Sign in to use this feature.

Years

Between: -

Subjects

remove_circle_outline
remove_circle_outline

Journals

Article Types

Countries / Regions

Search Results (16)

Search Parameters:
Keywords = metadynamic recrystallization

Order results
Result details
Results per page
Select all
Export citation of selected articles as:
13 pages, 3069 KB  
Article
The Metadynamic Recrystallization Role in Ultrafast <111> Fiber Texture Evolution During Short-Term Holding in β-Forged Ti-6242
by Haodong Rao, Dong Liu, Jianguo Wang, Yaqi Lai and Yu Zhang
Materials 2025, 18(19), 4447; https://doi.org/10.3390/ma18194447 - 23 Sep 2025
Viewed by 749
Abstract
The Ti-6242 titanium alloy samples were forged at 1020 °C (slightly above the β-transus) and subjected to ultra-short isothermal holding (0–320 s) prior to quenching to investigate the rapid microstructural evolution in the parent β phase. Electron backscatter diffraction (EBSD) with parent β-phase [...] Read more.
The Ti-6242 titanium alloy samples were forged at 1020 °C (slightly above the β-transus) and subjected to ultra-short isothermal holding (0–320 s) prior to quenching to investigate the rapid microstructural evolution in the parent β phase. Electron backscatter diffraction (EBSD) with parent β-phase reconstruction reveals that within only 1–3 s of holding, a pronounced <111> fiber texture develops along the forging axis, superseding the original <100> deformation fiber. This ultrafast texture change is attributed to metadynamic recrystallization (MDRX)—the post-deformation growth of nuclei formed during dynamic deformation. The newly formed <111>-oriented β grains still contain residual substructure, indicating incomplete strain release consistent with MDRX. Longer holds (tens of seconds) lead to more extensive static recrystallization and normal grain growth, which dilute the strong <111> fiber as grains of other orientations form and coarsen. These findings demonstrate that even a brief pause after forging can markedly alter the prior β texture via a MDRX mechanism. This insight highlights a novel approach to microtexture control in Ti-6242: by leveraging MDRX during short holds, one can potentially disrupt the formation of aligned α colony microtextured regions (MTRs, or “macrozones”) upon subsequent cooling, thereby mitigating dwell-fatigue susceptibility. The study revises the interpretation of the recrystallization mechanism in short-term holds and provides guidance for optimizing β-phase processing to improve fatigue performance. Full article
(This article belongs to the Section Metals and Alloys)
Show Figures

Figure 1

13 pages, 6467 KB  
Article
Metadynamic Recrystallization in the Isothermal Double Compression of CP800 Steel
by Xiaoyu Yang, Zhenli Mi and Wangzhong Mu
Materials 2025, 18(7), 1549; https://doi.org/10.3390/ma18071549 - 29 Mar 2025
Cited by 2 | Viewed by 896
Abstract
The global drive toward decarbonization has spurred industry interest in the compact steel production (CSP) process for manufacturing automotive steel sheets. Understanding the hot deformation behavior, particularly the metadynamic softening mechanism occurring between passes, is essential for evaluating process feasibility under CSP process. [...] Read more.
The global drive toward decarbonization has spurred industry interest in the compact steel production (CSP) process for manufacturing automotive steel sheets. Understanding the hot deformation behavior, particularly the metadynamic softening mechanism occurring between passes, is essential for evaluating process feasibility under CSP process. This study investigates the metadynamic softening behavior of CP800 steel intended for CSP applications, utilizing isothermal double compression tests performed at the deformation temperatures of 1173, 1273, and 1373 K, strain rates of 0.1,1, and 5.0 s−1, and the interpass times of 1, 10, and 20 s. The softening behavior was assessed through the deformation flow stress–strain curves under varying conditions, and a kinetic equation of metadynamic recrystallization was proposed and validated against experimental data. Additionally, the effect of initial austenite grain sizes of 42 μm and 92 μm on metadynamic recrystallization were analyzed. Results indicate that the final rolling pass temperature should exceed 1173 K to prevent mixed grain structures. Although grain refinement induced by the metadynamic recrystallization in CP800 steel was found to be independent of initial grain size, the final grain size itself remained sensitive to the initial grain dimensions. Adopting lower holding temperature and shorter holding durations prior to rolling is advisable for energy-efficient CSP, provided compositional homogeneity and suitable deformation temperatures are maintained. These insights contribute valuable guidance for optimization CSP process in the production of CP800 steel. Full article
(This article belongs to the Special Issue High-Performance Alloys and Steels)
Show Figures

Figure 1

25 pages, 17661 KB  
Article
Microstructural and Mechanical Analysis of Seamless Pipes Made of Superaustenitic Stainless Steel Using Cross-Roll Piercing and Elongation
by Alberto Murillo-Marrodán, Yury Gamin, Liudmila Kaputkina, Eduardo García, Alexander Aleshchenko, Hamed Aghajani Derazkola, Alexey Pashkov and Evgeniy Belokon
J. Manuf. Mater. Process. 2023, 7(5), 185; https://doi.org/10.3390/jmmp7050185 - 14 Oct 2023
Cited by 7 | Viewed by 5210
Abstract
The cross-roll piercing and elongation (CPE) is a forming process performed at high temperatures and high strain rates. The final product quality is strongly dependent on its microstructure. In this study, a finite element method (FEM) model was developed to better understand plastic [...] Read more.
The cross-roll piercing and elongation (CPE) is a forming process performed at high temperatures and high strain rates. The final product quality is strongly dependent on its microstructure. In this study, a finite element method (FEM) model was developed to better understand plastic deformation effects on microstructure during CPE and to analyze alternative thermo-mechanical processing routes. Specific models were used to simulate dynamic and meta-dynamic recrystallization (DRX and MDRX) for the processing of superaustenitic stainless steel (SASS). In addition, the CPE of SASS was investigated experimentally. The microstructure, mechanical properties, and chemical changes of the final product were assessed using optical microscopy, hardness testing, X-ray diffraction, and SEM-EDS. The results revealed higher temperatures and strain rates in the exterior area of the shell after piercing, and MDRX occurred in the whole thickness. However, an average grain size reduction of 13.9% occurred only in the shell middle and inner diameters. During elongation, the highest values of the strain rate and DRX were observed in the inner region, exhibiting a grain size reduction of 38%. Spread in terms of grain size and grain shape anisotropy was found to be less accentuated for tube samples as compared to the pierced shells. Full article
(This article belongs to the Special Issue Advances in Material Forming)
Show Figures

Figure 1

13 pages, 9735 KB  
Article
Meta-Dynamic Recrystallization in the Ni-Based Superalloy Haynes 282
by Emil Eriksson, Fabian Hanning, Joel Andersson and Magnus Hörnqvist Colliander
Metals 2023, 13(8), 1335; https://doi.org/10.3390/met13081335 - 26 Jul 2023
Cited by 4 | Viewed by 2505
Abstract
Forging on an industrial scale often involves slow, size-limited cooling rates or high temperature hold times between, or after, deformation. This enables the dynamic recrystallization (DRX) initiated during forging to further progress under static conditions, a phenomenon called meta-dynamic recrystallization (mDRX). As mDRX [...] Read more.
Forging on an industrial scale often involves slow, size-limited cooling rates or high temperature hold times between, or after, deformation. This enables the dynamic recrystallization (DRX) initiated during forging to further progress under static conditions, a phenomenon called meta-dynamic recrystallization (mDRX). As mDRX will influence the final grain size, and thus properties, it is critical to understand and control it during processing. Here, we study the mDRX evolution in Ni-based superalloy Haynes 282 during post-deformation hold times of up to 120 s at 1080 °C after partial DRX. We find that mDRX is the dominating mechanisms responsible for the microstructure evolution the hold time. The very rapid mDRX kinetics in the initial stages suggest that quench delays (the time between the end of the deformation and the onset of the quenching intended to arrest the microstructure evolution) must be kept well below 1 s in order to allow reliable conclusions to be drawn from post-deformation microstructure investigations. A larger prior strain (larger DRX fraction) leads to faster mDRX kinetics and a larger final grain size. Larger strains leads to earlier impingement of the growing grains, which, in combination with smaller remaining deformed regions into which the grains can grow, limits the maximum size of the mDRX grains. We also note a close correlation between static recovery and stress relaxation during the hold time, whereas no such correlation between mDRX and stress relaxation can be observed. Full article
Show Figures

Figure 1

15 pages, 57988 KB  
Article
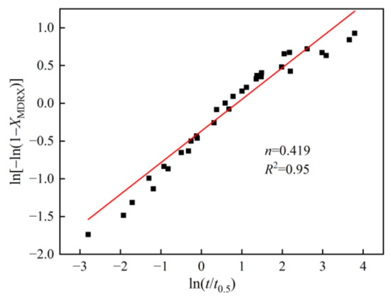
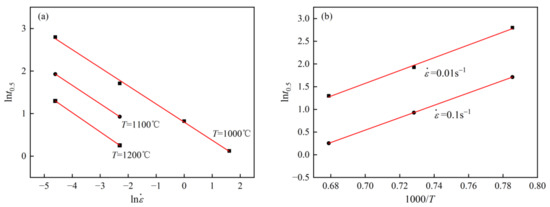
Metadynamic Recrystallization Behavior of Cr-Ni-Mo Alloy Steel
by Bing Zheng, Zhipeng Zou, Dong Xu, Yiqun Wang, Xuexi Wang, Hongyang Zhao and Dongying Ju
Metals 2023, 13(4), 696; https://doi.org/10.3390/met13040696 - 3 Apr 2023
Cited by 5 | Viewed by 2145
Abstract
In order to study the metadynamic recrystallization behavior of 34CrNi3MoV steel, a double-pass isothermal compression experiment and a single-pass thermal interval experiment were designed and conducted to obtain the stress–strain curves under different deformation conditions and to explore the action law of deformation [...] Read more.
In order to study the metadynamic recrystallization behavior of 34CrNi3MoV steel, a double-pass isothermal compression experiment and a single-pass thermal interval experiment were designed and conducted to obtain the stress–strain curves under different deformation conditions and to explore the action law of deformation parameters during the compression process. The softening rate was calculated by the compensation method, and the grain size in the recrystallization region was measured. Based on the obtained data, the effects of deformation temperature (T), interval time (t), and strain rate (ε˙) on the softening rate and grain size of 34CrNi3MoV steel during metadynamic recrystallization were analyzed. The results show that increasing the deformation temperature, extending the interval time, and increasing the strain rate are all beneficial to the improvement of the metadynamic recrystallization softening rate and that fine and uniform new grains can be obtained under a high strain rate. However, in high-temperature conditions, mixed crystallization can easily occur, which is not conducive to grain refinement. Based on the true stress–strain data and experimental data on the grain size, a relevant model for metadynamic recrystallization of 34CrNi3MoV steel was established using mathematical analysis of regression equations. The average relative error AARE between the constructed dynamic model and the grain size model and the experimental results are 6.48% and 1.30%, respectively. This indicates that the model has high predictability. Full article
Show Figures

Figure 1

16 pages, 17830 KB  
Article
Strain Rate Dependence and Recrystallization Modeling for TC18 Alloy during Post-Deformation Annealing
by Zhaosen Li, Jinyang Ge, Bin Kong, Deng Luo, Zhen Wang and Xiaoyong Zhang
Materials 2023, 16(3), 1140; https://doi.org/10.3390/ma16031140 - 29 Jan 2023
Cited by 8 | Viewed by 2973
Abstract
In this paper, the dependence of dynamic recrystallization (DRX) and post-dynamic recrystallization (PDRX) of TC18 alloy on strain rate within the range of 0.001 s−1~1 s−1 was investigated through isothermal compression and subsequent annealing in the single-phase region. Electron backscatter [...] Read more.
In this paper, the dependence of dynamic recrystallization (DRX) and post-dynamic recrystallization (PDRX) of TC18 alloy on strain rate within the range of 0.001 s−1~1 s−1 was investigated through isothermal compression and subsequent annealing in the single-phase region. Electron backscatter diffraction (EBSD) characterization was employed to quantify microstructure evolution and to reveal the recrystallization mechanism. At the thermo-deformation stage, the DRX fraction does not exceed 10% at different strain rates, due to the high stacking fault energy of the β phase. During the subsequent annealing process, the total recrystallization fraction increases from 10.5% to 79.6% with the strain rate increasing from 0.001 s−1 to 1 s−1. The variations in the geometrically necessary dislocation (GND) density before and after annealing exhibit a significant discrepancy with the increasing strain rate, indicating that the GND density is a key factor affecting the PDRX rate. The PDRX mechanisms, namely meta-dynamic recrystallization (MDRX), continuous static recrystallization (CSRX) and discontinuous static recrystallization (DSRX), were also revealed during the annealing process. A new kinetic model coupling DRX and PDRX was proposed to further describe the correlation between recrystallization and the strain rate during continuous deformation and annealing. This new model facilitates the prediction of recrystallization fraction during isothermal deformation and annealing of titanium alloys. Full article
(This article belongs to the Special Issue Feature Papers in "Metals and Alloys" Section)
Show Figures

Figure 1

25 pages, 12458 KB  
Article
Optimization of Thermomechanical Processing under Double-Pass Hot Compression Tests of a High Nb and N-Bearing Austenitic Stainless-Steel Biomaterial Using Artificial Neural Networks
by Gláucia Adriane de S. Sulzbach, Maria Verônica G. Rodrigues, Samuel F. Rodrigues, Marcos Natan da S. Lima, Rodrigo de C. Paes Loureiro, Denis Fabrício S. de Sá, Clodualdo Aranas, Glaucia Maria E. Macedo, Fulvio Siciliano, Hamilton F. Gomes de Abreu, Gedeon S. Reis and Eden S. Silva
Metals 2022, 12(11), 1783; https://doi.org/10.3390/met12111783 - 23 Oct 2022
Cited by 5 | Viewed by 2513
Abstract
Physical simulation is a useful tool for examining the events that occur during the multiple stages of thermomechanical processing, since it requires no industrial equipment. Instead, it involves hot deformation testing in the laboratory, similar to industrial-scale processes, such as controlled hot rolling [...] Read more.
Physical simulation is a useful tool for examining the events that occur during the multiple stages of thermomechanical processing, since it requires no industrial equipment. Instead, it involves hot deformation testing in the laboratory, similar to industrial-scale processes, such as controlled hot rolling and forging, but under different conditions of friction and heat transfer. Our purpose in this work was to develop an artificial neural network (ANN) to optimize the thermomechanical behavior of stainless-steel biomaterial in a double-pass hot compression test, adapted to the Arrhenius–Avrami constitutive model. The method consists of calculating the static softening fraction (Xs) and mean recrystallized grain size (ds), implementing an ANN based on data obtained from hot compression tests, using a vacuum chamber in a DIL 805A/D quenching dilatometer at temperatures of 1000, 1050, 1100 and 1200 °C, in passes (ε1 = ε2) of 0.15 and 0.30, a strain rate of 1.0 s−1 and time between passes (tp) of 1, 10, 100, 400, 800 and 1000 s. The constitutive analysis and the experimental and ANN-simulated results were in good agreement, indicating that ASTM F-1586 austenitic stainless steel used as a biomaterial undergoes up to Xs = 40% of softening due solely to static recovery (SRV) in less than 1.0 s interval between passes (tp), followed by metadynamic recrystallization (MDRX) at strains greater than 0.30. At T > 1050 °C, the behavior of the softening curves Xs vs. tp showed the formation of plateaus for long times between passes (tp), delaying the softening kinetics and modifying the profile of the curves produced by the moderate stacking fault energy, γsfe = 69 mJ/m2 and the strain-induced interaction between recrystallization and precipitation (Z-phase). Thus, the use of this ANN allows one to optimize the ideal thermomechanical parameters for distribution and refinement of grains with better mechanical properties. Full article
(This article belongs to the Special Issue Application of Neural Networks in Processing of Metallic Materials)
Show Figures

Figure 1

13 pages, 6317 KB  
Article
Numerical Simulation of Microstructure Evolution of Large GCr15 Bar during Multi-Pass Rough Rolling
by Huaibin Han, Xianming Zhao, Haochen Ding, Chi Zhang, Xueqing Yu and Wei Wang
Metals 2022, 12(5), 812; https://doi.org/10.3390/met12050812 - 7 May 2022
Cited by 3 | Viewed by 2904
Abstract
Severe temperature gradients and inhomogeneous strain distribution exist in the large cross-section of GCr15 bearing steel during the hot bar rolling process, resulting in a complex microstructure evolution in the bar. To promote the performance of the bar, a thermal-mechanical coupled finite element [...] Read more.
Severe temperature gradients and inhomogeneous strain distribution exist in the large cross-section of GCr15 bearing steel during the hot bar rolling process, resulting in a complex microstructure evolution in the bar. To promote the performance of the bar, a thermal-mechanical coupled finite element (FE) model was developed to capture the variations in temperature and deformation strain. A subroutine, considering the dynamic recrystallization (DRX), meta-dynamic recrystallization (MDRX), static recrystallization (SRX), and grain growth (GG) of austenite grains of GCr15 steel, was developed and coupled to the FE model to predict the microstructure’s evolution during rough rolling. The simulation implies that the inner part of the bloom is deformed at high temperatures due to the heat generated by plastic deformation and slow heat conduction, while the surface temperature decreases along with the passes. The heavy reduction design with 11 passes was found to introduce higher strains at the center regions than those of the same rough rolling reduction divided into 13 passes. The higher strains at the center regions refined the grain size and promoted microstructure homogeneity. The observation of the microstructures after hot bar rolling confirmed the refinement of the heavy reduction design for rough rolling. Furthermore, the heavy rough rolling reduction was found to be beneficial for alleviating the macrosegregation of the casting bloom. Full article
(This article belongs to the Special Issue Advanced Technology in Microalloyed Steels)
Show Figures

Figure 1

22 pages, 13271 KB  
Article
Shaping Microstructure and Mechanical Properties of High-Carbon Bainitic Steel in Hot-Rolling and Long-Term Low-Temperature Annealing
by Tomasz Dembiczak and Marcin Knapiński
Materials 2021, 14(2), 384; https://doi.org/10.3390/ma14020384 - 14 Jan 2021
Cited by 4 | Viewed by 2591
Abstract
Based on the research results, coefficients in constitutive equations, describing the kinetics of dynamic, meta-dynamic, and static recrystallization in high-carbon bainitic steel during hot deformation were determined. The developed mathematical model takes into account the dependence of the changing kinetics in the structural [...] Read more.
Based on the research results, coefficients in constitutive equations, describing the kinetics of dynamic, meta-dynamic, and static recrystallization in high-carbon bainitic steel during hot deformation were determined. The developed mathematical model takes into account the dependence of the changing kinetics in the structural size of the preliminary austenite grains, the value of strain, strain rate, temperature, and time. Physical simulations were carried out on rectangular specimens. Compression tests with a flat state of deformation were carried out using a Gleeble 3800. Based on dilatometric studies, coefficients were determined in constitutive equations, describing the grain growth of the austenite of high-carbon bainite steel under isothermal annealing conditions. The aim of the research was to verify the developed mathematical models in semi-industrial conditions during the hot-rolling process of high-carbon bainite steel. Analysis of the semi-industrial studies of the hot-rolling and long-term annealing process confirmed the correctness of the predicted mathematical models describing the microstructure evolution. Full article
(This article belongs to the Special Issue Hot Deformation and Microstructure Evolution of Metallic Materials)
Show Figures

Graphical abstract

15 pages, 7311 KB  
Article
Simulation of Dynamic and Meta-Dynamic Recrystallization Behavior of Forged Alloy 718 Parts Using a Multi-Class Grain Size Model
by Christian Gruber, Peter Raninger, Aleksandar Stanojevic, Flora Godor, Markus Rath, Ernst Kozeschnik and Martin Stockinger
Materials 2021, 14(1), 111; https://doi.org/10.3390/ma14010111 - 29 Dec 2020
Cited by 16 | Viewed by 3383
Abstract
Dynamic and meta-dynamic recrystallization occur during forging of alloy 718 aircraft parts and thus change the microstructure during a multistep production route. Since the prediction of the resulting grain structure in a single grain fraction is not able to describe microstructures with bimodal [...] Read more.
Dynamic and meta-dynamic recrystallization occur during forging of alloy 718 aircraft parts and thus change the microstructure during a multistep production route. Since the prediction of the resulting grain structure in a single grain fraction is not able to describe microstructures with bimodal or even multimodal distributions, a multi-class grain size model has been deployed to describe the recrystallization mechanisms during thermomechanical treatments and predict the resulting grain size distributions more accurately. As forging parameters, such as temperature, strain rate and maximum strain influence the flow curve and consequently the recrystallization behavior, a series of double cone compression experiments has been carried out and used to verify and adapt the material parameters for the multi-class grain size model. The recrystallized fractions of the numerical and experimental results are compared and differentiated in view of the recrystallization mechanism, i.e., dynamic and meta-dynamic recrystallization. The strong dependence of the recrystallization kinetics on the initial grain size is highlighted, as well as the influence of different strain rates, which shall represent typical forging equipment. Full article
(This article belongs to the Special Issue Forging Processes of Materials)
Show Figures

Figure 1

20 pages, 10478 KB  
Article
Effects of Austenitization Temperature and Pre-Deformation on CCT Diagrams of 23MnNiCrMo5-3 Steel
by Ivo Schindler, Rostislav Kawulok, Petr Opěla, Petr Kawulok, Stanislav Rusz, Jaroslav Sojka, Michal Sauer, Horymír Navrátil and Lukáš Pindor
Materials 2020, 13(22), 5116; https://doi.org/10.3390/ma13225116 - 13 Nov 2020
Cited by 11 | Viewed by 3248
Abstract
The combined effect of deformation temperature and strain value on the continuous cooling transformation (CCT) diagram of low-alloy steel with 0.23% C, 1.17% Mn, 0.79% Ni, 0.44% Cr, and 0.22% Mo was studied. The deformation temperature (identical to the austenitization temperature) was in [...] Read more.
The combined effect of deformation temperature and strain value on the continuous cooling transformation (CCT) diagram of low-alloy steel with 0.23% C, 1.17% Mn, 0.79% Ni, 0.44% Cr, and 0.22% Mo was studied. The deformation temperature (identical to the austenitization temperature) was in the range suitable for the wire rolling mill. The applied compressive deformation corresponded to the true strain values in an unusually wide range. Based on the dilatometric tests and metallographic analyses, a total of five different CCT diagrams were constructed. Pre-deformation corresponding to the true strain of 0.35 or even 1.0 had no clear effect on the austenite decomposition kinetics at the austenitization temperature of 880 °C. During the long-lasting cooling, recrystallization and probably coarsening of the new austenitic grains occurred, which almost eliminated the influence of pre-deformation on the temperatures of the diffusion-controlled phase transformations. Decreasing the deformation temperature to 830 °C led to the significant acceleration of the austenite → ferrite and austenite → pearlite transformations due to the applied strain of 1.0 only in the region of the cooling rate between 3 and 35 °C·s−1. The kinetics of the bainitic or martensitic transformation remained practically unaffected by the pre-deformation. The acceleration of the diffusion-controlled phase transformations resulted from the formation of an austenitic microstructure with a mean grain size of about 4 µm. As the analysis of the stress–strain curves showed, the grain refinement was carried out by dynamic and metadynamic recrystallization. At low cooling rates, the effect of plastic deformation on the kinetics of phase transformations was indistinct. Full article
(This article belongs to the Special Issue Hot Deformation and Microstructure Evolution of Metallic Materials)
Show Figures

Figure 1

22 pages, 13736 KB  
Article
Structure of Fe-Mn-Al-C Steels after Gleeble Simulations and Hot-Rolling
by Liwia Sozańska-Jędrasik, Janusz Mazurkiewicz, Krzysztof Matus and Wojciech Borek
Materials 2020, 13(3), 739; https://doi.org/10.3390/ma13030739 - 6 Feb 2020
Cited by 12 | Viewed by 4022
Abstract
In this paper, analytical results are compared for the newly developed steels, Fe-Mn-Al-C (X105) and Fe-Mn-Al-Nb-Ti-C (X98), after being hot-rolled and also after undergoing thermomechanical treatment in a Gleeble simulator. These steels have a relatively low density (~6.68 g/cm3) and a [...] Read more.
In this paper, analytical results are compared for the newly developed steels, Fe-Mn-Al-C (X105) and Fe-Mn-Al-Nb-Ti-C (X98), after being hot-rolled and also after undergoing thermomechanical treatment in a Gleeble simulator. These steels have a relatively low density (~6.68 g/cm3) and a content of approx. 11% aluminum. The multistage compression of axisymmetric samples constituting a simulation of the real technological process and hot-rolling performed on a semi-industrial line were carried out using three cooling variants: in water, in air, and after isothermal heating and cooling in water. The temperature at the end of the thermomechanical treatment for all variants was 850 °C. On the basis of detailed structural studies, it was found that the main mechanism for removing the effects of the strain hardening that occurred during the four-stage compression involved the dynamic recrystallization occurring in the first and second stages, the hot formability and dynamic recovery in successive stages of deformation, and the static and/or metadynamic recrystallization that occurred at intervals between individual deformations, as well as after the last deformation during isothermal heating. Analysis of the phase composition and structure allowed us to conclude that the tested steels have an austenitic-ferritic structure with carbide precipitates. Research using scanning and transmission electron microscopy identified κ-(Fe, Mn)3AlC and M7C3 carbides in both the analyzed steels. In addition, complex carbides based on Nb and Ti were identified in X98 steel; (Ti, Nb)C carbides occurred in the entire volume of the material. Slow cooling after thermomechanical treatment influenced the formation of larger κ-carbides at the border of the austenite and ferrite grains than in the case of rapid cooling. The size and morphology of the carbides found in the examined steels was varied. Back-scattered electron diffraction studies showed that wide-angle boundaries dominated in these steels. Full article
(This article belongs to the Special Issue Progress in Plastic Deformation of Metals and Alloys)
Show Figures

Figure 1

17 pages, 5464 KB  
Article
Study of Static Recrystallization Kinetics and the Evolution of Austenite Grain Size by Dynamic Recrystallization Refinement of an Eutectoid Steel
by Cesar Facusseh, Armando Salinas, Alfredo Flores and Gerardo Altamirano
Metals 2019, 9(12), 1289; https://doi.org/10.3390/met9121289 - 29 Nov 2019
Cited by 18 | Viewed by 5901
Abstract
Interrupted and continuous hot compression tests were performed for eutectoid steel over the temperature range of 850 to 1050 °C and while using strain rates of 0.001, 0.01, 0.1, and 1 s−1. The interrupted tests were carried out to characterize the [...] Read more.
Interrupted and continuous hot compression tests were performed for eutectoid steel over the temperature range of 850 to 1050 °C and while using strain rates of 0.001, 0.01, 0.1, and 1 s−1. The interrupted tests were carried out to characterize the kinetics of static recrystallization(SRX) and determinate the interpass time conditions that are required for initiation and propagation of dynamic recrystallization (DRX), while considering that the material does not contain microalloying elements additions for the recrystallization delay. Continuous testing was used to investigate the evolution of the austenite grain size that results from DRX. The results indicate that carbon content accelerates the SRX rate. This effect was observed when the retardation of recrystallization due to a decrease in deformation temperature from 1050 to 850 °C was only about one order of magnitude. The expected decelerate effect on the SRX rate when the initial grain size increases from 86 to 387 µm was not significant for this material. Although the strain parameter has a strong influence on SRX rate, in contrast to a lesser degree of strain rate, both of the effects are nearly independent of the chemical composition. The calculated maximum interpass times that are compatible with DRCR (Dynamic Recrystallization Controlled Rolling), for relatively low strain rates, suggest that the onset and maintaining of the DRX is possible. However, while using the empirical equations that were developed in the present work to estimate the maximum times for high strain rates, such as those observed in the wire and rod mills, indicate that the DRX start is feasible, but maintaining this mechanism for 5% softening in each pass after peak strain is not possible. Full article
Show Figures

Figure 1

16 pages, 21996 KB  
Article
Softening Characterization of 300M High-Strength Steel during Post-Dynamic Recrystallization
by Rong Zeng, Liang Huang, Hongliang Su, Huijuan Ma, Yangfei Ma and Jianjun Li
Metals 2018, 8(5), 340; https://doi.org/10.3390/met8050340 - 10 May 2018
Cited by 16 | Viewed by 4366
Abstract
This paper investigates softening phenomena within the post-dynamic recrystallization (PDRX) process in 300M high-strength steel specimens with different initial dynamically recrystallized volume fractions. Isothermal, interrupted compression experiments were performed on a Gleeble-3500 at a temperature of 1273 K and strain rate of 0.01 [...] Read more.
This paper investigates softening phenomena within the post-dynamic recrystallization (PDRX) process in 300M high-strength steel specimens with different initial dynamically recrystallized volume fractions. Isothermal, interrupted compression experiments were performed on a Gleeble-3500 at a temperature of 1273 K and strain rate of 0.01 s−1. To acquire different initial volume fractions of dynamically recrystallized (DRX) grains, deformation was interrupted at two strain levels and immediately followed by isothermal annealing treatments. The softening behaviors respectively caused by the static recrystallization (SRX) and metadynamic recrystallization (MDRX) were qualitatively characterized by variations in the mechanical properties of the deformed and recrystallized grains. On the basis of the Taylor dislocation model, the evolution of geometric necessary dislocations (GNDs) and statistically stored dislocations (SSDs) densities were also discussed to qualitatively clarify the nature of different softening behaviors. Results indicate that the SRX occurred alone in samples without initial DRX grains, after an incubation time of approximately 50 s, while MDRX initially appeared within 1 s and completed at about 8 s in samples with a high initial volume fraction of DRX grains. The microhardness, indentation hardness, and Young’s modulus in the deformed and recrystallized grains decreased gradually with an increase of MDRX and SRX volume fractions. The sink-in and pile-up phenomena were enhanced by the SRX and MDRX softening processes, respectively. The SSDs density decreased more noticeably during the MDRX process than that during the SRX, which indicates that the MDRX process contributed to a more significant softening effect within the microstructural evolution regimes. Full article
(This article belongs to the Special Issue Dynamic Recrystallization Behavior of Metallic Materials)
Show Figures

Figure 1

15 pages, 14350 KB  
Article
In Situ Characterization of Inconel 718 Post-Dynamic Recrystallization within a Scanning Electron Microscope
by Meriem Zouari, Roland E. Logé and Nathalie Bozzolo
Metals 2017, 7(11), 476; https://doi.org/10.3390/met7110476 - 4 Nov 2017
Cited by 45 | Viewed by 6597
Abstract
Microstructure evolution within the post-dynamic regime following hot deformation was investigated in Inconel 718 samples with different dynamically recrystallized volume fractions and under conditions such that no δ-phase particles were present. In situ annealing treatments carried out to mimic post-dynamic conditions inside the [...] Read more.
Microstructure evolution within the post-dynamic regime following hot deformation was investigated in Inconel 718 samples with different dynamically recrystallized volume fractions and under conditions such that no δ-phase particles were present. In situ annealing treatments carried out to mimic post-dynamic conditions inside the Scanning Electron Microscope (SEM) chamber suggest the occurrence of both metadynamic and static recrystallization mechanisms. Static recrystallization was observed in addition to metadynamic recrystallization, only when the initial dynamically recrystallized volume fraction was very small. The initial volume fraction of dynamically recrystallized grains appears to be decisive for subsequent microstructural evolution mechanisms and kinetics. In addition, the formation of annealing twins is observed along with the growth of recrystallized grains, but then the twin density decreases as the material enters the capillarity-driven grain growth regime. Full article
(This article belongs to the Special Issue Dynamic Recrystallization Behavior of Metallic Materials)
Show Figures

Graphical abstract

Back to TopTop