Sign in to use this feature.

Years

Between: -

Subjects

remove_circle_outline
remove_circle_outline
remove_circle_outline
remove_circle_outline
remove_circle_outline
remove_circle_outline
remove_circle_outline
remove_circle_outline
remove_circle_outline

Journals

remove_circle_outline
remove_circle_outline
remove_circle_outline
remove_circle_outline
remove_circle_outline
remove_circle_outline
remove_circle_outline
remove_circle_outline
remove_circle_outline

Article Types

Countries / Regions

remove_circle_outline
remove_circle_outline
remove_circle_outline
remove_circle_outline
remove_circle_outline
remove_circle_outline
remove_circle_outline

Search Results (838)

Search Parameters:
Keywords = methicillin resistant S. aureus (MRSA)

Order results
Result details
Results per page
Select all
Export citation of selected articles as:
17 pages, 2298 KB  
Article
Lectin–Rose Bengal Conjugates for Targeted Photodynamic Inactivation of Pathogenic Bacteria
by Melad Atrash, Iryna Hovor, Marina Nisnevitch and Faina Nakonechny
Int. J. Mol. Sci. 2026, 27(2), 819; https://doi.org/10.3390/ijms27020819 - 14 Jan 2026
Abstract
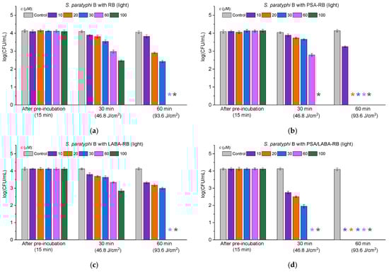
The growing threat of antibiotic-resistant bacteria necessitates the development of alternative antimicrobial strategies. This study investigated the design and evaluation of novel photodynamic agents based on Rose Bengal (RB) conjugated to two plant lectins, Pisum sativum agglutinin (PSA) and Laburnum anagyroides agglutinin (LABA), [...] Read more.
The growing threat of antibiotic-resistant bacteria necessitates the development of alternative antimicrobial strategies. This study investigated the design and evaluation of novel photodynamic agents based on Rose Bengal (RB) conjugated to two plant lectins, Pisum sativum agglutinin (PSA) and Laburnum anagyroides agglutinin (LABA), for targeted photodynamic inactivation of Gram-positive and Gram-negative bacteria. Both conjugates demonstrated high singlet oxygen quantum yields compared with free RB. Antibacterial efficacy was assessed against methicillin-sensitive and methicillin-resistant Staphylococcus aureus, Escherichia coli, Pseudomonas aeruginosa, and Salmonella paratyphi B under white LED illumination. PSA-RB exhibited superior bactericidal activity against all strains, whereas LABA-RB showed strain-specific efficacy, particularly against Gram-negative species. A binary mixture of PSA-RB and LABA-RB synergistically inactivated both MSSA and MRSA at RB concentrations of 6–10 nM and light doses of 3.1–7.8 J/cm2. Complete killing of E. coli and S. paratyphi B was achieved at approximately half the RB concentrations needed for individual conjugates. PSA-RB activity primarily drove the inactivation of P. aeruginosa. Uptake studies revealed significantly enhanced accumulation of lectin-conjugated RB compared to free RB, with synergistic uptake observed for the conjugate mixture. These results suggest that lectin-based RB conjugates are effective antibacterial agents for photodynamic treatment, especially via the dual-targeting method. Full article
Show Figures

Figure 1

16 pages, 2657 KB  
Article
Prevalence and Characterization of Methicillin-Resistant Staphylococcus aureus from Animals, Retail Meats and Market Shopping Vehicles in Shandong, China
by Ting-Yu Yang, Chong-Xiang Sun, Junjie Wang, Zhiyuan You, Hao Wang, Kelan Yi, Feng-Jing Song and Bao-Tao Liu
Foods 2026, 15(2), 248; https://doi.org/10.3390/foods15020248 - 9 Jan 2026
Viewed by 160
Abstract
Staphylococcus aureus has been recognized as an important foodborne pathogen and methicillin-resistant S. aureus (MRSA) can cause fatal infections worldwide. Of great concern is that MRSA have been found in animals and non-healthcare settings; however, knowledge about the prevalence and genetic characteristics of [...] Read more.
Staphylococcus aureus has been recognized as an important foodborne pathogen and methicillin-resistant S. aureus (MRSA) can cause fatal infections worldwide. Of great concern is that MRSA have been found in animals and non-healthcare settings; however, knowledge about the prevalence and genetic characteristics of S. aureus, especially MRSA from animals, retail meats and market shared shopping vehicles in the same district, is limited. In this study, we collected 423 samples including handrail swabs (n = 226) of shopping trolleys and baskets from 18 supermarkets, retail meats (n = 137) and swine nasal swabs (n = 60) between 2018 and 2020 in China. S. aureus isolates were isolated and identified by PCR, and then the mecA was used to confirm the MRSA. The antibiotic resistance and virulence genes among S. aureus were also analyzed, followed by whole genome sequencing (WGS). S. aureus isolates were widely distributed in shared shopping vehicles (8.0%, 18/226), retail meats (14.6%, 20/137) and swine (18.3%, 11/60). In total, 49 S. aureus were obtained and 20 of the 49 isolates were MRSA. We firstly reported a high prevalence of MRSA in shared shopping vehicles (7.5%, 17/226), followed by raw meats (2.2%, 3/137), and 44.4% (8/18) of the 18 supermarkets possessed MRSA-positive shopping vehicles. All 20 MRSA isolates were SCCmec IVa MRSA clones. Enterotoxin genes (sea/seb) associated with S. aureus food poisoning were present in 45.0% of the 20 S. aureus isolates from retail meats and 25.0% of the 20 MRSA isolates carried enterotoxin genes. Retail meats in this study carried ST6-MRSA, a common ST type of S. aureus from food-poisoning outbreaks in China. WGS showed that the MRSA from meats harbored enterotoxin gene sea and immune evasion genes (sak and scn) associated with human infections, and were clustered with previously reported MRSA isolates from animals and humans. The MRSA isolates carrying multiple virulence genes from shopping vehicles were also clustered with previously reported MRSA isolates from humans and animals, suggesting that the exchange of MRSA isolates might occur among different niches. Our results highlighted the risk of retail meats and shared shopping vehicles in spreading antimicrobial-resistant pathogens including MRSA. To our knowledge, this is the first report of the wide spread of MRSA in shared shopping vehicles in China. Full article
Show Figures

Figure 1

25 pages, 2007 KB  
Article
Molecular Profiling of Foodborne Pathogens in Ready-to-Eat Foods, Al-Madinah Al-Munawarah, Saudi Arabia
by Omar Almutairi, Ihab M. Moussa, Eman Marzouk, Adil Abalkhail and Ayman Elbehiry
Biology 2026, 15(1), 104; https://doi.org/10.3390/biology15010104 - 5 Jan 2026
Viewed by 344
Abstract
Foodborne pathogens remain a global public health concern, and antimicrobial resistance increases their impact. In mass-gathering cities such as Al-Madinah Al-Munawarah, contaminated ready-to-eat (RTE) fast foods can contribute to both local transmission and international spread. In this study, 300 RTE fast food samples, [...] Read more.
Foodborne pathogens remain a global public health concern, and antimicrobial resistance increases their impact. In mass-gathering cities such as Al-Madinah Al-Munawarah, contaminated ready-to-eat (RTE) fast foods can contribute to both local transmission and international spread. In this study, 300 RTE fast food samples, including shawarma, burgers, fried chicken, sandwiches, and salads, were collected from international franchises, local restaurants, and street vendors. Pathogens were identified using conventional culture combined with matrix-assisted laser desorption ionization time-of-flight mass spectrometry (MALDI-TOF MS). Antimicrobial susceptibility testing followed CLSI guidelines, and real-time PCR confirmed species identity and screened resistance determinants. Principal component analysis (PCA) and dendrogram clustering were used to assess diagnostic discrimination. Among the 300 samples, 129 (43.0%) were culture positive. The most common pathogens were Staphylococcus aureus (14.3%) and Escherichia coli (13.0%), followed by Salmonella spp. (9.0%) and Acinetobacter baumannii (6.7%). About 35% of S. aureus isolates were methicillin resistant (MRSA), and 85% of A. baumannii carried OXA-type carbapenemase genes. MALDI-TOF MS achieved 96.1% score-based identification and, with PCA, showed strong interspecies separation. PCR confirmed species identity and detected widespread resistance genes, with genotype–phenotype concordance of at least 80%. Overall, 60.5% of isolates were multidrug resistant. RTE fast foods in Al-Madinah represent reservoirs of MDR pathogens, including carbapenemase-producing A. baumannii. The combined use of MALDI-TOF MS and real-time PCR established a rapid and scalable workflow that provided reliable identification and resistance profiling in less than 24 h, compared with 48 to 72 h for conventional methods. This approach supports One Health surveillance in high-risk food settings and strengthens preparedness for mass gatherings. Full article
(This article belongs to the Special Issue Advances in Foodborne Pathogens)
Show Figures

Figure 1

12 pages, 259 KB  
Article
A Two-Year Retrospective Study of Blood Cultures in a Secondary Western Greece Healthcare Setting
by Eirini Tsolakidou, Ioannis Angelidis, Apostolos Asproukos, Aikaterini Chalmouki, Nikolaos Zalavras, Kyriakos Louca, Panagiota Spyropoulou, Aliki Markopoulou, Eleni Katsorida, Paraskevi Stathakopoulou, Konstantina Filioti, Dimitrios Markopoulos, Konstantina Tsitsa, Charalampos Potsios, Konstantinos Letsas and Panagiota Xaplanteri
Microorganisms 2026, 14(1), 107; https://doi.org/10.3390/microorganisms14010107 - 4 Jan 2026
Viewed by 154
Abstract
Blood culture remains the gold standard for identifying bloodstream infections caused by bacteria and fungi. Isolation of the culprit microorganism onto agar plates also facilitates antimicrobial susceptibility testing. The purpose of this study was to determine the contamination rates, pathogen profile, and antimicrobial [...] Read more.
Blood culture remains the gold standard for identifying bloodstream infections caused by bacteria and fungi. Isolation of the culprit microorganism onto agar plates also facilitates antimicrobial susceptibility testing. The purpose of this study was to determine the contamination rates, pathogen profile, and antimicrobial resistance in a secondary healthcare setting in a two-year timeframe. In this study, data regarding blood cultures of the years 2023 and 2024 were retrospectively analyzed to address the above questions. Blood cultures were incubated for seven days before being discarded as negative. The percentage of positive blood cultures for both years was 14.3%. Most positive cultures contained Gram-positive cocci, with a prevalence of coagulase-negative Staphylococci. In descending order, 72.72% were coagulase-negative Staphylococci, 15.15% were Staphylococcus aureus, and 12.12% were Streptococci. One strain of S. aureus was methicillin-resistant (MRSA), and one strain of Enterococcus faecium was vancomycin-resistant (VRE). Of the Gram-negative rods, 78.3% were Enterobacterales. Of these, Escherichia coli, Klebsiella pneumoniae, and Proteus mirabilis were the top pathogens. The remainder comprised eight strains of Pseudomonas aeruginosa, four strains of Acinetobacter baumannii (one pandrug-resistant), three strains of Stenotrophomonas maltophilia, one strain of Sphingomonas paucimobilis, and one strain of Campylobacter jejuni. The isolated fungi comprised Candida parapsilosis, Candida glabrata, and Candida tropicalis. Of the isolated Escherichia coli strains, 39.5% were resistant to ciprofloxacin regardless of origin (outpatient or hospitalized patients). Outpatient samples were taken in a Hemodialysis Unit that collaborates with our laboratory, obtained from patients with fever or other signs of infection. Distinguishing true bacteremia from contamination remains challenging. The contamination rate in our study was quite high at 5.3%. Since there is no dedicated phlebotomy team in our healthcare setting, in light of our results, educational courses have been conducted to demonstrate the best practices for sample collection. Full article
12 pages, 434 KB  
Article
Third-Generation Cephalosporin-Resistant Enterobacterales and Methicillin-Resistant Staphylococcus aureus (MRSA) in Pigs in Rwanda
by Emmanuel Irimaso, Valens Hagenimana, Emmanuel Nzabamwita, Michael Blümlinger, Otto W. Fischer, Lukas Schwarz, Michael P. Szostak, Olga Makarova, Adriana Cabal Rosel, Werner Ruppitsch, Elke Müller, Andrea T. Feßler, Sascha D. Braun, Stefan Schwarz, Stefan Monecke, Ralf Ehricht, Suzana Tkalcic, Christophe Ntakirutimana, Joachim Spergser, Doris Verhovsek and Igor Loncaricadd Show full author list remove Hide full author list
Animals 2026, 16(1), 122; https://doi.org/10.3390/ani16010122 - 31 Dec 2025
Viewed by 424
Abstract
This pilot study investigated the presence of methicillin-resistant Staphylococcus aureus (MRSA) and third-generation cephalosporin-resistant (3GC-R) Enterobacterales in conventionally kept domestic pigs and their environment across four districts in Rwanda. A total of 114 swabs (nasal, rectal, manure, dust) from 29 farms were collected [...] Read more.
This pilot study investigated the presence of methicillin-resistant Staphylococcus aureus (MRSA) and third-generation cephalosporin-resistant (3GC-R) Enterobacterales in conventionally kept domestic pigs and their environment across four districts in Rwanda. A total of 114 swabs (nasal, rectal, manure, dust) from 29 farms were collected and processed to isolate resistant bacteria. Thirty-two 3GC-R Enterobacterales were detected. Escherichia coli predominantly harboring blaCTX-M group 1 β-lactamase genes, alongside Klebsiella pneumoniae isolates, all displaying extended-spectrum β-lactamase (ESBL) phenotypes. Four MRSA isolates, all belonging to clonal complex 398 and SCCmec type IV, the typical livestock MRSA, were recovered from nasal and environmental samples. Multidrug resistance was frequently observed. The co-occurrence of β-lactamase genes, non-β-lactam resistance genes, and virulence factors such as fimH and loci associated with extraintestinal pathogenic and enteropathogenic E. coli. The detection of both MRSA and 3GC-R Enterobacterales in the present study indicates pigs and their farm environments as reservoirs of WHO priority pathogens in Rwanda, highlighting a potential public health risk in the context of extensive human–animal–environment interaction. These findings emphasize the urgent need for integrated One Health surveillance and comprehensive AMR control strategies addressing both animal and environmental reservoirs to support Rwanda’s National Action Plan on Antimicrobial Resistance. Full article
Show Figures

Figure 1

27 pages, 4082 KB  
Article
Biogenic Selenium Nanoparticles from Lactiplantibacillus plantarum as a Potent Antimicrobial Agent Against Methicillin-Resistant Staphylococcus aureus
by Gyeong-min Kim, SeCheol Oh and Kwang-sun Kim
Pharmaceutics 2026, 18(1), 14; https://doi.org/10.3390/pharmaceutics18010014 - 22 Dec 2025
Viewed by 488
Abstract
Background: Methicillin-resistant Staphylococcus aureus (MRSA) remains a major global health concern owing to its multidrug resistance and persistence despite continued antibiotic development. Eco-friendly nanomaterials such as selenium nanoparticles (SeNPs) have emerged as promising antimicrobial alternatives because of their high biocompatibility and lower toxicity [...] Read more.
Background: Methicillin-resistant Staphylococcus aureus (MRSA) remains a major global health concern owing to its multidrug resistance and persistence despite continued antibiotic development. Eco-friendly nanomaterials such as selenium nanoparticles (SeNPs) have emerged as promising antimicrobial alternatives because of their high biocompatibility and lower toxicity compared to conventional metallic nanoparticles. In this study, we investigated the inhibitory effects and underlying mechanisms of Lactiplantibacillus plantarum (LP)–derived SeNPs (LP-SeNPs) on MRSA. Methods: SeNPs were biosynthesized using the antibacterial cell-free supernatant (CFS) of LP, which provides naturally reducing and stabilizing biomolecules. The resulting LP-SeNPs were characterized by physicochemical and structural analyses and compared to chemically synthesized SeNPs (Chem-SeNPs). Antibacterial activity was assessed through minimum inhibitory concentration (MIC) testing, time-kill kinetics, and cell viability assays. Results: LP-SeNPs, which were spherical with an average diameter of 107 nm, exhibited selective antibacterial activity against Gram-positive bacteria and showed no effect on Gram-negative strains. Notably, all six MRSA isolates demonstrated high susceptibility, with MIC values approximately 100-fold lower than that of S. aureus ATCC 25923, a non-MRSA reference strain. LP-SeNPs were also non-cytotoxic up to 20-fold the MIC (IC50 > 10 µg/mL). Mechanistic analyses indicated that disruption of the bacterial cell membrane was the primary antibacterial mechanism, supported by additional contributions from reactive oxygen species generation and protein synthesis inhibition. Conclusions: LP-SeNPs represent a sustainable, biocompatible, and potent antibacterial nanoplatform with strong selectivity for Gram-positive pathogens, particularly MRSA. These findings highlight their potential as eco-friendly and targeted therapeutic strategies for combating MRSA infections. Full article
Show Figures

Figure 1

25 pages, 34562 KB  
Article
Biogenic vs. Chemical AgNPs: A Comparison of Antimicrobial Potency and Stability
by Mukil Madhusudanan, Ivan Mijakovic and Priyanka Singh
Int. J. Mol. Sci. 2026, 27(1), 62; https://doi.org/10.3390/ijms27010062 - 20 Dec 2025
Viewed by 270
Abstract
This study presents a comprehensive evaluation of the antimicrobial activities of silver nanoparticles (AgNPs) synthesized using three distinct methods: plant extracts, bacterial supernatant, and a conventional chemical method. AgNPs were synthesized from Crassula ovata (Jade) leaf extract, Bacillus licheniformis bacterial supernatant, and a [...] Read more.
This study presents a comprehensive evaluation of the antimicrobial activities of silver nanoparticles (AgNPs) synthesized using three distinct methods: plant extracts, bacterial supernatant, and a conventional chemical method. AgNPs were synthesized from Crassula ovata (Jade) leaf extract, Bacillus licheniformis bacterial supernatant, and a standard chemical reduction method using trisodium citrate. The synthesized AgNPs were characterized using UV–Vis spectroscopy, Transmission Electron Microscopy (TEM), and Dynamic Light Scattering (DLS). The antimicrobial efficacy of the AgNPs was tested against four pathogenic microorganisms: Escherichia coli, Pseudomonas aeruginosa, Staphylococcus epidermidis, and Methicillin-resistant Staphylococcus aureus (MRSA). Our findings reveal significant differences in the biological activities of the AgNPs depending on the synthesis method. The MBC values for the plant extract-synthesized AgNPs were 10 µg/mL for E. coli, 12.5 µg/mL for P. aeruginosa, 10 µg/mL for S. epidermidis, and 15 µg/mL for MRSA. The bacterial supernatant-synthesized AgNPs showed MBC values of 10 µg/mL for E. coli, 12.5 µg/mL for P. aeruginosa, 7.5 µg/mL for S. epidermidis, and 12.5 µg/mL for MRSA. In contrast, citrate-reduced AgNPs exhibited higher MBCs: 60 µg/mL for E. coli and P. aeruginosa, 40 µg/mL for S. epidermidis, and 80 µg/mL for MRSA. Notably, the AgNPs synthesized using plant and bacterial supernatant demonstrated superior antimicrobial activity compared to those synthesized chemically. This comparative study highlights the potential of eco-friendly synthesis routes for producing AgNPs with enhanced biological activities. The findings suggest that plant extract and bacterial supernatant-mediated synthesis of AgNPs could serve as a viable and sustainable alternative to conventional chemical methods, offering promising applications in medical and pharmaceutical fields. Full article
(This article belongs to the Section Molecular Microbiology)
Show Figures

Graphical abstract

19 pages, 4311 KB  
Article
Nitric Oxide-Releasing S-Nitrosoglutathione-Conjugated TEMPO-Oxidized Nanocellulose Hydrogel for the Treatment of MRSA-Infected Wounds
by Dongmin Kwak, Chavi Dagar, Jihyun Kim, Juho Lee, Hyunwoo Kim, Muneeb Ullah, Md. Lukman Hakim, Minjeong Kim, Mst. Sanzida Yeasmin, Ng’wisho Nyalali and Jin-Wook Yoo
Pharmaceutics 2025, 17(12), 1623; https://doi.org/10.3390/pharmaceutics17121623 - 17 Dec 2025
Viewed by 466
Abstract
Background: Cutaneous wound infections caused by methicillin-resistant Staphylococcus aureus (MRSA) pose serious threats to public health. Nitric oxide (NO), an endogenous gaseous molecule with antibacterial and wound-healing properties, is a promising next-generation antimicrobial agent with a minimal risk of resistance. However, conventional [...] Read more.
Background: Cutaneous wound infections caused by methicillin-resistant Staphylococcus aureus (MRSA) pose serious threats to public health. Nitric oxide (NO), an endogenous gaseous molecule with antibacterial and wound-healing properties, is a promising next-generation antimicrobial agent with a minimal risk of resistance. However, conventional S-nitrosoglutathione (GSNO)-loaded formulations suffer from GSNO leakage, which could compromise the treatment effect or induce systemic side effects. Although conjugation strategies have been introduced to mitigate this issue, there is still a lack of GSNO-conjugated systems that simultaneously achieve high NO loading and sustained NO release while avoiding harsh external stimuli and complex multistep synthetic processes. Objectives: This research aims to develop a high NO-loading system produced through a simple synthetic process that provides sustained NO release without harsh external stimuli while preventing GSNO leakage for effective treatment of MRSA-infected wounds. Methods: We developed cellulose-based GSNO conjugates via a simple EDC/NHS-mediated covalent coupling to TEMPO-oxidized nanocellulose (NC-GSNO). Results: The NC-GSNO hydrogel achieved high NO loading, minimal leakage, and sustained NO release for more than three days. This controlled NO delivery promoted enhanced wound healing in MRSA-infected models. Conclusions: These findings demonstrate that the NC-GSNO hydrogel is a promising platform for controlled NO delivery and the effective treatment of MRSA-infected wounds. Full article
(This article belongs to the Special Issue Hydrogels-Based Drug Delivery System for Wound Healing)
Show Figures

Figure 1

14 pages, 1588 KB  
Article
Study of the Activity of the Staphylococcus aureus Phage vB_SaS_GE1 Against MRSA Clinical Isolates and Its Impact on the Formation of Dual-Species Biofilms with P. aeruginosa
by Nino Grdzelishvili, Davit Lazviashvili, Aleksandra Kurowska, Krzysztof Jakub Pawlik, Łukasz Łaczmanski, Elene Kakabadze, Elene Zhuravliova, Nina Chanishvili and Nata Bakuradze
Viruses 2025, 17(12), 1623; https://doi.org/10.3390/v17121623 - 16 Dec 2025
Viewed by 552
Abstract
Bacteriophage therapy is regarded as a promising alternative for treating and preventing antibiotic-resistant bacterial infections. Methicillin-resistant Staphylococcus aureus (MRSA) is one of the most prevalent and difficult-to-treat pathogens. S. aureus also contributes to the formation of both single- and mixed-species biofilms. Treating biofilms [...] Read more.
Bacteriophage therapy is regarded as a promising alternative for treating and preventing antibiotic-resistant bacterial infections. Methicillin-resistant Staphylococcus aureus (MRSA) is one of the most prevalent and difficult-to-treat pathogens. S. aureus also contributes to the formation of both single- and mixed-species biofilms. Treating biofilms remains a major challenge for antibiotic-based eradication of pathogens, as the biofilm matrix provides a protective barrier for bacteria. The selection of highly active phages targeting S. aureus is therefore crucial for medical applications, given the high prevalence and drug resistance of this pathogen. In this study, S. aureus phage vB_SaS_GE1 (GE1) was isolated and characterized as a potential therapeutic agent. The phage was isolated and propagated, and its host range was determined using standard methods. Whole-genome sequencing and annotation of the phage DNA were performed. A time–kill assay and evaluation of the anti-biofilm activity of the Staphylococcus phage, both alone and in combination with Pseudomonas phage GEC_PNG3 (PNG3) on mixed-species biofilms, were conducted. The results indicated that GE1 is a lytic phage that does not carry virulence-determining genes. The time–kill assay demonstrated sustained lytic activity of GE1 without the emergence of phage-resistant mutants in the tested MRSA strains. Although phage treatment increased biofilm matrix production compared to the control, the viable cell count within the biofilms was reduced. Overall, the characteristics assessed indicate that vB_SaS_GE1 is safe and exhibits strong antibacterial activity against MRSA strains. Full article
(This article belongs to the Collection Phage Therapy)
Show Figures

Figure 1

41 pages, 2242 KB  
Article
Synthesis and Characterization of Triphenyl Phosphonium-Modified Triterpenoids with Never Reported Antibacterial Effects Against Clinically Relevant Gram-Positive Superbugs
by Dafni Graikioti, Constantinos M. Athanassopoulos, Anna Maria Schito and Silvana Alfei
Pharmaceutics 2025, 17(12), 1614; https://doi.org/10.3390/pharmaceutics17121614 - 16 Dec 2025
Viewed by 429
Abstract
Background: To meet the urgent need for novel antibacterial agents that are active also against worrying superbugs, natural pentacyclic triterpenoids, including totally inactive betulin (BET) and betulinic acid (BA), as well as ursolic acid (UA), active on Gram-positive bacteria, have been chemically [...] Read more.
Background: To meet the urgent need for novel antibacterial agents that are active also against worrying superbugs, natural pentacyclic triterpenoids, including totally inactive betulin (BET) and betulinic acid (BA), as well as ursolic acid (UA), active on Gram-positive bacteria, have been chemically modified, achieving compounds 17. Methods: Triterpenoid derivatives 17 and all synthetic intermediates were characterized by chemometric-assisted FTIR and NMR spectroscopy, as well as by other analytical techniques, which confirmed their structure and high purity. Minimum inhibitory concentration values (MICs) of 17, BET, BA and UA were determined by the broth dilution method, using a selection of Gram-positive and Gram-negative clinically isolated superbugs. Results: Performed experiments evidenced that compounds 47 had potent antibacterial effects against Gram-positive methicillin-resistant Staphylococcus aureus and S. epidermidis (MRSA and MRSE), as well as against vancomycin-resistant Enterococcus faecalis and E. faecium (VRE). The antibacterial effects of 47 were due to the insertion of a triphenyl phosphonium (TPP) group and were higher than those reported so far for other BET, BA and UA derivatives, especially considering the complex pattern of resistance of the isolates used here and their clinical source. Conclusions: For the first time, by inserting TPP, a real activity (MICs 2–16 µg/mL) was conferred to inactive BET and BA (MICs > 1024 and 256 µg/mL). Moreover, the antibacterial effects of UA were improved 16- and 32-fold against MRSE and MRSA (MICs = 2 vs. 32 and 64 μg/mL). Future Perspectives: Based on these very promising microbiologic results, new experiments are currently underway with the best-performing compounds 5 and 7 (MICs = 2 μg/mL) on an enlarged number of Gram-positive isolates, to confirm their MICs. Moreover, investigations about their possible antibiofilm activity, time-killing curves and cytotoxicity on eukaryotic cells will be carried out to define their pharmacological behavior and clinical potential. Full article
Show Figures

Graphical abstract

16 pages, 538 KB  
Article
mecA and mecC Positive Strains of Staphylococcus aureus Detected and Isolated from Raw Milk of Ecuador
by Anthony Loor-Giler, Camila Sanchez-Castro, Byron Puga-Torres, Silvana Santander-Parra and Luis Nuñez
Antibiotics 2025, 14(12), 1255; https://doi.org/10.3390/antibiotics14121255 - 12 Dec 2025
Viewed by 520
Abstract
Background: Milk is a highly nutritious food, but its composition makes it an ideal medium for microbial growth, particularly for bacteria like Staphylococcus aureus (S. aureus). In Ecuador, raw milk consumption is culturally rooted, and contamination risks are heightened, especially [...] Read more.
Background: Milk is a highly nutritious food, but its composition makes it an ideal medium for microbial growth, particularly for bacteria like Staphylococcus aureus (S. aureus). In Ecuador, raw milk consumption is culturally rooted, and contamination risks are heightened, especially in informal markets. Staphylococcus aureus, a Gram-positive, coagulase-positive bacterium, commonly colonizes mucous membranes and can cause a range of infections due to its production of thermostable toxins. Its impact extends to bovine mastitis, severely affecting dairy production. Of particular concern is the emergence of methicillin-resistant S. aureus (MRSA) strains, associated with the acquisition of the mecA gene located on the “staphylococcal chromosomal cassette mec” (SCCmec) element and identification of a mecA homologue, mecC, further complicates detection and monitoring efforts. Objectives: This study evaluated the prevalence of S. aureus and MRSA strains in raw milk from Ecuadorian provinces Pichincha and Manabí. Methods: A total of 633 samples were collected and analyzed via real-time PCR (qPCR) and bacterial isolation methods, complemented by endpoint PCR assays for mecA and mecC genes detection. Results: A high prevalence of S. aureus (84%) was observed, with significant differences between regions. MRSA was detected in 23% of all samples, with mecA being more prevalent than mecC among isolates. Sequencing of 16S rDNA confirmed the identity of isolates, while phylogenetic analysis of mecA and mecC genes validated their presence. The findings suggest that suboptimal hygiene practices and varied biosecurity protocols, especially among small and medium dairy producers, may contribute to the persistence of resistant strains. Conclusions: This study highlights the presence of S. aureus and MRSA in raw milk, underscoring the need for strengthened surveillance, improved hygiene practices, the use of molecular diagnostic tools, and proper heat treatments to reduce the public health risks associated with contaminated milk and its derivatives. Full article
Show Figures

Figure 1

11 pages, 269 KB  
Communication
Prevalence of a Linezolid Minimum Inhibitory Concentration of 2 mg/L in Methicillin-Susceptible/Resistant Staphylococcus aureus, Staphylococcus argenteus, Coagulase-Negative Staphylococcus, and Mammaliicoccus
by Meiji Soe Aung, Noriko Urushibara, Mitsuyo Kawaguchiya, Nobuhide Ohashi, Thida San, Win Kalayar Kyaw, Mina Hirose, Masako Osada, Masahiko Ito and Nobumichi Kobayashi
Acta Microbiol. Hell. 2025, 70(4), 45; https://doi.org/10.3390/amh70040045 - 8 Dec 2025
Viewed by 352
Abstract
Linezolid (LZD) is an oxazolidinone antibiotic effective in the treatment of infection with Gram-positive bacteria, including methicillin-resistant Staphylococcus aureus (MRSA). The decline in susceptibility to linezolid is a concern for antimicrobial chemotherapy. In this study, the prevalence of the LZD minimum inhibitory concentration [...] Read more.
Linezolid (LZD) is an oxazolidinone antibiotic effective in the treatment of infection with Gram-positive bacteria, including methicillin-resistant Staphylococcus aureus (MRSA). The decline in susceptibility to linezolid is a concern for antimicrobial chemotherapy. In this study, the prevalence of the LZD minimum inhibitory concentration (MIC) of 2 mg/L (LZD-MIC2), which represents a slightly high value within a range of susceptibility for S. aureus (≤4 mg/L), was investigated retrospectively for staphylococcal species from different sources. We collected the records of LZD MIC of Staphylococcus/Mammaliicoccus that had been obtained in our previous studies on isolates from patients, healthy individuals, and foodstuff. Prevalence of isolates showing LZD-MIC2 was analyzed depending on the type of staphylococcal species and S. aureus clones. In clinical isolates, methicillin-susceptible S. aureus (MSSA) and S. argenteus showed significantly higher LZD-MIC2 rates (20.0% and 21.5%, respectively) than MRSA (7.3%). Among clinical and colonizing isolates of MSSA, LZD-MIC2 was more commonly found in CC1 (ST188, ST2990, etc.), CC8, CC15, ST30, ST97, and ST121 than other lineages. In S. argenteus isolates, which were mostly methicillin-susceptible, there was no significant difference in the LZD-MIC2 prevalence among the three genotypes. The LZD-MIC2 was detected in 18.3% of coagulase-negative staphylococci (CoNS), with S. saprophyticus, S. pasteuri, and M. sciuri showing higher prevalence (30–57%) than other species. The present study revealed that the prevalence of the LZD-MIC2 is different depending on staphylococcal species/types, as they are more common in specific MSSA lineages and some CoNS species. Full article
11 pages, 245 KB  
Article
High Antimicrobial Resistance in ESKAPE Pathogens at a Rwandan Tertiary Hospital
by Charles Muhinda, Gad Murenzi, Leena Al-Hassan, Eric Seruyange, Leon Mutesa and Åsa Gylfe
Pathogens 2025, 14(12), 1253; https://doi.org/10.3390/pathogens14121253 - 8 Dec 2025
Viewed by 398
Abstract
Antimicrobial resistance (AMR) is a global health threat, increasing morbidity, mortality, and healthcare costs. Multi-drug resistant ESKAPE pathogens (Enterococcus faecium, Staphylococcus aureus, Klebsiella pneumoniae, Acinetobacter baumannii, Pseudomonas aeruginosa, and Enterobacter cloacae) cause most hospital-acquired infections. Local data on their resistance profiles remain [...] Read more.
Antimicrobial resistance (AMR) is a global health threat, increasing morbidity, mortality, and healthcare costs. Multi-drug resistant ESKAPE pathogens (Enterococcus faecium, Staphylococcus aureus, Klebsiella pneumoniae, Acinetobacter baumannii, Pseudomonas aeruginosa, and Enterobacter cloacae) cause most hospital-acquired infections. Local data on their resistance profiles remain limited in low-income settings. This study assessed the prevalence and resistance patterns of ESKAPE pathogens isolated from clinical specimens at Rwanda Military Referral and Teaching Hospital. A descriptive cross-sectional study was conducted from June 2022 to January 2023. ESKAPE isolates were identified and tested for antimicrobial susceptibility using the BD Phoenix M50 System. Data on sample type, ward, and demographics were analyzed. Of 744 bacterial findings, 207 (30%) were ESKAPE isolates. After excluding duplicates and non-recovered isolates, 156 were identified as ESKAPE. K. pneumoniae was most common (41%), followed by S. aureus (27%), A. baumannii (13%), P. aeruginosa (11%), and E. cloacae (8%); no E. faecium was detected. Among Gram-negatives, 63% were resistant to third-generation cephalosporins and 32% to carbapenems, with A. baumannii showing highest resistance (85% and 75%). Methicillin-Resistance in Staphylococcus aureus (MRSA) was 7%. This first hospital-based study in Rwanda shows high cephalosporin and carbapenem resistance, highlighting the need to strengthen diagnostics and stewardship. Full article
(This article belongs to the Special Issue Antimicrobial Resistance in the Post-COVID Era: A Silent Pandemic)
14 pages, 1313 KB  
Review
Oral Therapy for Infective Endocarditis: Where Do We Stand?
by Fatima Allaw, Maya Dagher, Hiba Saliba, Jana Khalil and Souha S. Kanj
Pathogens 2025, 14(12), 1249; https://doi.org/10.3390/pathogens14121249 - 6 Dec 2025
Viewed by 1044
Abstract
Standard therapy for infective endocarditis (IE) usually requires 4–6 weeks of intravenous (IV) antibiotics, ensuring sustained bactericidal concentrations, yet resulting in prolonged hospitalization and increased cost of care. These challenges have driven interest in oral antibiotic therapy (OAT) as a step-down strategy for [...] Read more.
Standard therapy for infective endocarditis (IE) usually requires 4–6 weeks of intravenous (IV) antibiotics, ensuring sustained bactericidal concentrations, yet resulting in prolonged hospitalization and increased cost of care. These challenges have driven interest in oral antibiotic therapy (OAT) as a step-down strategy for selected, clinically stable patients. This review summarizes the clinical evidence and pharmacokinetic and pharmacodynamic (PK/PD) rationale and practical considerations supporting step-down OAT in IE. Antibiotics such as amoxicillin, fluoroquinolones, linezolid, and rifampicin have high bioavailability and maintain effective serum and tissue concentrations, and can be used as a safe transition from IV to oral therapy. The pivotal POET randomized controlled trial (RCT) demonstrated noninferiority of OAT compared with continued IV therapy in stable patients with left-sided IE caused by Streptococcus spp., Enterococcus faecalis, methicillin-susceptible Staphylococcus aureus, or coagulase-negative staphylococci. Further real-world studies and meta-analyses confirmed comparable efficacy and safety, with reduced catheter-related complications and shorter hospitalization length for patients receiving OAT. The latest European Society of Cardiology (ESC) guidelines have incorporated OAT regimens derived from the POET protocol for stable patients meeting specific criteria, while the American Heart Association guidelines have not yet been revised. Many areas remain uncertain, such as the optimal timing of transition to oral therapy; the ideal antibiotic combinations and dosing; and the applicability to complex cases such as methicillin-resistant S. aureus (MRSA), Gram-negative, or pediatric infections. Overall, clinical evidence supports OAT as a safe and effective alternative to prolonged IV therapy in selected patients with IE, highlighting a major step toward more individualized, patient-centered management. Full article
(This article belongs to the Special Issue Updates in Infective Endocarditis—2nd Edition)
Show Figures

Figure 1

18 pages, 5447 KB  
Article
Development and Application of Visible-Light-Responsive Perylene Diimide Functionalized Silk Fibroin/Polylactic Acid Antibacterial Nanofibrous Membranes
by Sheng Lv, Hongyu Lin, Ying Lin, Qingyan Peng, Yuyang Song, Xiaodong Tan, Xiao Yang and Shixiong Yi
Int. J. Mol. Sci. 2025, 26(23), 11533; https://doi.org/10.3390/ijms262311533 - 28 Nov 2025
Viewed by 353
Abstract
The issue of antibiotic resistance is becoming increasingly severe, urgently requiring the development of new antibacterial strategies. Photodynamic therapy (PDT) has gradually emerged as a promising alternative due to its spatiotemporal controllability, low risk of drug resistance, and broad-spectrum antibacterial properties. However, most [...] Read more.
The issue of antibiotic resistance is becoming increasingly severe, urgently requiring the development of new antibacterial strategies. Photodynamic therapy (PDT) has gradually emerged as a promising alternative due to its spatiotemporal controllability, low risk of drug resistance, and broad-spectrum antibacterial properties. However, most existing photosensitizers (PSs) are hydrophobic, which limits their application efficiency in PDT. To address this problem, we designed and synthesized a water-soluble perylene diimide derivative (PDICN-CBn) as a photosensitizer. By introducing quaternary ammonium salt groups, its water solubility was improved, and antibacterial activity was enhanced. Subsequently, PDICN-CBn was assembled into silk fibroin/polylactic acid (SF/PLA) nanofibrous membranes via electrospinning technology, successfully constructing a visible-light-responsive ternary composite nanofibrous membrane (SF/PLA@PDICN-CBn). Using various characterization methods such as nuclear magnetic resonance (1H-NMR), Fourier transform infrared spectroscopy (FTIR), X-ray diffraction (XRD), X-ray photoelectron spectroscopy (XPS), and scanning electron microscopy (SEM), the microstructure, chemical composition, and structural characteristics of the nanofibrous membranes were systematically analyzed, verifying the successful synthesis of the photosensitizer and its assembly into the nanofibrous membranes. In the reactive oxygen species (ROS) experiment, electron spin resonance (ESR) spectra showed that PDICN-CBn efficiently generated singlet oxygen (1O2), superoxide anion (·O2), and hydroxyl radical (·OH) under visible light irradiation, confirming its ability to produce different types of ROS through both type I and type II photodynamic reactions. In the antibacterial experiments, Escherichia coli (E. coli), Staphylococcus aureus (S. aureus), and methicillin-resistant Staphylococcus aureus (MRSA) were selected for a series of tests, including plate-counting antibacterial assays, bacterial live/dead staining, and SEM observation of morphology. The results showed that 8 μg/mL of PDICN-CBn effectively destroyed the bacterial cell membrane structure and killed bacteria (bactericidal rate > 95%) after 2 h of visible light irradiation. This work successfully developed a novel visible-light-responsive SF/PLA@PDICN-CBn nanofibrous membrane with a dual antibacterial system combining photodynamic and electrostatic adsorption antibacterial properties, providing new ideas and methods for the design and development of photodynamic antibacterial materials. The prepared nanofibrous membrane has potential application values in fields such as wound dressings and medical protective materials and is expected to provide strong support for solving clinical infection problems. Full article
(This article belongs to the Special Issue Biomaterials and Antibacterial Materials for Medical Applications)
Show Figures

Figure 1

Back to TopTop