Sign in to use this feature.

Years

Between: -

Subjects

remove_circle_outline
remove_circle_outline
remove_circle_outline
remove_circle_outline
remove_circle_outline

Journals

Article Types

Countries / Regions

Search Results (19)

Search Parameters:
Keywords = menthene

Order results
Result details
Results per page
Select all
Export citation of selected articles as:
24 pages, 1653 KB  
Article
Effects of Vapor Gard (Di-1-p-menthene) on Potato (Solanum tuberosum L.) Yield and Tuber Physiological Disorders Under Moderate and Severe Drought
by Oluwatoyin Favour Olu-Olusegun, Aidan Farrell, James Monaghan and Peter Kettlewell
Plants 2026, 15(4), 536; https://doi.org/10.3390/plants15040536 - 9 Feb 2026
Viewed by 402
Abstract
Potatoes (Solanum tuberosum L.) are highly sensitive to water deficits, which compromise both yield and tuber quality, with russeting representing a major disorder that limits marketability. Film-forming antitranspirants, such as Vapor Gard (VG; di-1-p-menthene), may alleviate these effects by reducing [...] Read more.
Potatoes (Solanum tuberosum L.) are highly sensitive to water deficits, which compromise both yield and tuber quality, with russeting representing a major disorder that limits marketability. Film-forming antitranspirants, such as Vapor Gard (VG; di-1-p-menthene), may alleviate these effects by reducing transpirational water loss, but their effectiveness under different stress intensities remains uncertain. This study investigated the impacts of moderate and severe drought (targeted at 30% and 20% available water content, respectively) on plant water status, yield, and tuber physiological disorders in two varieties (Challenger and Russet Burbank), and assessed the extent to which VG could mitigate these impacts. Two pot experiments were conducted in a polytunnel using a factorial combination of soil–water regime and VG application. Drought reduced relative water content (RWC) by 30–36% and tuber yield by 29–61%, compared with irrigated plants. Under moderate drought, VG improved leaf RWC by 14–27% and increased yield by 37–67% relative to untreated drought-stressed plants across the two experiments, approaching levels achieved with irrigation. VG’s influence on stomatal conductance was small and inconsistent. VG also consistently reduced russeting in the susceptible Challenger variety, while reductions in necrosis and jelly end rot were observed in Russet Burbank, indicating that disorder responses were variety dependent. Under severe drought conditions, VG provided little additional benefit for plant water status, yield, or disorder incidence. Overall, the results suggest that VG has potential as a management tool for reducing drought-related yield and quality losses in potatoes, particularly under moderate soil water deficit. However, further optimisation of application strategies is required to enhance consistency across environments. Full article
(This article belongs to the Section Plant Response to Abiotic Stress and Climate Change)
Show Figures

Graphical abstract

22 pages, 2548 KB  
Article
Transcriptomic Responses of Wheat Anthers to Drought Stress and Antitranspirants
by Misbah Sehar, Philippa Borrill, Laura Vickers and Peter S. Kettlewell
Plants 2025, 14(17), 2633; https://doi.org/10.3390/plants14172633 - 24 Aug 2025
Viewed by 1155
Abstract
Drought severely impacts crop yields, especially wheat. Antitranspirants, which reduce water loss, have been shown to improve crop yield under drought, possibly by increasing pollen viability. To understand the mechanisms, transcriptomic responses were studied in early meiotic wheat anthers extracted from polytunnel-grown plants: [...] Read more.
Drought severely impacts crop yields, especially wheat. Antitranspirants, which reduce water loss, have been shown to improve crop yield under drought, possibly by increasing pollen viability. To understand the mechanisms, transcriptomic responses were studied in early meiotic wheat anthers extracted from polytunnel-grown plants: well-watered, droughted unsprayed, and droughted plants treated with antitranspirants. Film (Vapor Gard (VG), di-1-p-menthene) and metabolic (Abscisic Acid (ABA), 20% S-ABA) antitranspirants were applied at the flag leaf stage (GS39). Well-watered (WW) plant anthers had more upregulated genes (626 genes) than downregulated ones (226 genes) when compared to droughted unsprayed ones. Most of the differentially expressed genes (DEGs) were transcriptionally downregulated (3959 genes) in droughted, treated-plant anthers (ABA and VG) compared with unsprayed (US), and the number of genes with upregulated expression was lower (830 genes). VG-treated plant anthers had more downregulated genes (3325 genes) than ABA-treated ones (634 genes). Carbohydrate or sugar metabolism and related processes were affected in antitranspirant-treated plant anthers with significant downregulation of genes compared to droughted unsprayed ones; in contrast, these processes were upregulated in well-watered anthers, suggesting broad differences in the transcriptional response. However, antitranspirants did not significantly affect pollen viability or yield in treated plants compared to unsprayed plants, suggesting that anthers are more sensitive at the transcriptomic level than subsequent physiological processes determining yield. Full article
(This article belongs to the Section Plant Response to Abiotic Stress and Climate Change)
Show Figures

Figure 1

9 pages, 1110 KB  
Communication
Can Bio-Based Stomatal Blockers Inhibit Rapeseed Growth?
by Michele Faralli, Minuka Weerasinghe, Gee-Sian Leung, Ray Marriott, Melville Miles, James M. Monaghan and Peter Kettlewell
Int. J. Plant Biol. 2025, 16(3), 98; https://doi.org/10.3390/ijpb16030098 - 21 Aug 2025
Viewed by 620
Abstract
Stomatal blockers are hydrophobic polymers applied to leaves to physically block stomatal pores and restrict gas exchange, and which have potential as plant growth regulators to retard growth. Three experiments in a heated glasshouse, one sown in autumn and two sown in winter, [...] Read more.
Stomatal blockers are hydrophobic polymers applied to leaves to physically block stomatal pores and restrict gas exchange, and which have potential as plant growth regulators to retard growth. Three experiments in a heated glasshouse, one sown in autumn and two sown in winter, were conducted with pot-grown rapeseed plants at the four-leaf stage to evaluate retardant potential of two bio-based polymers: di-1-p-menthene (DPM) and extracted cauliflower leaf wax. Both stomatal blockers reduced stomatal conductance and plant dry weight in the autumn-sown experiment, when solar radiation was high during leaf development and stomatal conductance of water-treated plants was relatively high. Wax was more effective than DPM at reducing plant dry weight, despite no difference in stomatal conductance. In the two winter-sown experiments, when solar radiation was lower during leaf development, stomatal conductance in water-treated plants was less than in the autumn-sown experiment. Stomatal conductance was reduced by the blockers in the winter-sown experiments, but plant dry weight was unaffected. It was concluded that stomatal blockers may have potential to act as plant growth regulators to retard growth in rapeseed, but further research is necessary to define the circumstances when a response will occur. Full article
(This article belongs to the Section Plant Physiology)
Show Figures

Figure 1

8 pages, 263 KB  
Communication
Stomatal Blocker Delays Strawberry Production
by Jie Xiang, Laura Vickers, James M. Monaghan and Peter Kettlewell
Int. J. Plant Biol. 2025, 16(3), 80; https://doi.org/10.3390/ijpb16030080 - 19 Jul 2025
Viewed by 752
Abstract
Strawberries have a short shelf-life leading to food loss and waste when production unexpectedly exceeds demand. PGRs may have potential to delay production and reduce food loss and waste, but no PGRs are available for delaying strawberry production. The aim of this preliminary [...] Read more.
Strawberries have a short shelf-life leading to food loss and waste when production unexpectedly exceeds demand. PGRs may have potential to delay production and reduce food loss and waste, but no PGRs are available for delaying strawberry production. The aim of this preliminary study was to investigate re-purposing a stomatal blocking film antitranspirant polymer as a PGR to temporarily delay production. Poly-1-p-menthene or water was applied during early fruit ripening in two glasshouse experiments, one on a June-bearer cultivar and one on an everbearer cultivar. Ripe strawberries were harvested during the next 23 days, the cumulative yield was recorded, and the production curves were fitted using polynomial regression in groups. The statistical analysis showed that cubic polynomial regression curves could be fitted separately to each treatment. Application of the blocker delayed the production of both cultivars by 1–2 days during the period of rapid berry production. The delay diminished and cumulative yield returned to the water-treated value by 13 and 18 days after application in the June-bearer and everbearer cultivars, respectively. At 23 days after application, the blocker gave 8% greater cumulative yield in the June-bearer, but not in the everbearer. It was concluded that, if a greater delay could be achieved, there may be potential to use stomatal blockers as PGRs in some cultivars of strawberry to delay production and reduce food loss and waste when unanticipated lower demand occurs. Full article
(This article belongs to the Section Plant Physiology)
Show Figures

Figure 1

24 pages, 1411 KB  
Article
Film-Forming and Metabolic Antitranspirants Reduce Potato Drought Stress and Tuber Physiological Disorders
by Oluwatoyin Favour Olu-Olusegun, Aidan Farrell, James Monaghan and Peter Kettlewell
Agronomy 2025, 15(7), 1564; https://doi.org/10.3390/agronomy15071564 - 27 Jun 2025
Cited by 1 | Viewed by 1598
Abstract
Potatoes are highly sensitive to drought, particularly during tuber initiation. This study aimed to evaluate the effectiveness of film-forming (Vapor Gard [VG]) and metabolic (abscisic acid [ABA]) antitranspirants in mitigating drought stress and reducing tuber physiological disorders in four potato varieties. Two experiments [...] Read more.
Potatoes are highly sensitive to drought, particularly during tuber initiation. This study aimed to evaluate the effectiveness of film-forming (Vapor Gard [VG]) and metabolic (abscisic acid [ABA]) antitranspirants in mitigating drought stress and reducing tuber physiological disorders in four potato varieties. Two experiments examined the effects of VG and ABA antitranspirants on drought-stressed potato plants of four varieties (Challenger, Markies, Nectar, and Russet Burbank) grown in pots in a polytunnel (semi-controlled environment). Experiment 1 imposed severe drought by withholding irrigation until 70% of the available water content was depleted (reaching 15–17% volumetric water content within ~15 days), while Experiment 2 featured gradual drought stress from tuber initiation, with the soil volumetric water content declining to <10% over 30 days. Antitranspirants were applied at the start of the tuber initiation and two weeks later to assess their impact on the soil volumetric water content, stomatal conductance, relative water content, yield, and tuber physiological disorders. Drought significantly reduced the soil and plant water status, tuber yield, and quality across both experiments, with more severe effects observed in Experiment 1. VG and ABA had repeatable effects in both experiments and in all varieties, reducing water stress by preventing a large reduction in the relative water content during the tuber initiation and bulking stages. Both antitranspirants improved the tuber appearance by reducing the tuber skin disorder of russeting in the susceptible Challenger variety in both experiments, with VG being more effective than ABA. Beneficial reductions in the effects of drought from antitranspirants were also recorded in the volumetric water content, stomatal conductance, yield, and jelly end rot but not consistently in all varieties and in both experiments. The results show that antitranspirants have the potential to minimise water stress in droughted potatoes and subsequently reduce the physiological disorder of russeting and improve the tuber appearance of the Challenger variety. Full article
(This article belongs to the Section Horticultural and Floricultural Crops)
Show Figures

Figure 1

14 pages, 1593 KB  
Article
Antimicrobial Activity of Origanum vulgare Essential Oil against Staphylococcus aureus and Escherichia coli
by Sonia Tejada-Muñoz, Denny Cortez, Jesús Rascón, Segundo G. Chavez, Aline C. Caetano, Rosa J. Díaz-Manchay, Julio Sandoval-Bances, Sonia Huyhua-Gutierrez, Lizandro Gonzales, Stella M. Chenet and Rafael Tapia-Limonchi
Pharmaceuticals 2024, 17(11), 1430; https://doi.org/10.3390/ph17111430 - 25 Oct 2024
Cited by 19 | Viewed by 15968
Abstract
Background/Objectives: Oreganum vulgare essential oil (OEO) is safe, effective, multifunctional, and widely used. This study aimed to evaluate OEO’s chemical composition and antimicrobial activity in vitro against S. aureus and E. coli. Methods: The composition of OEO was determined by [...] Read more.
Background/Objectives: Oreganum vulgare essential oil (OEO) is safe, effective, multifunctional, and widely used. This study aimed to evaluate OEO’s chemical composition and antimicrobial activity in vitro against S. aureus and E. coli. Methods: The composition of OEO was determined by gas chromatography–mass spectrometry (GC-MS). Results: Compounds included monoterpenes with known antimicrobial activity, such as 2-menthen-1-ol (36.33%), linalyl acetate (9.26%), terpinene-4-ol (9.01%), 4-thujanol (6.33%), menthen (5.81%), sabinene (5.18%), and carvacrol methyl ether (5.14%). Conclusions: OEO had a strong antimicrobial activity with a minimum inhibitory concentration (MIC) of 1.90 mg/mL for S. aureus and 0.49 mg/mL for E. coli after 18 h incubation. The minimum bactericidal concentration (MBC) was 7.9 mg/mL against S. aureus and 0.99 mg/mL against E. coli. Thus, OEO could be used as a natural antimicrobial against S. aureus and E. coli infections. Full article
(This article belongs to the Section Natural Products)
Show Figures

Figure 1

17 pages, 8873 KB  
Article
Effect of Isolated Scenting Process on the Aroma Quality of Osmanthus Longjing Tea
by Jianyong Zhang, Yuxiao Mao, Yongquan Xu, Zhihui Feng, Yuwan Wang, Jianxin Chen, Yun Zhao, Hongchun Cui and Junfeng Yin
Foods 2024, 13(18), 2985; https://doi.org/10.3390/foods13182985 - 20 Sep 2024
Cited by 7 | Viewed by 2629
Abstract
Scenting is an important process for the formation of aroma quality in floral Longjing tea. There are differences in the aroma quality of osmanthus Longjing teas processed by different scenting processes. The efficient isolated scenting method was employed to process a new product [...] Read more.
Scenting is an important process for the formation of aroma quality in floral Longjing tea. There are differences in the aroma quality of osmanthus Longjing teas processed by different scenting processes. The efficient isolated scenting method was employed to process a new product of osmanthus Longjing tea in this study, and this was compared with the traditional scenting method. The volatile compounds of osmanthus Longjing tea were analyzed by a GC-MS instrument. In addition, the effects of scenting time and osmanthus consumption on the aroma quality of Longjing tea were studied. The results indicated that there were 67 kinds of volatile compounds in the osmanthus Longjing tea produced by the isolated scenting process (O-ISP), osmanthus Longjing tea produced by the traditional scenting process (O-TSP), and raw Longjing tea embryo (R), including alcohols, ketones, esters, aldehydes, olefins, acids, furans, and other aroma compounds. The proportions of alcohol compounds, ester compounds, aldehyde compounds, and ketone compounds in O-ISP were higher than in O-TSP and R. When the osmanthus consumption was increased, the relative contents of volatile aroma compounds gradually increased, which included the contents of trans-3,7-linalool oxide II, dehydrolinalool, linalool oxide III (furan type), linalool oxide IV (furan type), 2,6-Dimethyl cyclohexanol, isophytol, geraniol, 1-octene-3-alcohol, cis-2-pentenol, trans-3-hexenol, β-violet alcohol, 1-pentanol, benzyl alcohol, trans-p-2-menthene-1-alcohol, nerol, hexanol, terpineol, 6-epoxy-β-ionone, 4,2-butanone, 2,3-octanedione, methyl stearate, cis-3-hexenyl wasobutyrate, and dihydroanemone lactone. When the scenting time was increased, the relative contents of aroma compounds gradually increased, which included the contents of 2-phenylethanol, trans-3,7-linalool oxide I, trans-3,7-linalool oxide II, dehydrolinalool, isophytol, geraniol, trans-3-hexenol, β-ionol, benzyl alcohol, trans-p-2-menthene-1-ol, nerol, hexanol, terpineol, dihydroβ-ionone, α-ionone, and β-ionone,6,10. The isolated scenting process could achieve better aroma quality in terms of the floral fragrance, refreshing fragrance, and tender fragrance than the traditional scenting process. The isolated scenting process was suitable for processing osmanthus Longjing tea with high aroma quality. This study was hoped to provide a theoretical base for the formation mechanism and control of quality of osmanthus Longjing tea. Full article
(This article belongs to the Special Issue Tea: Processing Techniques, Flavor Chemistry and Health Benefits)
Show Figures

Figure 1

21 pages, 2165 KB  
Article
A New Stereoselective Approach to the Substitution of Allyl Hydroxy Group in para-Mentha-1,2-diol in the Search for New Antiparkinsonian Agents
by Alexandra V. Podturkina, Oleg V. Ardashov, Konstantin P. Volcho and Nariman F. Salakhutdinov
Molecules 2023, 28(21), 7303; https://doi.org/10.3390/molecules28217303 - 27 Oct 2023
Cited by 1 | Viewed by 1970
Abstract
Two approaches to the synthesis of para-menthene epoxide ((1S,5S,6R)-4) are developed. The first approach includes a reaction between chlorohydrin 7 and NaH in THF. The second involves the formation of epoxide in the [...] Read more.
Two approaches to the synthesis of para-menthene epoxide ((1S,5S,6R)-4) are developed. The first approach includes a reaction between chlorohydrin 7 and NaH in THF. The second involves the formation of epoxide in the reaction of corresponding diacetate 6 with sodium tert-butoxide. One possible mechanism of this reaction is proposed to explain unexpected outcomes in the regio- and stereospecificity of epoxide (1S,5S,6R)-4 formation. The epoxide ring in (1S,5S,6R)-4 is then opened by various S- and O-nucleophiles. This series of reactions allows for the stereoselective synthesis of diverse derivatives of the monoterpenoid Prottremine 1, a compound known for its antiparkinsonian activity, including promising antiparkinsonian properties. Full article
Show Figures

Figure 1

36 pages, 3766 KB  
Article
Elaboration of the Effective Multi-Target Therapeutic Platform for the Treatment of Alzheimer’s Disease Based on Novel Monoterpene-Derived Hydroxamic Acids
by Yulia Aleksandrova, Aldar Munkuev, Evgenii Mozhaitsev, Evgenii Suslov, Dmitry Tsypyshev, Kirill Chaprov, Roman Begunov, Konstantin Volcho, Nariman Salakhutdinov and Margarita Neganova
Int. J. Mol. Sci. 2023, 24(11), 9743; https://doi.org/10.3390/ijms24119743 - 4 Jun 2023
Cited by 9 | Viewed by 3636
Abstract
Novel monoterpene-based hydroxamic acids of two structural types were synthesized for the first time. The first type consisted of compounds with a hydroxamate group directly bound to acyclic, monocyclic and bicyclic monoterpene scaffolds. The second type included hydroxamic acids connected with the monoterpene [...] Read more.
Novel monoterpene-based hydroxamic acids of two structural types were synthesized for the first time. The first type consisted of compounds with a hydroxamate group directly bound to acyclic, monocyclic and bicyclic monoterpene scaffolds. The second type included hydroxamic acids connected with the monoterpene moiety through aliphatic (hexa/heptamethylene) or aromatic linkers. An in vitro analysis of biological activity demonstrated that some of these molecules had powerful HDAC6 inhibitory activity, with the presence of a linker area in the structure of compounds playing a key role. In particular, it was found that hydroxamic acids containing a hexa- and heptamethylene linker and (-)-perill fragment in the Cap group exhibit excellent inhibitory activity against HDAC6 with IC50 in the submicromolar range from 0.56 ± 0.01 µM to 0.74 ± 0.02 µM. The results of the study of antiradical activity demonstrated the presence of moderate ability for some hydroxamic acids to scavenge 2,2-diphenyl-1-picrylhydrazyl (DPPH) and 2ROO radicals. The correlation coefficient between the DPPH radical scavenging activity and oxygen radical absorbance capacity (ORAC) value was R2 = 0.8400. In addition, compounds with an aromatic linker based on para-substituted cinnamic acids, having a monocyclic para-menthene skeleton as a Cap group, 35a, 38a, 35b and 38b, demonstrated a significant ability to suppress the aggregation of the pathological β-amyloid peptide 1-42. The 35a lead compound with a promising profile of biological activity, discovered in the in vitro experiments, demonstrated neuroprotective effects on in vivo models of Alzheimer’s disease using 5xFAD transgenic mice. Together, the results obtained demonstrate a potential strategy for the use of monoterpene-derived hydroxamic acids for treatment of various aspects of Alzheimer’s disease. Full article
(This article belongs to the Special Issue Biosynthesis and Application of Natural Compound)
Show Figures

Figure 1

16 pages, 371 KB  
Article
Chemical Profiling and Biological Activities of Pelargonium graveolens Essential Oils at Three Different Phenological Stages
by Samiah Hamad Al-Mijalli, Hanae Naceiri Mrabti, Hamza Assaggaf, Ammar A. Attar, Munerah Hamed, Aicha EL Baaboua, Nasreddine El Omari, Naoual El Menyiy, Zakaria Hazzoumi, Ryan A Sheikh, Gokhan Zengin, Stefania Sut, Stefano Dall’Acqua and Abdelhakim Bouyahya
Plants 2022, 11(17), 2226; https://doi.org/10.3390/plants11172226 - 27 Aug 2022
Cited by 50 | Viewed by 6348
Abstract
The aim of this work was the determination of Pelargonium graveolens (aerial parts) volatile compounds at three developmental stages and the evaluation of their antioxidant, antidiabetic, dermaprotective, anti-inflammatory, and antibacterial effects. The aerial parts of Pelargonium graveolens were collected at three stages, namely [...] Read more.
The aim of this work was the determination of Pelargonium graveolens (aerial parts) volatile compounds at three developmental stages and the evaluation of their antioxidant, antidiabetic, dermaprotective, anti-inflammatory, and antibacterial effects. The aerial parts of Pelargonium graveolens were collected at three stages, namely the vegetative, beginning, and full flowering. Pelargonium graveolens essential oils were extracted from the dried materials of these aerial parts by hydrodistillation. The volatiles were analyzed by Gas Chromatography-Mass Spectrometry GC-MS, and the antioxidant activity was assessed by DPPH, ABTS, H2O2, and FRAP assays. The in vitro antidiabetic effect was evaluated by the inhibition of α-amylase, α-glucosidase, and lipase enzymes, while the antibacterial activity was assessed against six bacterial strains using an agar well diffusion assay and a microdilution method. The main constituents were menthol, menthene, eremophilene, isoborneol, isogeraniol, α-pinene, linalyl acetate, and 3-carene, with quantitative differences at the three phenological stages. The essential oil at the full flowering stage showed the best antioxidant activity, with IC50 values of 83.26 ± 0.01, 116.42 ± 0.07, 132.25 ± 0.11, and 48.67 ± 0.04 μg/mL for DPPH, FRAP, ABTS, and H2O2 assays, respectively. This oil also exhibited significant effects against α-amylase (IC50 = 43.33 ± 0.01 μg/mL), α-glucosidase (IC50 = 19.04 ± 0.01 μg/mL), lipase (IC50 = 24.33 ± 0.05 μg/mL), 5-lipoxygenase (IC50 = 39.31 ± 0.01 μg/mL), and tyrosinase (IC50 = 124.49 ± 0.07 μg/mL). The essential oil extracted at the full flowering stage showed the best antibacterial effect against a panel of microorganisms with diameter inhibition zones ranging between 11.00 ± 0.17 mm and 17.30 ± 0.17 mm and MIC values from 0.25% to 2% v/v. Overall, the results presented here suggest that the full flowering stage is the best optimal harvest time of Pelargonium graveolens for food and pharmaceutical applications. Full article
(This article belongs to the Topic Bioactive Phytochemicals from Plant Essential Oils)
8 pages, 1797 KB  
Communication
Wax Extracted from Waste Cauliflower Leaves Shows Potential Antitranspirant Efficacy When Applied to Rapeseed Plants
by Michele Faralli, Minuka Weerasinghe, Gee-Sian Leung, Ray Marriott, Melville Miles and Peter Kettlewell
Agronomy 2022, 12(2), 455; https://doi.org/10.3390/agronomy12020455 - 11 Feb 2022
Cited by 7 | Viewed by 4155
Abstract
The stress from excessive transpiration of water from plant leaves can damage crop growth during droughts. Specific commercial biostimulant products (antitranspirants) are available to reduce transpiration when applied to plants, but these products are expensive. Antitranspirants from waste would be cheaper, and the [...] Read more.
The stress from excessive transpiration of water from plant leaves can damage crop growth during droughts. Specific commercial biostimulant products (antitranspirants) are available to reduce transpiration when applied to plants, but these products are expensive. Antitranspirants from waste would be cheaper, and the aim of this research was to extract leaf wax from a fresh produce processing waste and conduct a preliminary evaluation of its antitranspirant efficacy. Supercritical CO2 was used to extract wax from cauliflower leaves, and after formulating for spraying, the wax was applied to young rapeseed plants in three consecutive experiments. The wax was compared with a commercially-available terpene antitranspirant (di-1-p-menthene) for efficacy in reducing stomatal conductance and water use. In two of the three experiments, stomatal conductance was significantly reduced to similar extents by wax and by di-1-p-menthene, despite the wax being formulated and applied at a much lower concentration. Water use was reduced by wax in one experiment. Further research is needed on formulation, spraying conditions, and dose-response. These preliminary results demonstrate the potential for extracted leaf wax to act as a biostimulant and ameliorate plant drought stress. Full article
(This article belongs to the Special Issue Application of Biostimulants and Bioeffectors on Crop Production)
Show Figures

Figure 1

14 pages, 3173 KB  
Article
Mitigation of High-Temperature Damage by Application of Kaolin and Pinolene on Young Olive Trees (Olea europaea L.): A Preliminary Experiment to Assess Biometric, Eco-Physiological and Nutraceutical Parameters
by Aurora Cirillo, Stefano Conti, Giulia Graziani, Christophe El-Nakhel, Youssef Rouphael, Alberto Ritieni and Claudio Di Vaio
Agronomy 2021, 11(9), 1884; https://doi.org/10.3390/agronomy11091884 - 20 Sep 2021
Cited by 17 | Viewed by 4519
Abstract
Various products are used to mitigate the negative effects of abiotic stress in olive trees. The aim of the research was to examine an anti-transpirant product (Vapor Gard®, V) and a kaolin- based product (Manisol, K) effect on the growth of [...] Read more.
Various products are used to mitigate the negative effects of abiotic stress in olive trees. The aim of the research was to examine an anti-transpirant product (Vapor Gard®, V) and a kaolin- based product (Manisol, K) effect on the growth of two-year-old olive tree seedlings under high temperature. The study was conducted in a greenhouse on trees of a native cultivar of Campania (cv. Salella) grown in pot during the growing season from May to September 2020. The experimental design included two products: di-1-p-menthene (product V) and kaolin (product K), applied five times at 20 day intervals compared with a control. The following biometric, physiological, and nutraceutical parameters were evaluated: stomatal conductance, chlorophyll a fluorescence, Soil Plant Analysis Development (SPAD) index, relative water content (RWC), shoots growth, total leaf area per plant, trunk cross-sectional area, dry matter partitioning, total polyphenols, and antioxidant activity. The results obtained showed that the application of di-1-p-menthene (V) was able to induce a significant improvement of shoots growth (+37.22%) and trunk cross-sectional area (+46.60%) and a reduction of the stomatal conductance and an increase of leaf RWC values. Application with kaolin had positive effects on the total polyphenol content, with an increase over the control of 240.33% and higher antioxidant activity values. Further studies are necessary to determine the effect of these products on the biometric, physiological and nutraceutical parameters of mature olive trees cultivated in open field conditions. Full article
Show Figures

Figure 1

7 pages, 276 KB  
Communication
Chloropinane and Chloromenthene as Novel Solvents for Solubilisation of Natural Substances
by Mohamed Touaibia, Anne-Sylvie Fabiano-Tixier and Farid Chemat
Molbank 2021, 2021(2), M1205; https://doi.org/10.3390/M1205 - 24 Apr 2021
Cited by 3 | Viewed by 2432
Abstract
Chloropinane and chloromenthene, synthesized from pinene and limonene, respectively, were compared with their non-halogenated analogs and n-hexane for their ability to solubilize natural products of interest such as β-carotenoids, vanillin, and rosmarinic acid. Chloropinane was six times more efficient than hexane for [...] Read more.
Chloropinane and chloromenthene, synthesized from pinene and limonene, respectively, were compared with their non-halogenated analogs and n-hexane for their ability to solubilize natural products of interest such as β-carotenoids, vanillin, and rosmarinic acid. Chloropinane was six times more efficient than hexane for β-carotene solubilization. Chloromenthene was 15 times better than hexane. Vanillin was 20 times more soluble in chloropinane than in hexane. Chloropinane and chloromenthene were 3.5 and 2 times more efficient than hexane for rosmarinic acid solubilization. Obtained from pinene and limonene, two very abundant natural products, and even from their waste byproducts, chloropinane and chloromenthene can be an alternative to solvents from non-renewable resources. Full article
Show Figures

Scheme 1

10 pages, 966 KB  
Communication
Monoterpenoids from the Fruits of Amomum tsao-ko Have Inhibitory Effects on Nitric Oxide Production
by Seong Su Hong, Ji Eun Lee, Yeon Woo Jung, Ju-Hyoung Park, Jung A. Lee, Wonsik Jeong, Eun-Kyung Ahn, Chun Whan Choi and Joa Sub Oh
Plants 2021, 10(2), 257; https://doi.org/10.3390/plants10020257 - 28 Jan 2021
Cited by 11 | Viewed by 2901
Abstract
In our search for novel plant-derived inhibitors of nitric oxide (NO) with potential for treating inflammatory diseases, the phytochemicals of Amomum tsao-ko fruits were investigated, leading to the isolation of one bicyclic nonane (1), three menthene skeleton monoterpenoids (2 [...] Read more.
In our search for novel plant-derived inhibitors of nitric oxide (NO) with potential for treating inflammatory diseases, the phytochemicals of Amomum tsao-ko fruits were investigated, leading to the isolation of one bicyclic nonane (1), three menthene skeleton monoterpenoids (24), and two acyclic monoterpenoids (5 and 6). Their structures were identified using one- and two-dimensional nuclear magnetic resonance spectroscopy, and mass spectrometry. To the best of our knowledge, compounds 25 were obtained from the genus Amomum for the first time. All isolates were tested for their ability to inhibit lipopolysaccharide-stimulated NO overproduction in RAW264.7 cells. Compound 4 was found to inhibit NO production. Western blotting analysis indicated that active compound 4 can regulate inducible NO synthase expression. In addition, lipopolysaccharide-induced interleukin 1 beta and interleukin-6 overproduction was reduced in a concentration-dependent manner. Full article
(This article belongs to the Collection Bioactive Compounds in Plants)
Show Figures

Figure 1

12 pages, 1184 KB  
Article
Characterizing the Efficacy of a Film-Forming Antitranspirant on Raspberry Foliar and Fruit Transpiration
by Francesca J. Moroni, Pedro J. Gascon-Aldana and Suzy Y. Rogiers
Biology 2020, 9(9), 255; https://doi.org/10.3390/biology9090255 - 31 Aug 2020
Cited by 10 | Viewed by 4248
Abstract
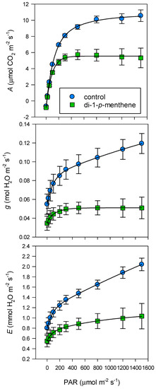
The film-forming antitranspirant, di-1-p-menthene, is able to reduce transpiration in a number of crops, potentially resulting in water savings and improved productivity. The success of the response is, however, dependent on genotype and environmental factors. We aimed to assess the efficacy [...] Read more.
The film-forming antitranspirant, di-1-p-menthene, is able to reduce transpiration in a number of crops, potentially resulting in water savings and improved productivity. The success of the response is, however, dependent on genotype and environmental factors. We aimed to assess the efficacy of this natural terpene polymer on red raspberry (Rubus idaeus, L.) cv. Tulameen leaf water-use efficiency across a 25–40 °C temperature range under controlled conditions. The film reduced transpiration (E) and was most effective when applied to the lower leaf surface. Leaf net assimilation (A) and stomatal conductance (g) were also curtailed after the application of di-1-p-menthene, and as a consequence intrinsic transpiration efficiency (A/g) and instantaneous transpiration efficiency (ratio of net carbon fixation to water loss, A/E) did not improve. At 40 °C, gas exchange of both treated and untreated leaves was minimal due to stomatal closure. The antitranspirant was effective at reducing water loss from berries, but only at the immature stages when transpiration rates were naturally high. Further studies are required to determine if the antitranspirant, di-1-p-menthene, will offer protection against dehydration across a range of temperatures and if productivity and berry composition will benefit. Full article
(This article belongs to the Section Plant Science)
Show Figures

Figure 1

Back to TopTop