Sign in to use this feature.

Years

Between: -

Subjects

remove_circle_outline
remove_circle_outline
remove_circle_outline
remove_circle_outline
remove_circle_outline
remove_circle_outline
remove_circle_outline
remove_circle_outline
remove_circle_outline

Journals

remove_circle_outline
remove_circle_outline
remove_circle_outline
remove_circle_outline
remove_circle_outline
remove_circle_outline
remove_circle_outline
remove_circle_outline
remove_circle_outline
remove_circle_outline
remove_circle_outline
remove_circle_outline
remove_circle_outline
remove_circle_outline

Article Types

Countries / Regions

remove_circle_outline
remove_circle_outline
remove_circle_outline
remove_circle_outline
remove_circle_outline
remove_circle_outline

Search Results (1,633)

Search Parameters:
Keywords = measurement data fusion

Order results
Result details
Results per page
Select all
Export citation of selected articles as:
23 pages, 6988 KB  
Article
A Blended Extended Kalman Filter Approach for Enhanced AGV Localization in Centralized Camera-Based Control Systems
by Nopparut Khaewnak, Soontaree Seangsri, Siripong Pawako, Sorada Khaengkarn and Jiraphon Srisertpol
Automation 2026, 7(1), 4; https://doi.org/10.3390/automation7010004 - 24 Dec 2025
Abstract
This research presents a study on enhancing the localization and orientation accuracy of indoor Autonomous Guided Vehicles (AGVs) operating under a centralized, camera-based control system. We investigate and compare the performance of two Extended Kalman Filter (EKF) configurations: a standard EKF and a [...] Read more.
This research presents a study on enhancing the localization and orientation accuracy of indoor Autonomous Guided Vehicles (AGVs) operating under a centralized, camera-based control system. We investigate and compare the performance of two Extended Kalman Filter (EKF) configurations: a standard EKF and a novel Blended EKF. The research methodology comprises four primary stages: (1) Sensor bias correction for the camera (CAM), Dead Reckoning, and Inertial Measurement Unit (IMU) to improve raw data quality; (2) Calculation of sensor weights using the Inverse-Variance Weighting principle, which assigns higher confidence to sensors with lower variance; (3) Multi-sensor data fusion to generate a stable state estimation that closely approximates the ground truth (GT); and (4) A comparative performance evaluation between the standard EKF, which processes sensor updates independently, and the Blended EKF, which fuses CAM and DR (Dead Reckoning) measurements prior to the filter’s update step. Experimental results demonstrate that the implementation of bias correction and inverse-variance weighting significantly reduces the Root Mean Square Error (RMSE) across all sensors. Furthermore, the Blended EKF not only achieved a lower RMSE in certain scenarios but also produced smooth trajectories similar to or less than the standard EKF in some weightings. These findings indicate the significant potential of the proposed approach in developing more accurate and robust navigation systems for AGVs in complex indoor environments. Full article
(This article belongs to the Section Robotics and Autonomous Systems)
Show Figures

Figure 1

28 pages, 8000 KB  
Article
Refined Leaf Area Index Retrieval in Yellow River Delta Coastal Wetlands: UAV-Borne Hyperspectral and LiDAR Data Fusion and SHAP–Correlation-Integrated Machine Learning
by Chenqiang Shan, Taiyi Cai, Jingxu Wang, Yufeng Ma, Jun Du, Xiang Jia, Xu Yang, Fangming Guo, Huayu Li and Shike Qiu
Remote Sens. 2026, 18(1), 40; https://doi.org/10.3390/rs18010040 - 23 Dec 2025
Abstract
The leaf area index (LAI) serves as a critical parameter for assessing wetland ecosystem functions, and accurate LAI retrieval holds substantial significance for wetland conservation and ecological monitoring. To address the spatial constraints of traditional ground-based measurements and the limited accuracy of single-source [...] Read more.
The leaf area index (LAI) serves as a critical parameter for assessing wetland ecosystem functions, and accurate LAI retrieval holds substantial significance for wetland conservation and ecological monitoring. To address the spatial constraints of traditional ground-based measurements and the limited accuracy of single-source remote sensing data, this study utilized unmanned aerial vehicle (UAV)-borne hyperspectral and LiDAR sensors to acquire high-quality multi-source remote sensing data of coastal wetlands in the Yellow River Delta. Three machine learning algorithms—random forest (RF), Extreme Gradient Boosting (XGBoost), and Categorical Boosting (CatBoost)—were employed for LAI retrieval modeling. A total of 38 vegetation indices (VIs) and 12-point cloud features (PCFs) were extracted from hyperspectral imagery and LiDAR point cloud data, respectively. Pearson correlation analysis and the Shapley Additive Explanations (SHAP) method were integrated to identify and select the most informative VIs and PCFs. The performance of LAI retrieval models built on single-source features (VIs or PCFs) or multi-source feature fusion was evaluated using the coefficient of determination (R2) and root mean square error (RMSE). The main findings are as follows: (1) Multi-source feature fusion significantly improved LAI retrieval accuracy, with the RF model achieving the highest performance (R2 = 0.968, RMSE = 0.125). (2) LiDAR-derived structural metrics and hyperspectral-derived vegetation indices were identified as critical factors for accurate LAI retrieval. (3) The feature selection method integrating mean absolute SHAP values (|SHAP| values) with Pearson correlation analysis enhanced model robustness. (4) The intertidal zone exhibited pronounced spatial heterogeneity in the vegetation LAI distribution. Full article
Show Figures

Figure 1

24 pages, 8257 KB  
Article
Multi-Satellite Image Matching and Deep Learning Segmentation for Detection of Daytime Sea Fog Using GK2A AMI and GK2B GOCI-II
by Jonggu Kang, Hiroyuki Miyazaki, Seung Hee Kim, Menas Kafatos, Daesun Kim, Jinsoo Kim and Yangwon Lee
Remote Sens. 2026, 18(1), 34; https://doi.org/10.3390/rs18010034 - 23 Dec 2025
Abstract
Traditionally, sea fog detection technologies have relied primarily on in situ observations. However, point-based observations suffer from limitations in extensive monitoring in marine environments due to the scarcity of observation stations and the limited nature of measurement data. Satellites effectively address these issues [...] Read more.
Traditionally, sea fog detection technologies have relied primarily on in situ observations. However, point-based observations suffer from limitations in extensive monitoring in marine environments due to the scarcity of observation stations and the limited nature of measurement data. Satellites effectively address these issues by covering vast areas and operating across multiple spectral channels, enabling precise detection and monitoring of sea fog. Despite the increasing adoption of deep learning in this field, achieving further improvements in accuracy and reliability necessitates the simultaneous use of multiple satellite datasets rather than relying on a single source. Therefore, this study aims to achieve higher accuracy and reliability in sea fog detection by employing a deep learning-based advanced co-registration technique for multi-satellite image fusion and autotuning-based optimization of State-of-the-Art (SOTA) semantic segmentation models. We utilized data from the Advanced Meteorological Imager (AMI) sensor on the Geostationary Korea Multi-Purpose Satellite 2A (GK2A) and the GOCI-II sensor on the Geostationary Korea Multi-Purpose Satellite 2B (GK2B). Swin Transformer, Mask2Former, and SegNeXt all demonstrated balanced and excellent performance across overall metrics such as IoU and F1-score. Specifically, Swin Transformer achieved an IoU of 77.24 and an F1-score of 87.16. Notably, multi-satellite fusion significantly improved the Recall score compared to the single AMI product, increasing from 88.78 to 92.01, thereby effectively mitigating the omission of disaster information. Ultimately, comparisons with the officially operational GK2A AMI Fog and GK2B GOCI-II Marine Fog (MF) products revealed that our deep learning approach was superior to both existing operational products. Full article
(This article belongs to the Section AI Remote Sensing)
Show Figures

Figure 1

32 pages, 1372 KB  
Article
Engineering Enhanced Immunogenicity of Surface-Displayed Immunogens in a Killed Whole-Cell Genome-Reduced Bacterial Vaccine Platform Using Class I Viral Fusion Peptides
by Juan Sebastian Quintero-Barbosa, Yufeng Song, Frances Mehl, Shubham Mathur, Lauren Livingston, Xiaoying Shen, David C. Montefiori, Joshua Tan and Steven L. Zeichner
Vaccines 2026, 14(1), 14; https://doi.org/10.3390/vaccines14010014 - 22 Dec 2025
Abstract
Background/Objectives: New vaccine platforms that rapidly yield low-cost, easily manufactured vaccines are highly desired, yet current approaches lack key features. We developed the Killed Whole-Cell/Genome-Reduced Bacteria (KWC/GRB) platform, which uses a genome-reduced Gram-negative chassis to enhance antigen exposure and modularity via an [...] Read more.
Background/Objectives: New vaccine platforms that rapidly yield low-cost, easily manufactured vaccines are highly desired, yet current approaches lack key features. We developed the Killed Whole-Cell/Genome-Reduced Bacteria (KWC/GRB) platform, which uses a genome-reduced Gram-negative chassis to enhance antigen exposure and modularity via an autotransporter (AT) system. Integrated within a Design–Build–Test–Learn (DBTL) framework, KWC/GRB enables rapid iteration of engineered antigens and immunomodulatory elements. Here, we applied this platform to the HIV-1 fusion peptide (FP) and tested multiple antigen engineering strategies to enhance its immunogenicity. Methods: For a new vaccine, we synthesized DNA encoding the antigen together with selected immunomodulators and cloned the constructs into a plasmid. The plasmids were transformed into genome-reduced bacteria (GRB), which were grown, induced for antigen expression, and then inactivated to produce the vaccines. We tested multiple strategies to enhance antigen immunogenicity, including multimeric HIV-1 fusion peptide (FP) designs separated by different linkers and constructs incorporating immunomodulators such as TLR agonists, mucosal-immunity-promoting peptides, and a non-cognate T-cell agonist. Vaccines were selected based on structure prediction and confirmed surface expression by flow cytometry. Mice were vaccinated, and anti-FP antibody responses were measured by ELISA. Results: ELISA responses increased nearly one order of magnitude across design rounds, with the top-performing construct showing an ~8-fold improvement over the initial 1mer vaccine. Multimeric antigens separated by an α-helical linker were the most immunogenic. The non-cognate T-cell agonist increased responses context-dependently. Flow cytometry showed that increased anti-FP-mAb binding to GRB was associated with greater induction of antibody responses. Although anti-FP immune responses were greatly increased, the sera did not neutralize HIV. Conclusions: Although none of the constructs elicited detectable neutralizing activity, the combination of uniformly low AlphaFold pLDDT scores and the functional data suggests that the FP region may not adopt a stable native-like structure in this display context. Importantly, the results demonstrate that the KWC/GRB platform can generate highly immunogenic vaccines, and when applied to antigens with well-defined native tertiary structures, the approach should enable rapidly produced, high-response, very low-cost vaccines. Full article
(This article belongs to the Section Vaccine Design, Development, and Delivery)
16 pages, 2588 KB  
Article
Beyond the Urban Heat Island: A Global Metric for Urban-Driven Climate Warming
by Lahouari Bounoua, Niama Boukachaba, Shawn Paul Serbin, Kurtis J. Thome, Noura Ed-Dahmany and Mohamed Amine Lachkham
Urban Sci. 2026, 10(1), 6; https://doi.org/10.3390/urbansci10010006 - 22 Dec 2025
Viewed by 21
Abstract
Urbanization has accelerated globally, with the proportion of people living in cities increasing from 43% in 1990 to 56% today. This rapid urban growth profoundly affects Earth’s surface climate by altering land surface characteristics and energy fluxes. Using Landsat–MODIS data fusion to characterize [...] Read more.
Urbanization has accelerated globally, with the proportion of people living in cities increasing from 43% in 1990 to 56% today. This rapid urban growth profoundly affects Earth’s surface climate by altering land surface characteristics and energy fluxes. Using Landsat–MODIS data fusion to characterize land use in a biophysical model, this study assesses the global thermal impact of urbanization through two complementary metrics: the Urban Heat Island (UHI), measuring the temperature contrast between urban and adjacent vegetated areas, and an Urban Impact Metric (UIM), quantifying the net warming effect of urban land relative to a fully vegetated baseline. Results indicate that although urban areas cover only 0.31% of global land, they contribute disproportionately to surface warming, particularly in the mid-latitudes of the Northern Hemisphere, where impervious surface cover is dense. While the UHI captures localized thermal contrasts, UIM provides a spatially integrated, scalable indicator of urban-induced warming. Globally, the annual mean UHI is 1.21 °C while the urban-induced warming is 0.77 °C. This result is striking, given the limited areal extent of urbanization, and exceeds the net historical effect of land use change, underscoring the disproportionate impact of urbanization on surface temperature. These results highlight urbanization’s outsized role in shaping surface temperature patterns across regions and seasons. Full article
Show Figures

Figure 1

9 pages, 1725 KB  
Communication
Percentage of Gutta-Percha-Filled Areas in Canals Obturated by Two Different Core Techniques with Endodontic Bioceramics Sealer
by Antonio Libonati, Danilo Marroni, Giulio Barbalace, Giulia Campanella and Vincenzo Campanella
Materials 2026, 19(1), 37; https://doi.org/10.3390/ma19010037 - 21 Dec 2025
Viewed by 117
Abstract
The aim of this preliminary study was to compare two core-carrier obturation techniques—GuttaFusion (GF) and SoftCore (SC)—used in combination with a bioceramic sealer (NeoSealer Flo), and to evaluate their ability to fill simulated root canals. Eight standardized resin models of maxillary first molars [...] Read more.
The aim of this preliminary study was to compare two core-carrier obturation techniques—GuttaFusion (GF) and SoftCore (SC)—used in combination with a bioceramic sealer (NeoSealer Flo), and to evaluate their ability to fill simulated root canals. Eight standardized resin models of maxillary first molars were used, and only the P and DV canals of each model were obturated. Cross-sections were obtained at 1 mm and 3 mm from the apex, and the percentage areas occupied by gutta-percha (PGFA), sealer (PSFA), and voids (VA) were measured. This study provides novel comparative data on the performance of these two carrier-based techniques when used with a bioceramic sealer. GF showed higher PGFA and lower PSFA compared with SC at 1 mm from the apex, while SC presented slightly higher VA. At 3 mm, PGFA increased for both techniques. Descriptive statistics (means and percentage values) were calculated; no inferential statistical analysis was performed due to the preliminary nature of the study and the limited sample. Full article
(This article belongs to the Special Issue Development and Research of New Dental Materials)
Show Figures

Graphical abstract

19 pages, 11278 KB  
Article
Design and Experimental Validation of a Round Inductosyn-Based Angular Measurement System
by Jian Wang, Jianyuan Wang, Jinbao Chen, Chukang Zhong and Yuankui Shao
Micromachines 2026, 17(1), 5; https://doi.org/10.3390/mi17010005 - 20 Dec 2025
Viewed by 108
Abstract
This paper presents the design, implementation, and experimental validation of a high-precision angular measurement system based on a round inductosyn. Dedicated hardware circuits, including excitation, signal conditioning, and resolver-to-digital conversion modules, together with software algorithms for coarse–fine data fusion and linear interpolation-based error [...] Read more.
This paper presents the design, implementation, and experimental validation of a high-precision angular measurement system based on a round inductosyn. Dedicated hardware circuits, including excitation, signal conditioning, and resolver-to-digital conversion modules, together with software algorithms for coarse–fine data fusion and linear interpolation-based error compensation, are developed to achieve accurate and stable angular measurement. Experimental results obtained from repeated measurements over a full rotation demonstrate reliable system operation and effective suppression of nonlinear errors. After compensation, the residual angular error is limited to within ±3″, while measurement consistency across repeated experiments is significantly improved. The output angle exhibits good continuity and stability, confirming the feasibility and effectiveness of the proposed system for high-precision servo control and aerospace attitude measurement applications. Full article
(This article belongs to the Special Issue Recent Advances in Electromagnetic Devices, 2nd Edition)
Show Figures

Figure 1

19 pages, 3589 KB  
Article
Laplacian Manifold Learning Based Vibro-Acoustic Feature Fusion for Rail Corrugation Condition Characterization
by Yun Liao, Guifa Huang, Dawei Zhang, Xiaoqiong Zhan and Min Li
Appl. Sci. 2026, 16(1), 43; https://doi.org/10.3390/app16010043 - 19 Dec 2025
Viewed by 90
Abstract
Accurate characterization of rail corrugation is essential for the operation and maintenance of urban rail transit. To enhance the representation capability for rail corrugation, this study proposes a sound–vibration feature fusion method based on Laplacian manifold learning. The method constructs a multidimensional feature [...] Read more.
Accurate characterization of rail corrugation is essential for the operation and maintenance of urban rail transit. To enhance the representation capability for rail corrugation, this study proposes a sound–vibration feature fusion method based on Laplacian manifold learning. The method constructs a multidimensional feature space using real-world acoustic and vibration signals measured from metro vehicles, introduces a Laplacian manifold structure to capture local geometric relationships among samples, and incorporates inter-class separability into traditional intra-class compactness metrics. Based on this, a comprehensive feature evaluation index Lr is developed to achieve adaptive feature ranking. The final fusion indicator, LWVAF, is generated through weighted feature integration and used for rail corrugation characterization. Validation on in-service metro line data demonstrates that, after rail grinding, LWVAF exhibits a more pronounced reduction and higher sensitivity to changes compared with individual acoustic or vibration features, reliably reflecting improvements in rail corrugation. The results confirm that the proposed method maintains strong robustness and physical interpretability even under small-sample and weak-label conditions, offering a new approach for sound–vibration fusion analysis and corrugation evolution studies. Full article
(This article belongs to the Special Issue Machine Learning in Vibration and Acoustics (3rd Edition))
Show Figures

Figure 1

23 pages, 6967 KB  
Article
Semantics- and Physics-Guided Generative Network for Radar HRRP Generalized Zero-Shot Recognition
by Jiaqi Zhou, Tao Zhang, Siyuan Mu, Yuze Gao, Feiming Wei and Wenxian Yu
Remote Sens. 2026, 18(1), 4; https://doi.org/10.3390/rs18010004 - 19 Dec 2025
Viewed by 146
Abstract
High-resolution range profile (HRRP) target recognition has garnered significant attention in radar automatic target recognition (RATR) research for its rich structural information and low computational costs. With the rapid advancements in deep learning, methods for HRRP target recognition that leverage deep neural networks [...] Read more.
High-resolution range profile (HRRP) target recognition has garnered significant attention in radar automatic target recognition (RATR) research for its rich structural information and low computational costs. With the rapid advancements in deep learning, methods for HRRP target recognition that leverage deep neural networks have emerged as the dominant approaches. Nevertheless, these traditional closed-set recognition methods require labeled data for every class in training, while in reality, seen classes and unseen classes coexist. Therefore, it is necessary to explore methods that can identify both seen and unseen classes simultaneously. To this end, a semantic- and physical-guided generative network (SPGGN) was innovatively proposed for HRRP generalized zero-shot recognition; it combines a constructed knowledge graph with attribute vectors to comprehensively represent semantics and reconstructs strong scattering points to introduce physical constraints. Specifically, to boost the robustness, we reconstructed the strong scattering points from deep features of HRRPs, where class-aware contrastive learning in the middle layer effectively mitigates the influence of target-aspect variations. In the classification stage, discriminative features are produced through attention-based feature fusion to capture multi-faceted information, while the design of balancing loss abates the bias towards seen classes. Experiments on two measured aircraft HRRP datasets validated the superior recognition performance of our method. Full article
Show Figures

Figure 1

14 pages, 2689 KB  
Article
Real-Time Evaluation Model for Urban Transportation Network Resilience Based on Ride-Hailing Data
by Ningbo Gao, Xuezheng Miao, Yong Qi and Zi Yang
Electronics 2026, 15(1), 2; https://doi.org/10.3390/electronics15010002 - 19 Dec 2025
Viewed by 128
Abstract
The resilience of urban transportation networks refers to the system’s ability to resist, absorb, and recover performance when facing external shocks. Traditional methods have obvious limitations in temporal granularity, data fusion, and predictive capabilities. To address this, this study proposes a minute-level real-time [...] Read more.
The resilience of urban transportation networks refers to the system’s ability to resist, absorb, and recover performance when facing external shocks. Traditional methods have obvious limitations in temporal granularity, data fusion, and predictive capabilities. To address this, this study proposes a minute-level real-time resilience measurement model driven by ride-hailing big data. First, the spatio-temporal characteristics of urban ride-hailing data are analyzed, and a transportation cost indicator is introduced to construct a multidimensional road network resilience measurement framework encompassing transport supply–demand, efficiency, and cost. Second, a high-precision hybrid LSTM-Transformer prediction model integrating spatio-temporal attention mechanism is developed, and a time-varying node identification method based on RMSE curves is proposed to accurately capture the disturbance onset time and recovery completion time. Finally, empirical validation shows that, taking Taixing City as an example, the model achieves minute-level resilience measurement with an average prediction accuracy of 96.8%, making resilience assessment more precise and sensitive. The research results provide a scientific basis for urban traffic management departments to formulate emergency response strategies and improve road network recovery efficiency. Full article
(This article belongs to the Special Issue Advanced Control Technologies for Next-Generation Autonomous Vehicles)
Show Figures

Figure 1

16 pages, 5757 KB  
Article
Assessment of the Influence of Specimen Size on the Performance of CLF-1 Steel Based on the GTN Model
by Xiang Ruan, Zhanze Shi, Bintao Yu, Bing Bai, Xinfu He, Changyi Zhang and Wen Yang
Metals 2026, 16(1), 1; https://doi.org/10.3390/met16010001 - 19 Dec 2025
Viewed by 136
Abstract
Irradiation embrittlement occurs in the cladding materials of fusion reactors during irradiation. Determining the ductile–brittle transition temperature via Charpy impact testing is the primary method for evaluating irradiation embrittlement. Standard-sized V-shaped Charpy impact specimens (CVN) are too large in size and have high [...] Read more.
Irradiation embrittlement occurs in the cladding materials of fusion reactors during irradiation. Determining the ductile–brittle transition temperature via Charpy impact testing is the primary method for evaluating irradiation embrittlement. Standard-sized V-shaped Charpy impact specimens (CVN) are too large in size and have high induced radioactivity. Small-sized specimens (KLST) can solve these problems, but the performance data measured from small-sized specimens are different from those of standard specimens. In other words, there is a size effect in impact performance. The notch size and hammer impact speed of KLST specimens are different from those of CVN specimens. The influence of these factors on impact performance requires further study. In response to these issues, on the basis of the previous experiments conducted by the research group, GTN damage models of CVN specimens and KLST specimens are constructed using the inverse operation method. Numerical simulation of the impact on the upper platform area is carried out for KLST specimens and variable-sized KLST specimens. Compared with the test results, the numerical simulation results are in good agreement, verifying the accuracy and reliability of the model. The results show that the notch angle and radius have little influence on the plastic zone. The cross-sectional area of the notch has a significant impact on the plastic zone. The impact velocity within the range of 3.8 m/s to 5.24 m/s affects the impact response process, but does not affect the load–displacement curve, the length of the non-plastic deformation zone, or the volume of the plastic zone. Full article
(This article belongs to the Special Issue Fracture Mechanics and Failure Analysis of Metallic Materials)
Show Figures

Figure 1

47 pages, 17580 KB  
Article
Joint Hyperspectral Images and LiDAR Data Classification Combined with Quantum-Inspired Entangled Mamba
by Davaajargal Myagmarsuren, Aili Wang, Haoran Lv, Haibin Wu, Gabor Molnar and Liang Yu
Remote Sens. 2025, 17(24), 4065; https://doi.org/10.3390/rs17244065 - 18 Dec 2025
Viewed by 188
Abstract
The multimodal fusion of hyperspectral images (HSI) and LiDAR data for land cover classification encounters difficulties in modeling heterogeneous data characteristics and cross-modal dependencies, leading to the loss of complementary information due to concatenation, the inadequacy of fixed fusion weights to adapt to [...] Read more.
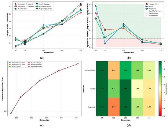
The multimodal fusion of hyperspectral images (HSI) and LiDAR data for land cover classification encounters difficulties in modeling heterogeneous data characteristics and cross-modal dependencies, leading to the loss of complementary information due to concatenation, the inadequacy of fixed fusion weights to adapt to spatially varying reliability, and the assumptions of linear separability for nonlinearly coupled patterns. We propose QIE-Mamba, integrating selective state-space models with quantum-inspired processing to enhance multimodal representation learning. The framework employs ConvNeXt encoders for hierarchical feature extraction, quantum superposition layers for complex-valued multimodal encoding with learned amplitude–phase relationships, unitary entanglement networks via skew-symmetric matrix parameterization (validated through Cayley transform and matrix exponential methods), quantum-enhanced Mamba blocks with adaptive decoherence, and confidence-weighted measurement for classification. Systematic three-phase sequential validation on Houston2013, Muufl, and Augsburg datasets achieves overall accuracies of 99.62%, 96.31%, and 96.30%. Theoretical validation confirms 35.87% mutual information improvement over classical fusion (6.9966 vs. 5.1493 bits), with ablation studies demonstrating quantum superposition contributes 82% of total performance gains. Phase information accounts for 99.6% of quantum state entropy, while gradient convergence analysis confirms training stability (zero mean/std gradient norms). The optimization framework reduces hyperparameter search complexity by 99.6% while maintaining state-of-the-art performance. These results establish quantum-inspired state-space models as effective architectures for multimodal remote sensing fusion, providing reproducible methodology for hyperspectral–LiDAR classification with linear computational complexity. Full article
(This article belongs to the Section AI Remote Sensing)
Show Figures

Graphical abstract

48 pages, 9967 KB  
Review
Flexible Sensing for Precise Lithium-Ion Battery Swelling Monitoring: Mechanisms, Integration Strategies, and Outlook
by Yusheng Lei, Jinwei Zhao, Yihang Wang, Chenyang Xue and Libo Gao
Sensors 2025, 25(24), 7677; https://doi.org/10.3390/s25247677 (registering DOI) - 18 Dec 2025
Viewed by 147
Abstract
The expansion force generated by lithium-ion batteries during charge–discharge cycles is a key indicator of their structural safety and health. Recently, flexible pressure-sensing technologies have emerged as promising solutions for in situ swelling monitoring, owing to their high flexibility, sensitivity and integration capability. [...] Read more.
The expansion force generated by lithium-ion batteries during charge–discharge cycles is a key indicator of their structural safety and health. Recently, flexible pressure-sensing technologies have emerged as promising solutions for in situ swelling monitoring, owing to their high flexibility, sensitivity and integration capability. This review provides a systematic summary of progress in this field. Firstly, we discuss the mechanisms of battery swelling and the principles of conventional measurement methods. It then compares their accuracy, dynamic response and environmental adaptability. Subsequently, the main flexible pressure-sensing mechanisms are categorized, including piezoresistive, capacitive, piezoelectric and triboelectric types, and their material designs, structural configurations and sensing behaviors are discussed. Building on this, we examine integration strategies for flexible pressure sensors in battery systems. It covers surface-mounted and embedded approaches at the cell level, as well as array-based and distributed schemes at the module level. A comparative analysis highlights the differences in installation constraints and monitoring capabilities between these approaches. Additionally, this section also summarizes the characteristics of swelling signals and recent advances in data processing techniques, including AI-assisted feature extraction, fault detection and health state correlation. Despite their promise, challenges such as long-term material stability and signal interference remain. Future research is expected to focus on high-performance sensing materials, multimodal sensing fusion and intelligent data processing, with the aim of further advancing the integration of flexible sensing technologies into battery management systems and enhancing early warning and safety protection capabilities. Full article
Show Figures

Figure 1

49 pages, 2937 KB  
Article
Modular Design of Steel Box Girders: A BIM-Driven Framework Integrating Knowledge Graphs and Data
by Matao Si, Lin Wang, Yanjie Dong, Yulong Chen, Le Tan and Daguang Han
Buildings 2025, 15(24), 4574; https://doi.org/10.3390/buildings15244574 - 18 Dec 2025
Viewed by 155
Abstract
Background: Steel box girders are widely employed in bridge engineering due to their excellent mechanical properties and construction convenience, yet their modular design still encounters bottlenecks such as knowledge reuse difficulties and information silos. This study proposes a BIM-driven framework based on knowledge [...] Read more.
Background: Steel box girders are widely employed in bridge engineering due to their excellent mechanical properties and construction convenience, yet their modular design still encounters bottlenecks such as knowledge reuse difficulties and information silos. This study proposes a BIM-driven framework based on knowledge graphs and data fusion. By constructing a professional knowledge graph comprising 85 core entity types and 150 semantic relationships (integrated with over 15,000 knowledge units), systematic management of design knowledge is achieved. The developed BIM reverse modeling technology improves parametric modeling efficiency by 30–40%, while the data fusion mechanism supports over 90% accuracy in design conflict detection. The intelligent decision-making system built upon this framework meets 75% of business scenario requirements while effectively assisting critical decisions such as module selection. Results demonstrate that this framework significantly enhances design collaboration efficiency and intelligence through knowledge structuring and deep data integration. Although some achievements were validated via simulation due to limited field measurement data, the approach demonstrates strong engineering applicability and provides novel technical pathways and methodological support for advancing digital transformation in bridge engineering. Full article
(This article belongs to the Section Construction Management, and Computers & Digitization)
Show Figures

Figure 1

22 pages, 3132 KB  
Article
A Study on a Low-Cost IMU/Doppler Integrated Velocity Estimation Method Under Insufficient GNSS Observation Conditions
by Yinggang Wang, Hongli Zhang, Kemeng Li, Hanghang Xu and Yijin Chen
Sensors 2025, 25(24), 7674; https://doi.org/10.3390/s25247674 - 18 Dec 2025
Viewed by 224
Abstract
The Global Navigation Satellite System (GNSS)/Inertial Measurement Unit (IMU) Loosely Coupled (LC) integration framework has been widely adopted due to its simple structure, but it relies on complete GNSS position and velocity solutions, and the rapid accumulation of IMU errors can easily lead [...] Read more.
The Global Navigation Satellite System (GNSS)/Inertial Measurement Unit (IMU) Loosely Coupled (LC) integration framework has been widely adopted due to its simple structure, but it relies on complete GNSS position and velocity solutions, and the rapid accumulation of IMU errors can easily lead to navigation failure when fewer than four satellites are visible. In this paper, GNSS Doppler observations are fused with IMU attitude information within an LC framework. An inter-satellite differential Doppler model is introduced, and the velocity obtained from the differential Doppler solution is transformed into the navigation frame using the IMU-derived attitude, enabling three-dimensional velocity estimation in the navigation frame even when only two satellites are available. Analysis of real vehicle data collected by the GREAT team at Wuhan University shows that the Signal-to-Noise Ratio (SNR) and the geometric relationship between the Satellite Difference Vector (SDV) and the Receiver Motion Direction (RMD) are the dominant factors affecting velocity accuracy. A multi-factor threshold screening strategy further indicates that when SNR> 40 and SDV·RMD >0.2, the Root Mean Square (RMS) of the velocity error is approximately 0.3 m/s and the data retention rate exceeds 44%, achieving a good balance between accuracy and availability. The results indicate that, while maintaining a simple system structure, the proposed Doppler–IMU fusion method can significantly enhance velocity robustness and positioning continuity within an LC architecture under weak GNSS conditions (when more than two satellites are visible but standalone GNSS positioning is still unavailable), and is suitable for constructing low-cost, highly reliable integrated navigation systems. Full article
(This article belongs to the Section Navigation and Positioning)
Show Figures

Figure 1

Back to TopTop