurring by recrystallization. Acta Metall. 1975, 23, 387–398. [Google Scholar] [CrossRef]
- Su, Z.X.; Sun, C.Y.; Wang, M.W.; Qian, L.Y.; Li, X.T. Modeling of micro-structure evolution of AZ80 magnesium alloy during hot working process using a unified internal state variable method. J. Magnes. Alloys 2022, 10, 281–294. [Google Scholar] [CrossRef]
- Huo, Y.M.; Wang, B.Y.; Bai, Q.; Lin, J.G. Viscoplastic damage constitutive modelling of high-speed railway axle steel 25CrMo4. Key Eng. Mater. 2014, 622–623, 679–686. [Google Scholar] [CrossRef]
- Bao, Z.N.; Chen, X.X.; Wu, S.H.; Xie, L.W.; Yang, B.; Zheng, K.L.; Wang, Y.P. Hot deformation behavior and physical-based constitutive modelling under plane-stress state for nickel-based superalloy sheets. Int. J. Adv. Manuf. Technol. 2024, 134, 1621–1635. [Google Scholar] [CrossRef]
- Jensen, F. Activation Energies and the Arrhenius Equation. Qual. Reliab. Eng. 1985, 1, 13–17. [Google Scholar] [CrossRef]












| Cr | Co | Mo | Ta | Nb | Al | Ti | C | Zr | B | Ni |
|---|---|---|---|---|---|---|---|---|---|---|
| 11.0~13.0 | 19.0~22.0 | 3.5~6.0 | 2.4~4.0 | 0.5~1.0 | 3.0~5.0 | 0.0~4.5 | 0.05 | 0.05 | 0.03 | 44.1~60.47 |
| 0.001 s−1 | 0.01 s−1 | 0.1 s−1 | 1 s−1 | |
|---|---|---|---|---|
| 1303 K | √ | √ | √ | √ |
| 1333 K | √ | √ | √ | √ |
| 1363 K | √ | √ | √ | √ |
| 1393 K | √ | √ | √ | √ |
| 0.001 s−1 | 0.01 s−1 | 0.1 s−1 | 1 s−1 | |
|---|---|---|---|---|
| 1303 K | √ | √ | √ | √ |
| 1333 K | √ | √ | √ | √ |
| 1363 K | √ | √ | √ | √ |
| 1393 K | √ | √ | √ | √ |
| (MPa) | (MPa) | ||||
| 0.14667 | 1.39 × 10−8 | 0.00478 | 47.7141 | 2.96 × 10−5 | 7.267 × 10−6 |
| (MPa) | |||||
| 2.863 × 10−6 | 4.490 × 104 | 42.044 | 0.0532 | 5.594 × 10−4 | 2.484 × 104 |
| (J/mol) | (J/mol) | (J/mol) | |||
| 7.28 × 104 | 2.480 × 105 | 5.156 × 104 | 5.162 × 104 | 1.210 × 105 | 1.599 × 105 |
| (J/mol) | (J/mol) | (J/mol) | |||
| 1.768 × 105 | 1.161 × 105 | 2.981 × 104 | 9.5671 × 104 | 7.870 × 104 | 1.202 × 105 |
| () | () | ||||
| 3.5649 | 2.1 | 3.30675 | 3.5649 | 0.1016 | 0.02 |
| 3.4 × 10−3 | 1.39451 | 3.92391 | 1.8529 | 5.594 × 10−4 | 0.98 |
| E (MPa) | |||||
| 0.7 | 1.337 × 104 | 0.21 | 1 × 10−5 | 2 × 103 | 2.2 |
| 2.3 | 8 | 0.02 | 2.2 | 0.01 | 0.3 |
| D | c | ||||
| 4 | 12 | 1 × 103 | 26 | 1.2 | 2.5 × 104 |
| User-Defined Element Variables | Symbol | Variable Definition |
|---|---|---|
| USRE1 (1) | Equivalent Plastic Strain | |
| USRE1 (2) | Equivalent Plastic Strain rate | |
| USRE1 (3) | Work Hardening | |
| USRE1 (4) | Normalized Dislocation Density | |
| USRE1 (5) | Grain Size | |
| USRE1 (6) | Re-crystallization Fraction | |
| USRE1 (7) | Normalized Critical Dislocation Density | |
| USRE1 (8) | Damage Coefficient | |
| USRE1 (9) | Dislocation Density Rate | |
| USRE1 (10) | Work Hardening Rate | |
| USRE1 (11) | Re-crystallization Rate | |
| USRE1 (12) | Re-crystallization inoculation time |
Disclaimer/Publisher’s Note: The statements, opinions and data contained in all publications are solely those of the individual author(s) and contributor(s) and not of MDPI and/or the editor(s). MDPI and/or the editor(s) disclaim responsibility for any injury to people or property resulting from any ideas, methods, instructions or products referred to in the content. |
© 2025 by the authors. Licensee MDPI, Basel, Switzerland. This article is an open access article distributed under the terms and conditions of the Creative Commons Attribution (CC BY) license (https://creativecommons.org/licenses/by/4.0/).
Share and Cite
Xie, L.; Shi, J.; Liang, J.; Li, D.; Zhao, L.; Bai, Q.; Zheng, K.; Wang, Y. Considering γ’ and Dislocation in Constitutive Modeling of Hot Compression Behavior of Nickel-Based Powder Superalloy. Materials 2025, 18, 4680. https://doi.org/10.3390/ma18204680
Xie L, Shi J, Liang J, Li D, Zhao L, Bai Q, Zheng K, Wang Y. Considering γ’ and Dislocation in Constitutive Modeling of Hot Compression Behavior of Nickel-Based Powder Superalloy. Materials. 2025; 18(20):4680. https://doi.org/10.3390/ma18204680
Chicago/Turabian StyleXie, Liwei, Jinhe Shi, Jiayu Liang, Dechong Li, Lei Zhao, Qian Bai, Kailun Zheng, and Yaping Wang. 2025. "Considering γ’ and Dislocation in Constitutive Modeling of Hot Compression Behavior of Nickel-Based Powder Superalloy" Materials 18, no. 20: 4680. https://doi.org/10.3390/ma18204680
APA StyleXie, L., Shi, J., Liang, J., Li, D., Zhao, L., Bai, Q., Zheng, K., & Wang, Y. (2025). Considering γ’ and Dislocation in Constitutive Modeling of Hot Compression Behavior of Nickel-Based Powder Superalloy. Materials, 18(20), 4680. https://doi.org/10.3390/ma18204680

