Sign in to use this feature.

Years

Between: -

Subjects

remove_circle_outline
remove_circle_outline
remove_circle_outline
remove_circle_outline
remove_circle_outline
remove_circle_outline
remove_circle_outline
remove_circle_outline
remove_circle_outline

Journals

Article Types

Countries / Regions

remove_circle_outline
remove_circle_outline
remove_circle_outline
remove_circle_outline

Search Results (215)

Search Parameters:
Keywords = membrane-based desalination

Order results
Result details
Results per page
Select all
Export citation of selected articles as:
14 pages, 3081 KB  
Article
Silicalite Nanosheet Laminated Membranes: Effects of Layered Structure on the Performance in Pervaporation Desalination
by Xinhui Sun, Yukta Sharma, Landysh Iskhakova, Zishu Cao and Junhang Dong
Membranes 2026, 16(1), 32; https://doi.org/10.3390/membranes16010032 - 4 Jan 2026
Viewed by 114
Abstract
Silicalite nanosheet (SN) laminated membranes are promising for pervaporation (PV) desalination of concentrated brines for water purification and critical material concentration and recovery. However, scaling up the SN-based membranes is limited by inefficient synthesis of monodispersed open-pore SN single crystals (SNS). Here, we [...] Read more.
Silicalite nanosheet (SN) laminated membranes are promising for pervaporation (PV) desalination of concentrated brines for water purification and critical material concentration and recovery. However, scaling up the SN-based membranes is limited by inefficient synthesis of monodispersed open-pore SN single crystals (SNS). Here, we report a scalable approach to fabricate multilayered silicalite nanosheet plate (SNP) laminated membranes on porous alumina and PVDF substrates and demonstrate their excellent PV desalination performance for simulated brines containing lithium and high total dissolved salts (TDS). At 73 ± 3 °C, the SNP laminated membrane on alumina support achieved a remarkable water flux (Jw) of nearly 20 L/m2·h, significantly outperforming the alumina-supported SNS laminated membrane (Jw = 9.56 L/m2·h), while both provided near-complete salt rejection (ri ~99.9%) when operating with vacuum pressure on the permeate side. The PVDF-supported SNS and SNP laminated membranes exhibited excellent Jw (14.0 L/m2·h) and near-complete ri (>99.9%), surpassing the alumina-support SNP laminated membranes when operating by air sweep on the permeate side. However, the ri of the PVDF-supported membranes was found to decline when operating with vacuum pressure on the permeate side that was apparently caused by minimal liquid permeation through the inter-SNP spaces driven by the transmembrane pressure. With scalable SNP production, SNP-A membranes show potential for PV desalination of high-TDS solutions, especially in harsh environments unsuitable for polymer membranes. Full article
Show Figures

Figure 1

21 pages, 7172 KB  
Review
A Critical Review on Desalination Technologies for High-Salinity Wastewater: Development and Challenges
by Xiao Wang, Xinyi Cheng, Ao Shuai, Xiyu Xu, Xinran Guo, Dan Song, Caihong Liu and Wenjuan Zhang
Membranes 2026, 16(1), 27; https://doi.org/10.3390/membranes16010027 - 3 Jan 2026
Viewed by 281
Abstract
The ongoing expansion of industrial operations has resulted in the generation of a large amount of high-salinity wastewater with complex compositions. The direct discharge of this wastewater poses significant threats to ecosystems and leads to the loss of valuable salt resources, for example, [...] Read more.
The ongoing expansion of industrial operations has resulted in the generation of a large amount of high-salinity wastewater with complex compositions. The direct discharge of this wastewater poses significant threats to ecosystems and leads to the loss of valuable salt resources, for example, triggering freshwater salinization syndrome and mobilizing heavy metals to form toxic “chemical cocktails”, leading to the loss of valuable salt resources. Desalination of high-salinity wastewater primarily involves two key processes: concentration and crystallization, whereby a concentrated brine is first obtained through membrane-based or thermal methods, followed by salt recovery via crystallization. This review begins by employing a bibliometric analysis to map the knowledge structure and trace the evolution of research trends, revealing that “membrane-thermal integration” has become a dominant research hotspot since 2020. It then provides a systematic examination of advanced treatment technologies, chronicling the progression from early biological methods to contemporary membrane-based and thermal desalination approaches. A specific analysis of the influence of salinity on membrane scaling is also included. Consequently, this paper critically assesses the prospects and challenges of several alternative desalination technologies and proposes that integrated processes, combining membrane-based and thermal desalination, represent a highly promising pathway for achieving zero liquid discharge (ZLD). Finally, we suggest that future research should prioritize the development of key functional materials, explore efficient hybrid physiochemical–biochemical processes, and advance emerging technologies, aimed at enhancing treatment efficiency and reducing operational costs. Full article
Show Figures

Figure 1

42 pages, 5456 KB  
Review
Advances in Graphene Oxide-Based Composites and Membranes: Structural Engineering, Multifunctional Performance, and Emerging Applications
by Duska Kleut and Jovana Prekodravac Filipovic
Processes 2026, 14(1), 13; https://doi.org/10.3390/pr14010013 - 19 Dec 2025
Viewed by 505
Abstract
Graphene oxide (GO), with its high surface area, tunable chemistry, and exceptional mechanical, thermal, and electrical properties, is rapidly advancing as a transformative material in both composite engineering and membrane technology. In composite systems, GO serves as a multifunctional reinforcement, significantly improving strength, [...] Read more.
Graphene oxide (GO), with its high surface area, tunable chemistry, and exceptional mechanical, thermal, and electrical properties, is rapidly advancing as a transformative material in both composite engineering and membrane technology. In composite systems, GO serves as a multifunctional reinforcement, significantly improving strength, stiffness, thermal stability, and conductivity when integrated into polymeric, ceramic, or metallic matrices. These enhancements are enabling high-performance solutions across electronics, aerospace, automotive, and construction sectors, where lightweight yet durable materials are in demand. In addition, GO-based membranes are revolutionizing water purification, desalination, and other high-end separation technologies. The layered structure, adjustable interlayer spacing, and abundant oxygen-containing functional groups of GO allow precise control over permeability and selectivity, enabling efficient transport of desired molecules while blocking contaminants. Tailoring GO morphology and surface chemistry offers a pathway to optimized membrane performance for both industrial and environmental applications. This paper gives a comprehensive overview of the latest developments in GO-based composites and membranes, highlighting the interplay between structure, morphology, and functionality. Future research directions toward scalable fabrication, performance optimization, and integration into sustainable technologies are discussed, underscoring GO’s pivotal role in shaping next-generation advanced materials. Full article
(This article belongs to the Special Issue Graphene Oxide: From Synthesis to Applications)
Show Figures

Figure 1

18 pages, 657 KB  
Article
Transboundary and National Environmental Impacts of Seawater Desalination in Central Chile: An LCA-Based Analysis Across Energy Transition Scenarios
by Roberto Meza-Olivares, Adrián-Enrique Ortiz-Rojas, Camila Mery-Araya and Jaime Chacana-Olivares
Sustainability 2025, 17(24), 11178; https://doi.org/10.3390/su172411178 - 13 Dec 2025
Viewed by 315
Abstract
The environmental impact of seawater reverse osmosis desalination in central Chile was assessed using Life Cycle Assessment (LCA) with the EcoInvent database to address the region’s high water stress. The study analyzed the operational phase using 1 m3 of product water as [...] Read more.
The environmental impact of seawater reverse osmosis desalination in central Chile was assessed using Life Cycle Assessment (LCA) with the EcoInvent database to address the region’s high water stress. The study analyzed the operational phase using 1 m3 of product water as the functional unit, considering power demand, chemicals, and membranes across eight scenarios that varied energy matrix composition, membrane lifespan, water use, and seawater source. Eighteen environmental indicators were evaluated using the ReCiPe 2016 Midpoint (H) method. Results revealed that eight impact indicators were primarily national in origin, while ten exhibited transboundary characteristics. Power demand was the dominant contributor, exceeding 75% of impacts in 17 of 18 categories. A 25% power increase raised environmental impacts by an average of +21.5%, while the projected 2050 renewable energy scenario showed substantial reductions averaging −43.0%. This demonstrates that power consumption is the principal driver of environmental impacts, underscoring the importance of energy-efficiency measures and integration of Non-Conventional Renewable Energies (NCRE), particularly as fossil-based sources constitute the main contributors to environmental burdens at both national and transboundary scales. Full article
Show Figures

Graphical abstract

12 pages, 2233 KB  
Article
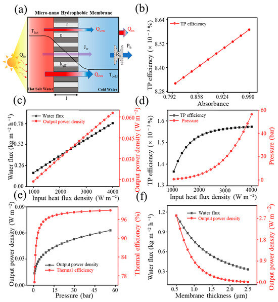
Water–Energy Co-Production by Coupling Photothermal Membrane Distillation with Thermal-Osmotic Energy Conversion
by Ruiying Gao, Jinzhao Wang, Lu Huang, Ying Zhang, Hanhua He, Xinxing Yin, Shan Luo, Baolin Huang, Junxian Pei and Xuejiao Hu
Energies 2025, 18(23), 6297; https://doi.org/10.3390/en18236297 - 29 Nov 2025
Viewed by 353
Abstract
The shortage of freshwater resources and the depletion of fossil fuels have emerged as two pivotal challenges confronting global development. Photothermal membrane distillation (PMD) technology, a technique that harnesses solar energy for seawater desalination, not only produces freshwater but also mitigates the pressure [...] Read more.
The shortage of freshwater resources and the depletion of fossil fuels have emerged as two pivotal challenges confronting global development. Photothermal membrane distillation (PMD) technology, a technique that harnesses solar energy for seawater desalination, not only produces freshwater but also mitigates the pressure of energy depletion. However, its sole focus on freshwater production no longer meets the demands of the energy market. Based on this, this study proposes a power–water cogeneration system based on PMD and thermal-osmotic energy conversion (TOEC) technology. The system achieves power–water cogeneration by changing the supply side heat source structure of TOEC technology and coupling it with traditional PMD technology. The experimental results showed that under the illumination condition of solar intensity of 4 kW·m−2 for 3.5 h, the fresh water production and water production rate of the system reached 2.23 g and 1.39 kg·m−2·h−1, respectively. Meanwhile, the fresh water output pressure reached 0.91 bar, and the output power density was 0.0456 W·m−2. This system is expected to provide a new solution to address the global shortage of freshwater resources and the depletion of fossil fuels. Full article
(This article belongs to the Section A2: Solar Energy and Photovoltaic Systems)
Show Figures

Figure 1

18 pages, 1765 KB  
Review
Carbon Membranes Derived from Natural Polymer Precursors: Fundamentals, Developments, and Perspectives for Pervaporation Desalination
by Yue Yuan, Fang Wang, Yin Yu, Zhikai Qin, Hongbo Xi and Changyong Wu
Membranes 2025, 15(12), 354; https://doi.org/10.3390/membranes15120354 - 25 Nov 2025
Viewed by 636
Abstract
Carbon membranes have emerged as a promising class of inorganic membranes for desalination due to their tunable pore structures, superior chemical and thermal stability, and molecular-sieving properties. In pursuit of sustainability, recent research has shifted focus towards replacing petrochemical-based precursors with renewable natural [...] Read more.
Carbon membranes have emerged as a promising class of inorganic membranes for desalination due to their tunable pore structures, superior chemical and thermal stability, and molecular-sieving properties. In pursuit of sustainability, recent research has shifted focus towards replacing petrochemical-based precursors with renewable natural polymers. This review provides a comprehensive examination of the fundamentals, developments, and prospects of carbon membranes derived from natural polymer precursors—such as cellulose, chitosan, lignin, starch, and sugars—specifically for pervaporation desalination. It begins by summarizing the fundamentals of membrane separation and the mechanisms of carbon membrane formation, emphasizing the critical relationships between precursor structure, carbonization conditions, and the resulting membrane performance. The core of the review is dedicated to a detailed analysis of various natural polymer precursors, discussing their unique chemistries, carbonization behaviors, and the characteristics of the derived carbon membranes. Particular attention is given to their application in pervaporation desalination, where they demonstrate competitive water flux and high salt rejection (>99%) under moderate operating conditions, highlighting their potential for treating hypersaline brines. Finally, the challenges of large-scale fabrication, structural durability, and data-driven optimization are discussed, along with future directions toward scalable and sustainable membrane technologies. Full article
Show Figures

Figure 1

17 pages, 4105 KB  
Article
Ion Exchange Membrane-like Deposited Electrodes for Capacitive De-Ionization: Performance Evaluation and Mechanism Study
by Siyue Xue, Chengyi Wang, Tianxiao Leng, Chenglin Zhang, Long-Fei Ren and Jiahui Shao
Membranes 2025, 15(11), 338; https://doi.org/10.3390/membranes15110338 - 11 Nov 2025
Viewed by 693
Abstract
Capacitive de-ionization (CDI) holds great promise for water desalination, while the widely used activated carbon (AC) electrodes suffer from a low salt adsorption capacity (SAC) and poor long-term stability due to the co-ion effect and electrode oxidation. Inspired by membrane-based CDI, we deposited [...] Read more.
Capacitive de-ionization (CDI) holds great promise for water desalination, while the widely used activated carbon (AC) electrodes suffer from a low salt adsorption capacity (SAC) and poor long-term stability due to the co-ion effect and electrode oxidation. Inspired by membrane-based CDI, we deposited polyethyleneimine (PEI), an ion exchange polymer with positive charge and ion selectivity, onto an AC electrode to serve as an anode for addressing these issues. Firstly, compared to traditional AC and commercial AEM-AC, the PEI-doped AC (PDAC) anode delivered a superior SAC of 36.3 mg/g, as the positively charged PEI enhanced electrostatic attraction, suppressed the co-ion effect, and offered extra sites. However, it showed poor cycling stability with 77.1% retention, owing to mass loss and anode oxidation. We further developed an electrode coated with a PEI-based membrane (PMAC), which exhibited a balanced performance with a high SAC of 33.4 mg/g and significantly improved long-term retention of 97.5%. The hydrophilic PEI membrane, strongly adhered to the AC surface, shortened the ion diffusion resistance and effectively prolonged the electrode lifespan. A systematic comparison between AC, AEM-AC, PDAC, and PMAC revealed the mechanism for PMAC’s notable enhancement. These findings establish a framework for designing novel CDI electrodes and advancing sustainable water desalination. Full article
Show Figures

Figure 1

20 pages, 1073 KB  
Article
Developing Insights into Pretreatment Optimization: Effects of Eliminating Lime and Soda Ash in Groundwater RO Desalination
by Yazeed Algurainy, Ashraf Refaat and Omar Alrehaili
Water 2025, 17(22), 3186; https://doi.org/10.3390/w17223186 - 7 Nov 2025
Viewed by 869
Abstract
In arid and water-stressed regions, groundwater desalination plants are critical for ensuring reliable potable water supplies, making improvements in their operational efficiency and cost effectiveness a priority for utilities. In many such facilities, lime and soda ash softening remain common pretreatment practices, which [...] Read more.
In arid and water-stressed regions, groundwater desalination plants are critical for ensuring reliable potable water supplies, making improvements in their operational efficiency and cost effectiveness a priority for utilities. In many such facilities, lime and soda ash softening remain common pretreatment practices, which increase chemical consumption and sludge generation, prompting the need for alternative low-chemical strategies. This study evaluates the technical, operational, and economic implications of transitioning a full-scale brackish groundwater desalination plant, from lime–soda ash softening (old plan) to a low-chemical pretreatment strategy based on antiscalant dosing (new plan) upstream of reverse osmosis (RO). Key parameters, including pH, total hardness, calcium and magnesium hardness, silica, iron, alkalinity, and total dissolved solids (TDS), were measured and compared at multiple locations within the treatment plant under both the old and new plans. Removing lime and soda ash caused higher levels of hardness, alkalinity, and silica in the water before RO treatment, increasing the risk of scaling. Operationally, the feed pressure increased from 11.43 ± 0.16 bar (old plan) to a peak of 25.50 ± 0.10 bar in the new plan, accompanied by a decline in water production. Chemical cleaning effectively restored performance, reducing feed pressure to 13.13 ± 0.05 bar, confirming that fouling and scaling were the primary, reversible causes. Despite these challenges, the plant consistently produced water that complied with Saudi Standards for Unbottled Drinking Water (e.g., pH = 7.18 ± 0.09, TDS = 978.27 ± 9.26 mg/L). Economically, the new strategy reduced operating expenditure by approximately 54% (0.295 → 0.135 $/m3), largely due to substantial reductions in chemical and sludge handling costs, although these savings were partially offset by higher energy consumption and more frequent membrane maintenance. Overall, the findings emphasize the importance of systematic performance evaluation during operational transitions, providing guidance for utilities seeking to optimize pretreatment design while maintaining compliance, long-term membrane protection, and environmental sustainability. Full article
(This article belongs to the Section Hydrogeology)
Show Figures

Figure 1

13 pages, 3161 KB  
Article
Optimizing Pretreatment Parameters for Enhanced Phosphorus Recovery from High-Phosphorus Wastewater via Nanofiltration
by Guodong Wu, Lu Wang, Bing Qin, Fanbin Meng, Yonghu He, Xin Wang, Jing Bai, Jingpeng Zhang and Yuanhao Wang
Membranes 2025, 15(11), 331; https://doi.org/10.3390/membranes15110331 - 31 Oct 2025
Viewed by 651
Abstract
The effects of pretreatment pH value, operating pressure, and concentration factors on the performance of nanofiltration membrane concentration and the recovery of phosphorus-containing wastewater were systematically studied. A novel pretreatment strategy using solid sodium hydroxide was developed to adjust the feed solution pH, [...] Read more.
The effects of pretreatment pH value, operating pressure, and concentration factors on the performance of nanofiltration membrane concentration and the recovery of phosphorus-containing wastewater were systematically studied. A novel pretreatment strategy using solid sodium hydroxide was developed to adjust the feed solution pH, achieving optimal solid removal and minimized conductivity at pH = 5. Unlike conventional calcium-based methods, this approach avoids excessive chemical sludge formation and mitigates membrane scaling, enhancing system stability. Experimental results demonstrate that both phosphorus rejection and desalination efficiency are significantly influenced by feed solution pH, operating pressure, and concentration ratio. While increasing pH and pressure improve total phosphorus (TP) rejection and desalination rates, these benefits are accompanied by reduced membrane flux due to elevated osmotic pressure and intensified concentration polarization. The membrane exhibited optimal performance at a feed pH of 5 and an operating pressure of 3 MPa, with sustained flux and enhanced separation efficiency. Under these conditions, when the wastewater was concentrated fivefold at 25 °C, the TP rejection rate and desalination efficiency reached 92.9% and 91.8%, respectively. Full article
Show Figures

Figure 1

12 pages, 3136 KB  
Article
Preparation of Polysilsesquioxane-Based RO Membranes with Urea Units for Water Desalination
by Joji Ohshita, Katsuhiro Horata, Toshiki Kaneko, Yohei Adachi and Masakoto Kanezashi
Membranes 2025, 15(10), 322; https://doi.org/10.3390/membranes15100322 - 20 Oct 2025
Viewed by 1034
Abstract
Seawater and brackish water desalination using membranes is anticipated to offer a simple and effective solution to the global water shortage, and polysilsesquioxane (PSQ) is expected to be the base material for robust reverse osmosis (RO) membranes for water desalination. Hydroxyethylurea-containing PSQ-based RO [...] Read more.
Seawater and brackish water desalination using membranes is anticipated to offer a simple and effective solution to the global water shortage, and polysilsesquioxane (PSQ) is expected to be the base material for robust reverse osmosis (RO) membranes for water desalination. Hydroxyethylurea-containing PSQ-based RO membranes for water desalination have recently been developed via a sol–gel process. Although these membranes showed high performance, achieving a water permeability of 1.86 × 10−12 m3 m−2s−1Pa−1 and an NaCl rejection of 95.9%, the membranes showed limited chlorine resistance and processibility and moderate heat resistance. In this study, three new urea-containing monomers were designed and prepared for RO membrane preparation. The copolymerization of these urea-containing monomer with bis(triethoxysilylpropyl)amine resulted in performance comparable to that of hydroxyethylurea-containing PSQ membranes. The present urea-containing PSQ membranes exhibited enhanced chlorine resistance, with only 1–3% decreases in NaCl rejection, even after 10,000 ppm h exposure to chlorine, together with 3–19% increases in water permeability. Additionally, the presently prepared urea-containing PSQ membranes exhibited improved processability. This study provides a new molecular design for robust and high-performance RO membranes that can be prepared through a simple sol–gel process. Full article
(This article belongs to the Special Issue Membrane-Based Technology for Drinking Water Treatment)
Show Figures

Figure 1

19 pages, 2540 KB  
Review
Research Progress on the Application of Electrodialysis Technology for Clean Discharge Water Treatment from Power Plants
by Zhiwei Kang, Guifeng Zhao, Haoyang Xiong, Kai Zhang and Peidong Su
Water 2025, 17(18), 2701; https://doi.org/10.3390/w17182701 - 12 Sep 2025
Viewed by 2324
Abstract
The increasing global demand for sustainable water management in coal-fired power plants highlights the critical challenges of high-salinity wastewater treatment, where electrodialysis technology emerges as a promising technology for salinity removal. This paper systematically investigates the application status, technical principles, advantages, and challenges [...] Read more.
The increasing global demand for sustainable water management in coal-fired power plants highlights the critical challenges of high-salinity wastewater treatment, where electrodialysis technology emerges as a promising technology for salinity removal. This paper systematically investigates the application status, technical principles, advantages, and challenges of electrodialysis (ED) in clean water treatment for coal-fired power plants, and its future development potential is also discussed. As an efficient membrane-based desalination technology, ED could effectively remove chloride ions, sulfate ions, and other dissolved salts from clean water, significantly reducing conductivity and enabling both water reuse and salt recovery. Studies indicate that through optimized operational parameters and system design, ED systems can achieve over 90% desalination efficiency and concentrate salts to levels exceeding 12%, delivering notable economic and environmental benefits. However, practical implementation still faces challenges such as membrane fouling and high energy consumption. Advances in novel membrane materials, system integration, and intelligent control technologies are expected to broaden ED’s applicability in power plant water treatment. This study serves as a valuable technical reference for advancing clean water purification and resource recovery in the energy sector, and the findings will contribute to informed decision-making for sustainable water treatment solutions. Full article
(This article belongs to the Section Wastewater Treatment and Reuse)
Show Figures

Figure 1

22 pages, 661 KB  
Review
Current Trends and Biotechnological Innovations in Biofouling Control of RO Membranes in Desalination Systems
by Victoria Cruz-Balladares, Hernán Vera-Villalobos, Carlos Riquelme and Fernando Silva Aciares
Membranes 2025, 15(9), 270; https://doi.org/10.3390/membranes15090270 - 5 Sep 2025
Viewed by 1968
Abstract
Background: Water scarcity is a pressing global challenge increasingly addressed by advanced desalination that converts seawater into potable water. Reverse osmosis and ultrafiltration dominate because they deliver permeate with very low impurities. Their principal limitation is membrane biofouling, which causes clogging, raises energy, [...] Read more.
Background: Water scarcity is a pressing global challenge increasingly addressed by advanced desalination that converts seawater into potable water. Reverse osmosis and ultrafiltration dominate because they deliver permeate with very low impurities. Their principal limitation is membrane biofouling, which causes clogging, raises energy, operation, and maintenance costs, and shortens membrane life. Multiple approaches mitigate biofouling—most notably pretreatment trains and engineered surface coatings—but cleaning remains the most decisive remediation pathway. Current practice distinguishes physical, chemical, and biological cleaning. Biological cleaning has gained momentum by exploiting microorganisms that inherently counter biofilms. These strategies include targeted secretion of enzymes and antifouling metabolites, and the application of whole-cell culture supernatants containing the full suite of secreted components. In addition, predatory bacteria can infiltrate established biofilms and eradicate them by lysing prey, thereby accelerating the removal of adherent biomass. Progress across these bio-based approaches signals meaningful advances in fouling control and could substantially improve the efficiency, reliability, and sustainability of desalination facilities. Collectively, they underscore the transformative potential of biological antifouling agents in operational systems. Realizing that potential will require rigorous evaluation of technical performance, long-term stability, compatibility with polyamide membranes, regulatory acceptance, and environmental safety, ultimately alongside scalable production and cost-effective deployment in full-scale plants. Full article
(This article belongs to the Special Issue Applications of Membrane Filtration and Separation)
Show Figures

Graphical abstract

15 pages, 2314 KB  
Article
Techno-Economic Assessment (TEA) of a Minimal Liquid Discharge (MLD) Membrane-Based System for the Treatment of Desalination Brine
by Argyris Panagopoulos
Separations 2025, 12(9), 224; https://doi.org/10.3390/separations12090224 - 23 Aug 2025
Cited by 1 | Viewed by 2165
Abstract
Desalination plays a critical role in addressing global water scarcity, yet brine disposal remains a significant environmental challenge. This study evaluates a minimal liquid discharge (MLD) membrane-based system integrating high-pressure reverse osmosis (HPRO) and membrane distillation (MD) for brine treatment, with a focus [...] Read more.
Desalination plays a critical role in addressing global water scarcity, yet brine disposal remains a significant environmental challenge. This study evaluates a minimal liquid discharge (MLD) membrane-based system integrating high-pressure reverse osmosis (HPRO) and membrane distillation (MD) for brine treatment, with a focus on the Eastern Mediterranean. A techno-economic assessment (TEA) was conducted to analyze the system’s feasibility, water recovery performance, energy consumption, and cost-effectiveness. The results indicate that the hybrid HPRO-MD system achieves a high water recovery rate of 78.65%, with 39.65 m3/day recovered from MD and 39 m3/day from HPRO. The specific energy consumption is 23.2 kWh/m3, with MD accounting for 89% of the demand. The system’s cost is USD 0.99/m3, generating daily revenues of USD 228 in Cyprus and USD 157 in Greece. Compared to conventional brine disposal methods, MLD proves more cost-effective, particularly when considering evaporation ponds. While MLD offers a sustainable alternative for brine management, challenges remain regarding energy consumption and the disposal of concentrated waste streams. Future research should focus on renewable energy integration, advanced membrane technologies, and resource recovery through brine mining. The findings highlight the HPRO-MD MLD system as a promising approach for sustainable desalination and circular water resource management. Full article
Show Figures

Graphical abstract

23 pages, 2957 KB  
Article
Comparing Constant and Transient Membrane Transport Parameters for Use in Wave Desalination Models
by Kurban A. Sitterley, Zachary Binger and Dale Scott Jenne
Membranes 2025, 15(8), 243; https://doi.org/10.3390/membranes15080243 - 9 Aug 2025
Cited by 2 | Viewed by 1410
Abstract
Directly pressurizing seawater for desalination with reverse osmosis membranes via wave motion is a promising and sustainable method for producing freshwater in coastal regions. However, such a system could result in significant pressure fluctuations and a departure from conventional steady-state desalination operations. This [...] Read more.
Directly pressurizing seawater for desalination with reverse osmosis membranes via wave motion is a promising and sustainable method for producing freshwater in coastal regions. However, such a system could result in significant pressure fluctuations and a departure from conventional steady-state desalination operations. This study sought to assess if membrane transport parameters (apparent water and salt permeability) should be modeled as transient or constant in solution–diffusion-based modeling efforts of dynamically operated desalination systems, such as those coupled to wave power. Two approaches were used to model membrane transport parameters: one considered each parameter to be a function of the net driving pressure of the system, and the other assumed they were constant across all conditions. A pilot-scale system was used to conduct steady-state and controlled ramping experiments. Data from steady-state experiments were used to calculate transient and constant transport parameters. Parameter combinations were used in a simulation model to predict water flux and effective permeate salinity, and simulation outcomes were compared against experimental ramping results. The transient relationships for both water and salt permeability produced the most accurate results for water flux and comparable results for effective permeate salinity. Development of such relationships would be unique to a specific system but could be valuable in modeling wave-driven desalination systems across the wide range of operating conditions they experience. Full article
(This article belongs to the Special Issue Membranes Processes for Marine Environment)
Show Figures

Figure 1

25 pages, 4533 KB  
Article
Real-Time Energy Optimal Control of Two-Stage Reverse Osmosis Desalination
by Larry Gao, Yakubu A. Jarma, Panagiotis D. Christofides and Yoram Cohen
Water 2025, 17(16), 2363; https://doi.org/10.3390/w17162363 - 8 Aug 2025
Cited by 1 | Viewed by 1441
Abstract
A two-level model-based control system for energy-optimal operation of a two-stage reverse osmosis (RO) membrane desalination system was developed and field demonstrated. The control scheme was based on the specific energy consumption (SEC) framework accounting for pump efficiencies, physical system constraints, and temporal [...] Read more.
A two-level model-based control system for energy-optimal operation of a two-stage reverse osmosis (RO) membrane desalination system was developed and field demonstrated. The control scheme was based on the specific energy consumption (SEC) framework accounting for pump efficiencies, physical system constraints, and temporal variability of feed salinity. The SEC framework consisted of a higher-level (supervisory) control system that guided a lower-level controller for real-time SEC optimization. The supervisory controller combined real-time plant data and the SEC model to determine the energy-optimal first-stage water recovery and the overall permeate water recovery (unless specified), and membrane permeability for a target permeate production. The derived operating state was then applied to control the RO plant operation through the lower-level control system, consisting of three separate feedback loops regulating the RO feed flow rate, first-stage RO pressure, and the second-stage RO pressure via control of the first-stage and second-stage RO feed pumps, and the RO concentrate valve. The two-level control system was demonstrated for a mobile brackish water desalination plant capable of permeate productivity up to 98 m3/day. Field testing demonstrated robust simultaneous control of the dynamically coupled control variables and effective energy-optimal operation. Full article
(This article belongs to the Section Water-Energy Nexus)
Show Figures

Figure 1

Back to TopTop