Sign in to use this feature.

Years

Between: -

Subjects

remove_circle_outline
remove_circle_outline
remove_circle_outline
remove_circle_outline
remove_circle_outline
remove_circle_outline
remove_circle_outline
remove_circle_outline
remove_circle_outline

Journals

Article Types

Countries / Regions

Search Results (40)

Search Parameters:
Keywords = max-min fairness

Order results
Result details
Results per page
Select all
Export citation of selected articles as:
21 pages, 3449 KB  
Article
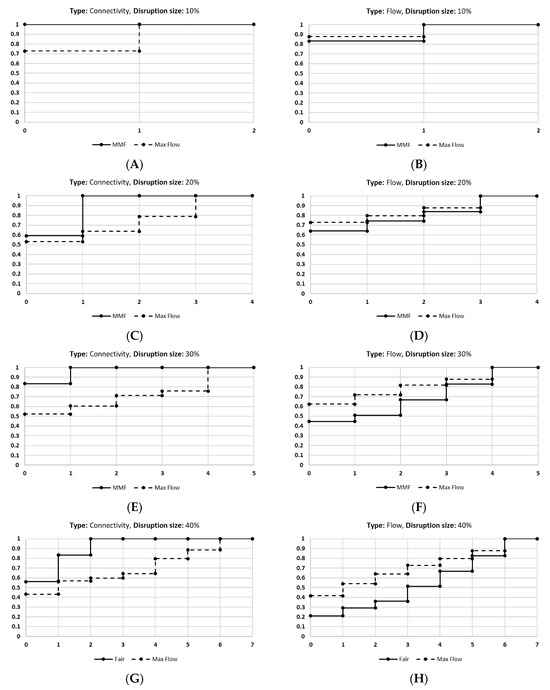
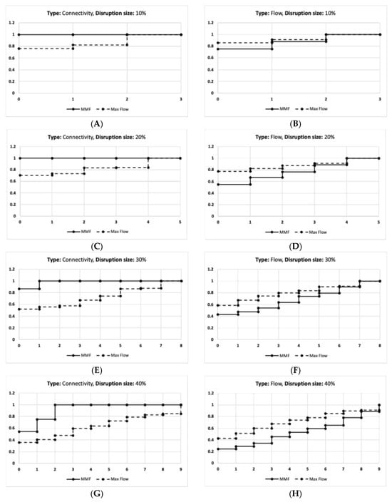
Max-Min Fair Restoration of Infrastructure Networks
by Hamoud Sultan Bin Obaid, Yasser Adel Almoghathawi and Mohammed Algafri
Mathematics 2025, 13(19), 3112; https://doi.org/10.3390/math13193112 - 29 Sep 2025
Abstract
Connectivity is one of the essential needs in today’s standards in many aspects of life, starting with personal relationships, education, and remote work and ending with the security and economy of countries. However, connectivity is susceptible to intentional and unintentional disruptions, leading to [...] Read more.
Connectivity is one of the essential needs in today’s standards in many aspects of life, starting with personal relationships, education, and remote work and ending with the security and economy of countries. However, connectivity is susceptible to intentional and unintentional disruptions, leading to great impact on critical infrastructures. Hence, maintaining connectivity is a crucial task to sustain the continuous flow of life. The challenge is to find an optimal recovery plan to reconnect all demands as soon as possible after the disruptive event, ensuring fairness in the process of reallocating the remaining resources. In this paper, we present a post-disruption recovery framework for networked systems to optimize the recovery plan to reconnect the network demands as soon as possible. More specifically, we introduce an algorithmic approach using a mathematical programming model that optimally recovers the disrupted arcs of the network while ensuring the highest connectivity. The proposed approach considers both fairness and efficiency through finding the MMF (max-min fairness) resource allocation throughout the recovery process. The proposed approach is tested on a variety of benchmark networks under a set of disruption levels; then, the results are compared with the maximum-flow model. Full article
(This article belongs to the Special Issue Sensitivity Analysis and Decision Making)
Show Figures

Figure 1

15 pages, 806 KB  
Article
On Rate Fairness Maximization for the Downlink NOMA with Improper Signaling and Imperfect SIC
by Hao Cheng, Min Zhang and Ruoyu Su
Appl. Sci. 2025, 15(18), 9970; https://doi.org/10.3390/app15189970 - 11 Sep 2025
Viewed by 287
Abstract
Non-orthogonal multiple access (NOMA) is a key enabler for 6G networks due to its efficient spectrum utilization, which is garnering significant attention among the Internet of Things (IoT) community. This paper investigates the benefits of the improper Gaussian signaling (IGS) technique on the [...] Read more.
Non-orthogonal multiple access (NOMA) is a key enabler for 6G networks due to its efficient spectrum utilization, which is garnering significant attention among the Internet of Things (IoT) community. This paper investigates the benefits of the improper Gaussian signaling (IGS) technique on the max–min fairness of the downlink NOMA system under imperfect successive interference cancellation (SIC), where both of the users have the potential to adopt IGS. We first investigate fairness optimization under perfect SIC. In this case, the max–min optimization is solved by the alternate optimization algorithm, where the impropriety degree and power level are iteratively optimized. The closed-form solution for conventional proper Gaussian signaling is also obtained. Then, a deep Q network-based solution is considered for the rate fairness maximization of the downlink NOMA system under IGS and imperfect SIC. The simulations presented for the IGS-aided NOMA system support the analysis, illustrating that IGS can efficiently improve the fairness achievable rate compared to the conventional proper one. Full article
(This article belongs to the Section Electrical, Electronics and Communications Engineering)
Show Figures

Figure 1

16 pages, 1013 KB  
Article
Multidimensional Educational Inequality in Italy: A Stacking-Based Approach for Gender and Territorial Analysis
by Martina De Anna and Enrico Ivaldi
Sustainability 2025, 17(14), 6243; https://doi.org/10.3390/su17146243 - 8 Jul 2025
Viewed by 529
Abstract
This study investigates regional and gender disparities in educational attainment across Italy in 2021, drawing on the Fair and Sustainable Well-being (BES) dataset from ISTAT. By applying cluster analysis and composite indicators—including the Mazziotta–Pareto Index (MPI), geometric and arithmetic means, min-max normalization, and [...] Read more.
This study investigates regional and gender disparities in educational attainment across Italy in 2021, drawing on the Fair and Sustainable Well-being (BES) dataset from ISTAT. By applying cluster analysis and composite indicators—including the Mazziotta–Pareto Index (MPI), geometric and arithmetic means, min-max normalization, and principal component analysis (PCA)—we assess the robustness and consistency of educational performance across regions. A key methodological innovation is the use of the stacking method to ensure comparability between genders. Results show persistent North–South educational divides and a consistent female advantage across all indicators. The paper contributes to Sustainable Development Goals by providing empirical insights into SDG 4 (Quality Education) through measurement of educational inequality and access; SDG 5 (Gender Equality) by highlighting structural advantages of women in educational outcomes; and SDG 10 (Reduced Inequalities) through a territorial analysis of disparities and policy implications. The findings offer both a methodological contribution—by testing multiple aggregation techniques—and a practical tool for policy evaluation, emphasizing the importance of multidimensional and gender-sensitive approaches in achieving educational sustainability. Full article
Show Figures

Figure 1

17 pages, 760 KB  
Article
Max–Min Share-Based Mechanism for Multi-Resource Fair Allocation with Bounded Number of Tasks in Cloud Computing System
by Jie Li, Haoyu Wang, Jianzhou Wang and Yue Zhang
Mathematics 2025, 13(13), 2214; https://doi.org/10.3390/math13132214 - 7 Jul 2025
Viewed by 404
Abstract
Finding a fair and efficient multi-resource allocation is a fundamental goal in cloud computing systems. In this paper, we consider the problem of multi-resource allocation with a bounded number of tasks. We propose a lexicographic max–min maximin share (LMM-MMS) fair allocation mechanism and [...] Read more.
Finding a fair and efficient multi-resource allocation is a fundamental goal in cloud computing systems. In this paper, we consider the problem of multi-resource allocation with a bounded number of tasks. We propose a lexicographic max–min maximin share (LMM-MMS) fair allocation mechanism and design a non-trivial polynomial-time algorithm to find an LMM-MMS solution. In addition, we prove that LMM-MMS satisfies Pareto efficiency, sharing incentive, envy-freeness, and group strategy-proofness properties. The experimental results showed that LMM-MMS could produce a fair allocation with a higher resource utilization and completion ratio of user jobs than previous known fair mechanisms; LMM-MMS also performed well in resource sharing. Full article
Show Figures

Figure 1

25 pages, 897 KB  
Article
A Study on the Robustness of a DNN Under Scenario Shifts for Power Control in Cell-Free Massive MIMO
by Guillermo García-Barrios, Manuel Fuentes and David Martín-Sacristán
Sensors 2025, 25(13), 3845; https://doi.org/10.3390/s25133845 - 20 Jun 2025
Viewed by 504
Abstract
The emergence of 6G wireless networks presents new challenges, for which cell-free massive MIMO combined with machine learning (ML) offers a promising solution. A key requirement for practical deployment is the generalizability of ML models—their ability to maintain robust performance across varying propagation [...] Read more.
The emergence of 6G wireless networks presents new challenges, for which cell-free massive MIMO combined with machine learning (ML) offers a promising solution. A key requirement for practical deployment is the generalizability of ML models—their ability to maintain robust performance across varying propagation conditions, user distributions, and network topologies. However, achieving generalizability typically demands large, diverse training datasets and high model complexity, which can hinder practical feasibility. This study analyzes the robustness of a low-complexity deep neural network (DNN) trained for power control under a single network configuration. The model’s robustness is assessed by testing it across a wide range of unseen scenarios, including changes in the number of access points, user equipment, and propagation environments. The DNN is trained to emulate three power control schemes: max-min spectral efficiency (SE) fairness, sum SE maximization, and fractional power control. To rigorously evaluate robustness, we compare the cumulative distribution functions of performance metrics quantitatively using the Kolmogorov–Smirnov test. Results show strong robustness, particularly for the sum SE scheme, with D statistics below 0.05 and p-values above 0.001. This work provides a reproducible framework and dataset to support further research into practical ML-based power control in cell-free massive MIMO systems. Full article
(This article belongs to the Special Issue Intelligent Massive-MIMO Systems and Wireless Communications)
Show Figures

Figure 1

21 pages, 5186 KB  
Article
Assessing the Transferability of Models for Predicting Foliar Nutrient Concentrations Across Maize Cultivars
by Jian Shen, Yurong Huang, Wenqian Chen, Mengjun Li, Wei Tan, Ronghui Wang, Yujia Deng, Yingting Gong, Shaoying Ai and Nanfeng Liu
Remote Sens. 2025, 17(4), 652; https://doi.org/10.3390/rs17040652 - 14 Feb 2025
Cited by 2 | Viewed by 948
Abstract
Fresh sweet and waxy maize (Zea mays) are valuable specialty crops in southern China. Hyperspectral remote sensing offers a powerful tool for detecting maize foliar nutrients non-destructively. This study aims to investigate the capability of leaf spectroscopy (SVC HR-1024i spectrometer, wavelength [...] Read more.
Fresh sweet and waxy maize (Zea mays) are valuable specialty crops in southern China. Hyperspectral remote sensing offers a powerful tool for detecting maize foliar nutrients non-destructively. This study aims to investigate the capability of leaf spectroscopy (SVC HR-1024i spectrometer, wavelength range: 400–2500 nm) to retrieve maize foliar nutrients. Specifically, we (1) explored the effects of nitrogen application rates (0, 150, 225, 300, and 450 kg·N·ha−1), maize cultivars (GLT-27 and TGN-932), and growth stages (third leaf (vegetation V3), stem elongation stage (vegetation V6), silking stage (reproductive R2), and milk stage (reproductive R3)) on foliar nutrients (nitrogen, phosphorus, and carbon) and leaf spectra; (2) evaluated the transferability of the regression and physical models in retrieving foliar nutrients across maize cultivars. We found that the PLSR (partial least squares regression), SVR (support vector machine regression), and RFR (random forest regression) regression model accuracies were fair within a specific cultivar, with the highest R2 of 0.60 and the lowest NRMSE (normalized RMSE = RMSE/(Max − Min)) of 17% for nitrogen, R2 of 0.19 and NRMSE of 21% for phosphorous, and R2 of 0.45 and NRMSE of 19% for carbon. However, when these cultivar-specific models were used to predict foliar nitrogen across cultivars, lower R2 and higher NRMSE values were observed. For the physical model, which does not rely on the dataset, the R2 and NRMSE for foliar chlorophyll-a and -b (Cab), carotenoid (Cxc), and equivalent water thickness (EWT) were 0.76 and 15%, 0.67 and 34%, and 0.47 and 21%, respectively. However, the prediction accuracy for foliar nitrogen, expressed as foliar protein in PROSPECT-PRO, was lower, with an R2 of 0.22 and NRMSE of 27%, which was comparable to that of the regression models. The primary reasons for this limited transferability were attributed to (1) the insufficient number of samples and (2) the lack of strong absorption features for foliar nutrients within the 400–2500 nm wavelength range and the confounding effects of other foliar biochemicals with strong absorption features. Future efforts are needed to investigate the physical mechanisms underlying hyperspectral remote sensing of foliar nutrients and incorporate transfer learning techniques into foliar nutrient models. Full article
(This article belongs to the Special Issue Advancements in Remote Sensing for Sustainable Agriculture)
Show Figures

Figure 1

14 pages, 918 KB  
Article
Predicting Heart Rate Slow Component Dynamics: A Model Across Exercise Intensities, Age, and Sex
by Massimo Teso, Alessandro L. Colosio, Maura Loi, Jan Boone and Silvia Pogliaghi
Sports 2025, 13(2), 45; https://doi.org/10.3390/sports13020045 - 7 Feb 2025
Cited by 1 | Viewed by 1174
Abstract
The heart rate slow component (scHR) is an intensity-dependent HR increment that emerges during constant exercises, partially dissociated from metabolism (V˙O2). The scHR has been observed during constant-workload exercise in young and older adults. Unless [...] Read more.
The heart rate slow component (scHR) is an intensity-dependent HR increment that emerges during constant exercises, partially dissociated from metabolism (V˙O2). The scHR has been observed during constant-workload exercise in young and older adults. Unless this scHR is accounted for, exercise prescription using HR targets lead to an undesired reduction in metabolic intensity over time. Purpose: The purpose of this study is to characterize scHR across intensities, sex, and age to develop and validate a predictive equation able to maintain the desired metabolic stimulus over time in a constant aerobic exercise session. Methods: In our study, 66 individuals (35 females; 35 ± 13 yrs) performed the following: (i) a ramp-test for respiratory exercise threshold (GET and RCP) and maximal oxygen uptake (V˙O2max) detection, and (ii) 6 × 9-minute constant exercises at different intensities. The scHR was calculated by linear fitting from the fifth minute of exercise (bpm⋅min−1). A multiple-linear equation was developed to predict the scHR based on individual and exercise variables. The validity of the equation was tested on an independent sample by a Pearson correlation and Bland–Altman analysis between the measured and estimated HR during constant exercises. Results: The scHR increases with intensity and is larger in males (p < 0.05). A multiple-linear equation predicts the scHR based on the relative exercise intensity to RCP, age, and sex (r2 = 0.54, SEE = 0.61 bpm⋅min−1). scHR (bpm⋅min−1) = −0.0514 + (0.0240 × relative exercise intensity to RCP) − (0.0172 × age) − (0.347 × Sex (males = 0 and females score = 1)). In the independent sample, we found an excellent correlation between the measured and estimated HR (r2 = 0.98, p < 0.001) with no bias (−0.01 b·min−1, z-score= −0.04) and a fair precision (±4.09 b·min−1). Conclusions: The dynamic of the scHR can be predicted in a heterogeneous sample accounting for the combined effects of relative intensity, sex, and age. The above equation provides the means to dynamically adapt HR targets over time, avoiding an undesired reduction in the absolute and relative training load. This strategy would allow the maintenance of the desired metabolic stimulus (V˙O2) throughout an exercise session in a heterogeneous population. Full article
(This article belongs to the Collection Human Physiology in Exercise, Health and Sports Performance)
Show Figures

Figure 1

27 pages, 624 KB  
Article
Simultaneously Transmitting and Reflecting Reconfigurable Intelligent Surfaces Empowered Cooperative Rate Splitting with User Relaying
by Kangchun Zhao, Yijie Mao and Yuanming Shi
Entropy 2024, 26(12), 1019; https://doi.org/10.3390/e26121019 - 26 Nov 2024
Cited by 2 | Viewed by 1547
Abstract
In this work, we unveil the advantages of synergizing cooperative rate splitting (CRS) with user relaying and simultaneously transmitting and reflecting reconfigurable intelligent surface (STAR RIS). Specifically, we propose a novel STAR RIS-assisted CRS transmission framework, featuring six unique transmission modes that leverage [...] Read more.
In this work, we unveil the advantages of synergizing cooperative rate splitting (CRS) with user relaying and simultaneously transmitting and reflecting reconfigurable intelligent surface (STAR RIS). Specifically, we propose a novel STAR RIS-assisted CRS transmission framework, featuring six unique transmission modes that leverage various combinations of the relaying protocols (including full duplex-FD and half duplex-HD) and the STAR RIS configuration protocols (including energy splitting-ES, mode switching-MS, and time splitting-TS). With the objective of maximizing the minimum user rate, we then propose a unified successive convex approximation (SCA)-based alternative optimization (AO) algorithm to jointly optimize the transmit active beamforming, common rate allocation, STAR RIS passive beamforming, as well as time allocation (for HD or TS protocols) subject to the transmit power constraint at the base station (BS) and the law of energy conservation at the STAR RIS. To alleviate the computational burden, we further propose a low-complexity algorithm that incorporates a closed-form passive beamforming design. Numerical results show that our proposed framework significantly enhances user fairness compared with conventional CRS schemes without STAR RIS or other STAR RIS-empowered multiple access schemes. Moreover, the proposed low-complexity algorithm dramatically reduces the computational complexity while achieving very close performance to the AO method. Full article
Show Figures

Figure 1

25 pages, 2011 KB  
Article
Optimized Architecture for Efficient OFDMA Network Design
by Sonia Ben Brahim, Amira Zrelli, Samia Dardouri and Ridha Bouallegue
Telecom 2024, 5(4), 1051-1075; https://doi.org/10.3390/telecom5040054 - 1 Nov 2024
Cited by 1 | Viewed by 1436
Abstract
This study presents a novel approach to enhancing the design and performance of OFDMA (Orthogonal Frequency Division Multiple Access) networks, with a particular focus on WiMAX (Worldwide Interoperability for Microwave Access) for Best Effort (BE) services. The proposed method integrates a robust Markovian [...] Read more.
This study presents a novel approach to enhancing the design and performance of OFDMA (Orthogonal Frequency Division Multiple Access) networks, with a particular focus on WiMAX (Worldwide Interoperability for Microwave Access) for Best Effort (BE) services. The proposed method integrates a robust Markovian analytical model with four advanced scheduling algorithms: throughput fairness, resource fairness, opportunistic scheduling, and throttling. A sophisticated simulator was developed, incorporating an ON/OFF traffic generator, user-specific wireless channels, and a dynamic central scheduler to validate the model’s accuracy and evaluate its robustness by dynamically allocating radio resources per frame. The validation study showed that the proposed model reduced simulation time by over 90%, completing analytical calculations in just 15 min, compared to nearly 2 days for simulations using conventional scheduling algorithms. Performance metrics such as the average number of active users and resource utilization closely matched those from the validation study, confirming the model’s accuracy. In the robustness study, the model consistently performed well across diverse traffic distributions (exponential and Pareto) and channel conditions. The proposed architecture increased network throughput by up to 25% and reduced latency under dynamic conditions, demonstrating its scalability, adaptability, and efficiency as a crucial solution for next-generation wireless communication systems. Full article
Show Figures

Figure 1

33 pages, 11208 KB  
Article
A Max–Min Fairness-Inspired Approach to Enhance the Performance of Multimodal Transportation Networks
by Osamah Y. Moshebah, Samuel Rodríguez-González and Andrés D. González
Sustainability 2024, 16(12), 4914; https://doi.org/10.3390/su16124914 - 7 Jun 2024
Cited by 6 | Viewed by 1906
Abstract
Disruptions in multimodal transportation networks can lead to significant damage and loss, affecting not only the networks’ efficiency but also their sustainability. Given the size, dynamics, and complex nature of these networks, it is essential to understand and enhance their resilience against disruptions. [...] Read more.
Disruptions in multimodal transportation networks can lead to significant damage and loss, affecting not only the networks’ efficiency but also their sustainability. Given the size, dynamics, and complex nature of these networks, it is essential to understand and enhance their resilience against disruptions. This not only ensures their functionality and performance but also supports sustainable development by maintaining equitable service across various communities and economic sectors. Therefore, developing efficient techniques to increase the robustness and resilience of transportation networks is crucial for both operational success and sustainability. This research introduces a multicriteria mixed integer linear programming (MCMILP) model aimed at enhancing the resilience and performance of multimodal–multi-commodity transportation networks. By ensuring effective distribution of commodities, alongside a cost-efficient distribution strategy in the wake of disruptive events, our model contributes significantly to sustainable transportation practices. The proposed MCMILP model demonstrates that integrating equality considerations while seeking a cost-efficient distribution strategy significantly mitigates the impact of disruptions, thereby bolstering the resilience of multimodal transportation networks. To illustrate the capabilities of the proposed modeling approach, we present a case study based on the multimodal transportation network in Colombia. The results show a significant improvement in the number of nodes that satisfy their demand requirements with respect to other approaches based on reducing total unsatisfied demand and transportation costs. Full article
(This article belongs to the Special Issue Towards Resilient Infrastructure)
Show Figures

Figure 1

16 pages, 1448 KB  
Article
Dynamic Scheduling and Power Allocation with Random Arrival Rates in Dense User-Centric Scalable Cell-Free MIMO Networks
by Kyung-Ho Shin, Jin-Woo Kim, Sang-Wook Park, Ji-Hee Yu, Seong-Gyun Choi, Hyoung-Do Kim, Young-Hwan You and Hyoung-Kyu Song
Mathematics 2024, 12(10), 1515; https://doi.org/10.3390/math12101515 - 13 May 2024
Cited by 3 | Viewed by 1746
Abstract
In this paper, we address scheduling methods for queue stabilization and appropriate power allocation techniques in downlink dense user-centric scalable cell-free multiple-input multiple-output (CF-MIMO) networks. Scheduling is performed by the central processing unit (CPU) scheduler using Lyapunov optimization for queue stabilization. In this [...] Read more.
In this paper, we address scheduling methods for queue stabilization and appropriate power allocation techniques in downlink dense user-centric scalable cell-free multiple-input multiple-output (CF-MIMO) networks. Scheduling is performed by the central processing unit (CPU) scheduler using Lyapunov optimization for queue stabilization. In this process, the drift-plus-penalty is utilized, and the control parameter V serves as the weighting factor for the penalty term. The control parameter V is fixed to achieve queue stabilization. We introduce the dynamic V method, which adaptively selects the control parameter V considering the current queue backlog, arrival rate, and effective rate. The dynamic V method allows flexible scheduling based on traffic conditions, demonstrating its advantages over fixed V scheduling methods. In cases where UEs scheduled with dynamic V exceed the number of antennas at the access point (AP), the semi-orthogonal user selection (SUS) algorithm is employed to reschedule UEs with favorable channel conditions and orthogonality. Dynamic V shows the best queue stabilization performance across all traffic conditions. It shows a 10% degraded throughput performance compared to V = 10,000. Max-min fairness (MMF), sum SE maximization, and fractional power allocation (FPA) are widely considered power allocation methods. However, the power allocation method proposed in this paper, combining FPA and queue-based FPA, achieves up to 60% better queue stabilization performance compared to MMF. It is suitable for systems requiring low latency. Full article
Show Figures

Figure 1

22 pages, 746 KB  
Article
Grant-Free NOMA: A Low-Complexity Power Control through User Clustering
by Abdulkadir Celik
Sensors 2023, 23(19), 8245; https://doi.org/10.3390/s23198245 - 4 Oct 2023
Cited by 5 | Viewed by 2221
Abstract
Non-orthogonal multiple access (NOMA) has emerged as a promising solution to support multiple devices on the same network resources, improving spectral efficiency and enabling massive connectivity required by ever-increasing Internet of Things devices. However, traditional NOMA schemes operate in a grant-based fashion and [...] Read more.
Non-orthogonal multiple access (NOMA) has emerged as a promising solution to support multiple devices on the same network resources, improving spectral efficiency and enabling massive connectivity required by ever-increasing Internet of Things devices. However, traditional NOMA schemes operate in a grant-based fashion and require channel-state information and power control, which hinders its implementation for massive machine-type communications. Accordingly, this paper proposes synchronous grant-free NOMA (GF-NOMA) frameworks that effectively integrate user equipment (UE) clustering and low-complexity power control to facilitate the power-reception disparity required by the power-domain NOMA. Although single-level GF-NOMA (SGF-NOMA) designates an identical transmit power for all UEs, multi-level GF-NOMA (MGF-NOMA) groups UEs into partitions based on the sounding reference signals strength and assigns partitions with different identical power levels. Based on the objective of interest (e.g., max–sum or max–min rate), the proposed UE clustering scheme iteratively admits UEs to form clusters whose size is dynamically determined based on the number of UEs and available resource blocks (RBs). Once the UEs are acknowledged with power levels and allocated RBs through random-access response (RAR) messages, UEs can transmit anytime without grant acquisition. Numerical results show that the proposed GF-NOMA frameworks can compute clusters in the order of milliseconds for hundreds of UEs. The MGF-NOMA can reach up to 96–99% of the optimal benchmark max–sum rate, and the SGF-NOMA reaches 87% of the optimal benchmark max–sum rate at the same power consumption. Since the MGF-NOMA and optimal benchmark enforce the strongest and weakest channel UEs to transmit at maximum and minimum transmit powers, respectively, the SGF-NOMA also offers a significantly higher energy consumption fairness and network lifetime as all UEs consume equal transmit powers. Although the MGF-NOMA delivers an inferior max–min rate performance, the SGF-NOMA is shown to reach 3e6 MbpJ energy efficiency compared to the 1e7 MbpJ benchmark. Full article
(This article belongs to the Special Issue Future Wireless Communication Networks (Volume II))
Show Figures

Figure 1

26 pages, 2555 KB  
Article
Fair Max–Min Diversity Maximization in Streaming and Sliding-Window Models
by Yanhao Wang, Francesco Fabbri, Michael Mathioudakis and Jia Li
Entropy 2023, 25(7), 1066; https://doi.org/10.3390/e25071066 - 14 Jul 2023
Cited by 5 | Viewed by 2334
Abstract
Diversity maximization is a fundamental problem with broad applications in data summarization, web search, and recommender systems. Given a set X of n elements, the problem asks for a subset S of kn elements with maximum diversity, as quantified by the [...] Read more.
Diversity maximization is a fundamental problem with broad applications in data summarization, web search, and recommender systems. Given a set X of n elements, the problem asks for a subset S of kn elements with maximum diversity, as quantified by the dissimilarities among the elements in S. In this paper, we study diversity maximization with fairness constraints in streaming and sliding-window models. Specifically, we focus on the max–min diversity maximization problem, which selects a subset S that maximizes the minimum distance (dissimilarity) between any pair of distinct elements within it. Assuming that the set X is partitioned into m disjoint groups by a specific sensitive attribute, e.g., sex or race, ensuring fairness requires that the selected subset S contains ki elements from each group i[m]. Although diversity maximization has been extensively studied, existing algorithms for fair max–min diversity maximization are inefficient for data streams. To address the problem, we first design efficient approximation algorithms for this problem in the (insert-only) streaming model, where data arrive one element at a time, and a solution should be computed based on the elements observed in one pass. Furthermore, we propose approximation algorithms for this problem in the sliding-window model, where only the latest w elements in the stream are considered for computation to capture the recency of the data. Experimental results on real-world and synthetic datasets show that our algorithms provide solutions of comparable quality to the state-of-the-art offline algorithms while running several orders of magnitude faster in the streaming and sliding-window settings. Full article
(This article belongs to the Special Issue Advances in Information Sciences and Applications II)
Show Figures

Figure 1

11 pages, 15579 KB  
Article
The Folded Radial Forearm Flap in Lip and Nose Reconstruction—Still a Unique Choice
by Tobias Ettl, Maximilian Gottsauner, Thomas Kühnel, Michael Maurer, Johannes G. Schuderer, Steffen Spörl, Jürgen Taxis, Torsten E. Reichert, Mathias Fiedler and Johannes K. Meier
J. Clin. Med. 2023, 12(11), 3636; https://doi.org/10.3390/jcm12113636 - 24 May 2023
Cited by 6 | Viewed by 3988
Abstract
(1) Background: The radial forearm flap (RFF) has evolved as the flap of choice for intraoral mucosal reconstructions, providing thin and pliable skin with a safe blood supply. Perforator flaps such as the anterolateral thigh (ALT) flap are increasingly being discussed for the [...] Read more.
(1) Background: The radial forearm flap (RFF) has evolved as the flap of choice for intraoral mucosal reconstructions, providing thin and pliable skin with a safe blood supply. Perforator flaps such as the anterolateral thigh (ALT) flap are increasingly being discussed for the same applications. (2) Methods: Patient history, treatment details, and outcome of 12 patents with moderate to extended defects of the lip and/or nose area that were reconstructed by a folded radial forearm flap were retrospectively evaluated for oncologic and functional outcomes. (3) Results: The mean oncologic and functional follow-up were 21.1 (min. 3.8; max. 83.3) and 31.2 (min. 6; max. 96) months, respectively. All flaps survived without revision. In eight cases, major lip defects were reconstructed by an RFF; in six patients, the palmaris longus tendon was included for lip suspension. The functional results in terms of eating, drinking, and mouth opening were good in five cases, while three patients were graded as fair due to moderate drooling. In seven cases, the major parts of the nose were reconstructed with two good and five fair (nostril constriction in three cases) functional results. (4) Conclusions: The folded RFF remains a unique free flap option for complex three-dimensional lip and nose reconstructions in terms of flexibility, versatility, and robustness. Full article
Show Figures

Figure 1

27 pages, 5648 KB  
Article
Improving End-To-End Latency Fairness Using a Reinforcement-Learning-Based Network Scheduler
by Juhyeok Kwon, Jihye Ryu, Jee Hang Lee and Jinoo Joung
Appl. Sci. 2023, 13(6), 3397; https://doi.org/10.3390/app13063397 - 7 Mar 2023
Viewed by 2322
Abstract
In services such as metaverse, which should provide a constant quality of service (QoS) regardless of the user’s physical location, the end-to-end (E2E) latency must be fairly distributed over any flow in the network. To this end, we propose a reinforcement learning (RL)-based [...] Read more.
In services such as metaverse, which should provide a constant quality of service (QoS) regardless of the user’s physical location, the end-to-end (E2E) latency must be fairly distributed over any flow in the network. To this end, we propose a reinforcement learning (RL)-based scheduler for minimizing the maximum network E2E latency. The RL model used the double deep Q-network (DDQN) with the prioritized experience replay (PER). In order to see the performance change according to the type of RL agent, we implemented a single-agent environment where the controller is an agent and a multi-agent environment where each node is an agent. Since the agents were unable to identify E2E latencies in the multi-agent environment, the state and reward were formulated using the estimated E2E latencies. To precisely evaluate the RL-based scheduler, we set out benchmark algorithms to compare with which a network-arrival-time-based heuristic algorithm (NAT-HA) and a maximum-estimated-delay-based heuristic algorithm (MED-HA). The RL-based scheduler, first-in-first-out (FIFO), round-robin (RR), NAT-HA, and MED-HA were compared through large-scale simulations on four network topologies. The simulation results in fixed-packet generation scenarios showed that our proposal, the RL-based scheduler, achieved the minimization of maximum E2E latency in all the topologies. In other scenarios with random flow generation, the RL-based scheduler and MED-HA showed the lowest maximum E2E latency for all topologies. Depending on the topology, the maximum E2E latency of NAT-HA was equal to or larger than that of the RL-based scheduler. In terms of fairness, the RL-based scheduler showed a higher level of fairness than that of FIFO and RR. NAT-HA had similar or lower fairness than the RL-based scheduler depending on the topology, and MED-HA had the same level of fairness as the RL-based scheduler. Full article
(This article belongs to the Special Issue Deep Reinforcement Learning for Robots and Agents)
Show Figures

Figure 1

Back to TopTop