Sign in to use this feature.

Years

Between: -

Subjects

remove_circle_outline
remove_circle_outline
remove_circle_outline
remove_circle_outline
remove_circle_outline
remove_circle_outline
remove_circle_outline
remove_circle_outline
remove_circle_outline

Journals

remove_circle_outline
remove_circle_outline
remove_circle_outline
remove_circle_outline
remove_circle_outline
remove_circle_outline
remove_circle_outline
remove_circle_outline
remove_circle_outline
remove_circle_outline

Article Types

Countries / Regions

remove_circle_outline
remove_circle_outline
remove_circle_outline
remove_circle_outline
remove_circle_outline

Search Results (911)

Search Parameters:
Keywords = melt-cast

Order results
Result details
Results per page
Select all
Export citation of selected articles as:
11 pages, 1992 KB  
Article
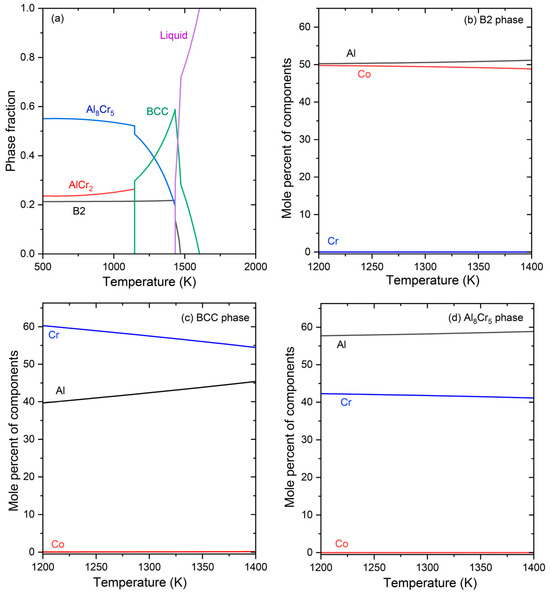
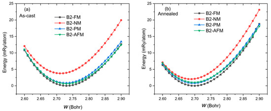
Metastable Ferromagnetic B2 Phase in AlCr Alloy Through Co Addition
by Esmat Dastanpour, Haireguli Aihemaiti, Valter Ström and Levente Vitos
Metals 2025, 15(12), 1368; https://doi.org/10.3390/met15121368 - 12 Dec 2025
Viewed by 99
Abstract
Recently, we reported an antiferromagnetic ground state for equiatomic Al-Cr in the B2 structure. Here, by a joint theoretical–experimental study, we investigate the effect of Co additions to the Al-Cr alloy with the aim to synthesize a ferromagnetic B2 phase. Al50Cr [...] Read more.
Recently, we reported an antiferromagnetic ground state for equiatomic Al-Cr in the B2 structure. Here, by a joint theoretical–experimental study, we investigate the effect of Co additions to the Al-Cr alloy with the aim to synthesize a ferromagnetic B2 phase. Al50Cr38Co12 (at.%) is prepared by arc melting from high-purity raw materials and solidifies into a combination of a Co-enriched B2 phase, a Co-depleted BCC phase, and an Al8Cr5 intermetallic phase. The as-cast alloy is ferromagnetic with a Curie point of 260 K, primarily due to the presence of about 54% B2 phase. Subsequent annealing decreases the fraction of the B2 phase to 27% with depletion of Cr from 20.2 at.% to 16.1 at.%, which leads to a reduction in its ferromagnetic behavior. Calculations based on Density Functional Theory (DFT) predict a corresponding decrease in the total magnetic moment and Curie temperature of the B2 phase by annealing. The present findings highlight the roles of Cr and Co in facilitating the formation of a metastable ferromagnetic B2 phase in this alloy. Full article
(This article belongs to the Special Issue Metallic Magnetic Materials: Manufacture, Properties and Applications)
Show Figures

Figure 1

21 pages, 17711 KB  
Article
Effect of Anodizing and Welding Parameters on Microstructure and Mechanical Properties of Laser-Welded A356 Alloy
by Baiwei Zhu, Hongwei Yuan, Jun Liu, Gong Chen, Tianyun Feng and Erliang Liu
Coatings 2025, 15(12), 1461; https://doi.org/10.3390/coatings15121461 - 10 Dec 2025
Viewed by 193
Abstract
This study investigates the effects of anodizing and welding parameters on the microstructure and mechanical properties of laser-welded die-cast A356 aluminum alloy. The influence of different surface oxidation conditions, namely, no anodized film (NAF), single-sheet anodized film (SSAF), and double-sheet anodized films (DSAF), [...] Read more.
This study investigates the effects of anodizing and welding parameters on the microstructure and mechanical properties of laser-welded die-cast A356 aluminum alloy. The influence of different surface oxidation conditions, namely, no anodized film (NAF), single-sheet anodized film (SSAF), and double-sheet anodized films (DSAF), was assessed. The porosity, elemental distribution, and mechanical behavior was systematically analyzed. The results indicate that anodizing reduces the fusion zone (FZ) size by approximately 5%–15% and increases porosity, primarily due to the thermal-barrier effect, energy consumption during film decomposition, and hydrogen release. Welding speed and defocusing amount have a significant impact on heat input and melt-pool dynamics. Quantitative analysis revealed that lower welding speeds and positive defocusing amount increased the FZ size by 15% and porosity by 2%–5%. In contrast, optimized conditions (welding speed of 4 m/min and 0 mm defocus) enhanced gas evacuation and minimized pore formation. Elemental analysis showed that anodizing promoted Si enrichment and increased oxygen incorporation, with oxygen content rising by 10%–15%, from 0.78 wt% (NAF) to 1.31 wt% (DSAF). Microhardness testing revealed a reduction in heat-affected zone (HAZ) hardness due to thermal softening induced by anodizing, while FZ hardness peaked under optimized welding conditions, reaching a maximum value of 95.66 HV. Tensile testing indicated that anodized films enhance the yield strength (YS) of the fusion zone (FZ) but may reduce ductility. Under optimized welding conditions (4 m/min, 0 mm), the joints exhibited the best overall performance, achieving the YS of 125.28 ± 10.57 MPa, an ultimate tensile strength (UTS) of 193.18 ± 3.66 MPa, and an elongation of 3.46 ± 0.25%. These findings provide valuable insights for optimizing both anodizing and welding parameters to improve the mechanical properties of A356 joints. Full article
(This article belongs to the Special Issue Cutting Performance of Coated Tools)
Show Figures

Figure 1

13 pages, 1810 KB  
Article
Microscopic Analysis of the Effects of Ce2O3 and CaF2 on the Structure and Properties of Mold Flux for Rare Earth-Containing Steel Continuous Casting
by Xiaobo Zhang, Yong Tian, Chengjun Liu, Feng Jiang and Yan Huang
Processes 2025, 13(12), 3972; https://doi.org/10.3390/pr13123972 - 9 Dec 2025
Viewed by 165
Abstract
The effects of Ce2O3 and CaF2 on the microstructure of silicate-based mold flux were investigated using an integrated approach combining molecular dynamics (MD) simulations with viscosity testing, SEM-EDS, and XRD analysis. The structural origin of changes in viscosity and [...] Read more.
The effects of Ce2O3 and CaF2 on the microstructure of silicate-based mold flux were investigated using an integrated approach combining molecular dynamics (MD) simulations with viscosity testing, SEM-EDS, and XRD analysis. The structural origin of changes in viscosity and crystallization behavior was revealed. It was found that the joint addition of CaF2 and Ce2O3 to the silicate melt leads to a synergistic effect; CaF2 acts as a diluent within the silicate network, while O2− introduced by Ce2O3 promotes the depolymerization of the complex [SiO4]4− network. As a result, highly polymerized structural units (Q2, Q3, and Q4) transform into less polymerized ones (Q0 and Q1), reducing the overall degree of polymerization and enhancing slag fluidity. Moreover, the preferential formation of [SiO4]4−–Ce3+–F and [SiO4]4−–Ca2+–F coordination structures replaces the original [SiO4]4−–Ce3+ and [SiO4]4−–Ca2+ linkages. This structural rearrangement facilitates the formation of low-melting-point phases during cooling, thereby suppressing the crystallization tendency and improving the stability of viscous properties of the mold flux. These findings provide theoretical insight for the design of high-performance fluxes used in rare earth-containing steel continuous casting. Full article
(This article belongs to the Section Materials Processes)
Show Figures

Figure 1

22 pages, 7644 KB  
Communication
Bismuth–Titanium–Silicate–Oxide Glass Ceramics for Various Dielectric Applications
by Stanislav Slavov and Veselin Stankov
Materials 2025, 18(24), 5519; https://doi.org/10.3390/ma18245519 - 8 Dec 2025
Viewed by 259
Abstract
Ceramics based on bismuth titanate with added SiO2 and Nd2O3 were synthesized from the Bi2O3–TiO2–SiO2–Nd2O3 system through rapid melt quenching followed by controlled cooling. By adjusting the initial [...] Read more.
Ceramics based on bismuth titanate with added SiO2 and Nd2O3 were synthesized from the Bi2O3–TiO2–SiO2–Nd2O3 system through rapid melt quenching followed by controlled cooling. By adjusting the initial compositions and applying heat treatments between 1450 °C and 1100 °C, either homogeneous crystalline products or multiphase glass–ceramics were obtained. The identified crystalline phases included Bi12TiO20 and Bi4Ti3O12, coexisting with amorphous networks enriched in silicon, bismuth, titanium, and aluminum oxides. In previous investigations, the materials were characterized using X-ray diffraction, scanning electron microscopy, and Fourier-transform infrared spectroscopy, which collectively confirmed the presence of both ordered and disordered structural domains within the bulk samples. Electrical properties were evaluated through measurements of conductivity (4 × 10−9 S/m to 30 S/m), dielectric constant (real part from 10 to 5 × 103 and imaginary part from 5 to 5 × 104), and dielectric loss (0.02 to ~100) over the frequency range 1 Hz–1 MHz. These results provide a foundation for rational control of phase evolution in this quaternary oxide system and highlight strategies for tailoring the functional properties of glass–ceramic materials for dielectric applications. The aim of the present study is to investigate the relationship between phase composition, structural features, and dielectric behavior in cast Bi–Ti–Si–Nd glass–ceramics. Particular attention is given to the influence of the amorphous network containing SiO2 as a traditional glass former, as well as the formation of amorphous crosslinking Si–O–Ti structures acting as non-traditional glass formers. Full article
Show Figures

Figure 1

12 pages, 1751 KB  
Article
Evaluation of Flexural Resistance in Co-Cr Ceramic Systems: Conventional Casting Versus 3D Printing—A Pilot Study
by Alexandra Elena Biculescu, Anca Iuliana Popescu, Tudor-Petru Ionescu, Ioana Ana Maria Ciorniciuc, Daniel Alexandru Referendaru, Costin Coman, Andrei Constantinovici, Stefan-Eugen Chirsanov-Capanu, Mirel Stoian-Albulescu and Raluca Monica Comaneanu
Dent. J. 2025, 13(12), 583; https://doi.org/10.3390/dj13120583 - 5 Dec 2025
Viewed by 186
Abstract
Introduction: The success of metal–ceramic restorations depends on the mechanical and adhesive properties of the metal–ceramic interface. With the emergence of additive manufacturing technologies such as selective laser melting (SLM), there is growing interest in comparing these methods with conventional casting. This [...] Read more.
Introduction: The success of metal–ceramic restorations depends on the mechanical and adhesive properties of the metal–ceramic interface. With the emergence of additive manufacturing technologies such as selective laser melting (SLM), there is growing interest in comparing these methods with conventional casting. This pilot study aimed to generate hypothesis-forming data on how fabrication method (casting and 3D printing) and alumina sandblasting with two particle sizes (125 μm and 250 μm) influence flexural performance of Co-Cr metal–ceramic systems within the standardized ISO 9693 framework. Materials and Methods: Rectangular Co-Cr alloy specimens were manufactured using two techniques: conventional casting and 3D printing via SLM. Each group was divided based on the sandblasting particle size. After ceramic application in accordance with ISO 9693:2012, samples underwent a three-point bending test using a universal testing machine (Instron 8872) to assess the displacement force required to fracture the ceramic layer. Five specimens were tested per group, and mean values and standard deviations were calculated. Data were statistically analyzed using two-way ANOVA followed by Tukey’s HSD post hoc test (p < 0.05). Results: Cast samples exhibited significantly higher displacement strength than printed ones. Among all groups, the cast samples sandblasted with 250 μm particles (CCT_250) showed the best performance (mean: 12.48 ± 0.91 N), while the 3D-printed group treated with 125 μm particles (CCP_125) showed the lowest strength (mean: 7.24 ± 0.65 N). Larger abrasive particles (250 μm) improved bond strength in both fabrication techniques. Two-way ANOVA revealed significant main effects of manufacturing method (F(1,16) = 13.63, p = 0.002, η2 = 0.46) and particle size (F(1,16) = 6.17, p = 0.024, η2 = 0.28), with no interaction between factors. Conclusions: Both the manufacturing method and the sandblasting protocol significantly influence the flexural performance of Co-Cr ceramic systems. Conventional casting combined with 250 μm particle sandblasting ensures the highest ceramic adhesion, while SLM-printed substrates may require additional surface treatments to improve bonding efficiency. Complementary surface treatments such as bonding agents or chemical oxidation may enhance the metal–ceramic bond in SLM-fabricated frameworks. Full article
(This article belongs to the Topic Advances in Dental Materials)
Show Figures

Figure 1

11 pages, 3801 KB  
Article
Study on the Hygroscopic Properties and Mechanism of Novel Melt-Cast Matrix 3,4-Dinitropyrazole (DNP)
by Tong Guan, Yuehui Yue, Wujiang Ying, Bo Yan, Pan Liu and Xiangrong Zhang
Molecules 2025, 30(23), 4644; https://doi.org/10.3390/molecules30234644 - 3 Dec 2025
Viewed by 247
Abstract
3,4-Dinitropyrazole (DNP) is a promising candidate as a next-generation matrix for melt-cast explosives. However, its hygroscopicity severely limits the application of DNP. In this work, the macroscopic hygroscopic properties of DNP powder and charge were determined through moisture absorption tests under varying temperature [...] Read more.
3,4-Dinitropyrazole (DNP) is a promising candidate as a next-generation matrix for melt-cast explosives. However, its hygroscopicity severely limits the application of DNP. In this work, the macroscopic hygroscopic properties of DNP powder and charge were determined through moisture absorption tests under varying temperature and relative humidity (RH) conditions. At the micrometer scale, the morphological evolution after moisture absorption was observed by scanning electron microscopy (SEM). The moisture absorption mechanism of DNP at the molecular level was elucidated using Raman spectroscopy. The results demonstrate that the hygroscopicity of DNP intensifies with rising temperature and RH. The critical relative humidity (CRH) was determined to be 85% at 25 °C, 62% at 40 °C, and 42% at 55 °C. The surface of dried DNP particles exhibits a highly developed porous structure conducive to moisture adsorption from the environment. The moisture absorption mechanism of DNP involves water molecules forming hydrogen bonds with both the N–H bonds and nitro groups of DNP molecules. The hydrogen bonds between water and DNP molecules replace the original N-H···O/N hydrogen-bond network within the DNP crystal and disrupt the intermolecular π-π stacking interactions. Full article
(This article belongs to the Section Natural Products Chemistry)
Show Figures

Figure 1

19 pages, 2362 KB  
Article
Experimental and Simulation Analysis of Die Gating System Design for AlSi9Cu3 Alloy Castings
by Juraj Ružbarský and Jozef Žarnovský
Appl. Sci. 2025, 15(23), 12766; https://doi.org/10.3390/app152312766 - 2 Dec 2025
Viewed by 329
Abstract
This study investigates the melt-flow behavior of the AlSi9Cu3 alloy during high-pressure die casting using a combined experimental and numerical approach. A transparent die and a high-speed camera were used to capture the transient motion of the melt front, while [...] Read more.
This study investigates the melt-flow behavior of the AlSi9Cu3 alloy during high-pressure die casting using a combined experimental and numerical approach. A transparent die and a high-speed camera were used to capture the transient motion of the melt front, while a validated computational model reproduced the filling dynamics under identical boundary conditions. The influence of the gating-system geometry—particularly the gate thickness, flow-path length, and inlet cross-section—was analyzed with respect to filling velocity, filling time, and flow stability. To quantify hydraulic losses that arise in practical die-casting conditions, an empirical correction coefficient k2 was introduced. Its value was obtained by regression analysis based on ten repeated measurements of filling time for each configuration. The deviation between the simulated and experimental velocities did not exceed 5%, demonstrating the reliability of the numerical model within the tested parameter range. The results show that the optimized gating design reduces flow instability, suppresses air entrapment zones, and yields a more uniform velocity distribution across the cavity. The empirical relations derived involving k2 provide a practical tool for preliminary design of gating systems, enabling faster optimization without extensive trial-and-error procedures. The methodology presented in this work offers a validated basis for improving gating-system performance in high-pressure die casting of aluminum alloys. Full article
(This article belongs to the Section Mechanical Engineering)
Show Figures

Figure 1

17 pages, 2039 KB  
Article
The Effects of Melting Methods and In-House Recycled Content on Climate Effects
by Anders E. W. Jarfors
J. Manuf. Mater. Process. 2025, 9(12), 398; https://doi.org/10.3390/jmmp9120398 - 1 Dec 2025
Viewed by 282
Abstract
Large functionally integrated casting and electrification are rapidly changing the high-pressure die-casting industry. The requirements for these new castings differ from those of the previous ones. Load-bearing capability, fatigue, ductility, and crashworthiness all increase, and the foundry’s readiness for this varies and is [...] Read more.
Large functionally integrated casting and electrification are rapidly changing the high-pressure die-casting industry. The requirements for these new castings differ from those of the previous ones. Load-bearing capability, fatigue, ductility, and crashworthiness all increase, and the foundry’s readiness for this varies and is challenging. At the same time, the carbon footprint needs to be reduced, meaning that recycled, secondary aluminium usage is required, making the challenge of attaining the required component performance significantly more difficult. The current paper examined the conditions and requirements to manage and reach the required targets, both from a material standpoint as well as from a climate impact and resource-efficiency perspective. Full article
Show Figures

Graphical abstract

13 pages, 3643 KB  
Communication
Electrical Resistivity and Carburizing Efficiency of Materials Used in the Cast Iron Melting Process
by Krzysztof Janerka, Jan Jezierski, Mateusz Wojciechowski and Kacper Rosanowski
Materials 2025, 18(23), 5413; https://doi.org/10.3390/ma18235413 - 1 Dec 2025
Viewed by 210
Abstract
The article presents a method of measurement and a test stand for determining the specific electrical resistivity of granular carburizing materials most commonly used in foundry practice. The research was conducted for synthetic graphites (GS) and petroleum cokes (KN) using a test stand [...] Read more.
The article presents a method of measurement and a test stand for determining the specific electrical resistivity of granular carburizing materials most commonly used in foundry practice. The research was conducted for synthetic graphites (GS) and petroleum cokes (KN) using a test stand proposed by the authors of the study and protected by a patent. It was shown that this measurement method allows for a clear distinction between the tested materials. For synthetic graphites, specific resistivities in the range of 35.9–144.5 μΩ·m were obtained, while for petroleum cokes the range was 172.1–1390 μΩ·m. The main aim of the study was to determine whether there is a correlation between the measured electrical resistivity of the tested materials and the carburization efficiency obtained in melting experiments. Therefore, the article also presents the course and results of studies on the process of cast iron melting in laboratory induction furnaces, where the carburizing material was introduced into the induction furnace with a fixed charge. Carburization efficiencies obtained for synthetic graphite ranged from 86.6% to 94.4%, and from 65.5% to 85.31% for petroleum coke. Based on the measurement results, a statistical analysis was carried out, yielding a relationship with a coefficient of determination R2 = 0.92. The research confirmed the possibility of a quick assessment of carburizers in terms of their assimilation degree by molten metal. This is valuable information both for scientific research and industrial applications. The presented results form part of ongoing studies aimed at explaining the differences occurring within a given group of materials (petroleum cokes and synthetic graphites). Full article
Show Figures

Figure 1

33 pages, 1512 KB  
Review
Pineapple-Derived Nanocellulose for Nanocomposites: Extraction, Processing, and Properties
by Marianelly Esquivel-Alfaro, Oscar Rojas-Carrillo, Belkis Sulbarán-Rangel, Lilliana Rodríguez-Barquero, Hasbleidy Palacios-Hinestroza and Orlando J. Rojas
J. Compos. Sci. 2025, 9(12), 652; https://doi.org/10.3390/jcs9120652 - 1 Dec 2025
Viewed by 628
Abstract
Pineapple waste is an underexplored source for producing nanocomposites, from which nanocellulose, namely cellulose nanocrystals (CNCs) or cellulose nanofibers (CNFs), can be produced. This review summarizes extraction methods from different pineapple residues (leaves, crown leaves, stem, peel, pulp, and pomace), covering top-down processes [...] Read more.
Pineapple waste is an underexplored source for producing nanocomposites, from which nanocellulose, namely cellulose nanocrystals (CNCs) or cellulose nanofibers (CNFs), can be produced. This review summarizes extraction methods from different pineapple residues (leaves, crown leaves, stem, peel, pulp, and pomace), covering top-down processes (hydrolysis, oxidation, carboxymethylation, and mechanical fibrillation) and bottom-up strategies (ionic liquids and deep eutectic solvents). The review examines the influence of the morphology and crystallinity of nanocellulose on the functional performance of the nanocomposites. Strategies for processing pineapple-derived nanocellulose composites are analyzed by technique (solution casting, film stacking, and melt blending/extrusion) and polymer matrices (starch, PVA, chitosan, PLA, PHBV, PBAT, proteins, and polysaccharides), including typical loading levels for most polymer-reinforced systems (0.5–5 wt.%), while higher levels (15–50 wt.%) are used in particular cases such as PVA, CMC, and cellulosic matrices. The impact on mechanical strength, barrier behavior, UV shielding, and optical properties is summarized, along with reports of self-reinforced and hybrid cellulose-derived matrices. A benchmarking section was prepared to show nanocellulose loading ranges, trends in properties, and processing-relevant information categorized by type of matrix. Finally, the review describes the potential roles of pineapple waste within a bioeconomy context and identifies some extraction by-products that could be incorporated into diverse value chains. Full article
(This article belongs to the Section Nanocomposites)
Show Figures

Graphical abstract

23 pages, 13321 KB  
Article
The Influence of REE Steel Modification on the Microstructure and Mechanical Characteristics Using Fractographic Analyses
by Robert Pała and Piotr Furmańczyk
Materials 2025, 18(23), 5408; https://doi.org/10.3390/ma18235408 - 30 Nov 2025
Viewed by 149
Abstract
Improving the operational parameters of machinery necessitates the use of materials with higher mechanical characteristics. Strength characteristics, particularly fracture toughness, are strongly linked to the material’s microstructure. This article presents the results of a study examining the effect of microstructure on the mechanical [...] Read more.
Improving the operational parameters of machinery necessitates the use of materials with higher mechanical characteristics. Strength characteristics, particularly fracture toughness, are strongly linked to the material’s microstructure. This article presents the results of a study examining the effect of microstructure on the mechanical properties and fracture toughness of G17CrMo5-5 cast steel in its basic and rare-earth modified variants. The addition of rare-earth elements (REEs) to the melt resulted in a reduction and homogenization in grain size, as well as a reduction in the size and shape of non-metallic inclusions. For modified cast steel, there were no grains with a chord size above 120 μm and inclusions with a diameter above 5.5 μm. Changes in the microstructure of modified cast steel resulted in a slight increase in strength properties. It significantly increased the fracture toughness: for unmodified cast steel at a temperature of −20 °C, the fracture toughness increased from 94 kN/m to 416 kN/m for modified cast steel. Fracture fractographic analysis using non-contact microroughness measurement techniques or measuring the width of the stretch zone allowed for the calculation of fracture toughness without the need for a conventional test. Fracture toughness calculated based on fractographic analysis can be determined for brittle fracture and brittle fracture preceded by plastic growth. Numerical simulations of the loading of specimens tested for fracture toughness allowed us to determine the effect of the REE steel modification on the stress field distribution ahead of the crack front. The modification resulted in a change in the opening stress distribution and the location of its maximum at each temperature. The use of REE modification is an effective approach for homogenizing the microstructure and increasing the fracture toughness of cast steel, especially when the material operates at temperatures in the interval of the fracture mechanism change. Full article
(This article belongs to the Section Metals and Alloys)
Show Figures

Figure 1

14 pages, 5937 KB  
Article
Variation in Carbon Content During the Melting of γ-TiAl in a Graphite Crucible
by Byungil Kang, Taekyu Ha, Seul Lee and Youngjig Kim
Crystals 2025, 15(12), 1006; https://doi.org/10.3390/cryst15121006 - 22 Nov 2025
Viewed by 333
Abstract
Liquid γ-TiAl alloy was prepared by vacuum induction melting within graphite crucibles, then cast using a centrifugal technique. In this process, the degree of superheat (ΔT)—defined as the temperature above the melting point—was carefully controlled, with experiments conducted at ΔT of 200 K [...] Read more.
Liquid γ-TiAl alloy was prepared by vacuum induction melting within graphite crucibles, then cast using a centrifugal technique. In this process, the degree of superheat (ΔT)—defined as the temperature above the melting point—was carefully controlled, with experiments conducted at ΔT of 200 K (i.e., 200 Kelvin above the melting temperature). It was observed that carbon content in the alloy increased nonlinearly as the melt was held longer in the graphite crucible; for example, carbon concentration rose from an initial value of approximately 0.21 at% to 0.98 at% after 100 s of holding and to 2.11 at% at 650 s of holding. When the melt was held for over 100 s at ΔT = 200 K, titanium carbide (TiC) and titanium aluminum carbide (Ti2AlC) particles formed along the crucible wall. This resulted in changes to the phase fractions and a corresponding increase in aluminum concentration in the melt. Two types of Ti2AlC phases were observed: one consisted of coarse Ti2AlC particles, which were crystallized through peritectic reaction from the TiC carbide and liquid phase. The other consisted of fine Ti2AlC particles, which were decomposed from the α2 (Ti3Al) phase within the interlamellar regions. After 20 s of holding at ΔT = 200 K, carbon rapidly dissolved into a solid solution. Prolonged holding led to significant grain refinement: the microstructure evolved from columnar to equiaxed grains, primarily due to TiC crystallization. This transition is significant because finer, equiaxed grains can enhance mechanical properties such as strength and toughness. The findings provide valuable insight into the interaction between graphite crucibles and γ-TiAl melts, demonstrating how controlled superheat and holding time influence carbon uptake, carbide formation, and microstructural evolution—factors critical for optimizing the performance and manufacturability of γ-TiAl components. Full article
(This article belongs to the Section Crystalline Metals and Alloys)
Show Figures

Figure 1

22 pages, 8956 KB  
Article
Preparation of High-Energy Activated SiC Particles and Their Dispersion and Reaction Behavior in Hypoeutectic Gray Cast-Iron Melt
by Chunfeng Wang, Zhejun Li, Chuangang Huang, Runze Li, Qingyan Liang, Kebin Li, Jie Hu and Feng Jiang
Materials 2025, 18(23), 5264; https://doi.org/10.3390/ma18235264 - 21 Nov 2025
Viewed by 320
Abstract
This study addresses the issues of coarse primary austenite dendrites and uneven graphite distribution in hypoeutectic gray cast iron. High-energy mechanical activation technology was used to prepare high-energy activated SiC particles (EASiCp), and the regulatory mechanisms of trace additions (0–0.15 wt.%) on the [...] Read more.
This study addresses the issues of coarse primary austenite dendrites and uneven graphite distribution in hypoeutectic gray cast iron. High-energy mechanical activation technology was used to prepare high-energy activated SiC particles (EASiCp), and the regulatory mechanisms of trace additions (0–0.15 wt.%) on the solidification process and microstructure properties of hypoeutectic gray cast iron were systematically investigated. The results indicate that high-energy activation treatment reduced the average particle size of SiC particles from 26.53 μm to 9.51 μm and increased their specific surface area from 0.35 m2/g to 1.78 m2/g. X-ray diffraction (XRD) analysis revealed that the grain size was refined from 55.5 nm to 17.4 nm, with significant lattice distortion. The absorption rate of EASiCp in the melt stabilized between 68–72%, with particles predominantly dispersed within the grains (78.12%) and at grain boundaries (21.88%) in sizes ranging from 0.3 to 2 μm. The addition of EASiCp enhanced the solidification undercooling from 5.3 °C to 8.4 °C and reduced the latent heat of crystallization from 162.6 J/g to 99.96 J/g due to its endothermic reaction in the melt (SiC + Fe → FeSi + C) and heterogeneous nucleation effects. In terms of microstructure, the addition of 0.15 wt.% EASiCp increased the primary austenite dendrite content by 35.29%, reduced the secondary dendrite arm spacing by 57.98%, shortened the graphite length from 0.46 mm to 0.20 mm, and refined the eutectic colony size from over 500 μm to 180 μm. The final material achieved a tensile strength of 308 MPa, an improvement of 12.82% compared to the unadded group. Mechanistic analysis showed that EASiCp facilitated direct nucleation, reaction-induced “micro-area carbon enrichment,” and a synergistic effect in suppressing grain growth, thereby optimizing the solidification microstructure and enhancing performance. This study provides a new method for the efficient nucleation control of hypoeutectic gray cast iron. Full article
(This article belongs to the Section Metals and Alloys)
Show Figures

Figure 1

21 pages, 7671 KB  
Article
Microstructure and Properties of Biomedical Mg-Zn-Ca-Ag Alloy and the Micro-Arc Oxidation Coatings
by Wei-Gang Lv, Ze-Xin Wang, Zi-Meng Xiao, Shu-Fan Zhou, Jun Ma, Liang-Yu Chen, Sheng Lu and Dubovyy Oleksandr
Coatings 2025, 15(11), 1357; https://doi.org/10.3390/coatings15111357 - 20 Nov 2025
Viewed by 434
Abstract
This study investigates the influence of Ag addition on the microstructure, mechanical behavior, corrosion resistance, and antibacterial performance of Mg-Zn-Ca-Ag alloys and their micro-arc oxidation (MAO) coatings. Four casting alloys containing 0.2, 0.4, 0,6 and 0.8 wt.% Ag were fabricated and characterized by [...] Read more.
This study investigates the influence of Ag addition on the microstructure, mechanical behavior, corrosion resistance, and antibacterial performance of Mg-Zn-Ca-Ag alloys and their micro-arc oxidation (MAO) coatings. Four casting alloys containing 0.2, 0.4, 0,6 and 0.8 wt.% Ag were fabricated and characterized by SEM, XRD, and TEM. The microstructure consisted mainly of α-Mg, Mg2Ca, Mg7Zn3, and Mg6Ca2Zn3 phases, and the elastic modulus (~25.8 GPa) was comparable to that of human bone. MAO coatings produced in a bio-functional electrolyte exhibited pit-like morphologies due to Ag-induced melt fluidity and self-sealing effects. The coatings were composed primarily of MgO, Mg2SiO4, Ca3(PO4)2, CaCO3, and Ag2O, with the ZQ 0.8-MAO sample showing the highest Ca/P ratio (1.75), indicative of superior bioactivity. Electrochemical impedance spectroscopy revealed optimal corrosion resistance (2.56 × 104 Ω·cm2), while antibacterial efficiency exceeded 96%. Overall, Ag alloying enhanced both the bulk and surface properties of Mg-Zn-Ca alloys, yielding robust, corrosion-resistant, and antibacterial coatings with excellent biocompatibility-highlighting their potential for biodegradable orthopedic implant applications. Full article
(This article belongs to the Section Bioactive Coatings and Biointerfaces)
Show Figures

Figure 1

25 pages, 5108 KB  
Article
In Situ Polymerization as an Effective Method, Compared to Melt Mixing, for Synthesis of Flexible Poly(lactic acid) Nanocomposites Based on Metal Nanoparticles
by Kyriaki Lazaridou, Rafail O. Ioannidis and Dimitrios N. Bikiaris
J. Compos. Sci. 2025, 9(11), 610; https://doi.org/10.3390/jcs9110610 - 5 Nov 2025
Viewed by 659
Abstract
A comprehensive investigation was conducted focusing on two series of poly(lactic acid) (PLA)-based nanocomposites filled with small amounts (0.5 and 1.0%) of metal (Ag/Cu) nanoparticles (NPs). Our work aimed to synthesize PLA/Ag nanocomposites via in situ ring-opening polymerization (ROP), and for comparison purposes, [...] Read more.
A comprehensive investigation was conducted focusing on two series of poly(lactic acid) (PLA)-based nanocomposites filled with small amounts (0.5 and 1.0%) of metal (Ag/Cu) nanoparticles (NPs). Our work aimed to synthesize PLA/Ag nanocomposites via in situ ring-opening polymerization (ROP), and for comparison purposes, the same materials were also prepared via solution casting followed by melt mixing. PLA/Cu nanocomposites were also prepared via melt extrusion. Gel permeation chromatography (GPC) and intrinsic viscosity measurements [η] showed that the incorporation of Ag nanoparticles (AgNPs) resulted in a decrease in the molecular weight of the PLA matrix, indicating a direct effect of the AgNPs on its macromolecular structure. Fourier-transform infrared spectroscopy (FTIR) revealed no significant changes in the characteristic peaks of the nanocomposites, except for an in situ sample containing 1.0 wt% of AgNPs, where slight interactions in the C=O region were detected. Differential scanning calorimetry (DSC) analysis confirmed the semi-crystalline nature of the materials. Glass transition temperature was strongly affected by the presence of NPs in the case of the in situ-based samples. Melt crystallized studies suggested potential indirect polymer–NP interactions, while isothermal melt crystallization experiments confirmed the nucleation ability of the NPs. The mechanical performance was assessed via tensile and flexural measurements, revealing that the in situ-based samples exhibited remarkable flexibility. Moreover, during the three-point bending tests, none of the in situ nanocomposite samples broke. In this context, next-generation PLA-based nanocomposites have been proposed for advanced applications, including flexible printed electronics. Full article
(This article belongs to the Special Issue Feature Papers in Journal of Composites Science in 2025)
Show Figures

Graphical abstract

Back to TopTop