Sign in to use this feature.

Years

Between: -

Subjects

remove_circle_outline
remove_circle_outline
remove_circle_outline
remove_circle_outline
remove_circle_outline
remove_circle_outline
remove_circle_outline
remove_circle_outline
remove_circle_outline

Journals

remove_circle_outline
remove_circle_outline
remove_circle_outline
remove_circle_outline
remove_circle_outline
remove_circle_outline
remove_circle_outline
remove_circle_outline
remove_circle_outline
remove_circle_outline
remove_circle_outline
remove_circle_outline
remove_circle_outline
remove_circle_outline
remove_circle_outline
remove_circle_outline
remove_circle_outline
remove_circle_outline
remove_circle_outline
remove_circle_outline
remove_circle_outline
remove_circle_outline
remove_circle_outline
remove_circle_outline

Article Types

Countries / Regions

remove_circle_outline
remove_circle_outline
remove_circle_outline
remove_circle_outline
remove_circle_outline
remove_circle_outline
remove_circle_outline

Search Results (3,510)

Search Parameters:
Keywords = material nonlinearity

Order results
Result details
Results per page
Select all
Export citation of selected articles as:
24 pages, 3591 KB  
Article
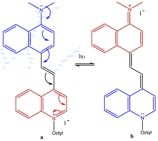
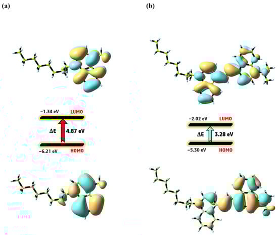
Synthesis, Antimicrobial and Anti-Inflammatory Activity of a Novel Styrylquinolinium Iodide Bearing a Naphthalene Moiety
by Stoyan Zagorchev, Mina Todorova, Mina Pencheva, Rumyana Bakalska, Tsonko Kolev, Emiliya Cherneva, Mehran Feizi-Dehnayebi, Seyedsobhan Seyedhoseyni, Yulian Tumbarski, Paraskev Nedialkov, Francisco Alonso and Stoyanka Nikolova
Crystals 2026, 16(2), 115; https://doi.org/10.3390/cryst16020115 - 5 Feb 2026
Abstract
The use of styrylium dyes as organic nonlinear optical materials in many photonics domains has been the subject of research for decades. It has been noted that over time, research has also looked into the biological activity of styrylium dyes, namely their antibacterial [...] Read more.
The use of styrylium dyes as organic nonlinear optical materials in many photonics domains has been the subject of research for decades. It has been noted that over time, research has also looked into the biological activity of styrylium dyes, namely their antibacterial effects, as well as attempts to establish links between structure and property by choosing particular structural pieces. These investigations’ scope is still very limited. Therefore, our main goal was to synthesize a styrylium compound with antimicrobial potential. A novel styrylquinolinium compound (D) was synthesized using Knoevenagel condensation. Spectroscopic techniques, including IR, 1D and 2D NMR (COSY, HSQC, and HMBC), HRMS spectra, and X-ray analysis, were used to confirm its structure. The antimicrobial and anti-inflammatory activity of the compound was assessed. The compound was found to have very good antimicrobial activity against five Gram-positive strains, three Gram-negative strains, and fungi. The most pronounced effect of the compound was against Escherichia coli and Pseudomonas aeruginosa. The compound’s anti-inflammatory activity was evaluated through its ex vivo immunohistochemistry. DFT calculations, such as geometry optimization, Molecular Electrostatic Potential (MEP), HOMO–LUMO, reactivity parameters and molecular docking simulation were applied to investigate the electronic features of the compound and confirm the biological activity. The compound (D) demonstrated a promising antibacterial and immunomodulatory profile. Its ability to induce IL-1β and at the same time moderately reduce NOS3 can be considered as a controlled adaptation of the immune response, especially in cases requiring local immune activation. Docking simulation revealed that (D) binds effectively to the active site of the bacterial protein, supporting the experimental findings of the compound’s antibacterial activity. Full article
Show Figures

Figure 1

29 pages, 4499 KB  
Article
Surrogate-Assisted Many-Objective Optimization of Injection Molding: Effects of Objective Selection and Sampling Density
by T. Marques, J. B. Melo, A. J. Pontes and A. Gaspar-Cunha
Appl. Sci. 2026, 16(3), 1578; https://doi.org/10.3390/app16031578 - 4 Feb 2026
Abstract
In injection molding, advanced numerical modeling tools, such as Moldex3D, can significantly improve product development by optimizing part functionality, structural integrity, and material efficiency. However, the complex and nonlinear interdependencies between the several decision variables and objectives, considering the various operational phases, constitute [...] Read more.
In injection molding, advanced numerical modeling tools, such as Moldex3D, can significantly improve product development by optimizing part functionality, structural integrity, and material efficiency. However, the complex and nonlinear interdependencies between the several decision variables and objectives, considering the various operational phases, constitute a challenge to the inherent complexity of injection molding processes. This complexity often exceeds the capacity of conventional optimization methods, necessitating more sophisticated analytical approaches. Consequently, this research aims to evaluate the potential of integrating intelligent algorithms, specifically the selection of objectives using Principal Component Analysis and Mutual Information/Clustering, metamodels using Artificial Neural Networks, and optimization using Multi-Objective Evolutionary Algorithms, to manage and solve complex, real-world injection molding problems effectively. Using surrogate modeling to reduce computational costs, the study systematically investigates multiple methodological approaches, algorithmic configurations, and parameter-tuning strategies to enhance the robustness and reliability of predictive and optimization outcomes. The research results highlight the significant potential of data-mining methodologies, demonstrating their ability to capture and model complex relationships among variables accurately and to optimize conflicting objectives efficiently. In due course, the enhanced capabilities provided by these integrated data-mining techniques result in substantial improvements in mold design, process efficiency, product quality, and overall economic viability within the injection molding industry. Full article
(This article belongs to the Section Computing and Artificial Intelligence)
Show Figures

Figure 1

29 pages, 6250 KB  
Article
The Evolution of Windmill Design: From Lasithi Plateau Pumping Windmills to Electricity Production
by Constantinos Condaxakis, Ioannis Ntintakis, Georgios V. Kozyrakis, Christos Chrysoulakis, Georgios Chatzakis, Eirini Dakanali, Nikolaos Papadakis and Dimitris Katsaprakakis
Energies 2026, 19(3), 829; https://doi.org/10.3390/en19030829 - 4 Feb 2026
Abstract
This study investigates the aerodynamic and structural behavior of a traditional horizontal-axis windmill equipped with a passively controlled fabric-sail rotor system, representative of the historic Lasithi Plateau windmills of Crete. The traditional windmill of the Lasithi Plateau, historically employed for water pumping to [...] Read more.
This study investigates the aerodynamic and structural behavior of a traditional horizontal-axis windmill equipped with a passively controlled fabric-sail rotor system, representative of the historic Lasithi Plateau windmills of Crete. The traditional windmill of the Lasithi Plateau, historically employed for water pumping to support irrigation and domestic water supply, constituted the conceptual basis for its further development into a wind energy system capable of electrical power generation. To this end, the structural and constructional characteristics of the traditional windmill are thoroughly investigated, with the objective of defining the technical specifications required for the design of a new product, namely a small-scale wind turbine incorporating a sail-based rotor configuration. First, the local meteorological conditions in the area are assessed using a long-term mesoscale to microclimatic approach. These parameters determine the operational and extreme working conditions of the windmill. Then emphasis is placed on understanding how important design features—such as the sail geometry, the supporting framework, and the passive aeroelastic deformation mechanism—govern the rotor’s performance and operational robustness. The sail’s ability to deform substantially plays a central role in regulating aerodynamic loading, serving as an inherent load-shedding mechanism that enhances survivability during high-wind events up to 40 m/s. The observed nonlinear trends in torque and thrust with increasing wind speed highlight the importance of aeroelastic effects in the functional design of fabric-sail rotors. Particular attention is given to the behavior of the woven polyester sail material, which enables large reversible deformations without mechanical failure, thereby preserving structural integrity and operational continuity. Overall, this study provides insight into the design principles and operational characteristics of flexible-sail windmills, illustrating how traditional configurations can inform the development of resilient, low-cost wind-driven systems. Full article
26 pages, 2361 KB  
Article
Investigation of the Importance of Asphalt Mixing Plant Properties for Selecting the Best Sustainable Alternative
by Henrikas Sivilevičius and Vidas Žuraulis
Sustainability 2026, 18(3), 1582; https://doi.org/10.3390/su18031582 - 4 Feb 2026
Abstract
The optimal composition of an asphalt mixture, composed from the various mineral materials and bituminous binders, is produced in an asphalt mixing plant (AMP). Various AMP properties determine the suitability of this complex, long-term-use technological equipment in meeting contemporary requirements. Worn AMPs are [...] Read more.
The optimal composition of an asphalt mixture, composed from the various mineral materials and bituminous binders, is produced in an asphalt mixing plant (AMP). Various AMP properties determine the suitability of this complex, long-term-use technological equipment in meeting contemporary requirements. Worn AMPs are replaced with new ones when they fail to satisfy these requirements. The AMP purchase process consists of two separate parts: (1) the decision-making process—whether there is a need to purchase a new AMP; and (2) AMP suitability—the evaluation of various technical and other properties, related to the AMP itself. This research paper considers the second part of the AMP purchase process and presents a new twenty-criteria system that identifies the most important AMP quality parameters indicating AMP suitability. The weights of the quality criteria for a new AMP were established by applying the Average Rank Transformation into Weight-Linear (ARTIW-L), Non-Linear (ARTIW-N) and Analytic Hierarchy Process (AHP) methods. Furthermore, the paper presents and verifies the Inverse Hierarchy for Assessment of Main Criteria Importance (IHAMCI) method. The findings of the research show that customers consider technological parameters to be the most important, followed by technical performance. Economical indicators rank third, while ecological (environmental) indicators receive the least attention. Future research will assess the sustainability requirements applied to operating AMPs in recent years. Full article
(This article belongs to the Special Issue Sustainable and Smart Transportation Systems)
Show Figures

Figure 1

26 pages, 3497 KB  
Article
Investigation of Geometrical and Numerical Parameters on Ultra-High-Performance Concrete Link Slab Performance Using Finite Element Modeling
by Homa Haghighi and Girum Urgessa
Appl. Mech. 2026, 7(1), 14; https://doi.org/10.3390/applmech7010014 - 4 Feb 2026
Abstract
Traditional expansion joints in bridge structures are prone to durability problems, such as leakage, corrosion, and high maintenance demands, which can significantly reduce service life. To overcome these limitations, ultra-high-performance concrete (UHPC) link slabs have emerged as an effective jointless solution; however, their [...] Read more.
Traditional expansion joints in bridge structures are prone to durability problems, such as leakage, corrosion, and high maintenance demands, which can significantly reduce service life. To overcome these limitations, ultra-high-performance concrete (UHPC) link slabs have emerged as an effective jointless solution; however, their mechanical performance and sensitivity to key design and modeling parameters are not yet fully understood. This study presents a nonlinear finite element investigation of UHPC link slabs using the Concrete Damaged Plasticity (CDP) model in ABAQUS. A baseline model, validated against the experimental results, was established with a link slab length of 1100 mm and representative material and detailing properties. A systematic sensitivity analysis was then performed by varying five geometrical parameters (link slab length and thickness, debonding length, reinforcement diameter, and reinforcement spacing) and five numerical/material parameters (non-debonding and debonding interface friction coefficient, UHPC and normal concrete compressive strength, and steel yield strength). For each case, the load–displacement response was examined through initial stiffness (K0), yield and peak load–deformation values (Py, Δy and Pu, Δu), and ductility ratio (μ). The results highlight the dominant role of reinforcement detailing; larger bar diameters and closer spacing substantially increased stiffness and strength while maintaining ductility. Debonding length emerged as a critical tuning parameter, with longer debonding improving ductility but slightly reducing strength. Slab thickness primarily influenced stiffness, whereas overall length showed minor effects on peak capacity. On the numerical side, steel yield strength proved to be the most influential input, affecting all response measures, while the non-debonding interface friction coefficient strongly governed yield capacity. Variations in the debonding friction coefficient, UHPC compressive strength, and normal concrete strength exhibited secondary influence within the tested ranges. Overall, the findings provide practical guidance for both the designing and detailing of UHPC link slabs and the calibration of FEM (finite element modeling) models. By clarifying which parameters most strongly govern stiffness, strength, and ductility, this study supports more reliable structural design and efficient numerical modeling of UHPC link slabs in accelerated bridge construction applications. Full article
(This article belongs to the Topic Advances on Structural Engineering, 3rd Edition)
19 pages, 6791 KB  
Article
Biaxial Constitutive Relation and Strength Criterion of Envelope Materials for Stratospheric Airships
by Zhanbo Li, Yanchu Yang, Rong Cai and Tao Li
Aerospace 2026, 13(2), 147; https://doi.org/10.3390/aerospace13020147 - 3 Feb 2026
Abstract
The performance upgrading of stratospheric airships hinges on breakthroughs in the mechanical properties of envelope materials. As a multi-layer composite, the envelope’s load-bearing layer exhibits orthotropic and nonlinear mechanical behaviors owing to its unique structure and manufacturing process. To overcome the limitations of [...] Read more.
The performance upgrading of stratospheric airships hinges on breakthroughs in the mechanical properties of envelope materials. As a multi-layer composite, the envelope’s load-bearing layer exhibits orthotropic and nonlinear mechanical behaviors owing to its unique structure and manufacturing process. To overcome the limitations of traditional testing methods and classical strength criteria in characterizing envelope materials, this paper presents a systematic investigation of typical airship envelope materials. The classical cruciform biaxial specimen was modified with a double-layer heat-sealed loading arm design to ensure preferential failure of the core region. Combined with digital image correlation (DIC) equipment, tensile tests were conducted under seven warp–weft stress ratios to acquire full-range stress–strain data. A three-dimensional stress–strain response surface was fitted based on the experimental results, and biaxial tensile constitutive models with varying precisions were established. Furthermore, a five-parameter implicit quadratic strength criterion was adopted to characterize the failure envelope of the envelope material. The model was calibrated using five biaxial failure points and independently validated against uniaxial tensile strengths, achieving a prediction error of less than 4%. The criterion’s generalization capability was enhanced through systematic parameterization based on the present test data. This work provides experimental evidence and reliable support for the engineering design and strength prediction of envelope materials. Full article
Show Figures

Figure 1

12 pages, 1195 KB  
Systematic Review
Nonlinear Microscopy of ECM Remodeling in Renal and Vascular Tissues: A Systematic Review Integrating Human AVF Imaging
by Viltė Gabrielė Samsonė, Danielius Samsonas, Laurynas Rimševičius, Mykolas Mačiulis, Elena Osteikaitė, Birutė Vaišnytė, Edvardas Žurauskas, Virginijus Barzda and Marius Miglinas
Medicina 2026, 62(2), 317; https://doi.org/10.3390/medicina62020317 - 3 Feb 2026
Abstract
Background and Objectives: Extracellular matrix (ECM) and collagen remodeling contribute to chronic kidney disease (CKD) progression and vascular access dysfunction. Conventional histological techniques rely on staining and provide limited sensitivity for detecting early or subtle ECM alterations. Nonlinear optical imaging modalities, including second-harmonic [...] Read more.
Background and Objectives: Extracellular matrix (ECM) and collagen remodeling contribute to chronic kidney disease (CKD) progression and vascular access dysfunction. Conventional histological techniques rely on staining and provide limited sensitivity for detecting early or subtle ECM alterations. Nonlinear optical imaging modalities, including second-harmonic generation (SHG), third-harmonic generation (THG), and multiphoton fluorescence (MPF) microscopy, enable label-free, high-resolution visualization of fibrillar collagen and may offer additional structural information. This study aimed to evaluate the added value of nonlinear imaging beyond conventional histology for assessing ECM remodeling in renal and vascular tissues. Materials and Methods: A systematic literature review was conducted in accordance with the PRISMA 2020 guidelines. PubMed and Web of Science were searched for studies published between 1 January 2015, and 4 April 2025, investigating ECM or collagen remodeling in renal or vascular tissues using SHG, THG, or MPF microscopy. After screening 115 records, 10 studies were included in the qualitative synthesis. In addition, representative SHG, THG, and MPF images of excised human arteriovenous fistula (AVF) tissue were acquired as illustrative feasibility examples to demonstrate the application of these imaging modalities. The use of human tissue was approved by the Vilnius Regional Biomedical Research Ethics Committee (approval No. 2022/6-1443-917). Results: The included studies demonstrated that nonlinear microscopy enables label-free assessment of collagen density, organization, and fiber orientation. SHG imaging differentiated healthy from diseased tissues and has been reported to support fibrosis assessment and staging in preclinical and selected clinical studies and revealed microstructural remodeling patterns not readily detected by conventional histology. The illustrative AVF images demonstrated collagen disorganization consistent with patterns reported in the reviewed literature and are presented solely to demonstrate imaging feasibility, without implying disease phenotype or clinical outcome associations. Conclusions: Nonlinear optical microscopy provides complementary structural information on ECM organization that is not accessible with standard histological techniques. Further validation and methodological standardization are required to support its broader application in clinical nephrology and vascular medicine. Full article
(This article belongs to the Special Issue End-Stage Kidney Disease (ESKD))
Show Figures

Figure 1

22 pages, 1267 KB  
Article
Application of a Hybrid Explainable ML–MCDM Approach for the Performance Optimisation of Self-Compacting Concrete Containing Crumb Rubber and Calcium Carbide Residue
by Musa Adamu, Shrirang Madhukar Choudhari, Ashwin Raut, Yasser E. Ibrahim and Sylvia Kelechi
J. Compos. Sci. 2026, 10(2), 76; https://doi.org/10.3390/jcs10020076 - 2 Feb 2026
Viewed by 166
Abstract
The combined incorporation of crumb rubber (CR) and calcium carbide residue (CCR) in self-compacting concrete (SCC) induces competing and nonlinear effects on its fresh and hardened properties, making the simultaneous optimisation of workability, strength, durability, and stability challenging. CR reduces density and enhances [...] Read more.
The combined incorporation of crumb rubber (CR) and calcium carbide residue (CCR) in self-compacting concrete (SCC) induces competing and nonlinear effects on its fresh and hardened properties, making the simultaneous optimisation of workability, strength, durability, and stability challenging. CR reduces density and enhances deformability and flow stability but adversely affects strength, whereas CCR improves particle packing, cohesiveness, and early-age strength up to an optimal replacement level. To systematically address these trade-offs, this study proposes an integrated multi-criteria decision-making (MCDM)–explainable machine learning–global optimisation framework for sustainable SCC mix design. A composite performance score encompassing fresh, mechanical, durability, and thermal indicators is constructed using a weighted MCDM scheme and learned through surrogate machine-learning models. Three learners—glmnet, ranger, and xgboost—are tuned using v-fold cross-validation, with xgboost demonstrating the highest predictive fidelity. Given the limited experimental dataset, bootstrap out-of-bag validation is employed to ensure methodological robustness. Model-agnostic interpretability, including permutation importance, SHAP analysis, and partial-dependence plots, provides physical transparency and reveals that CR and CCR exert strong yet opposing influences on the composite response, with CCR partially compensating for CR-induced strength losses through enhanced cohesiveness. Differential Evolution (DEoptim) applied to the trained surrogate identifies optimal material proportions within a continuous design space, favouring mixes with 5–10% CCR and limited CR content. Among the evaluated mixes, 0% CR–5% CCR delivers the best overall performance, while 20% CR–5% CCR offers a balanced strength–ductility compromise. Overall, the proposed framework provides a transparent, interpretable, and scalable data-driven pathway for optimising SCC incorporating circular materials under competing performance requirements. Full article
(This article belongs to the Special Issue Sustainable Cementitious Composites)
Show Figures

Figure 1

19 pages, 3577 KB  
Article
Comparison of Lagrangian and Isogeometric Boundary Element Formulations for Orthotropic Heat Conduction Problems
by Ege Erdoğan and Barbaros Çetin
Computation 2026, 14(2), 35; https://doi.org/10.3390/computation14020035 - 2 Feb 2026
Viewed by 91
Abstract
Orthotropic materials are increasingly employed in advanced thermal systems due to their direction-dependent heat transfer characteristics. Accurate numerical modeling of heat conduction in such media remains challenging, particularly for 3D geometries with nonlinear boundary conditions and internal heat generation. In this study, conventional [...] Read more.
Orthotropic materials are increasingly employed in advanced thermal systems due to their direction-dependent heat transfer characteristics. Accurate numerical modeling of heat conduction in such media remains challenging, particularly for 3D geometries with nonlinear boundary conditions and internal heat generation. In this study, conventional boundary element method (BEM) and isogeometric boundary element method (IGABEM) formulations are developed and compared for steady-state orthotropic heat conduction problems. A coordinate transformation is adopted to map the anisotropic governing equation onto an equivalent isotropic form, enabling the use of classical Laplace fundamental solutions. Volumetric heat generation is incorporated via the radial integration method (RIM), preserving the boundary-only discretization, while nonlinear Robin boundary conditions are treated using variable condensation and a Newton–Raphson iterative scheme. The performance of both methods is evaluated using a hollow ellipsoidal benchmark problem with available analytical solutions. The results demonstrate that IGABEM provides higher accuracy and smoother convergence than conventional BEM, particularly for higher-order discretizations, which is owing to its exact geometric representation and higher continuity. Although IGABEM involves additional computational overhead due to NURBS evaluations, both methods exhibit similar quadratic scaling with respect to the degrees of freedom. Full article
(This article belongs to the Special Issue Computational Heat and Mass Transfer (ICCHMT 2025))
Show Figures

Figure 1

24 pages, 3245 KB  
Article
Experimental Data-Driven Machine Learning Analysis for Prediction of PCM Charging and Discharging Behavior in Portable Cold Storage Systems
by Raju R. Yenare, Chandrakant Sonawane, Anindita Roy and Stefano Landini
Sustainability 2026, 18(3), 1467; https://doi.org/10.3390/su18031467 - 2 Feb 2026
Viewed by 94
Abstract
The problem of the post-harvest loss of perishable products has been a loss facing food security, especially in areas that lack adequate cold chain facilities. This issue is directly connected with sustainability objectives because post-harvest losses are the major source of food wastage, [...] Read more.
The problem of the post-harvest loss of perishable products has been a loss facing food security, especially in areas that lack adequate cold chain facilities. This issue is directly connected with sustainability objectives because post-harvest losses are the major source of food wastage, unneeded energy use, and related greenhouse gas emissions. Cold storage with phase-change material (PCM) is a promising alternative, as it aims at stabilizing temperatures and enhancing energy consumption, but current analyses of performance have been conducted through experimental testing and computational fluid dynamic (CFD) simulations, which are precise but computationally expensive. To handle this drawback, the current work constructs a machine learning predictive model to predict the dynamics of charging and discharging temperature of PCM cold storage systems. Four regression models, namely Random Forest, Extreme Gradient Boosting (XGBoost), Support Vector Regression (SVR), and K-Nearest Neighbors (KNNs), were trained and tested on experimental datasets that were obtained for varying storage layouts. The various error and accuracy measures used to determine model performance comprised MSE, MAE, R2, MAPE, and percentage accuracy. The findings suggest that Random Forest provides the best accuracy during both the charging and the discharging process, with the highest R2 values of over 0.98 and with minimal mean absolute errors. The KNN model was competitive in the discharge process, especially in cases of consistent thermal recovery patterns, and XGBoost was consistent in layout accuracy. However, SVR had relatively lower robustness, particularly when using nonlinear charged dynamics. Among the evaluated models, the Random Forest algorithm demonstrated the highest predictive accuracy, achieving coefficients of determination (R2) exceeding 0.98 for both charging and discharging processes, with mean absolute errors below 0.6 °C during charging and 0.3 °C during discharging. This paper has proven that machine learning is an efficient surrogate to CFD and experimental-only methods and can be used to predict the thermal behavior of PCM quickly and precisely. The proposed framework will allow for developing cold storage systems based on energy efficiency, low costs, and sustainability, especially in the context of decentralized and resource-limited agricultural supply chains, with the help of quick and data-focused forecasting of PCM thermal behavior. Full article
Show Figures

Figure 1

25 pages, 4802 KB  
Article
Experimental Investigation and Numerical Modeling of Deformations in Reinforced Concrete Beams Reinforced with Hybrid Polypropylene and Steel Fibers
by Hajdar Sadiku, Fidan Salihu and Durim Sadiku
Buildings 2026, 16(3), 605; https://doi.org/10.3390/buildings16030605 - 2 Feb 2026
Viewed by 154
Abstract
This study presents an experimental and numerical investigation of reinforced concrete beams incorporating micro polypropylene, macro polypropylene, and steel fibers. Three concrete series of equal strength classes were prepared and tested to evaluate compressive strength, splitting tensile strength, flexural performance, and deformation behavior [...] Read more.
This study presents an experimental and numerical investigation of reinforced concrete beams incorporating micro polypropylene, macro polypropylene, and steel fibers. Three concrete series of equal strength classes were prepared and tested to evaluate compressive strength, splitting tensile strength, flexural performance, and deformation behavior under short-term loading. Strain development in both concrete and reinforcement was measured using strain gauges and mechanical deformometers. In parallel with the experimental program, a nonlinear finite element model was developed using the DIANA FEAsoftware 10.5 to simulate the deformation behavior and strain development of the tested beams. The concrete material was represented using a total strain-based smeared crack model with rotating crack orientation, while the contribution of fiber reinforcement was incorporated through a CMOD-based post-cracking tensile constitutive law. The numerical results showed good agreement with the experimental load–deflection and strain measurements, confirming the suitability of the adopted modeling approach. These findings demonstrate that the combined experimental–numerical framework provides a reliable tool for assessing the deformation and cracking behavior of fiber-reinforced concrete beams. The experimental results indicate that fiber type and combination strongly influence the deformation behavior and mechanical performance of reinforced concrete beams, with hybrid systems incorporating steel fibers exhibiting enhanced flexural response, improved strain compatibility, and more ductile behavior compared to polypropylene-only reinforcement. The inclusion of steel fibers led to distributed cracking, delayed stiffness degradation, increases of up to approximately 6.3% in concrete strains and 10.3% in reinforcement strains, and a substantial improvement in compressive strength (up to approximately 28.8%), confirming the synergistic effect of hybrid fiber reinforcement. Full article
(This article belongs to the Special Issue Advanced Composite Materials for Sustainable Construction)
Show Figures

Figure 1

28 pages, 12486 KB  
Article
Sustainability-Focused Evaluation of Self-Compacting Concrete: Integrating Explainable Machine Learning and Mix Design Optimization
by Abdulaziz Aldawish and Sivakumar Kulasegaram
Appl. Sci. 2026, 16(3), 1460; https://doi.org/10.3390/app16031460 - 31 Jan 2026
Viewed by 107
Abstract
Self-compacting concrete (SCC) offers significant advantages in construction due to its superior workability; however, optimizing SCC mixture design remains challenging because of complex nonlinear material interactions and increasing sustainability requirements. This study proposes an integrated, sustainability-oriented computational framework that combines machine learning (ML), [...] Read more.
Self-compacting concrete (SCC) offers significant advantages in construction due to its superior workability; however, optimizing SCC mixture design remains challenging because of complex nonlinear material interactions and increasing sustainability requirements. This study proposes an integrated, sustainability-oriented computational framework that combines machine learning (ML), SHapley Additive exPlanations (SHAP), and multi-objective optimization to improve SCC mixture design. A large and heterogeneous publicly available global SCC dataset, originally compiled from 156 independent peer-reviewed studies and further enhanced through a structured three-stage data augmentation strategy, was used to develop robust predictive models for key fresh-state properties. An optimized XGBoost model demonstrated strong predictive accuracy and generalization capability, achieving coefficients of determination of R2=0.835 for slump flow and R2=0.828 for T50 time, with reliable performance on independent industrial SCC datasets. SHAP-based interpretability analysis identified the water-to-binder ratio and superplasticizer dosage as the dominant factors governing fresh-state behavior, providing physically meaningful insights into mixture performance. A cradle-to-gate life cycle assessment was integrated within a multi-objective genetic algorithm to simultaneously minimize embodied CO2 emissions and material costs while satisfying workability constraints. The resulting Pareto-optimal mixtures achieved up to 3.9% reduction in embodied CO2 emissions compared to conventional SCC designs without compromising performance. External validation using independent industrial data confirms the practical reliability and transferability of the proposed framework. Overall, this study presents an interpretable and scalable AI-driven approach for the sustainable optimization of SCC mixture design. Full article
24 pages, 863 KB  
Article
Energy Dissipation Analysis of Contact/Impact of Deformable Bodies Using Numerical Modelling
by Ondřej Holiš, Tomáš Dvořák, Matej Koiš, Ivan Němec, Miroslav Trcala and Jiří Vala
Buildings 2026, 16(3), 592; https://doi.org/10.3390/buildings16030592 - 31 Jan 2026
Viewed by 117
Abstract
The numerical analysis of dissipative energy in dynamic problems involving impact and contact phenomena relies on the physical principles of classical thermodynamics and on the constitutive equations of the material, supplemented by some additional considerations of potential contact interfaces. From the mathematical perspective, [...] Read more.
The numerical analysis of dissipative energy in dynamic problems involving impact and contact phenomena relies on the physical principles of classical thermodynamics and on the constitutive equations of the material, supplemented by some additional considerations of potential contact interfaces. From the mathematical perspective, we come to a weak form of partial differential equation(s) of evolution with initial, boundary, and interface conditions, whose numerical analysis is required using the method of discretisation in time and typically the finite element technique. Dissipative energy is an important metric for quantifying the portion of mechanical work that is permanently converted to plastic work and thermal energy, among other applications. Crucially, the localised accumulation of this energy, often expressed as the plastic work density, is the primary physical parameter driving microstructural changes, damage initiation, and crack propagation under intense loading. This paper demonstrates how the dissipative energy resulting from material nonlinearities can be evaluated in dynamic problems involving the impact of one body on another and provides a quantitative comparison of numerically calculated dissipated energy using three types of nonlinear constitutive material models, namely the plastic material model with Rankine–Hill criterion, the Mazars damage model, and the Kelvin–Voigt viscoelastic model. Full article
13 pages, 3049 KB  
Article
Transient Nonlinear Absorption and Optical Limiting Performance of Bithiophenes Derivatives in Near-Infrared Region
by Shuting Li, Yu Chen, Tianyang Dong, Wenfa Zhou, Xingzhi Wu, Li Jiang, Jidong Jia, Junyi Yang, Zhongguo Li and Yinglin Song
Photonics 2026, 13(2), 136; https://doi.org/10.3390/photonics13020136 - 30 Jan 2026
Viewed by 213
Abstract
Organic photovoltaic materials and nonlinear optical materials share inherent commonalities in molecular characteristics—such as strong light absorption, high charge carrier mobility, and tunable energy levels. Therefore, this study selects a bithiophene-fused ring system with photovoltaic application potential as the research subject. Using TTTTB6-2CHO [...] Read more.
Organic photovoltaic materials and nonlinear optical materials share inherent commonalities in molecular characteristics—such as strong light absorption, high charge carrier mobility, and tunable energy levels. Therefore, this study selects a bithiophene-fused ring system with photovoltaic application potential as the research subject. Using TTTTB6-2CHO (TB1) and IDTTB6-2CHO (TB2) as comparative molecules, their nonlinear optical properties in the near-infrared region were systematically investigated. Transient absorption spectroscopy results demonstrate that TB1 exhibits strong and persistent excited-state absorption within the spectral range of 650–900 nm, endowing it with excellent two-photon absorption performance (a cross-section of up to 5591 GM at 650 nm) and an ultralow optical limiting threshold (0.00147 J/cm2 under 800 nm femtosecond laser irradiation). The findings of this study not only confirm the feasibility of developing nonlinear optical materials from photovoltaic candidate molecules but also highlight the effectiveness of the “thiophene-for-benzene substitution” strategy in significantly enhancing optical nonlinearity. These results provide valuable design principles for the development of multifunctional organic optoelectronic materials, particularly for application scenarios such as laser protection. Full article
(This article belongs to the Special Issue Emerging Trends in Photodetector Technologies)
Show Figures

Figure 1

24 pages, 5198 KB  
Article
Industrial Process Control Based on Reinforcement Learning: Taking Tin Smelting Parameter Optimization as an Example
by Yingli Liu, Zheng Xiong, Haibin Yuan, Hang Yan and Ling Yang
Appl. Sci. 2026, 16(3), 1429; https://doi.org/10.3390/app16031429 - 30 Jan 2026
Viewed by 130
Abstract
To address the issues of parameter setting, reliance on human experience, and the limitations of traditional model-driven control methods in handling complex nonlinear dynamics in the tin smelting industrial process, this paper proposes a data-driven control approach based on improved deep reinforcement learning [...] Read more.
To address the issues of parameter setting, reliance on human experience, and the limitations of traditional model-driven control methods in handling complex nonlinear dynamics in the tin smelting industrial process, this paper proposes a data-driven control approach based on improved deep reinforcement learning (RL). Aiming to reduce the tin entrainment rate in smelting slag and CO emissions in exhaust gas, we construct a data-driven environment model with an 8-dimensional state space (including furnace temperature, pressure, gas composition, etc.) and an 8-dimensional action space (including lance parameters such as material flow, oxygen content, backpressure, etc.). We innovatively design a Dual-Action Discriminative Deep Deterministic Policy Gradient (DADDPG) algorithm. This method employs an online Actor network to simultaneously generate deterministic and exploratory random actions, with the Critic network selecting high-value actions for execution, consistently enhancing policy exploration efficiency. Combined with a composite reward function (integrating real-time Sn/CO content, their variations, and continuous penalty mechanisms for safety constraints), the approach achieves multi-objective dynamic optimization. Experiments based on real tin smelting production line data validate the environment model, with results demonstrating that the tin content in slag is reduced to between 3.5% and 4%, and CO content in exhaust gas is decreased to between 2000 and 2700 ppm. Full article
Back to TopTop