Sign in to use this feature.

Years

Between: -

Subjects

remove_circle_outline
remove_circle_outline
remove_circle_outline
remove_circle_outline
remove_circle_outline
remove_circle_outline
remove_circle_outline
remove_circle_outline
remove_circle_outline

Journals

remove_circle_outline
remove_circle_outline
remove_circle_outline
remove_circle_outline
remove_circle_outline
remove_circle_outline
remove_circle_outline
remove_circle_outline
remove_circle_outline
remove_circle_outline
remove_circle_outline
remove_circle_outline
remove_circle_outline
remove_circle_outline
remove_circle_outline
remove_circle_outline
remove_circle_outline
remove_circle_outline
remove_circle_outline
remove_circle_outline
remove_circle_outline
remove_circle_outline

Article Types

Countries / Regions

remove_circle_outline
remove_circle_outline
remove_circle_outline
remove_circle_outline
remove_circle_outline
remove_circle_outline

Search Results (3,868)

Search Parameters:
Keywords = measurement of temperature distribution

Order results
Result details
Results per page
Select all
Export citation of selected articles as:
17 pages, 3888 KB  
Article
Laser-Induced Phosphorescence Thermometry for Dynamic Temperature Measurement of an Effusion-Cooled Aero-Engine Model Combustor Liner Under Wide-Range Swirling Premixed Flames
by Yu Huang, Siyu Liu, Xiaoqi Wang, Tingjie Zhao, Wubin Weng, Zhihua Wang, Yong He and Zhihua Wang
Energies 2026, 19(3), 805; https://doi.org/10.3390/en19030805 - 3 Feb 2026
Abstract
The liner temperature distribution of an aero-engine combustor is a critical parameter for evaluating its cooling effectiveness. It provides essential guidance for designing the combustor cooling flow field, assessing combustion performance, identifying critical regions, and predicting service life. However, current research on surface [...] Read more.
The liner temperature distribution of an aero-engine combustor is a critical parameter for evaluating its cooling effectiveness. It provides essential guidance for designing the combustor cooling flow field, assessing combustion performance, identifying critical regions, and predicting service life. However, current research on surface temperature field measurements in real or model aero-engine combustors remains limited. Existing studies focus primarily on the liner temperature measurement under near-steady-state conditions, with less attention to its dynamic changes. This study employs Laser-Induced Phosphorescence (LIP) thermometry to measure the effusion-cooled liner temperature field of an aero-engine model combustor under various CH4/Air swirling premixed flame conditions and varying blowing ratios. Based on the geometric characteristics of the effusion-cooled liner, an optimization method for matching phosphorescence images of different wavelengths is proposed. This enhances the applicability of phosphorescence intensity ratio-based LIP thermometry in high-vibration environments. The study specifically focuses on the dynamic response of LIP thermometry for monitoring combustor liner temperature. The instantaneous effects of blowing ratio variations on liner temperature rise rates were investigated. Additionally, the influence mechanisms of a broad range of combustion conditions and the blowing ratios on the combustor liner temperature distribution and cooling effectiveness were examined. These findings provide theoretical and technical support for cooling design and dynamic liner temperature field measurement in real aero-engine combustors. Full article
Show Figures

Figure 1

29 pages, 2849 KB  
Article
From Physical to Virtual Sensors: VSG-SGL for Reliable and Cost-Efficient Environmental Monitoring
by Murad Ali Khan, Qazi Waqas Khan, Ji-Eun Kim, SeungMyeong Jeong, Il-yeop Ahn and Do-Hyeun Kim
Automation 2026, 7(1), 27; https://doi.org/10.3390/automation7010027 - 3 Feb 2026
Abstract
Reliable environmental monitoring in remote or sparsely instrumented regions is hindered by the cost, maintenance demands, and inaccessibility of dense physical sensor deployments. To address these challenges, this study introduces VSG-SGL, a unified virtual sensor generation framework that integrates Sparse Gaussian Process Regression [...] Read more.
Reliable environmental monitoring in remote or sparsely instrumented regions is hindered by the cost, maintenance demands, and inaccessibility of dense physical sensor deployments. To address these challenges, this study introduces VSG-SGL, a unified virtual sensor generation framework that integrates Sparse Gaussian Process Regression (SGPR) and Bayesian Ridge Regression (BRR) with deep generative learning via Variational Autoencoders (VAE) and Conditional Tabular GANs (CTGAN). Real meteorological datasets from multiple South Korean cities were preprocessed using thresholding and Isolation Forest anomaly detection and evaluated using distributional alignment (KDE) and sequence-learning validation with BiLSTM and BiGRU models. Experimental findings demonstrate that VAE-augmented virtual sensors provide the most stable and reliable performance. For temperature, VAE maintains predictive errors close to those of BRR and SGPR, reflecting the already well-modeled dynamics of this variable. In contrast, humidity and wind-related variables exhibit measurable gains with VAE; for example, SGPR-based wind speed MAE improves from 0.1848 to 0.1604, while BRR-based wind direction RMSE decreases from 0.1842 to 0.1726. CTGAN augmentation, however, frequently increases error, particularly for humidity and wind speed. Overall, the results establish VAE-enhanced VSG-SGL virtual sensors as a cost-effective and accurate alternative in scenarios where physical sensing is limited or impractical. Full article
21 pages, 2769 KB  
Article
Study of a University Campus Smart Microgrid That Contains Photovoltaics and Battery Storage with Zero Feed-In Operation
by Panagiotis Madouros, Yiannis Katsigiannis, Evangelos Pompodakis, Emmanuel Karapidakis and George Stavrakakis
Solar 2026, 6(1), 8; https://doi.org/10.3390/solar6010008 - 3 Feb 2026
Abstract
Smart microgrids are localized energy systems that integrate distributed energy resources, such as photovoltaics (PVs) and battery storage, to optimize energy use, enhance reliability, and minimize environmental impacts. This paper investigates the operation of a smart microgrid installed at the Hellenic Mediterranean University [...] Read more.
Smart microgrids are localized energy systems that integrate distributed energy resources, such as photovoltaics (PVs) and battery storage, to optimize energy use, enhance reliability, and minimize environmental impacts. This paper investigates the operation of a smart microgrid installed at the Hellenic Mediterranean University (HMU) campus in Heraklion, Crete, Greece. The system, consisting of PVs and battery storage, operates under a zero feed-in scheme, which maximizes on-site self-consumption while preventing electricity exports to the main grid. With increasing PV penetration and growing grid congestion, this scheme is an increasingly relevant strategy for microgrid operations, including university campuses. A properly sized PV–battery microgrid operating under zero feed-in operation can remain financially viable over its lifetime, while additionally it can achieve significant environmental benefits. The study performed at the HMU Campus utilizes measured hourly data of load demand, solar irradiance, and ambient temperature, while PV and battery components were modeled based on real technical specifications. The study evaluates the system using financial and environmental performance metrics, specifically net present value (NPV) and annual greenhouse gas (GHG) emission reductions, complemented by sensitivity analyses for battery technology (lead–carbon and lithium-ion), load demand levels, varying electricity prices, and projected reductions in lithium-ion battery costs over the coming years. The findings indicate that the microgrid can substantially reduce grid electricity consumption, achieving annual GHG emission reductions exceeding 600 tons of CO2. From a financial perspective, the optimal configuration consisting of a 760 kWp PV array paired with a 1250 kWh lead–carbon battery system provides a system autonomy of 46% and achieves an NPV of EUR 1.41 million over a 25-year horizon. Higher load demands and electricity prices increase the NPV of the optimal system, whereas lower load demands enhance the system’s autonomy. The anticipated reduction in lithium-ion battery costs over the next 5–10 years is expected to provide improved financial results compared to the base-case scenario. These results highlight the techno-economic viability of zero feed-in microgrids and provide valuable insights for the planning and deployment of similar systems in regions with increasing renewable penetration and grid constraints. Full article
(This article belongs to the Special Issue Efficient and Reliable Solar Photovoltaic Systems: 2nd Edition)
Show Figures

Figure 1

11 pages, 5584 KB  
Article
Physicochemical Properties of Anopheles Mosquito Larval Habitats in Nouakchott, Mauritania
by Mohamed Haidy Massa, Osman Abdillahi Guedi, Nicolas Gomez, Ali Ould Mohamed Salem Boukhary, Sébastien Briolant and Mohamed Aly Ould Lemrabott
Trop. Med. Infect. Dis. 2026, 11(2), 42; https://doi.org/10.3390/tropicalmed11020042 - 3 Feb 2026
Abstract
Malaria remains one of the main public health problems in Mauritania, and it is essential to identify the factors that determine the distribution and productivity of Anopheles breeding sites in order to develop more effective control strategies. A longitudinal survey with repeated measurements [...] Read more.
Malaria remains one of the main public health problems in Mauritania, and it is essential to identify the factors that determine the distribution and productivity of Anopheles breeding sites in order to develop more effective control strategies. A longitudinal survey with repeated measurements was conducted in Nouakchott between May 2023 and April 2024, in order to examine the factors influencing the distribution and productivity of Anopheles larval habitats. The larvae were collected by immersion in 60 water points, once a month during the dry season and twice a month during the rainy season, for a total of 294 observations. The physical and chemical characteristics of the sites were also measured. Logistic regression analyses with random effects showed that the presence of Culex and Aedes larvae, pH, and temperature were statistically significantly associated with positive water collection for Anopheles larvae (aOR = 3.03, 95%CI [1.14–8.07], p-value = 0.026; aOR = 0.18, 95%CI [0.05–0.60], p-value = 0.006; aOR = 3.17, 95%CI [1.32–7.61], p-value = 0.010 and aOR = 5.95, 95%CI [2.09–16.92], p-value < 0.001, respectively). Only Anopheles multicolor and An. arabiensis were present in Nouakchott. Our results could help health authorities by guiding the destruction of breeding sites with biological larvicides or physical elimination of peridomestic habitats. Full article
(This article belongs to the Section Vector-Borne Diseases)
Show Figures

Figure 1

17 pages, 2413 KB  
Article
Conservation Measures and Future Perspectives for Europe’s Most Threatened Frog: The Action Plan for Karpathos Water Frog (Pelophylax cerigensis)
by Apostolos Christopoulos, Vassia Spaneli, Dino Protopappas and Panayiotis Pafilis
Biology 2026, 15(3), 273; https://doi.org/10.3390/biology15030273 - 3 Feb 2026
Abstract
Until recently, the Karpathos water frog (Pelophylax cerigensis) was considered endemic to Karpathos Island (Greece) and has recently been reclassified by the IUCN as Endangered (EN), having been previously assessed as Critically Endangered (CR). The species faces severe threats primarily associated [...] Read more.
Until recently, the Karpathos water frog (Pelophylax cerigensis) was considered endemic to Karpathos Island (Greece) and has recently been reclassified by the IUCN as Endangered (EN), having been previously assessed as Critically Endangered (CR). The species faces severe threats primarily associated with the scarcity of freshwater bodies in the southern Aegean Sea. Over the past decade, demographic assessments have revealed a marked population decline, driven by the intensifying effects of climate change, including reduced rainfall, and increasing summer temperatures. In addition, the few natural ponds that persist during the dry summer months are often shared with the Levantine freshwater crab (Potamon potamios), resulting in increased frog mortality due to predation. Despite these challenges, recent developments provide cautious optimism. These include the construction of a dam in southern Karpathos and the taxonomic reassessment of the water frog population on the neighboring island of Rhodes as conspecific with P. cerigensis. In response to the species’ precarious status, the Hellenic Herpetological Society designed and implemented a National Action Plan aimed at the protection and conservation of the Karpathos water frog. The Action Plan includes a series of targeted mitigation measures, such as the construction of artificial ponds to retain water during the summer, as well as a hydrological study addressing the seasonal drying of the ecologically important Eleimonitria spring. A key component of the Action Plan involves education and outreach initiatives targeting primary school students, local residents, and visitors, highlighting the frog’s ecological importance and conservation needs. Informational brochures will be distributed across the island to raise awareness of the species’ conservation status and the importance of safeguarding its habitat. The implementation of this Action Plan aims to secure the long-term survival of the Karpathos water frog and to strengthen integrated conservation efforts across its extremely limited range. Full article
Show Figures

Figure 1

26 pages, 11934 KB  
Article
Vegetation Greening Driven by Warming and Humidification Trends in the Upper Reaches of the Irtysh River
by Honghua Cao, Lu Li, Hongfan Xu, Yuting Fan, Huaming Shang, Li Qin and Heli Zhang
Remote Sens. 2026, 18(3), 482; https://doi.org/10.3390/rs18030482 - 2 Feb 2026
Abstract
To effectively manage and conserve ecosystems, it is crucial to understand how vegetation changes over time and space and what drives these changes. The Normalized Difference Vegetation Index (NDVI) is a key measure of plant growth that is highly sensitive to climate variations. [...] Read more.
To effectively manage and conserve ecosystems, it is crucial to understand how vegetation changes over time and space and what drives these changes. The Normalized Difference Vegetation Index (NDVI) is a key measure of plant growth that is highly sensitive to climate variations. Despite its importance, there has been limited research on vegetation changes in the upper sections of the Irtysh River. In our study, we combined various datasets, including NDVI, temperature, precipitation, soil moisture, elevation, and land cover. We conducted several analyses, such as Theil–Sen median trend analysis, Mann–Kendall trend and mutation tests, partial correlation analysis, the geographical detector model, and wavelet analysis, to reveal the region’s pronounced warming and moistening trend in recent years, the response relationship between NDVI and the climate, and the primary drivers influencing NDVI variations. We also delved into the spatiotemporal evolution of NDVI and identified key factors driving these changes by analyzing atmospheric circulation patterns. Our main findings are as follows: (1) Between 1901 and 2022, the area’s temperature rose by 0.018 °C/a, with a noticeable increase in the rate of warming around 1990; precipitation increased by 0.292 mm/a. From 1950 to 2022, soil moisture exhibited a steady increase of 0.0002 m3 m−3/a. Spatial trend distributions indicated that increasing trends in temperature and precipitation were evident across the entire region, while trends in soil moisture showed significant spatial variation. (2) During 1982 to 2022, the vegetation greening trend was 0.002/10a, indicating a gradual improvement in vegetation growth in the study area. The spatial distribution of monthly average NDVI values revealed that the main growing season of vegetation spanned April to November, with peak NDVI values occurring in June–August. Combined with serial partial correlation and spatial partial correlation analysis, temperatures during April to May effectively promoted the germination and growth of vegetation, while soil moisture accumulation from June to August (or January to August) effectively met the water demand of vegetation during its growth process, with a significant promoting effect. Geographical detector results demonstrate that temperature exhibits the strongest explanatory power for NDVI variation, whereas land cover has the weakest. The synergistic promotional effect of multiple climatic factors is highly pronounced. (3) Wavelet analysis revealed that the periodic characteristics of NDVI and climate variables over a 2–15-year timescale may have been associated with the impacts of atmospheric circulation. Taking NDVI and climatic factors from June to August as an example, before 2000, temperature was the dominant influencing factor, followed by precipitation and soil moisture; after 2000, precipitation and soil moisture became the primary drivers. The North Atlantic Oscillation (NAO) and Arctic Oscillation (AO) were the primary atmospheric circulation patterns influencing vegetation variability in the region. Their effects were reflected in the inverse relationship observed between NAO/AO indices and NDVI, with typical phases of high and low NDVI closely corresponding to shifts in NAO and AO activity. This study helps us to understand how plants have been changing in the upper parts of the Irtysh River. These insights are critical for guiding efforts to develop the area in a way that is sustainable and beneficial for the environment. Full article
Show Figures

Figure 1

24 pages, 2544 KB  
Article
Perspectives of Machine Learning for Ligand-Field Analyses in Lanthanide-Based Single Molecule Magnets
by Zayan Ahsan Ali, Preeti Tewatia and Oliver Waldmann
Magnetochemistry 2026, 12(2), 19; https://doi.org/10.3390/magnetochemistry12020019 - 2 Feb 2026
Viewed by 19
Abstract
Lanthanide-based single-molecule magnets are promising candidates for potential applications. Their magnetism is governed by ligand-field splittings, which may require up to 27 ligand-field parameters for accurate modeling. Determining these parameters reliably from measured data is a major challenge, for which machine learning approaches [...] Read more.
Lanthanide-based single-molecule magnets are promising candidates for potential applications. Their magnetism is governed by ligand-field splittings, which may require up to 27 ligand-field parameters for accurate modeling. Determining these parameters reliably from measured data is a major challenge, for which machine learning approaches offer promising solutions. We provide an overview of these approaches and present our perspective on addressing the inverse problem relating experimental data to ligand-field parameters. Previously, a machine learning architecture combining a variational autoencoder (VAE) and an invertible neural network (INN) showed promise for analyzing temperature-dependent magnetic susceptibility data. In this work, the VAE-INN model is extended through data augmentation to enhance its tolerance to common experimental inaccuracies. Focusing on second-order ligand-field parameters, diamagnetic and molar-mass errors are incorporated by augmenting the training dataset with experimentally motivated error distributions. Tests on simulated experimental susceptibility curves demonstrate substantially improved prediction accuracy and robustness when the distributions correspond to realistic error ranges. When applied to the experimental susceptibility curve of the complex Al2IIIEr2III, the augmented VAE–INN recovers ligand-field solutions consistent with least-squares benchmarks. The proposed data augmentation thus overcomes a key limitation, bringing the ML approach closer to practical use for higher-order ligand-field parameters. Full article
Show Figures

Graphical abstract

16 pages, 10927 KB  
Article
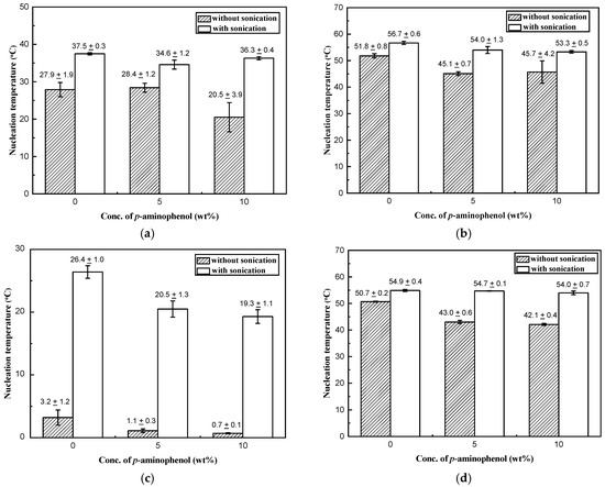
Investigate the Effects of Sonication on the Nucleation of Acetaminophen and Design the Sonoseeding Approach for Crystal Size Modification
by Syuan Chen, Ming-Thau Sheu and Chie-Shaan Su
Solids 2026, 7(1), 9; https://doi.org/10.3390/solids7010009 - 2 Feb 2026
Viewed by 27
Abstract
This study developed a sonoseeding strategy for controlling the crystal size of acetaminophen during cooling crystallization by introducing sonication into a supersaturated solution, thereby inducing nucleation. Based on the synthetic route of acetaminophen, crystallization behavior in both water and acetic acid aqueous solutions [...] Read more.
This study developed a sonoseeding strategy for controlling the crystal size of acetaminophen during cooling crystallization by introducing sonication into a supersaturated solution, thereby inducing nucleation. Based on the synthetic route of acetaminophen, crystallization behavior in both water and acetic acid aqueous solutions was investigated, along with the influence of a structurally related additive, p-aminophenol, on nucleation. To establish the sonoseeding approach, the solubility of acetaminophen in water and an aqueous solution of acetic acid, with and without the additive, was measured over a temperature range of 10–70 °C using a titration method. In parallel, the nucleation temperatures and metastable zone widths of acetaminophen were systematically determined during cooling crystallization under varying operating conditions. Results demonstrate that sonication effectively induces nucleation and significantly narrows the metastable zone width, particularly in aqueous solutions of acetic acid. Guided by the determined solubility and nucleation behavior, sonoseeding crystallization experiments were conducted at various supersaturation levels, allowing for the efficient control of acetaminophen crystal size, which ranged from 27 μm to 95 μm, with narrower particle size distributions compared to spontaneous nucleation. Furthermore, the recrystallized acetaminophen was confirmed as Form I using PXRD, DSC, and FTIR analysis. This study demonstrates that the sonoseeding approach is an efficient method for controlling crystal size during the crystallization of active pharmaceutical ingredients. Full article
Show Figures

Figure 1

9 pages, 255 KB  
Article
Quasi-Power Law Ensembles: Nonextensive Statistics or Superstatistics
by Maciej Rybczyński, Grzegorz Wilk and Zbigniew Włodarczyk
Entropy 2026, 28(2), 171; https://doi.org/10.3390/e28020171 - 2 Feb 2026
Viewed by 100
Abstract
In phenomenological studies of multiparticle production, transverse-momentum spectra measured in experiments frequently display an approximately power-law falloff, for which the Tsallis-type functional form is commonly employed as an effective parametrization. Within this framework, the emergence of such spectra is interpreted as a manifestation [...] Read more.
In phenomenological studies of multiparticle production, transverse-momentum spectra measured in experiments frequently display an approximately power-law falloff, for which the Tsallis-type functional form is commonly employed as an effective parametrization. Within this framework, the emergence of such spectra is interpreted as a manifestation of nonextensive statistical behavior. An analogous power-law structure, however, can be reproduced without explicitly postulating Tsallis statistics by assuming the presence of intrinsic fluctuations of the local temperature (T) in the hadronizing medium; in that case, the observed deviations from a purely exponential spectrum are encapsulated by the nonextensivity index (q). We show that temperature fluctuation mechanisms capable of generating Tsallis-like power-law distributions in multiparticle production necessarily induce nontrivial inter-particle correlations among the emitted hadrons. Building on this observation, we outline a strategy to discriminate fluctuations realized on an event-by-event basis from those arising predominantly through event-to-event variability. Such a separation may be particularly pertinent for the characterization of high-multiplicity (high-density) final states produced at the Large Hadron Collider. Full article
(This article belongs to the Special Issue Complexity in High-Energy Physics: A Nonadditive Entropic Perspective)
Show Figures

Figure 1

33 pages, 6167 KB  
Article
Comprehensive Insights into Friction Stir Butt Welding (FSBW) of 3D-Printed Novel Nano Chromium (Cr) Particles-Reinforced PLA Composites
by Syed Farhan Raza, Muhammad Umair Furqan, Sarmad Ali Khan, Khurram Hameed Mughal, Ehsan Ul Haq and Ahmed Murtaza Mehdi
J. Compos. Sci. 2026, 10(2), 72; https://doi.org/10.3390/jcs10020072 - 1 Feb 2026
Viewed by 142
Abstract
Additive manufacturing (AM) is a significant contributor to Industry 4.0. However, one considerable challenge is usually encountered by AM due to the bed size limitations of 3D printers, which prevent them from being adopted. An appropriate post-joining technique should be employed to address [...] Read more.
Additive manufacturing (AM) is a significant contributor to Industry 4.0. However, one considerable challenge is usually encountered by AM due to the bed size limitations of 3D printers, which prevent them from being adopted. An appropriate post-joining technique should be employed to address this issue properly. This study investigates the influence of key friction stir butt welding (FSBW) factors (FSBWFs), such as tool rotational speed (TRS), tool traverse speed (TTS), and pin profile (PP), on the weldability of 3D-printed PLA–Chromium (PC) composites (3PPCC). A filament containing 10% by weight of chromium reinforced in PLA was used to prepare samples. The material extrusion additive manufacturing process (MEX) was employed to prepare the 3D-printed PCC. A Taguchi-based design of experiments (DOE) (L9 orthogonal array) was employed to systematically assess weld hardness (WH), weld temperature (WT), weld strength (WS), and weld efficiency. As far as the 3D-printed samples were concerned, two distinct infill patterns (linear and tri-hexagonal) were also examined to evaluate their effect on joint performance; however, all other 3D printing factors were kept constant. Experimentally validated findings revealed that weld efficiency varied significantly with PP and infill pattern, with the square PP and tri-hexagonal infill pattern yielding the highest weld efficiency, i.e., 108%, with the corresponding highest WS of 30 MPa. The conical PP resulted in reduced WS. Hardness analysis demonstrated that tri-hexagonal infill patterns exhibited superior hardness retention, i.e., 46.1%, as compared to that of linear infill patterns, i.e., 34%. The highest WTs observed with conical PP were 132 °C and 118 °C for both linear and tri-hexagonal infill patterns, which were far below the melting point of PLA. The lowest WT was evaluated to be 65 °C with a tri-hexagonal infill, which is approximately equal to the glass transition temperature of PLA. Microscopic analysis using a coordinate measuring machine (CMM) indicated that optimal weld zones featured minimal void formation, directly contributing to improved weld performance. In addition, scanning electron microscopy (SEM) and energy-dispersive X-ray spectroscopy (EDX) were also performed on four deliberately selected samples to examine the microstructural features and elemental distribution in the weld zones, providing deeper insight into the correlation between morphology, chemical composition, and weld performance. Full article
(This article belongs to the Special Issue Welding and Friction Stir Processes for Composite Materials)
Show Figures

Figure 1

27 pages, 5961 KB  
Article
Experimental Study of the Effect of Surface Texture in Sliding Contacts Using Infrared Thermography
by Milan Omasta, Tomáš Knoth, Petr Šperka, Michal Hajžman, Ivan Křupka, Pavel Polach and Martin Hartl
Lubricants 2026, 14(2), 64; https://doi.org/10.3390/lubricants14020064 - 31 Jan 2026
Viewed by 99
Abstract
This study investigates the influence of surface texturing on temperature distribution in lubricated sliding contacts using infrared thermography. The work addresses the broader challenge of understanding thermal effects in conformal hydrodynamic contacts, where localized heating and viscosity variations can significantly affect tribological performance. [...] Read more.
This study investigates the influence of surface texturing on temperature distribution in lubricated sliding contacts using infrared thermography. The work addresses the broader challenge of understanding thermal effects in conformal hydrodynamic contacts, where localized heating and viscosity variations can significantly affect tribological performance. A pin-on-disc configuration was employed, featuring steel pins with laser-etched micro-dimples that slid against a sapphire disc, allowing for thermal imaging of the contact zone. A dual-bandpass filter infrared thermography technique was developed and rigorously calibrated to distinguish between the temperatures of the steel surface and the lubricant film. Friction measurements and laser-induced fluorescence were used in parallel to assess contact conditions and the behavior of the lubricant film. The results show that surface textures can alter local frictional heating and contribute to non-uniform temperature distributions, particularly in parallel contact geometries. Lubricant temperature was consistently higher than the surface temperature, highlighting the role of shear heating within the fluid film. However, within the tested parameter range, no unambiguous viscosity-wedge signature was identified beyond the dominant temperature-driven viscosity reduction captured by the in situ correction. The method provides a novel means of experimentally resolving temperature fields in sliding textured contacts, offering a valuable foundation for validating thermo-hydrodynamic models in lubricated tribological systems. Full article
(This article belongs to the Special Issue Mechanical Tribology and Surface Technology, 2nd Edition)
Show Figures

Figure 1

18 pages, 1901 KB  
Article
XGBoost-Powered Predictive Analytics for Early Identification of Thermal Runaway in Lithium-Ion Batteries
by Isslam Alhasan and Mohd H. S. Alrashdan
World Electr. Veh. J. 2026, 17(2), 68; https://doi.org/10.3390/wevj17020068 - 31 Jan 2026
Viewed by 128
Abstract
Lithium-ion batteries are pivotal in powering modern technology, from electric vehicles to portable electronics. However, their safety is challenged by the risk of thermal runaway, a critical failure mode leading to catastrophic consequences such as fires and explosions. This study presents a machine [...] Read more.
Lithium-ion batteries are pivotal in powering modern technology, from electric vehicles to portable electronics. However, their safety is challenged by the risk of thermal runaway, a critical failure mode leading to catastrophic consequences such as fires and explosions. This study presents a machine learning framework for the early detection of thermal runaway events using sensor data from over 210 open-source battery tests. The framework utilizes voltage, temperature, and force measurements from experimental mechanical indentation tests, with force data providing additional predictive value beyond standard BMS sensors. Key features such as the rate of temperature change and voltage change were engineered from raw time-series data. An XGBoost classifier was trained to detect critical patterns up to 20 s in advance, with lead-time shifting applied to simulate real-time warnings. Critical conditions were operationally defined as temperature exceeding 80 °C or voltage dropping below 3.0 V. The model achieved an F1-score of 0.98 on a test set of 734k data points from 42 independent mechanical indentation battery tests (natural class distribution: 45% critical, 55% normal). SHAP analysis revealed that low voltage (below 3.0 V) and rapid temperature rise (above 80 °C/s) were the most influential features. The system identified patterns 5–10 s before threshold crossing, with a mean detection of 8.3 s. This research demonstrates the potential for machine learning-enhanced battery safety, providing a foundation for future advancements in the field. Full article
(This article belongs to the Section Storage Systems)
Show Figures

Figure 1

16 pages, 2562 KB  
Article
All-Fiber Optic Sensing for Multiparameter Monitoring and Domain-Wide Deformation Reconstruction of Aerospace Structures in Thermally Coupled Environments
by Zifan He, Xingguang Zhou, Jiyun Lu, Shengming Cui, Hanqi Zhang, Qi Wu and Hongfu Zuo
Aerospace 2026, 13(2), 135; https://doi.org/10.3390/aerospace13020135 - 30 Jan 2026
Viewed by 107
Abstract
This study introduces an all-fiber optic sensing network based on fiber Bragg grating (FBG) technology for structural health monitoring (SHM) of launch vehicle payload fairings under extreme thermo-mechanical conditions. A wavelength–space dual-multiplexing architecture enables full-field strain and temperature monitoring with minimal sensor deployment. [...] Read more.
This study introduces an all-fiber optic sensing network based on fiber Bragg grating (FBG) technology for structural health monitoring (SHM) of launch vehicle payload fairings under extreme thermo-mechanical conditions. A wavelength–space dual-multiplexing architecture enables full-field strain and temperature monitoring with minimal sensor deployment. Structural deformations are reconstructed from local measurements using the inverse finite element method (iFEM), achieving sub-millimeter accuracy. High-temperature experiments verified that FBG sensors maintain a strain accuracy of 0.8 με at 500 °C, significantly outperforming conventional sensors. Under 15 MPa mechanical loading and 420 °C thermal shock, the fairing structure exhibited no damage propagation. The sensing system captured real-time strain distributions and deformation profiles, confirming its suitability for aerospace SHM. The combined use of iFEM and FBG enables high-fidelity large-scale deformation reconstruction, offering a reliable solution for reusable aerospace structures operating in harsh environments. Full article
Show Figures

Figure 1

21 pages, 3253 KB  
Article
Physics-Informed Neural Network-Based Intelligent Control for Photovoltaic Charge Allocation in Multi-Battery Energy Systems
by Akeem Babatunde Akinwola and Abdulaziz Alkuhayli
Batteries 2026, 12(2), 46; https://doi.org/10.3390/batteries12020046 - 30 Jan 2026
Viewed by 173
Abstract
The rapid integration of photovoltaic (PV) generation into modern power networks introduces significant operational challenges, including intermittent power production, uneven charge distribution, and reduced system reliability in multi-battery energy storage systems. Addressing these challenges requires intelligent, adaptive, and physically consistent control strategies capable [...] Read more.
The rapid integration of photovoltaic (PV) generation into modern power networks introduces significant operational challenges, including intermittent power production, uneven charge distribution, and reduced system reliability in multi-battery energy storage systems. Addressing these challenges requires intelligent, adaptive, and physically consistent control strategies capable of operating under uncertain environmental and load conditions. This study proposes a Physics-Informed Neural Network (PINN)-based charge allocation framework that explicitly embeds physical constraints—namely charge conservation and State-of-Charge (SoC) equalization—directly into the learning process, enabling real-time adaptive control under varying irradiance and load conditions. The proposed controller exploits real-time measurements of PV voltage, current, and irradiance to achieve optimal charge distribution while ensuring converter stability and balanced battery operation. The framework is implemented and validated in MATLAB/Simulink under Standard Test Conditions of 1000 W·m−2 irradiance and 25 °C ambient temperature. Simulation results demonstrate stable PV voltage regulation within the 230–250 V range, an average PV power output of approximately 95 kW, and effective duty-cycle control within the range of 0.35–0.45. The system maintains balanced three-phase grid voltages and currents with stable sinusoidal waveforms, indicating high power quality during steady-state operation. Compared with conventional Proportional–Integral–Derivative (PID) and Model Predictive Control (MPC) methods, the PINN-based approach achieves faster SoC equalization, reduced transient fluctuations, and more than 6% improvement in overall system efficiency. These results confirm the strong potential of physics-informed intelligent control as a scalable and reliable solution for smart PV–battery energy systems, with direct relevance to renewable microgrids and electric vehicle charging infrastructures. Full article
(This article belongs to the Special Issue Control, Modelling, and Management of Batteries)
Show Figures

Figure 1

21 pages, 5523 KB  
Article
A Study on the Uniaxial Tensile and Compressive Mechanical Testing Methods of Ice Specimens Based on the Digital Image Correlation (DIC) Technique
by Nianming Hu, Mingyong Hu, Jing Wu, Linjie Wu, Zixu Zhu and Xi Zhu
Coatings 2026, 16(2), 171; https://doi.org/10.3390/coatings16020171 - 30 Jan 2026
Viewed by 149
Abstract
This study introduced the Digital Image Correlation (DIC) technique into the axial tensile and compression tests of ice materials. The surface strain distribution measured by DIC was compared with experimental phenomena to verify the accuracy of DIC measurement technology. Additionally, the strain data [...] Read more.
This study introduced the Digital Image Correlation (DIC) technique into the axial tensile and compression tests of ice materials. The surface strain distribution measured by DIC was compared with experimental phenomena to verify the accuracy of DIC measurement technology. Additionally, the strain data obtained from DIC were used to correct the stress–strain rate curves of ice materials under axial tension and compression, as measured by the universal testing machine. The study found that the constitutive relationship of a type of ice material under tension and compression can be fitted to a bi-linear model. After correction, the bi-linear two-stage moduli of the ice specimens frozen at −30 °C during tensile testing were approximately E¯1 = 687.50 MPa and E¯2 = 1.12 GPa; During compression, the bi-linear two-stage moduli are approximately E¯1 = 1.521 GPa and E¯2 = 7.734 GPa. The above research results are similar to those of previous studies and have a high degree of credibility. The mechanical properties of ice materials were found to be more stable at a freezing temperature of −30 °C compared to −10 °C. When microcracks form in ice materials under load, these cracks may refreeze internally, leading to viscoelastic behavior in the early stages of loading. Full article
(This article belongs to the Section Liquid–Fluid Coatings, Surfaces and Interfaces)
Show Figures

Figure 1

Back to TopTop