Real-Time Energy Optimal Control of Two-Stage Reverse Osmosis Desalination
Abstract
1. Introduction
2. Energy Optimization of Two-Stage RO
2.1. Two-Stage RO
2.2. SEC for a Two-Stage RO
2.3. RO System Operation at a Constrained Permeate Flow Rate and the Applied First and Second Stage Inlet Pressures
2.4. Energy-Optimal Control of Two-Stage RO
2.4.1. Overall Control Scheme and Supervisory RO Controller
2.4.2. Lower-Level RO Controller
3. Experimental
3.1. Two-Stage RO Desalination System
3.2. Lower-Level RO Controller Tuning
3.3. RO System Control Tests
4. Results and Discussion
4.1. Overview
4.2. Lower-Level RO Controller Performance
4.3. SEC Reduction via Optimization of First-Stage Recovery for a Given Overall Recovery
4.4. SEC Reduction via Optimization of Both Stage 1 Recovery (Y1) and Overall Recovery (Y) for a Target Permeate Productivity
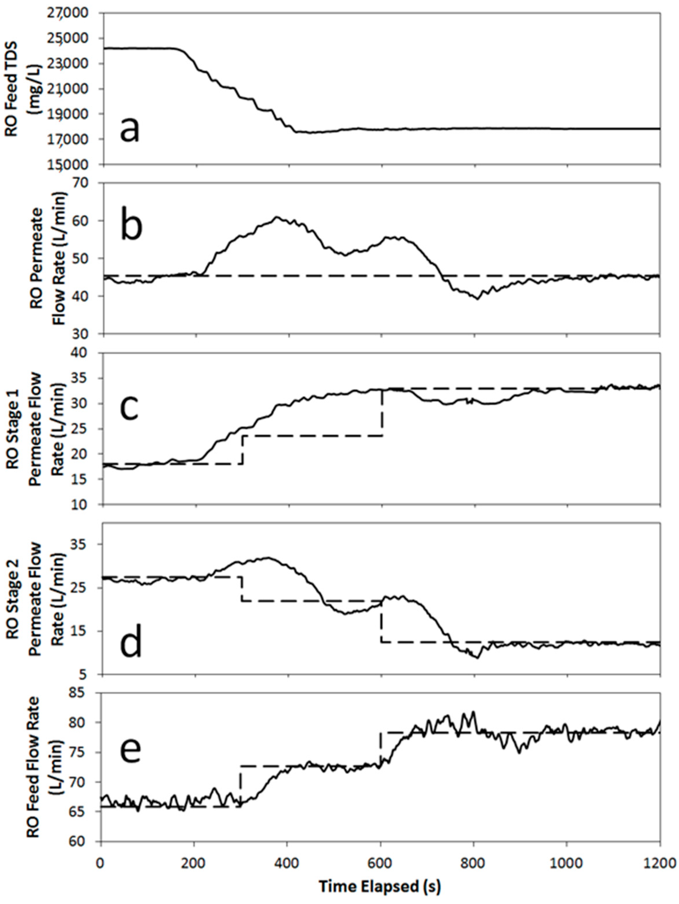
4.5. Operational Control During Scenario of Changing Feed Salinity
5. Conclusions
Author Contributions
Funding
Data Availability Statement
Acknowledgments
Conflicts of Interest
Appendix A
Appendix A.1. Pump Efficiencies
| First Stage Pump Efficiency Parameters (Equation (A1a)) | Second Stage Pump Efficiency Parameters (Equation (A1b)) |
|---|---|
| a1 = 0.356 | b1 = 0.243 |
| a2 = 0.165 | b2 = 1.74 × 10−3 m−3h |
| a3 = 29.516 m3/h | b3 = 3.43 × 10−4 bar−1 |
| a4 = 12.487 m3/h | b4 = 2.91 × 10−4 m−6h2 |
| a5 = 435.758 bar | b5 = −4.16 × 10−7 bar−1 |
| a6 = 378.326 bar |
Appendix A.2. Concentration Polarization Modulus for Spiral-Wound RO Elements
Appendix A.3. Determination of the SEC vs. 2-Stage Recovery at the Maximum Stage 1 Pressure

Appendix A.4. SEC Optimization for a Scenario of Changing Feed Salinity



References
- Gray, S.; Semiat, R.; Duke, M.; Rahardianto, A.; Cohen, Y. Seawater Use and Desalination Technology. In Treatise on Water Science; Peter, W., Ed.; Elsevier: Oxford, UK, 2011; pp. 73–109. [Google Scholar]
- Shemer, H.; Wald, S.; Semiat, R. Challenges and Solutions for Global Water Scarcity. Membranes 2023, 13, 612. [Google Scholar] [CrossRef]
- Alghoul, M.; Poovanaesvaran, P.; Sopian, K.; Sulaiman, M. Review of brackish water reverse osmosis (BWRO) system designs. Renew. Sustain. Energy Rev. 2009, 13, 2661–2667. [Google Scholar] [CrossRef]
- Committee on Advancing Desalination. Technology. Desalination: A National Perspective; National Academies Press: Washington, DC, USA, 2008. [Google Scholar]
- Cohen, Y. Advances in Water Desalination Technologies; World Scientific Publishing Company: Singapore, 2021. [Google Scholar]
- Harby, K.; Emad, M.; Benghanem, M.; Abolibda, T.Z.; Almohammadi, K.; Aljabri, A.; Alsaiari, A.; Elgendi, M. Reverse osmosis hybridization with other desalination techniques: An overview and opportunities. Desalination 2024, 581, 117600. [Google Scholar] [CrossRef]
- Mickley, M.C. Membrane Concentrate Disposal: Practices and Regulation; Desalination and Water Purification Research and Development Program Report 123 (Second Edition), Mickley and Associates, Agreement No. 98-FC-81-0054; US Department of the Interior, Bureau of Reclamation, Technical Service Center: Denver, CO, USA, April 2006. Available online: https://www.usbr.gov/research/dwpr/reportpdfs/report123.pdf (accessed on 3 August 2025).
- Gabelich, C.J.; Xu, P.; Cohen, Y. Concentrate treatment for inland desalting. Sustain. Sci. Eng. 2010, 2, 295–326. [Google Scholar]
- Drak, A.; Adato, M. Energy recovery consideration in brackish water desalination. Desalination 2014, 339, 34–39. [Google Scholar] [CrossRef]
- Kremen, S.; Wilf, M.; Lange, P. Operating results and economics of single stage and two stage large size sea water RO systems. Desalination 1991, 82, 3–13. [Google Scholar] [CrossRef]
- Cardona, E.; Piacentino, A.; Marchese, F. Energy saving in two-stage reverse osmosis systems coupled with ultrafiltration processes. Desalination 2005, 184, 125–137. [Google Scholar] [CrossRef]
- Zhu, A.Z.; Christofides, P.D.; Cohen, Y. Effect of thermodynamic restriction on energy cost optimization of RO membrane water desalination. Ind. Eng. Chem. Res. 2009, 48, 6010–6021. [Google Scholar] [CrossRef]
- Wei, Q.J.; McGovern, R.K. Saving energy with an optimized two-stage reverse osmosis system. Environ. Sci. Water Res. Technol. 2017, 3, 659–670. [Google Scholar] [CrossRef]
- Al-Obaidi, M.; Kara-Zaïtri, C.; Mujtaba, I. Significant energy savings by optimising membrane design in the multi-stage reverse osmosis wastewater treatment process. Environ. Sci. Water Res. Technol. 2018, 4, 449–460. [Google Scholar] [CrossRef]
- Kabeel, A.; Abdelgaied, M. Optimized number of multi-stage spiral-wound reverse osmosis connected in series to achieves minimum power consumptions. AIP Conf. Proc. 2023, 2801, 030010. [Google Scholar]
- Kim, J.; Park, K.; Hong, S. Optimization of two-stage seawater reverse osmosis membrane processes with practical design aspects for improving energy efficiency. J. Membr. Sci. 2020, 601, 117889. [Google Scholar] [CrossRef]
- Ghasemi, Z.; MirBagheri, S.; Vafaei, F. Optimization of a two-stage reverse osmosis pilot system for Caspian seawater desalination using response surface methodology: SEC reduction through recovery increase, Fe fouling, and scaling control. Int. J. Environ. Sci. Technol. 2024, 21, 493–514. [Google Scholar] [CrossRef]
- Mehrizi, R.A.; Mirbagheri, S.A.; Shams, A. Development of a generalized mathematical model for two-stage reverse osmosis desalination systems. Comput. Chem. Eng. 2024, 182, 108562. [Google Scholar] [CrossRef]
- Lee, T.; Rahardianto, A.; Cohen, Y. Flexible reverse osmosis (FLERO) desalination. Desalination 2019, 452, 123–131. [Google Scholar] [CrossRef]
- Hosseinipour, E.; Harris, E.; El Nazer, H.A.; Mohamed, Y.M.; Davies, P.A. Desalination by batch reverse osmosis (RO) of brackish groundwater containing sparingly soluble salts. Desalination 2023, 566, 116875. [Google Scholar] [CrossRef]
- Warsinger, D.M.; Tow, E.W.; Nayar, K.G.; Maswadeh, L.A. Energy efficiency of batch and semi-batch (CCRO) reverse osmosis desalination. Water Res. 2016, 106, 272–282. [Google Scholar] [CrossRef]
- Kim, J.; Dong, L.; Shon, H.K.; Park, K. Current progress in semi-batch reverse osmosis for brackish water desalination. Desalination 2024, 578, 117434. [Google Scholar] [CrossRef]
- Kim, M.; Jeon, J.; Ryu, H.; Lee, S.; Kim, S. Assessment of energy saving effects in membrane-based seawater desalination. Desalination Water Treat. 2017, 77, 149–155. [Google Scholar] [CrossRef]
- Al-Obaidi, M.A.; Rasn, K.H.; Aladwani, S.; Kadhom, M.; Mujtaba, I. Flexible design and operation of multi-stage reverse osmosis desalination process for producing different grades of water with maintenance and cleaning opportunity. Chem. Eng. Res. Des. 2022, 182, 525–543. [Google Scholar] [CrossRef]
- Kim, Y.; Park, Y.-G.; Park, K. Optimal design strategy, heuristics, and theoretical analysis of multi-stage reverse osmosis for seawater desalination. Desalination 2024, 580, 117534. [Google Scholar] [CrossRef]
- Nour-Mohammad, M.; Fakhroleslam, M. Sustainable Reverse Osmosis Desalination Systems: Comprehensive Superstructure Modeling and Multi-Objective Optimization. Ind. Eng. Chem. Res. 2025, 64, 6580–6595. [Google Scholar] [CrossRef]
- Abkar, L.; Mehrizi, A.A.; Jafari, M.; Beck, S.E.; Ghassemi, A.; Van Loosdrecht, M.C. Optimizing energy efficiency in brackish water reverse osmosis (BWRO): A comprehensive study on prioritizing critical operating parameters for specific energy consumption minimization. Sci. Total Environ. 2024, 932, 172772. [Google Scholar] [CrossRef] [PubMed]
- Taniguchi, M.; Kurihara, M.; Kimura, S. Behavior of a reverse osmosis plant adopting a brine conversion two-stage process and its computer simulation. J. Membr. Sci. 2001, 183, 249–257. [Google Scholar] [CrossRef]
- Lu, Y.Y.; Hu, Y.D.; Zhang, X.L.; Wu, L.Y.; Liu, Q.Z. Optimum design of reverse osmosis system under different feed concentration and product specification. J. Membr. Sci. 2007, 287, 219–229. [Google Scholar] [CrossRef]
- Manth, T.; Gabor, M.; Oklejas, E. Minimizing RO energy consumption under variable conditions of operation. Desalination 2003, 157, 9–21. [Google Scholar] [CrossRef]
- Sprintall, J.; Potemra, J.T.; Hautala, S.L.; Bray, N.A.; Pandoe, W.W. Temperature and salinity variability in the exit passages of the Indonesian Throughflow. Deep. Sea Res. Part II Top. Stud. Oceanogr. 2003, 50, 2183–2204. [Google Scholar] [CrossRef]
- Pace, N.G.; Jensen, F.B. Impact of Littoral Environmental Variability on Acoustic Predictions and Sonar Performance; Springer Science and Business Media: Dordrecht, The Netherlands, 2002. [Google Scholar]
- Morey, S.L.; Dukhovskoy, D.S. Analysis Methods for Characterizing Salinity Variability from Multivariate Time Series Applied to the Apalachicola Bay Estuary. J. Atmos. Ocean. Technol. 2012, 29, 613–628. [Google Scholar] [CrossRef]
- Kurihara, M. Sustainable seawater reverse osmosis desalination as green desalination in the 21st century. J. Membr. Sci. Res. 2020, 6, 20–29. [Google Scholar]
- Gao, L.; Rahardianto, A.; Gu, H.; Christofides, P.D.; Cohen, Y. Energy-optimal control of RO desalination. Ind. Eng. Chem. Res. 2014, 53, 7409–7420. [Google Scholar] [CrossRef]
- Li, M. Optimal plant operation of brackish water reverse osmosis (BWRO) desalination. Desalination 2012, 293, 61–68. [Google Scholar] [CrossRef]
- Lee, S.; Hong, J.; Har, D. Jointly optimized control for reverse osmosis desalination process with different types of energy resource. Energy 2016, 117, 116–130. [Google Scholar] [CrossRef]
- Yun, B.; Cho, K.H.; Shim, J. Towards autonomous operation of two-stage reverse osmosis water treatment system with multi-agent reinforcement learning. Desalination 2025, 609, 118870. [Google Scholar] [CrossRef]
- Gordon, J.M.; Hui, T.C. Thermodynamic perspective for the specific energy consumption of seawater desalination. Desalination 2016, 386, 13–18. [Google Scholar] [CrossRef]
- Mulder, M. Basic Principles of Membrane Technology; Kluwer Academic Publishers: Boston, MA, USA, 1997. [Google Scholar]
- DuPont. FilmTec™ Reverse Osmosis Membranes, Technical Manual, Version 17. 2024. Available online: https://www.dupont.com/content/dam/water/amer/us/en/water/public/documents/en/RO-NF-FilmTec-Manual-45-D01504-en.pdf (accessed on 3 August 2025).
- ASTM D4516; Standard Practice for Standardizing Reverse Osmosis Performance Data. ASTM International: West Conshohocken, PA, USA, 2010.
- Hydranautics. Foulants and Cleaning Procedures for Composite Polyamide RO/NF Membrane Elements; Hydranautics: Oceanside, CA, USA, 2020. [Google Scholar]
- Karassik, I.J.; Messina, J.P.; Cooper, P.; Heald, C.C. Pump Handbook, 3rd ed.; McGraw-Hill: London, UK, 2001; Available online: https://www.google.com/books/edition/Pump_Handbook_Third_Edition/wOvCwgEACAAJ?hl=en (accessed on 3 August 2025).
- Li, M.; Noh, B. Validation of model-based optimization of brackish water reverse osmosis (BWRO) plant operation. Desalination 2012, 304, 20–24. [Google Scholar] [CrossRef]
- Boggs, P.T.; Tolle, J.W. Sequential Quadratic Programming. Acta Numer. 1995, 4, 1–51. [Google Scholar] [CrossRef]
- Anbu, S.; Senthilkumar, M.; Murugesh, T.S. Design of a Multiloop Controller for a Nonlinear Process. Int. J. Adv. Comput. Sci. Appl. 2022, 13, 290–299. [Google Scholar] [CrossRef]
- Vu, T.N.L.; Lee, M. Independent design of multi-loop PI/PID controllers for interacting multivariable processes. J. Process Control 2010, 20, 922–933. [Google Scholar] [CrossRef]
- Ellis, M.; Durand, H.; Christofides, P.D. A Tutorial Review of Economic Model Predictive Control Methods. J. Process Control 2014, 24, 1156–1178. [Google Scholar] [CrossRef]
- Wang, Z.; We, P. Analytical Multiloop Control for Multivariable Systems withTime Delays. Complexity 2020, 9, 8849483. [Google Scholar] [CrossRef]
- Seborg, D.E.; Edgar, T.F.; Mellichamp, D.A. Process Dynamics and Control, 2nd ed.; John Wiley and Sons, Inc.: Danvers, MA, USA, 2004. [Google Scholar]
- Oh, H.J.; Hwang, T.M.; Lee, S. A simplified simulation model of RO systems for seawater desalination. Desalination 2009, 238, 128–139. [Google Scholar] [CrossRef]
- Sablani, S.; Goosen, M.; Al-Belushi, R.; Wilf, M. Concentration polarization in ultrafiltration and reverse osmosis: A critical review. Desalination 2001, 141, 269–289. [Google Scholar] [CrossRef]














| Flow Rate (Q) | Pressure (P) | Salinity (C) | |
|---|---|---|---|
| Raw Feed | Qf | P0 | Cf,1 = Co |
| RO First-Stage Feed | Qf,1 = Qf,o = Qf | Pf,1 | Cf,1 = Co |
| RO First-Stage Concentrate | Qf,2 (Qc,1) | Pc,1 | Cc,1 |
| RO Second-Stage Feed | Qc,1 = Qf,2 | Pf,2 | Cf,2 = Cc,1 |
| RO Second-Stage Concentrate | Qc,2 | Pc,2 | Cc,2 |
| RO First-Stage Permeate | Qp,1 | Pp,1 | Cp,1 |
| RO Second-Stage Permeate | Qp,2 | Pp,2 | Cp,2 |
| a. Qp = Qp,set-point | h. , Equation (A1b) |
| b. | i. Ymin ≤ Y ≤Ymax |
| c. , Equation (13a) | j. (Y1)min ≤ Y1 ≤ (Y1)max; k. Y1 < Y |
| d. , Equation (13b) | l. (Qf,1)min ≤ Qf,1 ≤ (Qf,1)max |
| e. | m. (Qf,2)min ≤ Qf,2 ≤ (Qf,2)max |
| f. | n. (Pf,1)min ≤ Pf,1 ≤ (Pf,1)max |
| g. , Equation (A1a) | o. (Pf,2)min ≤ Pf,2 ≤ (Pf,2)max |
| Proportional Constant | Integral Constants (τi,j) |
|---|---|
| Kp,1 = 0.529·VFD1 (%/LPM) | 40 s |
| Kp,2 = −36.259·VFD2 (%/MPa) | 100 s |
| Kp,3 = −0.435 Valve (%/MPa) | 100 s |
Disclaimer/Publisher’s Note: The statements, opinions and data contained in all publications are solely those of the individual author(s) and contributor(s) and not of MDPI and/or the editor(s). MDPI and/or the editor(s) disclaim responsibility for any injury to people or property resulting from any ideas, methods, instructions or products referred to in the content. |
© 2025 by the authors. Licensee MDPI, Basel, Switzerland. This article is an open access article distributed under the terms and conditions of the Creative Commons Attribution (CC BY) license (https://creativecommons.org/licenses/by/4.0/).
Share and Cite
Gao, L.; Jarma, Y.A.; Christofides, P.D.; Cohen, Y. Real-Time Energy Optimal Control of Two-Stage Reverse Osmosis Desalination. Water 2025, 17, 2363. https://doi.org/10.3390/w17162363
Gao L, Jarma YA, Christofides PD, Cohen Y. Real-Time Energy Optimal Control of Two-Stage Reverse Osmosis Desalination. Water. 2025; 17(16):2363. https://doi.org/10.3390/w17162363
Chicago/Turabian StyleGao, Larry, Yakubu A. Jarma, Panagiotis D. Christofides, and Yoram Cohen. 2025. "Real-Time Energy Optimal Control of Two-Stage Reverse Osmosis Desalination" Water 17, no. 16: 2363. https://doi.org/10.3390/w17162363
APA StyleGao, L., Jarma, Y. A., Christofides, P. D., & Cohen, Y. (2025). Real-Time Energy Optimal Control of Two-Stage Reverse Osmosis Desalination. Water, 17(16), 2363. https://doi.org/10.3390/w17162363

