Max-Min Fair Restoration of Infrastructure Networks
Abstract
1. Introduction
2. Literature Review
2.1. Network Restoration
2.2. Fairness in Resource Allocation
2.3. Fair Network Restoration
3. The Maximum-Flow Restoration Model
4. The Fair Restoration Model
4.1. The Direct Progressive Filling Model
4.2. The Direct Progressive-Filling Algorithm (DPFA)
| Algorithm 1: The DPFA algorithm for finding MMF resource allocation and the associated flow vector | |
| Step 1 | Set , , and |
| Step 2 | If , stop. Otherwise, set and find the maximum by solving the problem |
| Step 3 | If , set and |
| Step 4 | solve the problem |
| Step 5 | if , set |
| Step 6 | Go to step 2 |
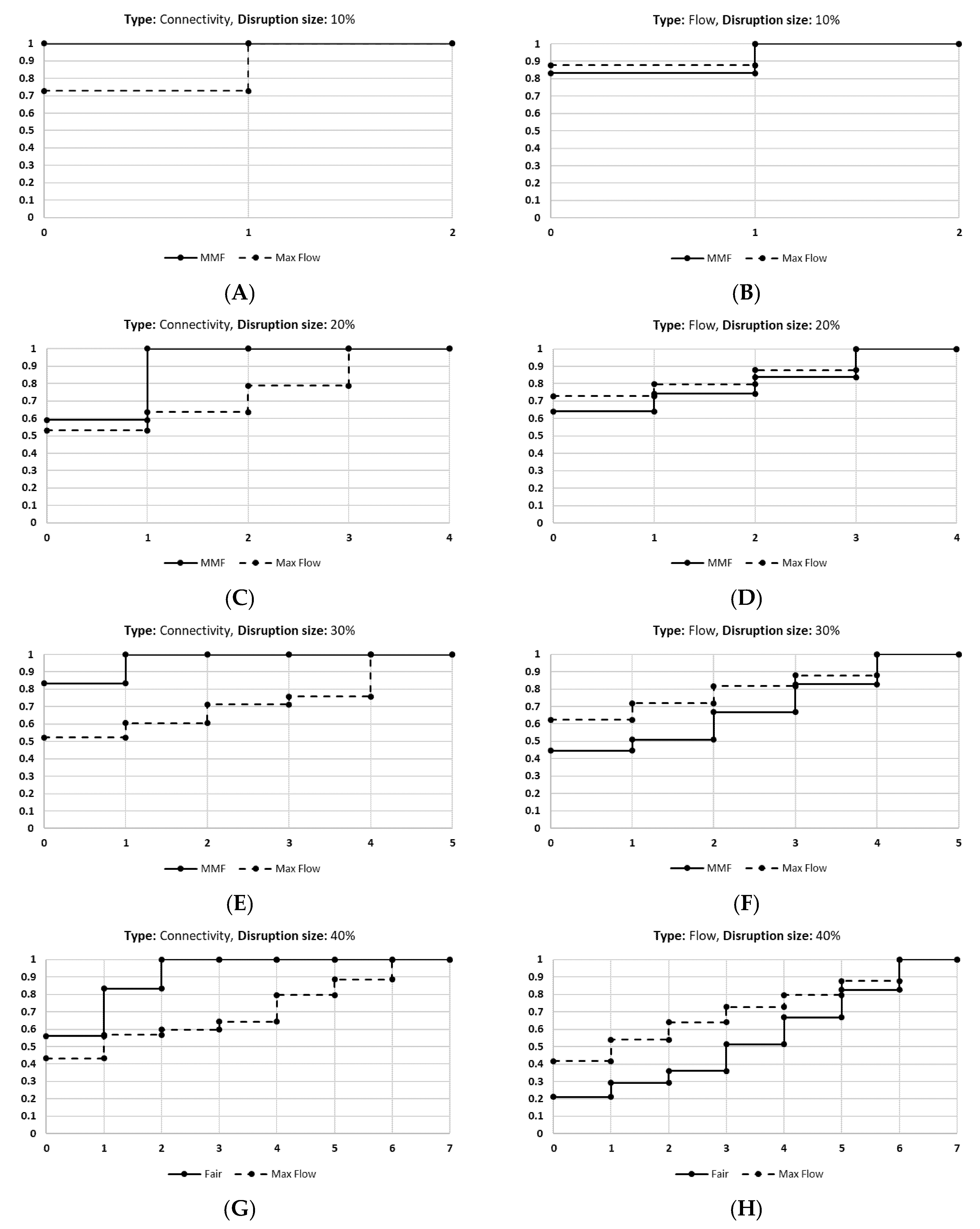
5. Numerical Experiments
6. Concluding Remarks
- Future work should develop a formulation capable of identifying the placement of recovery resources in a manner that remains robust against a wide range of disruptions with differing probabilities (facility location);
- It is essential to examine recovery in relation to both community resilience and the geographic distribution of vulnerable populations;
- Future work could incorporate stochastic programming or robust optimization techniques to model uncertainty in disruption magnitude, repair durations, and resource accessibility.
Author Contributions
Funding
Data Availability Statement
Acknowledgments
Conflicts of Interest
Appendix A






References
- Sun, J.; Zhang, Z. A post-disaster resource allocation framework for improving resilience of interdependent infrastructure networks. Transp. Res. Part D Transp. Environ. 2020, 85, 102455. [Google Scholar] [CrossRef]
- Fang, X.; Lu, L.; Li, Y.; Hong, Y. A Driver-Pressure-State-Impact-Response study for urban transport resilience under extreme rainfall-flood conditions. Transp. Res. Part D Transp. Environ. 2023, 121, 103819. [Google Scholar] [CrossRef]
- Peng, Y.; Xu, M.; Li, G.; Chen, A. Sequencing post-disruption concurrent restoration via a network flow approach. Transp. Res. Part D Transp. Environ. 2024, 133, 104234. [Google Scholar] [CrossRef]
- Ouyang, M. Review on modeling and simulation of interdependent critical infrastructure systems. Reliab. Eng. Syst. Saf. 2014, 121, 43–60. [Google Scholar] [CrossRef]
- Eusgeld, I.; Nan, C.; Dietz, S. “System-of-systems” approach for interdependent critical infrastructures. Reliab. Eng. Syst. Saf. 2011, 96, 679–686. [Google Scholar] [CrossRef]
- Buldyrev, S.V.; Parshani, R.; Paul, G.; Stanley, H.E.; Havlin, S. Catastrophic cascade of failures in interdependent networks. Nature 2010, 464, 1025–1028. [Google Scholar] [CrossRef]
- Karakoc, D.B.; Almoghathawi, Y.; Barker, K.; González, A.D.; Mohebbi, S. Community resilience-driven restoration model for interdependent infrastructure networks. Int. J. Disaster Risk Reduct. 2019, 38, 101228. [Google Scholar] [CrossRef]
- Alkhaleel, B.A.; Liao, H.; Sullivan, K.M. Model and solution method for mean-risk cost-based post-disruption restoration of interdependent critical infrastructure networks. Comput. Oper. Res. 2022, 144, 105812. [Google Scholar] [CrossRef]
- Barker, K.; Lambert, J.H.; Zobel, C.W.; Tapia, A.H.; Ramirez-Marquez, J.E.; Albert, L.; Nicholson, C.D.; Caragea, C. Defining resilience analytics for interdependent cyber-physical-social networks. Sustain. Resilient Infrastruct. 2017, 2, 59–67. [Google Scholar] [CrossRef]
- Hosseini, S.; Barker, K.; Ramirez-Marquez, J.E. A review of definitions and measures of system resilience. Reliab. Eng. Syst. Saf. 2016, 145, 47–61. [Google Scholar] [CrossRef]
- Henry, D.; Ramirez-Marquez, J.E. Generic metrics and quantitative approaches for system resilience as a function of time. Reliab. Eng. Syst. Saf. 2012, 99, 114–122. [Google Scholar] [CrossRef]
- Jönsson, H.; Johansson, J.; Johansson, H. Identifying critical components in technical infrastructure networks. Proc. Inst. Mech. Eng. Part O J. Risk Reliab. 2008, 222, 235–243. [Google Scholar] [CrossRef]
- Rose, A. Economic resilience to natural and man-made disasters: Multidisciplinary origins and contextual dimensions. Environ. Hazards 2007, 7, 383–398. [Google Scholar] [CrossRef]
- Saha, N.; Rezapour, S.; Sahin, N.C.; Amini, M.H. Coordinated restoration of interdependent critical infrastructures: A novel distributed decision-making mechanism integrating optimization and reinforcement learning. Sustain. Cities Soc. 2024, 114, 105761. [Google Scholar] [CrossRef]
- Wei, Y.; Cheng, Y.; Liao, H. Optimal resilience-based restoration of a system subject to recurrent dependent hazards. Reliab. Eng. Syst. Saf. 2024, 247, 110137. [Google Scholar] [CrossRef]
- Almoghathawi, Y.; Selim, S.; Barker, K. Community structure recovery optimization for partial disruption, functionality, and restoration in interdependent networks. Reliab. Eng. Syst. Saf. 2023, 229, 108853. [Google Scholar] [CrossRef]
- Dou, Q.; Lu, D.G.; Zhang, B.Y. Physical resilience assessment of road transportation systems during post-earthquake emergency phase: With a focus on restoration modeling based on dynamic Bayesian networks. Reliab. Eng. Syst. Saf. 2025, 257, 110807. [Google Scholar] [CrossRef]
- Yang, Y.; Li, Z.; Lo, E.Y. Multi-timescale risk-averse restoration for interdependent water-power networks with joint reconfiguration and diverse uncertainties. Reliab. Eng. Syst. Saf. 2025, 261, 111083. [Google Scholar] [CrossRef]
- Alkhaleel, B.A.; Liao, H.; Sullivan, K.M. Risk and resilience-based optimal post-disruption restoration for critical infrastructures under uncertainty. Eur. J. Oper. Res. 2022, 296, 174–202. [Google Scholar] [CrossRef]
- Nurre, S.G.; Cavdaroglu, B.; Mitchell, J.E.; Sharkey, T.C.; Wallace, W.A. Restoring infrastructure systems: An integrated network design and scheduling (INDS) problem. Eur. J. Oper. Res. 2012, 223, 794–806. [Google Scholar] [CrossRef]
- Xu, M.; Li, G.; Chen, A. Resilience-driven post-disaster restoration of interdependent infrastructure systems under different decision-making environments. Reliab. Eng. Syst. Saf. 2024, 241, 109599. [Google Scholar] [CrossRef]
- Ouyang, M.; Wang, Z. Resilience assessment of interdependent infrastructure systems: With a focus on joint restoration modeling and analysis. Reliab. Eng. Syst. Saf. 2015, 141, 74–82. [Google Scholar] [CrossRef]
- Zhang, Q.; Nie, Y.; Du, Y.; Zhao, W.; Cao, S. Resilience-based restoration model for optimizing corrosion repair strategies in tunnel lining. Reliab. Eng. Syst. Saf. 2025, 253, 110546. [Google Scholar] [CrossRef]
- Abushaega, M.M.; González, A.D.; Moshebah, O.Y. A fairness-based multi-objective distribution and restoration model for enhanced resilience of supply chain transportation networks. Reliab. Eng. Syst. Saf. 2024, 251, 110314. [Google Scholar] [CrossRef]
- Rocco, C.M.; Barker, K. A bi-objective model for network restoration considering fairness and graph signal-based functions. Life Cycle Reliab. Saf. Eng. 2023, 12, 299–307. [Google Scholar] [CrossRef]
- Rocco, C.M.; Nock, D.; Barker, K. A fairness-based approach to network restoration. IEEE Trans. Syst. Man Cybern. Syst. 2023, 53, 3890–3894. [Google Scholar] [CrossRef]
- Rinaldi, S.M.; Peerenboom, J.P.; Kelly, T.K. Identifying, understanding, and analyzing critical infrastructure interdependencies. IEEE Control Syst. Mag. 2001, 21, 11–25. [Google Scholar]
- Lee, I.I.E.E.; Mitchell, J.E.; Wallace, W.A. Restoration of services in interdependent infrastructure systems: A network flows approach. IEEE Trans. Syst. Man Cybern. Part C (Appl. Rev.) 2007, 37, 1303–1317. [Google Scholar] [CrossRef]
- Gong, J.; Lee, E.E.; Mitchell, J.E.; Wallace, W.A. Logic-based multiobjective optimization for restoration planning. In Optimization and Logistics Challenges in the Enterprise; Springer: Boston, MA, USA, 2009; pp. 305–324. [Google Scholar]
- Cui, X.; Li, B.; Zhang, S.; Ji, Z.; Wang, S.; Luo, R.; Ren, Y.; Xiao, Y. Resilience-based restoration sequence optimization of disrupted transportation networks: A novel matheuristic approach. Transp. Res. Part D Transp. Environ. 2025, 145, 104834. [Google Scholar] [CrossRef]
- Saf’a, N.M.; Karakoc, D.B.; Ghorbani-Renani, N.; Barker, K.; González, A.D. Project schedule compression for the efficient restoration of interdependent infrastructure systems. Comput. Ind. Eng. 2022, 170, 108342. [Google Scholar] [CrossRef]
- Nurre, S.G.; Sharkey, T.C. Online scheduling problems with flexible release dates: Applications to infrastructure restoration. Comput. Oper. Res. 2018, 92, 1–16. [Google Scholar] [CrossRef]
- Bin-Obaid, H.S.; Trafalis, T.B. Fairness in resource allocation: Foundation and applications. In Proceedings of the Network Algorithms, Data Mining, and Applications, NET 2018, International Conference on Network Analysis, Moscow, Russia, 16 May 2018; Springer International Publishing: Cham, Switzerland, 2018; pp. 3–18. [Google Scholar]
- Ogryczak, W.; Luss, H.; Pióro, M.; Nace, D.; Tomaszewski, A. Fair optimization and networks: A survey. J. Appl. Math. 2014, 2014, 612018. [Google Scholar] [CrossRef]
- Bertsekas, D.; Gallager, R. Data Networks; Athena Scientific: Nashua, NH, USA, 2021. [Google Scholar]
- Danna, E.; Mandal, S.; Singh, A. A practical algorithm for balancing the max-min fairness and throughput objectives in traffic engineering. In Proceedings of the 2012 Proceedings IEEE INFOCOM, Orlando, FL, USA, 25–30 March 2012; IEEE: Piscataway, NJ, USA, 2012; pp. 846–854. [Google Scholar]
- Panayiotou, T.; Ellinas, G. Balancing efficiency and fairness in resource allocation for optical networks. IEEE Trans. Netw. Serv. Manag. 2023, 21, 389–401. [Google Scholar] [CrossRef]
- Jahn, O.; Möhring, R.H.; Schulz, A.S.; Stier-Moses, N.E. System-optimal routing of traffic flows with user constraints in networks with congestion. Oper. Res. 2005, 53, 600–616. [Google Scholar] [CrossRef]
- Jain, R.; Durresi, A.; Babic, G. Throughput fairness index: An explanation. ATM Forum Contrib. 1999, 99, 1–13. [Google Scholar]
- Gini, C. Variabilità e Mutabilità (Variability and Mutability); Tipografia di Paolo Cuppini: Bologna, Italy, 1912; Volume 156. [Google Scholar]
- Virella, P.M.; Woulfin, S. Leading after the storm: New York city principal’s deployment of equity-oriented leadership post-Hurricane Maria. Educ. Manag. Adm. Leadersh. 2023, 51, 1031–1048. [Google Scholar] [CrossRef]
- Leclerc, P.D.; McLay, L.A.; Mayorga, M.E. Modeling equity for allocating public resources. In Community-Based Operations Research: Decision Modeling for Local Impact and Diverse Populations; Springer: New York, NY, USA, 2011; pp. 97–118. [Google Scholar]
- Bertsimas, D.; Farias, V.F.; Trichakis, N. The price of fairness. Oper. Res. 2011, 59, 17–31. [Google Scholar] [CrossRef]
- Abushaega, M.M. Impact of various fairness-based distribution models on supply chain networks from the perspective of customer satisfaction. J. Umm Al-Qura Univ. Eng. Archit. 2024, 15, 609–623. [Google Scholar] [CrossRef]
- Orlowski, S.; Wessäly, R.; Pióro, M.; Tomaszewski, A. SNDlib 1.0—Survivable network design library. Netw. Int. J. 2010, 55, 276–286. [Google Scholar] [CrossRef]
- Ford, L.R.; Fulkerson, D.R. Flows in Networks; Princeton University Press: Princeton, NJ, USA, 1962; Volume 276, p. 22. [Google Scholar]
- Cruz-Mejía, O.; Letchford, A.N. A survey on exact algorithms for the maximum flow and minimum-cost flow problems. Networks 2023, 82, 167–176. [Google Scholar] [CrossRef]







| N | the set of nodes |
| A | the set of arcs |
| the set of supply nodes | |
| the set of terminal nodes | |
| K | the set of demands |
| T | the set of time periods required to restore arcs |
| the source of demand indexed by | |
| the terminal of demand indexed by | |
| the initial status of the arc , where 1 is fully functional and 0 otherwise | |
| a continuous decision variable that represents the flow of demand at time | |
| a continuous decision variable that represents the flow of demand on arc at time | |
| a binary decision variable that equals 1 if arc is restored at time and 0 otherwise | |
| a binary decision variable that equals 1 if the arc is operating at time and 0 otherwise |
| N | the set of nodes |
| A | the set of arcs |
| the set of supply nodes | |
| the set of terminal nodes | |
| K | the set of demands |
| T | the set of time periods required to restore arcs |
| the source of demand indexed by | |
| the terminal of demand indexed by | |
| the initial status of the arc , where 1 is fully functional and 0 otherwise | |
| a parameter that equals 1 if the demand is saturated at time and 0 otherwise | |
| a minimum bound of the saturated demand indexed by | |
| the weight of demand used for tie-breaking in the case of non-convex discrete problems |
| a continuous variable that represents the flow of demand at time | |
| a continuous variable that represents the flow of demand on arc at time | |
| a continuous variable that represents the maximum flow at iteration | |
| a threshold used to identify saturated demands | |
| a continuous variable that represents the positive deviation of demand from at time | |
| a continuous variable that represents the negative deviation of demand from at time | |
| a binary variable that equals 1 if the arc is restored at time and 0 otherwise | |
| a binary variable that equals 1 if the arc is operating at time and 0 otherwise |
| Network | |N| | |A| | |K| |
|---|---|---|---|
| Abilene | 12 | 15 | 132 |
| Atlanta | 15 | 22 | 210 |
| France | 25 | 45 | 300 |
| Nobel—U.S. | 14 | 21 | 91 |
| Janos—U.S. | 26 | 42 | 108 |
| Network | Disruption Size | Number of Disrupted Arcs | Average Flow | Average Fairness | Average Demands Connected | Comp. Time (s) |
|---|---|---|---|---|---|---|
| Abilene | 10% | 1 | 0.94 | 0.96 | 0.86 | 2.39 |
| 20% | 3 | 0.85 | 1 | 0.74 | 6.08 | |
| 30% | 4 | 0.81 | 0.96 | 0.72 | 8.13 | |
| 40% | 6 | 0.71 | 0.83 | 0.70 | 17.20 | |
| Atlanta | 10% | 2 | 0.92 | 1 | 0.86 | 4.68 |
| 20% | 4 | 0.88 | 0.99 | 0.82 | 43.59 | |
| 30% | 7 | 0.81 | 1 | 0.73 | 260.50 | |
| 40% | 9 | 0.74 | 0.95 | 0.67 | 4144.15 | |
| France | 10% | 4 | 0.98 | 0.99 | 0.96 | 39.13 |
| 20% | 9 | 0.95 | 0.96 | 0.94 | 275.34 | |
| 30% | 13 | 0.97 | 1 | 0.94 | 357.10 | |
| 40% | 18 | 0.97 | 0.98 | 0.95 | 751.56 | |
| Nobel—U.S. | 10% | 2 | 0.93 | 0.76 | 0.94 | 2.50 |
| 20% | 4 | 0.86 | 0.85 | 0.88 | 13.18 | |
| 30% | 6 | 0.83 | 0.86 | 0.86 | 155.85 | |
| 40% | 8 | 0.80 | 1 | 0.76 | 190.89 | |
| Janos—U.S. | 10% | 4 | 0.92 | 0.72 | 0.96 | 13.04 |
| 20% | 8 | 0.89 | 0.80 | 0.93 | 107.95 | |
| 30% | 13 | 0.84 | 0.85 | 0.89 | 48,493.85 | |
| 40% | 16 | 0.79 | 1 | 0.81 | 1890.51 |
| Network | Disruption Size | Number of Disrupted Arcs | Average Flow | Average Fairness | Average Demands Connected | Number of Iterations | The Average POF | Comp. Time (s) |
|---|---|---|---|---|---|---|---|---|
| Abilene | 10% | 1 | 0.92 | 0.89 | 1 | 11 | 0.03 | 58.06 |
| 20% | 3 | 0.81 | 0.88 | 0.90 | 12 | 0.06 | 114.66 | |
| 30% | 4 | 0.69 | 0.50 | 0.97 | 13 | 0.16 | 146.27 | |
| 40% | 6 | 0.55 | 0.37 | 0.91 | 25 | 0.27 | 242.55 | |
| Atlanta | 10% | 2 | 0.88 | 0.81 | 1 | 17 | 0.05 | 158.26 |
| 20% | 4 | 0.77 | 0.57 | 1 | 22 | 0.13 | 355.05 | |
| 30% | 7 | 0.69 | 0.56 | 0.98 | 26 | 0.16 | 1375.24 | |
| 40% | 9 | 0.58 | 0.41 | 0.93 | 28 | 0.25 | 1241.91 | |
| France | 10% | 4 | 0.97 | 0.93 | 1 | 25 | 0.01 | 1822.00 |
| 20% | 9 | 0.92 | 0.85 | 1 | 26 | 0.03 | 2280.91 | |
| 30% | 13 | 0.94 | 0.91 | 1 | 30 | 0.03 | 3802.98 | |
| 40% | 18 | 0.94 | 0.89 | 1 | 27 | 0.03 | 4892.34 | |
| Nobel—U.S. | 10% | 2 | 0.87 | 0.50 | 1 | 14 | 0.07 | 60.68 |
| 20% | 4 | 0.75 | 0.33 | 1 | 18 | 0.13 | 166.89 | |
| 30% | 6 | 0.72 | 0.28 | 1 | 24 | 0.15 | 458.07 | |
| 40% | 8 | 0.67 | 0.54 | 0.94 | 30 | 0.18 | 591.25 | |
| Janos—U.S. | 10% | 4 | 0.92 | 0.51 | 1 | 36 | 0.02 | 483.07 |
| 20% | 8 | 0.82 | 0.47 | 0.99 | 41 | 0.09 | 1269.74 | |
| 30% | 13 | 0.73 | 0.34 | 1 | 56 | 0.14 | 4754.36 | |
| 40% | 16 | 0.66 | 0.43 | 0.99 | 62 | 0.19 | 24,775.11 |
Disclaimer/Publisher’s Note: The statements, opinions and data contained in all publications are solely those of the individual author(s) and contributor(s) and not of MDPI and/or the editor(s). MDPI and/or the editor(s) disclaim responsibility for any injury to people or property resulting from any ideas, methods, instructions or products referred to in the content. |
© 2025 by the authors. Licensee MDPI, Basel, Switzerland. This article is an open access article distributed under the terms and conditions of the Creative Commons Attribution (CC BY) license (https://creativecommons.org/licenses/by/4.0/).
Share and Cite
Bin Obaid, H.S.; Almoghathawi, Y.A.; Algafri, M. Max-Min Fair Restoration of Infrastructure Networks. Mathematics 2025, 13, 3112. https://doi.org/10.3390/math13193112
Bin Obaid HS, Almoghathawi YA, Algafri M. Max-Min Fair Restoration of Infrastructure Networks. Mathematics. 2025; 13(19):3112. https://doi.org/10.3390/math13193112
Chicago/Turabian StyleBin Obaid, Hamoud Sultan, Yasser Adel Almoghathawi, and Mohammed Algafri. 2025. "Max-Min Fair Restoration of Infrastructure Networks" Mathematics 13, no. 19: 3112. https://doi.org/10.3390/math13193112
APA StyleBin Obaid, H. S., Almoghathawi, Y. A., & Algafri, M. (2025). Max-Min Fair Restoration of Infrastructure Networks. Mathematics, 13(19), 3112. https://doi.org/10.3390/math13193112

