Abstract
Recently, we reported an antiferromagnetic ground state for equiatomic Al-Cr in the B2 structure. Here, by a joint theoretical–experimental study, we investigate the effect of Co additions to the Al-Cr alloy with the aim to synthesize a ferromagnetic B2 phase. Al50Cr38Co12 (at.%) is prepared by arc melting from high-purity raw materials and solidifies into a combination of a Co-enriched B2 phase, a Co-depleted BCC phase, and an Al8Cr5 intermetallic phase. The as-cast alloy is ferromagnetic with a Curie point of 260 K, primarily due to the presence of about 54% B2 phase. Subsequent annealing decreases the fraction of the B2 phase to 27% with depletion of Cr from 20.2 at.% to 16.1 at.%, which leads to a reduction in its ferromagnetic behavior. Calculations based on Density Functional Theory (DFT) predict a corresponding decrease in the total magnetic moment and Curie temperature of the B2 phase by annealing. The present findings highlight the roles of Cr and Co in facilitating the formation of a metastable ferromagnetic B2 phase in this alloy.
1. Introduction
A promising route to develop advanced magnetic materials is to adjust their magnetic behavior by adding non-magnetic elements to metals with itinerant magnetism. This strategy enables precise control over magnetic behavior, which is essential for applications such as magnetic refrigeration. A classic system illustrating this concept is FeRh [1] with the B2-type structure, where the antiferromagnetic (AFM) to ferromagnetic (FM) transition near room temperature makes it promising for magnetocaloric applications. In this alloy, magnetic Fe atoms occupy one sublattice while non-magnetic Rh atoms fill the other sublattice [2,3,4].
Chromium (Cr), a 3d transition metal with a body-centered cubic (BCC) structure, shows uniquely complex magnetic behavior [5]. Unlike typical BCC metals, which often display ferromagnetism or no magnetic ordering, Cr features competing magnetic exchange interactions, specifically, negative nearest-neighbor interactions (J1) and positive next-nearest-neighbor interactions (J2) [6,7]. This competition leads to its characteristic antiferromagnetic (AFM) coupling, making Cr a material of particular interest for the design of magnetic structures in spintronic devices, magnetic storage systems, and other technologies where precise control over magnetic ordering is crucial [8].
Removing the first nearest neighbor atom in the BCC structure results in a simple cubic (SC) structure. Theoretical calculations demonstrated that this hypothetical SC Cr is stable in the non-magnetic (NM) state, in contrast to the SC Fe, Co and Ni, which show ferromagnetic (FM) order [9]. Our theoretical calculations demonstrated that substituting the first nearest neighbor atoms in BCC Cr with a non-magnetic element like Al, facilitates the formation of an ordered magnetic B2 phase [10]. In this case, our first-principles magnetic exchange interaction calculations using the Heisenberg Hamiltonian framework demonstrated alternating signs of the first- and second-neighbor interactions [10], indicating an antiferromagnetic configuration that resembles the magnetic behavior characteristic of pure Cr.
To explore the experimental feasibility of these theoretical predictions, we considered the phase diagram of Al-Cr, which shows a narrow region of the B2-type structure. According to the study by Helander et al. [11], this B2 phase can be synthesized by quenching an alloy containing 58.4–67.5 at.% Cr from a temperature between 1158 and 1178 K. However, the narrow stability region of this phase in the phase diagram demands precise control over both its composition and thermal processing, making its stabilization challenging.
To investigate the effect of additional alloying elements on stabilizing the B2 phase, previous studies on the Al50Vx(Cr0.33Mn0.33Co0.33)(50−x) (x = 12.5, 6.5, 3.5, and 0.5 at.%) [12], Al50Cr21−xMn17+xCo12 (x = 0, 4, 8) [13], and Al-Mn-Co [14] alloys show that even a low fraction of Co can stabilize the B2 structure in the Al-Mn-rich system. These findings indicate that Co plays a significant role in promoting the formation of the B2 phase in complex alloy compositions. Furthermore, the study of the phase stability and magnetic properties of AlX (X = Cr, Mn, Fe, Co, and Ni) alloys in B2 and BCC structures [10] shows that Co is the most effective element for stabilizing the B2 structure.
In the present study, we experimentally investigated the potential of small amounts of Co to form a ferromagnetic B2 phase in the Al-Cr system. A previous experimental study on the Al-Cr-Co system showed that alloys with around 50 at.% Al tend to form multiphase microstructures containing a B2 phase [15]. Our theoretical research [10] suggested that adding around 22 at.% Co to the Al50Cr50−xCox (at.%) alloy can exhibit an AFM to FM transition. This makes it a candidate for magnetocaloric applications. However, achieving a single-phase B2 structure is challenging, as the B2 phase typically coexists with other BCC and intermetallic phases, confirmed by Thermo-Calc. Moreover, increasing the Co content while reducing the Cr content can diminish the magnetic properties of the alloy. Here, we selected the composition Al50Cr38Co12. Using experimental techniques supported by theoretical calculations, we demonstrate that it is possible to synthesize the B2 phase of Al50Cr38Co12, and it is ferromagnetic and metastable. A prolonged annealing of this system leads to the loss of its magnetic moment.
2. Materials and Methods
2.1. Theoretical Modeling
The volume fraction and phase constitution of the Al50Cr38Co12 alloys were predicted via the TCAL 9 database of Thermo-Calc software, version 2024a [16].
The self-consistent electronic structure calculations were performed based on density functional theory (DFT) [17]. The one-electron Kohn-Sham equations were solved within the framework of the exact muffin-tin orbitals (EMTO) method [18,19]. The exchange-correlation effects were treated within the generalized gradient approximation as parametrized by Perdew, Burke, and Ernzerhof (PBE) [20]. The chemical disorder was described within the coherent potential approximation (CPA) [21,22]. The paramagnetic (PM) state was described within the disordered local moments (DLM) model [23]. To capture the magnetic ordering, a 16-atom supercell based on the B2 structure was constructed for the AFM state total energy calculations. A set of 13 × 13 × 13 k-point mesh was used based on the convergence tests.
The Curie temperatures (TC) were estimated using a mean-field approach [23] by:
where EPM and EFM denote the energies of the magnetically disordered (paramagnetic) and the magnetically ordered (ferromagnetic) states, respectively, and c represents the atomic fraction of non-magnetic chemical species (Al).
To study phase stability, we calculated the Gibbs free energy of Al50Cr50−xCox (x = 0–50 at.%) relative to the pure AlCr (BCC) and AlCo (B2) phases at temperatures of 300 K, 1000 K, and 1600 K by:
Here is the total energy obtained from EMTO calculations and is the configurational entropy.
2.2. Experimental Procedures
The Al50Cr38Co12 at.% alloy was synthesized using an arc melter under a high-purity argon atmosphere and a mixture of high-purity (≥99.99%) of Al, Cr, and Co materials (Sigma-Aldrich, St. Louis, MO, USA) in a water-cooled copper mold. The power source for the arc melter is a welding apparatus with a maximum current of 500 A. After the power stops, initially the temperature drops rapidly with a sample cooling rate of 100 K/s. The sample was remelted three additional times to achieve a homogeneous ingot. The sample was annealed at 1373 K for 24 h in a tube furnace under flowing argon and then quenched.
X-ray diffraction (XRD, model SIEMENS D5000, Siemens AG, Karlsruhe, Germany) was performed with Cu Kα radiation, in a 2θ range of 30–100° at a scanning rate of 0.02° per 2 s, employing a graphite monochromator. Scanning electron microscopy (SEM, Hitachi, Hitachi High-Technologies Corporation, Tokyo, Japan) equipped with an energy-dispersive spectrometer (EDS) was used to analyze the phases and their chemical compositions. The imaging and EDS analysis were performed at an acceleration voltage of 15 kV. The SEM-EDS analysis in the manuscript involved scanning 10–15 points across the samples, and the presented composition is the average of these measurements.
Magnetic hysteresis loops were measured using a vibrating sample magnetometer (VSM, EG&G model 155, EG&G Princeton Applied Research, Princeton, NJ, USA) with a maximum applied field of 650 kA/m at both room temperature (293 K) and 80 K (using liquid N2). The Curie temperature (TC) of the samples was determined by AC susceptibility measurements at 181 Hz and a magnetic field of 800 A/m.
3. Results and Discussion
3.1. Theoretical Study of the Nominal Composition
Figure 1 shows the calculated total energies per atom for alloy Al50Cr38Co12 as a function of Wigner–Seitz radius (w). Energies are displayed for the BCC and B2 structures and for the ferromagnetic (FM), paramagnetic (PM), non-magnetic (NM), and antiferromagnetic (AFM) states. The results demonstrate that the B2 structure in the AFM state has the lowest energy, meaning that the most stable phase considered here is the antiferromagnetic B2 structure. This result is consistent with the calculations by Aihemaiti et al. [10] for the B2 Al50Cr50−xCox alloy, which demonstrated that the AFM state is energetically more stable than the FM state for 0–22 at.% Co composition range. However, above 22 at.% Co content (corresponding to 44 at.% Co on the Cr sublattice), the alloy prefers the FM state. Based on Figure 1, one would expect that if the selected nominal composition is realized in the BCC and B2 structures, then the Al50Cr38Co12 alloy should have the B2 AFM state. That is, when aiming for an FM state, one should start from nominal compositions with higher Co-level. Nevertheless, as we will see below, the alloy decomposes into Co-enriched and Cr-enriched components and thus the effective Co content of the B2 phase will be substantially larger than the nominal composition.
Figure 1.
Total energies of the Al50Cr38Co12 alloy as a function of Wigner–Seitz radius (w) for BCC, and B2 structures in ferromagnetic (FM), paramagnetic (PM), non-magnetic (NM), and antiferromagnetic (AFM) states. The BCC energy curves overlap for the three magnetic states.
3.2. Structural Analysis of the Al50Cr38Co12 Alloys
The XRD patterns and the SEM images for the as-cast and annealed Al50Cr38Co12 alloy are presented in Figure 2. The XRD patterns contain three phases: a B2-type structure (Pm-3m), a BCC phase (Im-3m), and an intermetallic Al8Cr5 compound (R-3m). The SEM image (Figure 2b) of the as-cast structure reveals two distinct zones, appearing as dark and bright areas. Based on the XRD pattern for this alloy, an additional zone is expected; however, it is not distinguishable in the SEM image. After annealing, the SEM image (Figure 2c) clearly shows three distinct zones: bright, gray, and dark. The chemical compositions of these zones, as determined by EDS, are presented in Table 1.
Figure 2.
X-ray diffraction (XRD) patterns panel (a) and backscattered electron (BSE) images with scanning electron microscopy (SEM) panels (b,c) for the as-cast and annealed Al50Cr38Co12 alloy, respectively. The XRD patterns show peaks of BCC, B2, and Al8Cr5 phases.
Table 1.
The chemical compositions and phase fraction based on SEM-EDS analysis for the as-cast and annealed Al50Cr38Co12 alloy. Compositions are given in atomic percent and phase fractions were estimated using Image J (https://imagej.net/ij/).
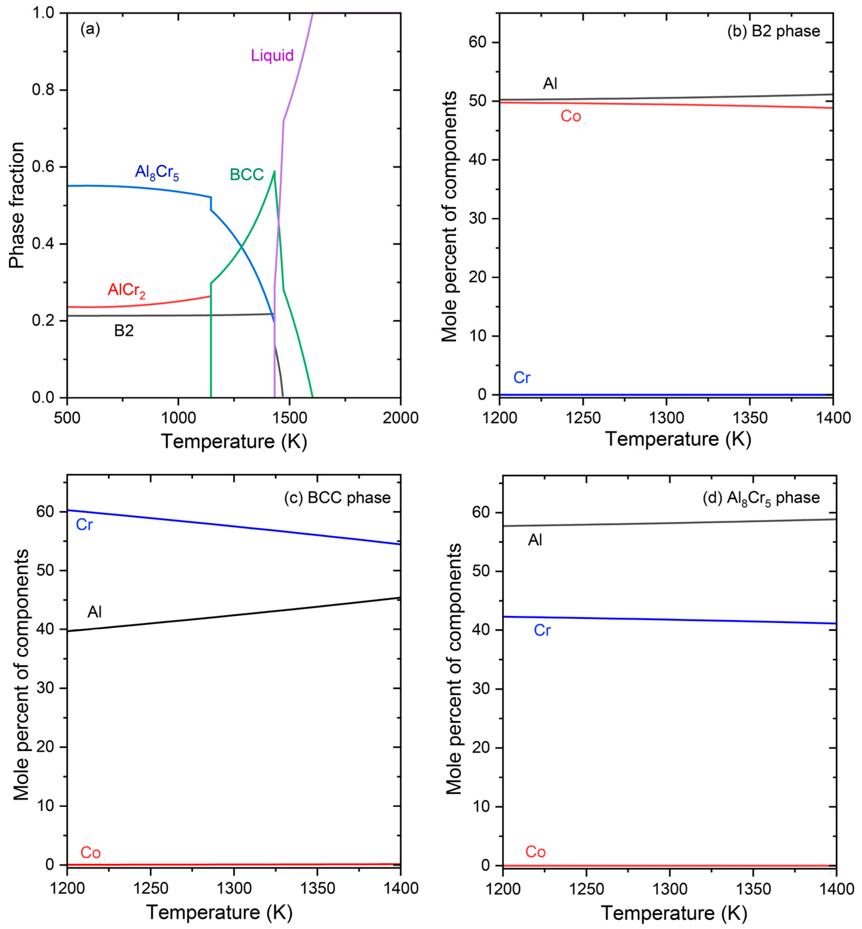
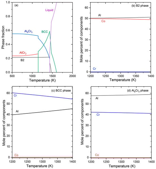
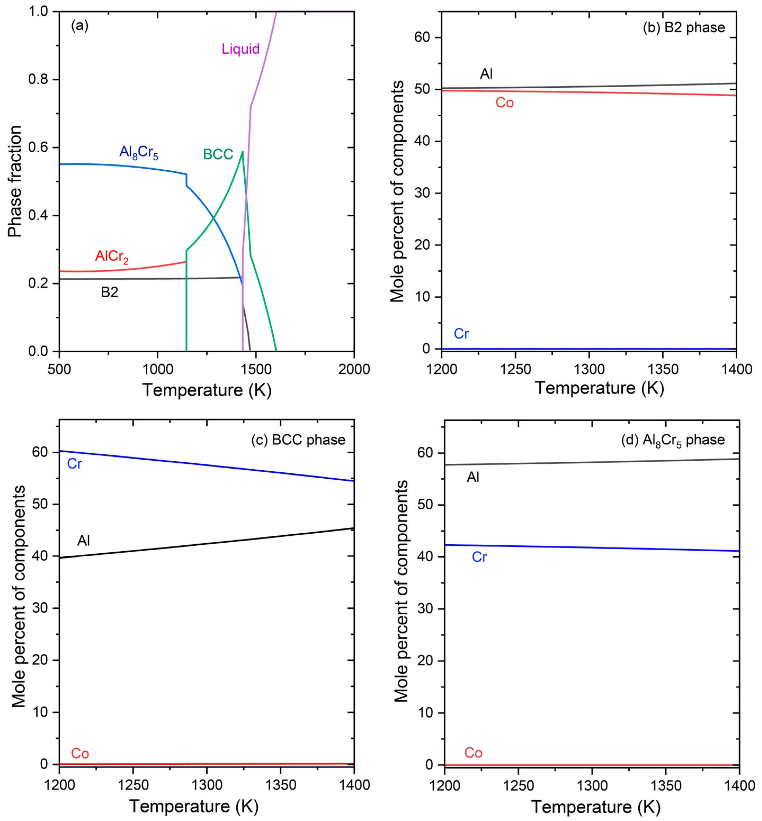
To analyze the SEM-EDS results, we calculated the equilibrium phase diagram and the chemical compositions of the constitutive equilibrium phases of the Al50Cr38Co12 alloy using Thermo-Calc. Figure 3a demonstrates that this alloy solidifies in a BCC phase, a B2 phase, and an intermetallic Al8Cr5 phase; at low temperatures, the BCC phase is replaced by an intermetallic AlCr2 compound. The corresponding chemical compositions of the B2, BCC, and Al8Cr5 phases in the temperature range of 1200 K to 1400 K are shown in Figure 3b–d. In the equilibrium state, the B2 phase is marked by a Co-enriched composition with notable Cr depletion. In contrast, the BCC phase displays a Cr-enriched composition and is largely depleted in Co. Both the BCC and Al8Cr5 phases are depleted in Co, although they contain different fractions of Cr.
Figure 3.
Calculated equilibrium phase fractions panel (a), and the chemical compositions of the constitutive equilibrium B2, BCC, and Al8Cr5 phases panels (b–d) for Al50Cr38Co12 alloy in the temperature range of 1200 K to 1400 K. The calculations were performed with Thermo-Calc software.
A comparison of the chemical compositions of various zones in the SEM images (Table 1) with the equilibrium phase fractions from the Thermo-Calc results (Figure 3) indicates that the bright regions of the as-cast sample are approximately representative of the B2 phase, enriched in Co. The dark regions may correspond to the BCC and the Al8Cr5 phases. Although the equilibrium condition indicates the absence of Co in the BCC phase and Cr in the B2 phase, the as-cast alloy contains 7.5 at.% Co in the BCC phase and 20.2 at.% Cr in the B2 phase. The deviation in chemical compositions and phase fractions is attributed to the non-equilibrium conditions during arc melting. A study [15] on the Al-Cr-Co system with a nominal composition of Al50Cr42Co8 demonstrated that this alloy solidifies into a mixture of ternary phases (B2, BCC, and Al8Cr5), with chemical compositions similar to those observed in our study. Comparing these results with Thermo-Calc predictions indicates that the intermetallic Al8Cr5 phase in the prepared alloy contains a small fraction of Co and deviates from stoichiometry. Quantitative analysis of SEM images reveals a reduction in the B2 phase fraction from 54% to 27% by annealing, showing much better agreement with the Thermo-Calc predictions.
To investigate phase separation behavior in the Al50Cr50−xCox (x = 0–50) alloy system, we used the EMTO method and calculated the change in Gibbs free energy (∆G) as a function of Co content at three temperatures (300 K, 1000 K, and 1600 K) for the B2 and BCC structures. As shown in Figure 4, for the B2 phase, ∆G was evaluated in three distinct magnetic states: AFM, FM, and PM. Based on the stability of the B2 phase in various magnetic states at 300 K, the AFM state has the lowest energy below 22 at.% Co, indicating its thermodynamic stability. However, above 22 at.% Co, the FM state has the lowest energy, consistent with the previous study by Aihemaiti et al. [10]. For the BCC phase, only the NM state was considered, as the total energies were found to be the same for all magnetic states (i.e., it is non-magnetic). At elevated temperatures (Figure 4b,c), which are close to synthesis conditions, the BCC phase is thermodynamically stable at low Co content, whereas the B2 phase is stable at higher Co concentrations. As a result, at intermediate compositions, the alloy exhibits a thermodynamic tendency to phase separate into a Cr-rich BCC phase and a Co-rich B2 phase. We should notice that even at 1600 K, ∆G curves for the B2 phase remain concave, suggesting miscibility between the Co-rich and Cr-rich ends. The present theoretical results are fully consistent with our experimental findings. As demonstrated in the experiments, annealing allows the system to approach the equilibrium condition, resulting in an increased fraction of Co in the B2 phase and a higher fraction of Cr in the BCC phase. Prolonged annealing thus drives the system toward a two-phase equilibrium state consisting of AlCr-rich BCC and AlCo-rich B2 phases.
Figure 4.
The change in Gibbs free energy (∆G) as a function of Co content (0–50 at.%) for the Al50Cr50−xCox (x = 0–50) alloy at (a) 300 K, (b) 1000 K, and (c) 1600 K. ΔG of the B2 phase was evaluated in the ferromagnetic (FM), paramagnetic (PM), and antiferromagnetic (AFM) states, while, for the BCC phase, it was assessed in the non-magnetic (NM) state.
3.3. Magnetic Analysis of the Al50Cr38Co12 Alloys
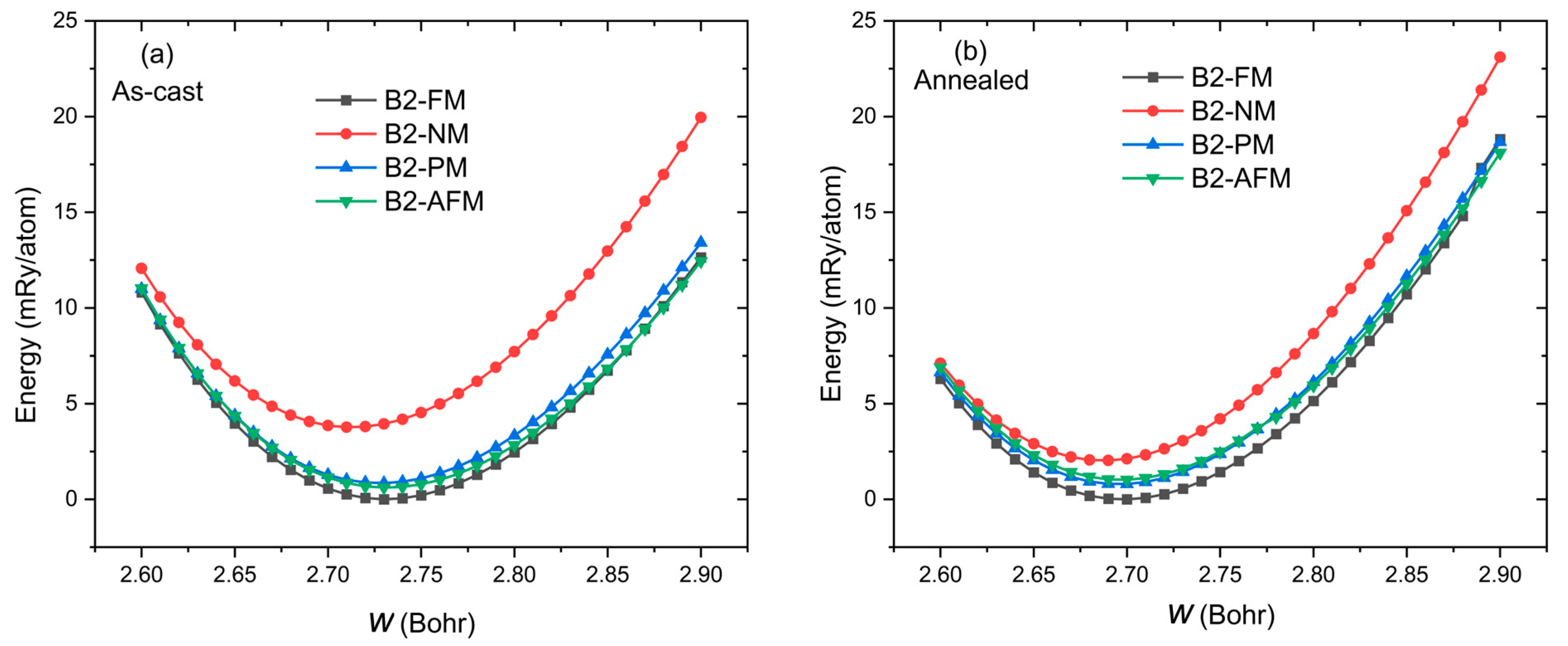
Figure 5 shows the total energy per atom of the B2 phase in FM, PM, NM, and AFM magnetic states, based on the experimental chemical composition determined by SEM-EDS (Table 1), as a function of the Wigner–Seitz radius (w), for both as-cast and annealed alloys. Notably, the B2 phase is the most stable phase in the ferromagnetic state. This stability can be attributed to differences in the Co content between the measured compositions of the B2 phase in the as-cast and annealed alloys compared to the nominal composition. It should be noted that the recent Monte-Carlo (MC) simulations based on ab initio exchange interactions [24] predict a low-temperature spin-glass type magnetic state above 20 at.% Co, in contrast to the present experimental finding and DFT results assuming collinear or disordered magnetic states. The reason for this discrepancy could rely on the details of the magnetic exchange interactions and in the MC simulations based on a simple Heisenberg Hamiltonian.
Figure 5.
Total energy as a function of Wigner–Seitz radius (w) for the B2 phase for the (a) as-cast and (b) annealed Al50Cr38Co12 alloy based on the measured chemical compositions in Table 1. Energies are shown for the ferromagnetic (FM), paramagnetic (PM), non-magnetic (NM), and antiferromagnetic (AFM) states and relative to the FM energy minimum.
Table 2 presents the calculated TC and magnetic moment for the B2 and BCC phases in the as-cast and annealed conditions. It should be noted that the BCC phase is non-magnetic in both as-cast and annealed conditions. According to a previous study, the Al8Cr5 intermetallic compound is non-magnetic [25] and has not been considered in our calculations. The calculated TC of the B2 phase are 170 K and 163 K for the as-cast and annealed alloys, respectively. The total magnetic moment per atom for the B2 phase is 0.47 μB/atom for the as-cast alloy, whereas annealing of the alloy decreases it to 0.26 μB/atom. The local magnetic moments of the elements in the B2 structure indicate that the contributions from Al and Co atoms are negligible and can be omitted. In contrast, Cr atoms contribute the most to the total magnetic moment, playing an important role in ferromagnetic behavior of the B2 phase. In the annealed alloy, the fraction of Cr (16.1 at.%) is lower in comparison with that in the as-cast alloy (20.2 at.%), which leads to a reduced magnetization of the alloy. In addition, the atomic distribution in the two sublattices of the B2 phase differs in the as-cast and the annealed alloys due to the different fraction of Al. According to our DFT results, when the Al sublattice is not fully occupied, Cr atoms substitute into this sublattice. In this configuration, the magnetic moments of Cr atoms occupying the Al-rich sublattice align antiparallel to those Cr atoms in the Co-rich sublattice, which decreases the total magnetic moment, leading to a transition from ferromagnetic to ferrimagnetic behavior, thus reducing the overall magnetization.
Table 2.
The calculated magnetic transition temperature (TC) and magnetic moment for the as-cast and annealed B2 phase based on the SEM-EDS compositions.
Figure 6 demonstrates the measured hysteresis loops at room temperature and at the boiling point of liquid nitrogen for the as-cast and annealed Al50Cr38Co12 alloy. The paramagnetic contribution is dominant at room temperature for both the as-cast and annealed alloys. The magnetization versus applied magnetic field (M-H) plot for the as-cast state at liquid nitrogen (LN2) presents a ferromagnetic contribution at maximum magnetic fields, indicating that the Curie temperature is above 77 K. For the annealed alloy, the magnetization is very weak even at liquid nitrogen conditions, affirming the lower fraction of the B2 phase with lower Cr content in the annealed alloy. The experimental TC for the as-cast alloy was determined by assuming a Curie-Weiss behavior in the paramagnetic region, which shows a linear inverse susceptibility with temperature (Figure 6c) with a TC of 260 K. In the authors’ opinions, the deviation between the experimental TC and the theoretically predicted TC (170 K) is acceptable, as the mean-field approximation (MFA) neglects spin fluctuations and short-range magnetic interactions.
Figure 6.
Magnetization versus applied field for the (a) as-cast and (b) annealed Al50Cr38Co12 alloy at room temperature and at the boiling point of liquid nitrogen. (c) The inverse susceptibility vs. temperature for the as-cast Al50Cr38Co12 alloy, to determine the experimental Curie point by assuming a Curie-Weiss behavior in the paramagnetic (PM) state.
By using the rule of mixture, , where and are the volume fraction and the magnetization of phase i, and ignoring the contribution from the BCC and Al8Cr5 phases, the normalized magnetization of the B2 phase in the as-cast and annealed alloys is estimated to be approximately 14.8 Am2kg−1 (0.11 μB/atom) and 5.3 Am2kg−1 (0.04 μB/atom), respectively. These measured magnetizations show the same trend as those predicted by theory. Namely, the annealed sample turns out to be less magnetic than the as-cast sample in both DFT and experiment. On the other hand, experimental magnetizations are significantly smaller than the DFT counterparts (see Table 2). Several factors can contribute to the discrepancy between the experimental and DFT results, including intrinsic DFT errors (like the exchange-correlation approximation) or the volume and temperature dependence of the magnetization. However, perhaps the two most important effects are the lack of full magnetic saturation in the experimental measurements, and the possibility of a partial low-temperature magnetic disorder as suggested by a recent Monte-Carlo simulations [24]. We notice that the present DFT calculations assume a fully ferromagnetic state, i.e., neglecting any low-temperature magnetic disorder.
Although we have successfully synthesized a ferromagnetic B2 phase in the Al-Cr-Co system, its magnetic properties are highly sensitive to the chemical composition and phase fractions. This alloy system shows potential for magnetocaloric applications near room temperature, despite exhibiting a relatively low magnetic moment. This is especially the case if one considers the potential metamagnetic transition between the competing AFM and FM states of the Co-doped AlCr system in the B2 structure. Furthermore, a B2 phase with a higher Cr content could potentially display stronger ferromagnetic behavior, although synthesizing a single-phase B2 with high Cr fraction remains a significant challenge. We expect that further understanding of the phase stability and the magnetic behavior in Al-Cr-Co alloys would be valuable for the development of new magnetic materials.
4. Conclusions
In this study, we investigated the effect of Co additions on phase stability and magnetic properties in the Al-Cr system, aiming to synthesize a ferromagnetic B2 structure. The Al50Cr38Co12 alloy solidified into a distinct combination of Co-enriched B2, Cr-enriched BCC, and Al8Cr5 intermetallic phases. Our theoretical analysis revealed that the ferromagnetic properties of the alloy are primarily due to the B2 phase; Co played a critical role in stabilizing the B2 phase and Cr was critical for creating the FM state. SEM-EDS analysis showed that Cr depletion in the B2 phase during annealing, which led to a reduction in ferromagnetic behavior, consistent with thermodynamic predictions from DFT and Thermo-Calc.
Author Contributions
Conceptualization, E.D. and L.V.; Methodology, V.S.; Investigation, E.D.; Writing—original draft, E.D.; Formal analysis, H.A.; Writing—review and editing, H.A., V.S. and L.V.; Supervision, L.V.; Funding acquisition, L.V. All authors have read and agreed to the published version of the manuscript.
Funding
This work was supported by the Swedish Foundation for Strategic Research (SM23-0041), the Wallenberg Initiative Materials Science for Sustainability (WISE) funded by the Knut and Alice Wallenberg Foundation (KAW), the Formas-a Swedish Research Council for Sustainable Development (2023-00543), and the Carl Tryggers Foundation (CTS 22:1970). The computations were enabled by resources provided by the National Academic Infrastructure for Supercomputing in Sweden (NAISS) at the National Supercomputing Centre (NSC, Tetralith cluster), partially funded by the Swedish Research Council through Grant Agreement No. 2022-06725.
Institutional Review Board Statement
Not applicable.
Informed Consent Statement
Not applicable.
Data Availability Statement
The original contributions presented in the study are included in the article. Further inquiries can be directed to the corresponding authors.
Conflicts of Interest
The authors declare no conflicts of interest.
Abbreviations
The following abbreviations are used in this manuscript:
| AFM | Antiferromagnetic |
| FM | Ferromagnetic |
| NM | Non-magnetic |
| PM | Paramagnetic |
| BCC | Body-centered cubic |
| SC | Simple cubic |
| DFT | Density functional theory |
| XRD | X-ray diffraction |
| SEM | Scanning electron microscopy |
| EDS | Energy-Dispersive Spectroscopy |
| LN2 | Liquid Nitrogen |
| TC | Curie temperature |
References
- Lengyel, A.; Gracheva, M.A.; Chumakov, A.I.; Bessas, D.; Sajti, S.; Deák, A.; Zolnai, Z.; Radnóczi, G.Z.; Horvath, Z.E.; Hegedűs, G.; et al. Investigation of metamagnetic transition in nanosized FeRh structures. Vacuum 2025, 240, 114533. [Google Scholar] [CrossRef]
- Qiao, K.; Zuo, S. Direct observation of the phase transition in FeRh alloy under temperature cycling. J. Magn. Magn. Mater. 2024, 601, 172178. [Google Scholar] [CrossRef]
- Chirkova, A.; Skokov, K.P.; Schultz, L.; Baranov, N.V.; Gutfleisch, O.; Woodcock, T.G. Giant adiabatic temperature change in FeRh alloys evidenced by direct measurements under cyclic conditions. Acta Mater. 2016, 106, 15–21. [Google Scholar] [CrossRef]
- Vieira, R.M.; Eriksson, O.; Bergman, A.; Herper, H.C. High-Throughput Compatible Approach for Entropy Estimation in Magnetocaloric Materials: FeRh as a Test Case. J. Alloys Compd. 2021, 857, 157811. [Google Scholar] [CrossRef]
- Fawcett, E. Spin-density-wave antiferromagnetism in chromium. Rev. Mod. Phys. 1988, 60, 209–283. [Google Scholar] [CrossRef]
- Kvashnin, Y.O.; Cardias, R.; Szilva, A.; Di Marco, I.; Katsnelson, M.I.; Lichtenstein, A.I.; Nordström, L.; Klautau, A.B.; Eriksson, O. Microscopic origin of Heisenberg and non-Heisenberg exchange interactions in ferromagnetic bcc Fe. Phys. Rev. Lett. 2016, 116, 217202. [Google Scholar] [CrossRef]
- Cardias, R.; Szilva, A.; Bergman, A.; Di Marco, I.; Katsnelson, M.I.; Lichtenstein, A.I.; Nordström, L.; Klautau, A.B.; Eriksson, O.; Kvashnin, Y.O. The Bethe–Slater curve revisited: New insights from electronic structure theory. Sci. Rep. 2017, 7, 4058. [Google Scholar] [CrossRef]
- Kummamuru, R.K.; Soh, Y.A. Electrical effects of spin density wave quantization and magnetic domain walls in chromium. Nature 2008, 452, 859–863. [Google Scholar] [CrossRef]
- Zelený, M.; Friák, M.; Šob, M. Ab initio study of energetics and magnetism of Fe, Co, and Ni along the trigonal deformation path. Phys. Rev. B 2011, 83, 184424. [Google Scholar] [CrossRef]
- Aihemaiti, H.; Dastanpour, E.; Bergman, A.; Vitos, L. First-principles study of phase stability and magnetic properties of B2 AlCr, AlMn, AlFe, AlCo and AlNi aluminides. arXiv 2025, arXiv:2510.22013. [Google Scholar]
- Helander, T.; Tolochko, O. An experimental investigation of possible B2-ordering in the Al–Cr system. J. Phase Equilibria 1999, 20, 57–60. [Google Scholar] [CrossRef]
- Dastanpour, E.; Huang, S.; Schönecker, S.; Mao, H.; Ström, V.; Eriksson, O.; Varga, L.K.; Vitos, L. On the Structural and Magnetic Properties of Al-Rich High Entropy Alloys: A Joint Experimental-Theoretical Study. J. Phys. D Appl. Phys. 2023, 56, 015003. [Google Scholar] [CrossRef]
- Dastanpour, E.; Huang, S.; Ström, V.; Varga, L.K.; Vitos, L.; Schönecker, S. An Assessment of the Al50Cr21-XMn17+xCo12 (X=0, 4, 8) High-Entropy Alloys for Magnetocaloric Refrigeration Application. J. Alloys Compd. 2024, 984, 173977. [Google Scholar] [CrossRef]
- Dastanpour, E.; Huang, S.; Schönecker, S.; Ström, V.; Varga, L.K.; Eriksson, O.; Vitos, L. Magnetocaloric Properties of Ternary Al-Mn-Co Alloys. J. Alloys Compd. 2025, 1036, 182006. [Google Scholar] [CrossRef]
- Korniyenko, K.Y.; Kriklya, L.S.; Petyukh, V.M.; Tikhonova, I.B.; Sobolev, V.B.; Samelyuk, A.V. Phase Equilibria in the Al-Cr-Co System in the Range of Compositions 0–70 at.% Al. J. Phase Equilibria Diffus. 2021, 42, 118–141. [Google Scholar] [CrossRef]
- Andersson, J.O.; Helander, T.; Höglund, L.; Shi, P.; Sundman, B. Thermo-Calc & DICTRA, Computational Tools for Materials Science. Calphad 2002, 26, 273–312. [Google Scholar] [CrossRef]
- Kohn, W.; Sham, L.J. Self-Consistent Equations Including Exchange and Correlation Effects. Phys. Rev. 1965, 140, 1133–1138. [Google Scholar] [CrossRef]
- Vitos, L. Computational Quantum Mechanics for Materials Engineering; Springer: London, UK, 2007. [Google Scholar]
- Vitos, L. Total-Energy Method Based on the Exact Muffin-Tin Orbitals Theory. Phys. Rev. B Condens. Matter Mater. Phys. 2001, 64, 014107. [Google Scholar] [CrossRef]
- Perdew, J.P.; Zunger, A. Self-Interaction Correction to Density-Functional Approximations for Many-Electron Systems. Phys. Rev. B 1981, 23, 5048–5079. [Google Scholar] [CrossRef]
- Soven, P. Coherent-Potential Model of Substitutional Disordered Alloys. Phys. Rev. 1967, 156, 809–813. [Google Scholar] [CrossRef]
- Gyorffy, B.L. Coherent-Potential Approximation for a Nonoverlapping-Muffin-Tin-Potential Model of Random Substitutional Alloys. Phys. Rev. B 1972, 5, 2382–2384. [Google Scholar] [CrossRef]
- Gyorffy, B.L.; Pindor, A.J.; Staunton, J.; Stocks, G.M.; Winter, H. A First-Principles Theory of Ferromagnetic Phase Transitions in Metals. J. Phys. F Met. Phys. 1985, 15, 1337–1386. [Google Scholar] [CrossRef]
- Aihemaiti, H.; Dastanpour, E.; Chaturvedi, S.; Huang, S.; Bergman, A.; Vitos, L. Magnetic transition in B2 Al-Cr-Co alloys. arXiv 2025, arXiv:2510.21982. [Google Scholar]
- Köster, W.; Wachtel, E.; Grube, K. Structure and magnetic properties of aluminum-chromium alloys. Int. J. Mater. Res. 1963, 54, 393–401. [Google Scholar] [CrossRef]
Disclaimer/Publisher’s Note: The statements, opinions and data contained in all publications are solely those of the individual author(s) and contributor(s) and not of MDPI and/or the editor(s). MDPI and/or the editor(s) disclaim responsibility for any injury to people or property resulting from any ideas, methods, instructions or products referred to in the content. |
© 2025 by the authors. Licensee MDPI, Basel, Switzerland. This article is an open access article distributed under the terms and conditions of the Creative Commons Attribution (CC BY) license (https://creativecommons.org/licenses/by/4.0/).





