Grant-Free NOMA: A Low-Complexity Power Control through User Clustering
Abstract
:1. Introduction
- Enhanced Mobile Broadband (eMBB): This primarily focuses on supporting traditional human-type communications (HTC), emphasizing high data rates, broadband services, and providing high-capacity connectivity [2].
- Massive Machine-Type Communications (mMTC): As we move towards a more interconnected world, there is a surge in the deployment of the Internet of Things (IoT) devices [3]. mMTC focuses on ensuring that cellular networks can handle the immense connectivity demand from billions of these devices. Unlike eMBB, the emphasis here is not on high data rates but on ensuring reliable, efficient communication for devices that might transmit data sporadically, often in very short packets [4].
- Ultra-Reliable Low-Latency Communications (URLLC): In applications like autonomous vehicles or industrial automation, it is crucial to have instantaneous communication with near-zero latency and ultra-high reliability [5]. URLLC has been tailored to meet reliability and latency requirements beyond the perception of a human.
- Signaling Overhead Attenuation: A primary impetus propelling GF-NOMA’s inception is its prowess in truncating the signaling overhead, an inevitable byproduct of recurrent grant access requests in ultra-dense networks [19]. GF-NOMA can streamline network operations, allowing devices to transmit without waiting for prior scheduling, especially for short and sporadic data transmissions.
- Power Control Dynamics: Although classical PD-NOMA is profoundly reliant on power control to delineate users, in the GF-NOMA context, this emphasis is palpably attenuated, albeit not rendered obsolete [20]. Devices might necessitate intermittent power calibrations to ascertain the decodability of their signals at the receiver, especially in the presence of potential interference.
- Latency Minimization: Another salient advantage offered by GF-NOMA is its potential to curtail latency. By obviating the inherent latency in grant-based systems, devices experience expedited data relay, a facet paramount for applications with a penchant for URLLC [21].
1.1. Related Work
1.2. Paper Contributions and Novelty
- Two simple yet effective PD-NOMA schemes are proposed for the low-complexity power control required by the GF-NOMA concept. In single-level GF-NOMA (SGF-NOMA), all UEs are requested to transmit at the same power level through a broadcast RAR message. Even though all UEs transmit at the same power, the SGF-NOMA reaches power-reception disparity based on the channel gain disparity of UEs.
- To further improve SGF-NOMA, we propose a multi-level GF-NOMA (MGF-NOMA) approach that groups UEs into partitions based on sounding reference signals (SRS) signal strength. Then, partitions are assigned with different but identical power levels and shared with partition members through broadcast signals. The MGF-NOMA executes partitioning and power leveling dynamically depending on the available number of RBs and UEs awaiting admission. In addition to channel gain differences, the MGF-NOMA further improves the power-reception disparity by varying partitions’ power levels. Assuming channel reciprocity, the proposed schemes are also adopted to downlink (DL) power control for low-complexity operations.
- An iterative UE clustering scheme is proposed using the proposed low-complexity power control schemes as building blocks. The clustering algorithm iteratively pairs UEs awaiting admission with the available RBs to maximize the network sum or max–min rate. Therefore, the iterative clustering approach introduces extra power control while performing RB allocation. Finally, clustering information is shared with UEs by broadcasting RAR messages, and UEs can transmit on allocated RBs anytime without GA.
1.3. Notations and Paper Organization
2. Network Model
Channel Model
3. Problem Definition and Solution Methodology
3.1. Problem Definition
3.2. Solution Methodology
4. A Low-Complexity PD-NOMA
4.1. Benchmark Optimal PD-NOMA
4.2. Proposed Low-Complexity PD-NOMA
5. Iterative UE Admission
| Algorithm 1 Proposed MGF-NOMA and SGF-NOMA |
|
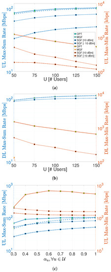
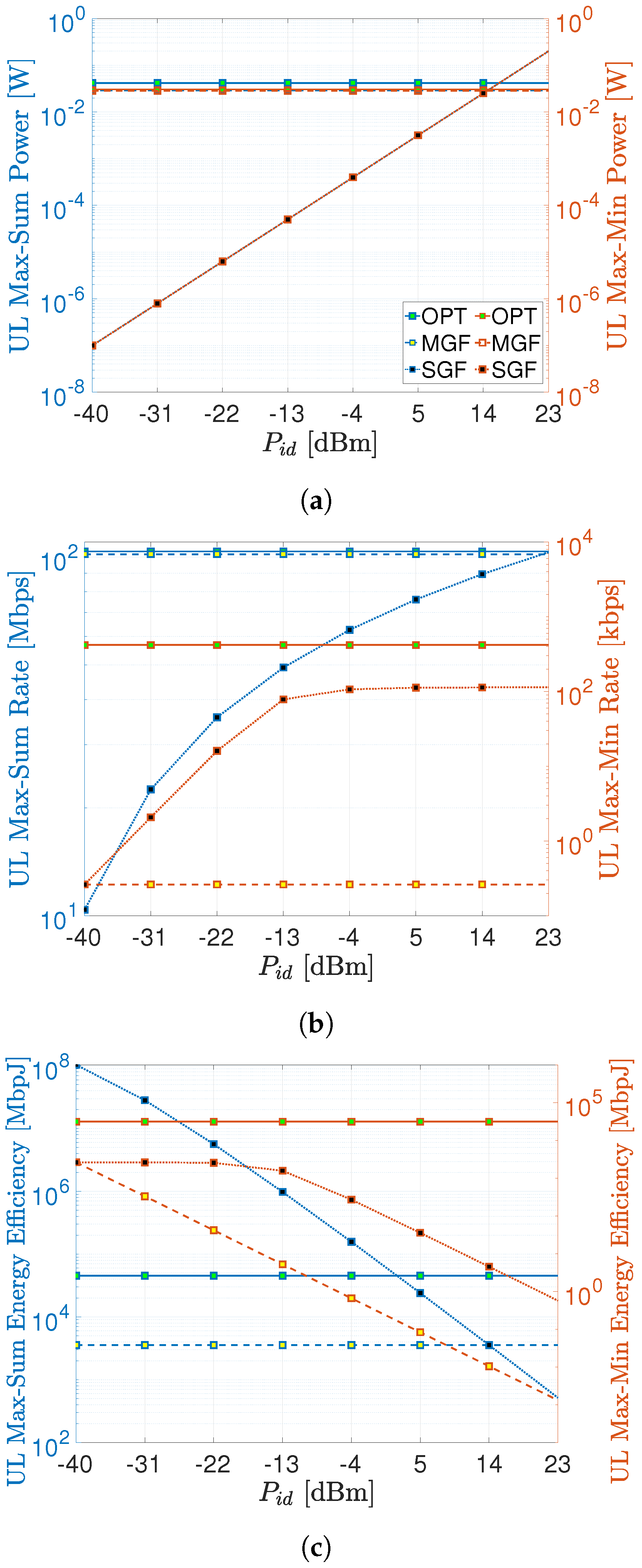
6. Numerical Results
6.1. Benchmark Comparison
6.2. Date Rate, Power Consumption, and Energy-Efficiency Comparison
6.3. Impact of SIC Imperfections on System Performance
- Decoding Errors: The success of SIC largely depends on the accurate decoding of the strongest signal. If there is an error in the decoding of the strongest user, this error becomes propagated when subtracting it from the combined signal, affecting the decoding of the next user.
- Receiver Non-linearities: Even with perfect decoding, there might be residual interference after subtraction due to non-linearities in the receiver, which can degrade the performance of the subsequent user’s signal decoding.
- Channel Estimation Errors: For the subtraction to be perfect, the receiver must accurately estimate the channel conditions. Any error in channel estimation will lead to imperfect cancellation.
- Out-of-Order Decoding: The assumption that users can be perfectly ordered according to their channel conditions may not always hold, especially in dynamic environments. Decoding a user out of order can degrade the performance of SIC.

| Performance Metrics | |||
|---|---|---|---|
| Operational Regime | Power Consumption | Data Rate | Energy Efficiency |
| Max–Sum Rate | 14.50 [dBm] | 23.00 [dBm] | −40.00 [dBm] |
| Max–Min Rate | 15.25 [dBm] | 23.0 [dBm] | 2.00 [dBm] |
7. Conclusions and Future Research Directions
Funding
Institutional Review Board Statement
Informed Consent Statement
Data Availability Statement
Conflicts of Interest
References
- ITU-R. IMT Vision—Framework and Overall Objectives of the Future Development of IMT for 2020 and Beyond; ITU-R: Geneva, Switzerland, 2015. [Google Scholar]
- Khan, B.S.; Jangsher, S.; Ahmed, A.; Al-Dweik, A. URLLC and eMBB in 5G Industrial IoT: A Survey. IEEE Open J. Commun. Soc. 2022, 3, 1134–1163. [Google Scholar] [CrossRef]
- Chithaluru, P.; Singh, A.; Dhatterwal, J.S.; Sodhro, A.H.; Albahar, M.A.; Jurcut, A.; Alkhayyat, A. An Optimized Privacy Information Exchange Schema for Explainable AI Empowered WiMAX-based IoT networks. Future Gener. Comput. Syst. 2023, 148, 225–239. [Google Scholar] [CrossRef]
- Lin, Z.; Lin, M.; Cola, T.; Wang, J.; Zhu, W.; Cheng, J. Supporting IoT With Rate-Splitting Multiple Access in Satellite and Aerial-Integrated Networks. IEEE Internet Things J. 2021, 14, 11123–11134. [Google Scholar] [CrossRef]
- Ali, R.; Zikria, Y.B.; Bashir, A.K.; Garg, S.; Kim, H.S. URLLC for 5G and Beyond: Requirements, Enabling Incumbent Technologies and Network Intelligence. IEEE Access 2021, 9, 67064–67095. [Google Scholar] [CrossRef]
- Dahlman, E.; Parkvall, S.; Skold, J.; Beming, P. 3G Evolution: HSPA and LTE for Mobile Broadband; Academic Press: Cambridge, MA, USA, 2010. [Google Scholar]
- Sesia, S.; Toufik, I.; Baker, M. LTE-the UMTS Long Term Evolution: From Theory to Practice; John Wiley & Sons: Hoboken, NJ, USA, 2011. [Google Scholar]
- Shirvanimoghaddam, M.; Li, Y.; Dohler, M.; Vucetic, B.; Feng, S. Probabilistic rateless multiple access for machine-to-machine communication. IEEE Trans. Wirel. Commun. 2015, 14, 6815–6826. [Google Scholar] [CrossRef]
- Saito, Y.; Kishiyama, Y.; Benjebbour, A.; Nakamura, T.; Li, A.; Higuchi, K. Non-Orthogonal Multiple Access (NOMA) for Cellular Future Radio Access. In Proceedings of the 2013 IEEE 77th Vehicular Technology Conference (VTC Spring), Dresden, Germany, 2–5 June 2013; pp. 1–5. [Google Scholar]
- Makki, B.; Chitti, K.; Behravan, A.; Alouini, M.-S. A Survey of NOMA: Current Status and Open Research Challenges. IEEE Open J. Commun. Soc. 2020, 1, 179–189. [Google Scholar] [CrossRef]
- Ding, Z.; Schober, R.; Poor, H.V. Unveiling the Importance of SIC in NOMA Systems—Part 1: State of the Art and Recent Findings. IEEE Commun. Lett. 2020, 24, 2373–2377. [Google Scholar] [CrossRef]
- Kang, A.; Lin, M.; Ouyang, J.; Zhu, W.-P. Secure Transmission in Cognitive Satellite Terrestrial Networks. IEEE J. Sel. Areas Commun. 2016, 34, 3025–3037. [Google Scholar]
- Nikopour, H.; Baligh, H. Sparse code multiple access. In Proceedings of the IEEE 24th Annual International Symposium on Personal, Indoor, and Mobile Radio Communications (PIMRC), London, UK, 8–11 September 2013; pp. 332–336. [Google Scholar]
- Yuan, Z.; Yu, G.; Li, W.; Yuan, Y.; Wang, X.; Xu, J. Multi-User Shared Access for Internet of Things. In Proceedings of the 2016 IEEE 83rd Vehicular Technology Conference (VTC Spring), Nanjing, China, 15–18 May 2016; pp. 1–5. [Google Scholar]
- Jia, M.; Gao, Q.; Guo, Q.; Gu, X. Energy-Efficiency Power Allocation Design for UAV-Assisted Spatial NOMA. IEEE Internet Things J. 2021, 8, 15205–15215. [Google Scholar] [CrossRef]
- Celik, A.; Chaaban, A.; Shihada, B.; Alouini, M.-S. Topology Optimization for 6G Networks: A Network Information-Theoretic Approach. IEEE Veh. Technol. Mag. 2020, 15, 83–92. [Google Scholar] [CrossRef]
- Celik, A.; Tsai, M.; Radaydeh, R.M.; Al-Qahtani, F.S.; Alouini, M. Distributed cluster formation and power-bandwidth allocation for imperfect NOMA in dl-hetnets. IEEE Trans. Commun. 2019, 67, 1677–1692. [Google Scholar] [CrossRef]
- Celik, A.; Tsai, M.; Radaydeh, R.M.; Al-Qahtani, F.S.; Alouini, M. Distributed user clustering and resource allocation for imperfect NOMA in heterogeneous networks. IEEE Trans. Commun. 2019, 67, 7211–7227. [Google Scholar] [CrossRef]
- Wang, B.; Dai, L.; Zhang, Y.; Mir, T.; Li, J. Dynamic Compressive Sensing-Based Multi-User Detection for Uplink Grant-Free NOMA. IEEE Commun. Lett. 2016, 20, 2320–2323. [Google Scholar] [CrossRef]
- Cirik, A.C.; Balasubramanya, N.M.; Lampe, L.; Vos, G.; Bennett, S. Toward the Standardization of Grant-Free Operation and the Associated NOMA Strategies in 3GPP. IEEE Commun. Stand. Mag. 2019, 3, 60–66. [Google Scholar] [CrossRef]
- Tran, D.-D.; Sharma, S.K.; Ha, V.N.; Chatzinotas, S.; Woungang, I. Multi-Agent DRL Approach for Energy-Efficient Resource Allocation in URLLC-Enabled Grant-Free NOMA Systems. IEEE Open J. Commun. Soc. 2023, 4, 1470–1486. [Google Scholar] [CrossRef]
- Shahab, M.B.; Abbas, R.; Shirvanimoghaddam, M.; Johnson, S.J. Grant-free non-orthogonal multiple access for IoT: A survey. IEEE Commun. Surv. Tutor. 2020, 22, 1805–1838. [Google Scholar] [CrossRef]
- Balevi, E.; Rabee, F.T.A.; Gitlin, R.D. Aloha-NOMA for massive machine-to-machine iot communication. In Proceedings of the 2018 IEEE International Conference on Communications (ICC), Kansas City, MO, USA, 20–24 May 2018; pp. 1–5. [Google Scholar]
- Choi, J. NOMA-based random access with multichannel aloha. IEEE J. Sel. Areas Commun. 2017, 35, 2736–2743. [Google Scholar] [CrossRef]
- Elkourdi, M.; Mazin, A.; Balevi, E.; Gitlin, R.D. Enabling slotted aloha-NOMA for massive m2m communication in iot networks. In Proceedings of the 2018 IEEE 19th Wireless and Microwave Technology Conference (WAMICON), Sand Key, FL, USA, 9–10 April 2018; pp. 1–4. [Google Scholar]
- Zhang, C.; Liu, Y.; Ding, Z. Semi-grant-free NOMA: A stochastic geometry model. IEEE Trans. Wirel. Commun. 2022, 21, 1197–1213. [Google Scholar] [CrossRef]
- Zhang, C.; Liu, Y.; Yi, W.; Qin, Z.; Ding, Z. Semi-grant-free NOMA: Ergodic rates analysis with random deployed users. IEEE Wirel. Commun. Lett. 2021, 10, 692–695. [Google Scholar] [CrossRef]
- Liu, J.; Wu, G.; Zhang, X.; Fang, S.; Li, S. Modeling, analysis, and optimization of grant-free NOMA in massive mtc via stochastic geometry. IEEE Internet Things J. 2021, 8, 4389–4402. [Google Scholar] [CrossRef]
- Fayaz, M.; Yi, W.; Liu, Y.; Nallanathan, A. Transmit power pool design for grant-free NOMA-iot networks via deep reinforcement learning. IEEE Trans. Wirel. Commun. 2021, 20, 7626–7641. [Google Scholar] [CrossRef]
- Abbas, R.; Shirvanimoghaddam, M.; Li, Y.; Vucetic, B. A novel analytical framework for massive grant-free NOMA. IEEE Trans. Commun. 2019, 67, 2436–2449. [Google Scholar] [CrossRef]
- Doğan, S.; Tusha, A.; Arslan, H. NOMA with index modulation for uplink URLLC through grant-free access. IEEE J. Sel. Top. Signal Process. 2019, 13, 1249–1257. [Google Scholar] [CrossRef]
- Liu, Y.; Deng, Y.; Elkashlan, M.; Nallanathan, A.; Karagiannidis, G.K. Optimization of grant-free NOMA with multiple configured-grants for mURLLC. IEEE J. Sel. Areas Commun. 2022, 40, 1222–1236. [Google Scholar] [CrossRef]
- Liu, Y.; Deng, Y.; Zhou, H.; Elkashlan, M.; Nallanathan, A. Deep reinforcement learning-based grant-free NOMA optimization for mURLLC. IEEE Trans. Commun. 2023, 71, 1475–1490. [Google Scholar]
- Zhang, X.; Fan, P.; Hao, L.; Quan, X. Generalized approximate message passing based bayesian learning detectors for uplink grant-free NOMA. IEEE Trans. Veh. Technol. 2023, in press. [Google Scholar] [CrossRef]
- Zhang, X.; Fan, P.; Liu, J.; Hao, L. Bayesian learning-based multiuser detection for grant-free NOMA systems. IEEE Trans. Wirel. Commun. 2022, 21, 6317–6328. [Google Scholar] [CrossRef]
- Yu, H.; Fei, Z.; Zheng, Z.; Ye, N.; Han, Z. Deep learning-based user activity detection and channel estimation in grant-free NOMA. IEEE Trans. Wirel. Commun. 2023, 22, 2202–2214. [Google Scholar] [CrossRef]
- Khan, M.U.; Paolini, E.; Chiani, M. Enumeration and identification of active users for grant-free NOMA using deep neural networks. IEEE Access 2022, 10, 125616–125625. [Google Scholar] [CrossRef]
- Cao, K.; Ding, H.; Wang, B.; Lv, L.; Tian, J.; Wei, Q.; Gong, F. Enhancing physical-layer security for iot with nonorthogonal multiple access assisted semi-grant-free transmission. IEEE Internet Things J. 2022, 9, 24669–24681. [Google Scholar] [CrossRef]
- Lin, Z.; Niu, H.; An, K.; Wang, Y.; Zheng, G.; Chatzinotas, S.; Hu, Y. Refracting RIS-Aided Hybrid Satellite-Terrestrial Relay Networks: Joint Beamforming Design and Optimization. Trans. Aerosp. Electron. Syst. 2022, 58, 3717–3724. [Google Scholar] [CrossRef]
- Kilinc, F.; Tasci, R.A.; Celik, A.; Abdallah, A.; Eltawil, A.M.; Basar, E. RIS-Assisted Grant-Free NOMA: User Pairing, RIS Assignment, and Phase Shift Alignment. IEEE Trans. Cogn. Commun. Netw. 2023. early access. [Google Scholar] [CrossRef]
- Makin, M.; Arzykulov, S.; Celik, A.; Eltawil, A.; Nauryzbayev, G. Optimal RIS Partitioning and Power Control for Bidirectional NOMA Networks. IEEE Trans. Wirel. Commun. 2023. early access. [Google Scholar] [CrossRef]
- Al-Hourani, A.; Kandeepan, S.; Lardner, S. Optimal lap altitude for maximum coverage. IEEE Wirel. Commun. Lett. 2014, 3, 569–572. [Google Scholar] [CrossRef]
- Arzykulov, S.; Celik, A.; Nauryzbayev, G.; Eltawil, A.M. UAV-assisted cooperative & cognitive NOMA: Deployment, clustering, and resource allocation. IEEE Trans. Cogn. Commun. Netw. 2022, 8, 263–281. [Google Scholar]
- Arzykulov, S.; Nauryzbayev, G.; Celik, A.; Eltawil, A.M. Hardware and interference limited cooperative CR-NOMA networks under imperfect SIC and CSI. IEEE Open J. Commun. Soc. 2021, 2, 1473–1485. [Google Scholar] [CrossRef]
- 3GPP. LTE; Evolved Universal Terrestrial Radio Access (E-UTRA); User Equipment (UE) Radio Transmission and Reception; Technical Report TS 136 101 V10.24.1; ETSI: Valbonne, France, 2017. [Google Scholar]
- Jonker, R.; Volgenant, A. A shortest augmenting path algorithm for dense and sparse linear assignment problems. Computing 1987, 38, 325–340. [Google Scholar] [CrossRef]
- Burkard, R.; Dell’Amico, M.; Martello, S. Assignment Problems: Revised Reprint; SIAM: Philadelphia, PA, USA, 2012. [Google Scholar]
- Lin, Z.; Lin, M.; Champagne, B.; Zhu, W.; Al-Dhahir, N. Secrecy-Energy Efficient Hybrid Beamforming for Satellite-Terrestrial Integrated Networks. IEEE Trans. Commun. 2021, 69, 6345–6360. [Google Scholar] [CrossRef]





| Nots. | Description |
|---|---|
| Set of U users | |
| Set of R RBs | |
| N | Cluster size, |
| B | RB bandwidth |
| Access probability of UE | |
| Clustering binary indicator if UE is assigned to RB, 0 otherwise | |
| Cluster set of users belonging to RB | |
| Set of active members of | |
| Maximum transmit power of UE | |
| Minimum transmit power of UE | |
| Composite channel gain between generic nodes i and j | |
| SINR of UE at RB | |
| QoS requirement of UE | |
| Power allocation vector for | |
| Linearly spaced N power transmit levels, | |
| N levels of DL transmit power, | |
| Number of users awaiting cluster admission | |
| cost matrix of user admission iteration |
| Uplink PD-NOMA | Downlink PD-NOMA | |
|---|---|---|
| Max–Min | ||
| Max–Sum |
| Level Indices | Powers [dBl | N (Cluster Size) | ||||||||
|---|---|---|---|---|---|---|---|---|---|---|
| 2 | 3 | 4 | 5 | 6 | 7 | 8 | 9 | 10 | ||
| 23 | ✓ | ✓ | ✓ | ✓ | ✓ | ✓ | ✓ | ✓ | ✓ | |
| 16 | – | – | – | – | – | – | – | – | ✓ | |
| 15.125 | – | – | – | – | – | – | – | ✓ | – | |
| 14 | – | – | – | – | – | – | ✓ | – | – | |
| 12.5 | – | – | – | – | – | ✓ | – | – | – | |
| 10.4 | – | – | – | – | ✓ | – | – | – | – | |
| 9 | – | – | – | – | – | – | – | – | ✓ | |
| 7.25 | – | – | – | ✓ | – | – | – | ✓ | – | |
| 5 | – | – | – | – | – | – | ✓ | – | – | |
| 2 | – | – | ✓ | – | – | ✓ | – | – | ✓ | |
| −0.625 | – | – | – | – | – | – | – | ✓ | – | |
| −2.2 | – | – | – | – | ✓ | – | – | – | – | |
| −4 | – | – | – | – | – | – | ✓ | – | – | |
| −5 | – | – | – | – | – | – | – | – | ✓ | |
| −8.5 | – | ✓ | – | ✓ | – | ✓ | – | ✓ | – | |
| −12 | – | – | – | – | – | – | – | – | ✓ | |
| −13 | – | – | – | – | – | – | ✓ | – | – | |
| −14.8 | – | – | – | – | ✓ | – | – | – | – | |
| −16.375 | – | – | – | – | – | – | – | ✓ | – | |
| −19 | – | – | ✓ | – | – | ✓ | – | – | ✓ | |
| −21 | ✓ | – | – | – | – | – | – | – | – | |
| −22 | – | – | – | – | – | – | ✓ | – | – | |
| −24.25 | – | – | – | ✓ | – | – | – | ✓ | – | |
| −26 | – | – | – | – | – | – | – | – | ✓ | |
| −27.4 | – | – | – | – | ✓ | – | – | – | – | |
| −29.5 | – | – | – | – | – | ✓ | – | – | – | |
| −31 | – | – | – | – | – | – | ✓ | – | – | |
| −32.125 | – | – | – | – | – | – | – | ✓ | – | |
| −33 | – | – | – | – | – | – | – | – | ✓ | |
| −40 | – | ✓ | ✓ | ✓ | ✓ | ✓ | ✓ | ✓ | ✓ | |
Disclaimer/Publisher’s Note: The statements, opinions and data contained in all publications are solely those of the individual author(s) and contributor(s) and not of MDPI and/or the editor(s). MDPI and/or the editor(s) disclaim responsibility for any injury to people or property resulting from any ideas, methods, instructions or products referred to in the content. |
© 2023 by the author. Licensee MDPI, Basel, Switzerland. This article is an open access article distributed under the terms and conditions of the Creative Commons Attribution (CC BY) license (https://creativecommons.org/licenses/by/4.0/).
Share and Cite
Celik, A. Grant-Free NOMA: A Low-Complexity Power Control through User Clustering. Sensors 2023, 23, 8245. https://doi.org/10.3390/s23198245
Celik A. Grant-Free NOMA: A Low-Complexity Power Control through User Clustering. Sensors. 2023; 23(19):8245. https://doi.org/10.3390/s23198245
Chicago/Turabian StyleCelik, Abdulkadir. 2023. "Grant-Free NOMA: A Low-Complexity Power Control through User Clustering" Sensors 23, no. 19: 8245. https://doi.org/10.3390/s23198245
APA StyleCelik, A. (2023). Grant-Free NOMA: A Low-Complexity Power Control through User Clustering. Sensors, 23(19), 8245. https://doi.org/10.3390/s23198245

