Sustainability-Focused Evaluation of Self-Compacting Concrete: Integrating Explainable Machine Learning and Mix Design Optimization
Abstract
1. Introduction
1.1. Background and Sustainability Context
1.2. Research Gaps and Recent Advances
1.3. Objectives and Contributions
- Large-scale data curation and domain-consistent augmentation: Revision: No change needed. Compilation, preprocessing, and physically constrained augmentation of a large and heterogeneous SCC workability dataset comprising 2506 mix designs collected from 156 independent sources. A novel three-stage augmentation protocol was developed to expand the dataset while preserving SCC rheological consistency and engineering feasibility.
- Comprehensive multi-Property SCC workability prediction: Development of a unified XGBoost-based modeling framework for the simultaneous prediction of all four standardized SCC fresh-state properties (slump flow, , V-funnel, and L-box). This represents a departure from prior studies that predict isolated workability indicators or focus exclusively on hardened properties.
- Physically interpretable modeling using SHAP: Implementation of a comprehensive SHAP-based interpretability analysis for all predicted workability properties, enabling identification of dominant parameters, nonlinear response regimes, and interaction effects. The interpretability results are explicitly evaluated against established SCC rheological principles to ensure physical consistency.
- Integrated sustainability-driven optimization: Coupling of ML-based workability predictions with multi-objective optimization and cradle-to-gate life-cycle assessment (LCA) to simultaneously satisfy SCC workability requirements while minimizing embodied emissions, energy consumption, and material cost. Unlike existing frameworks, workability constraints are treated as primary optimization objectives rather than secondary filters.
- Evaluation beyond the training domain: External validation of the proposed framework using independent industrial SCC mix designs obtained from a commercial ready-mix producer in Kuwait. Model predictions are assessed against predefined engineering tolerance limits, providing direct evidence of practical transferability beyond within-dataset cross-validation.
2. Materials and Methods
2.1. Data Collection and Preprocessing
2.1.1. Dataset Assembly
2.1.2. Data Cleaning and Imputation
2.1.3. Feature Standardization
2.1.4. Novel Data Augmentation Protocol and Physical Justification
- 1.
- Gaussian Noise InjectionGaussian noise was added to continuous input features with a standard deviation equal to 2% of each feature’s range. This choice is physically motivated by inherent uncertainties in concrete production processes. In practice, concrete batching is subject to unavoidable measurement and material variability, including:
- Cement content variations of approximately ±2–3% due to weighing tolerances;
- Water content fluctuations of ±1–2% caused by aggregate moisture conditions;
- Aggregate gradation variability within specification limits.
Accordingly, the selected noise magnitude reflects realistic industrial variability rather than introducing artificial perturbations, ensuring that augmented samples remain representative of plausible production scenarios. - 2.
- Mixup InterpolationMixup augmentation was applied using a low interpolation coefficient (). Linear interpolation between SCC mixtures is physically meaningful within localized regions of the mix design space, as many fresh concrete properties exhibit approximately linear behavior over limited compositional ranges. The low value ensures that generated samples remain close to the original data manifold.To preserve physical feasibility, boundary constraints were enforced for all interpolated samples:
- Water-to-binder ratio (): 0.25–0.65;
- Total powder content: 350–650 kg/m3;
- Aggregate proportions: fine aggregate (FA/Agg) + coarse aggregate (CA/Agg) = 1.0.
- 3.
- SMOTE OversamplingSynthetic Minority Over-sampling Technique (SMOTE) was selectively applied using nearest neighbors. Rather than uniform oversampling, SMOTE was restricted to low-density regions of the feature space to improve coverage without distorting the underlying data distribution. Specifically,
- SMOTE was activated only where local sample density fell below the 25th percentile;
- All generated samples were validated against EFNARC guidelines for SCC;
- Rejection sampling was employed to discard samples violating physical constraints (e.g., negative quantities or infeasible ratios).
Post Hoc Validation of Augmented Data Quality
2.2. Machine Learning Model Development
2.2.1. Model Selection and Training
2.2.2. Hyperparameter Optimization
2.3. Uncertainty Quantification and Robust Optimization
2.3.1. Bootstrap-Based Prediction Intervals
2.3.2. Uncertainty Propagation into NSGA-II Optimization
2.4. Model Interpretability and Explainability (SHAP)
2.5. Sustainability Assessment (LCA)
2.6. Multi-Objective Optimization (NSGA-II)
- Maximize slump flow;
- Minimize emissions;
- Minimize material cost.
2.7. External Validation
2.8. Software and Code Availability
2.9. Life Cycle Assessment (LCA) Methodology
2.9.1. System Boundary and Functional Unit
2.9.2. Emission Factors and Data Sources
2.9.3. Energy Consumption Factors
2.9.4. Cost Database and Sources
2.9.5. Regional Assumptions and Transportation
2.10. Uncertainty and Sensitivity Analysis
2.10.1. Monte Carlo Simulation
2.10.2. Sensitivity Analysis
2.11. Transparency and Assumptions in the LCA Framework
2.12. External Validation Coverage and Distance Analysis
2.13. Methodology
- Min–Max Coverage Check: Verifies whether each industrial feature value lies within the minimum and maximum values observed in the training dataset.
- Normalized Distance Analysis: Quantifies the Euclidean distance between each industrial mix and the centroid of the training dataset in normalized feature space.
Min–Max Coverage Definition
2.14. Training Dataset Feature Ranges
2.15. Min–Max Coverage Results
2.16. Normalized Euclidean Distance Analysis
2.17. Discussion and Implications
3. Results
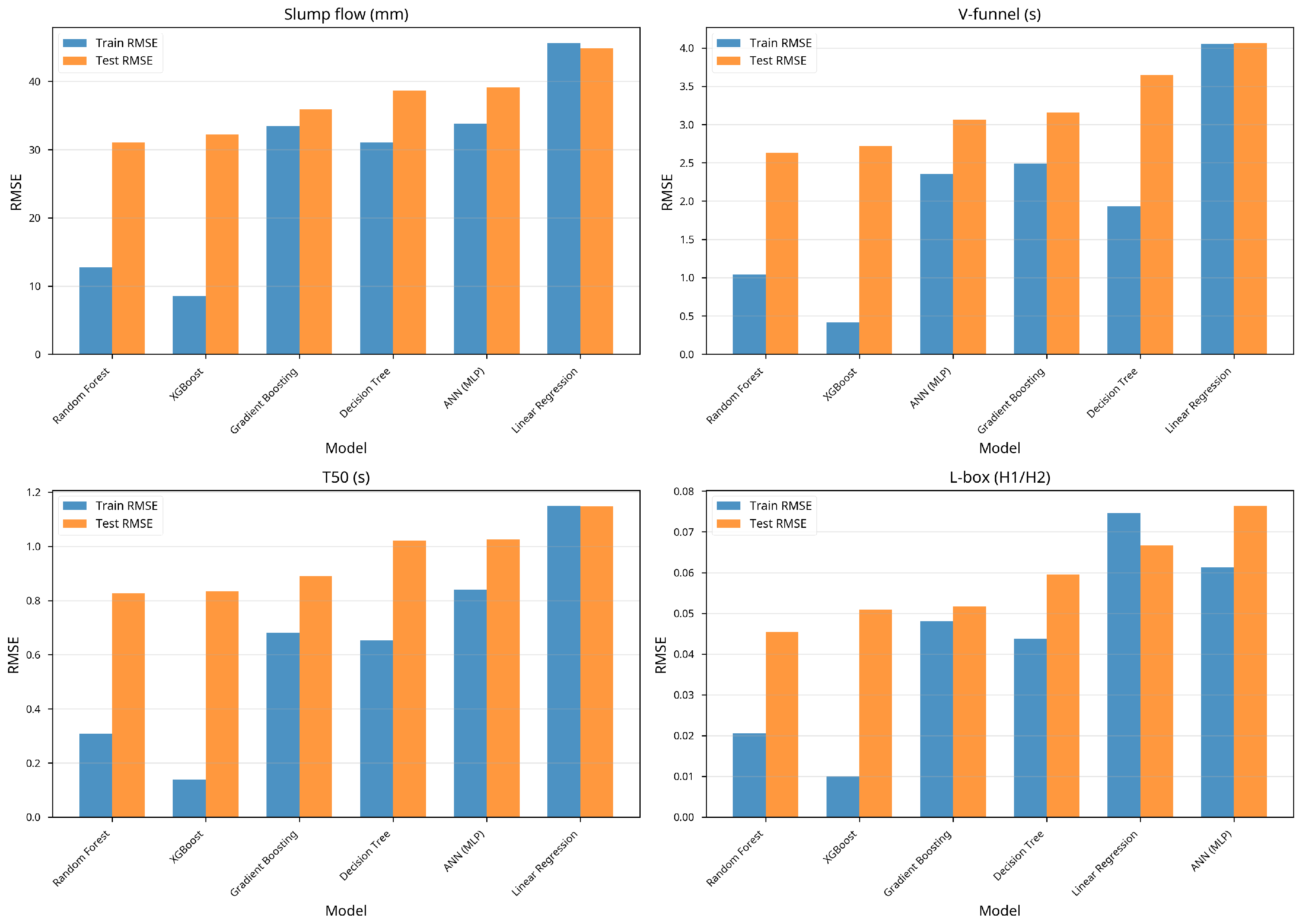
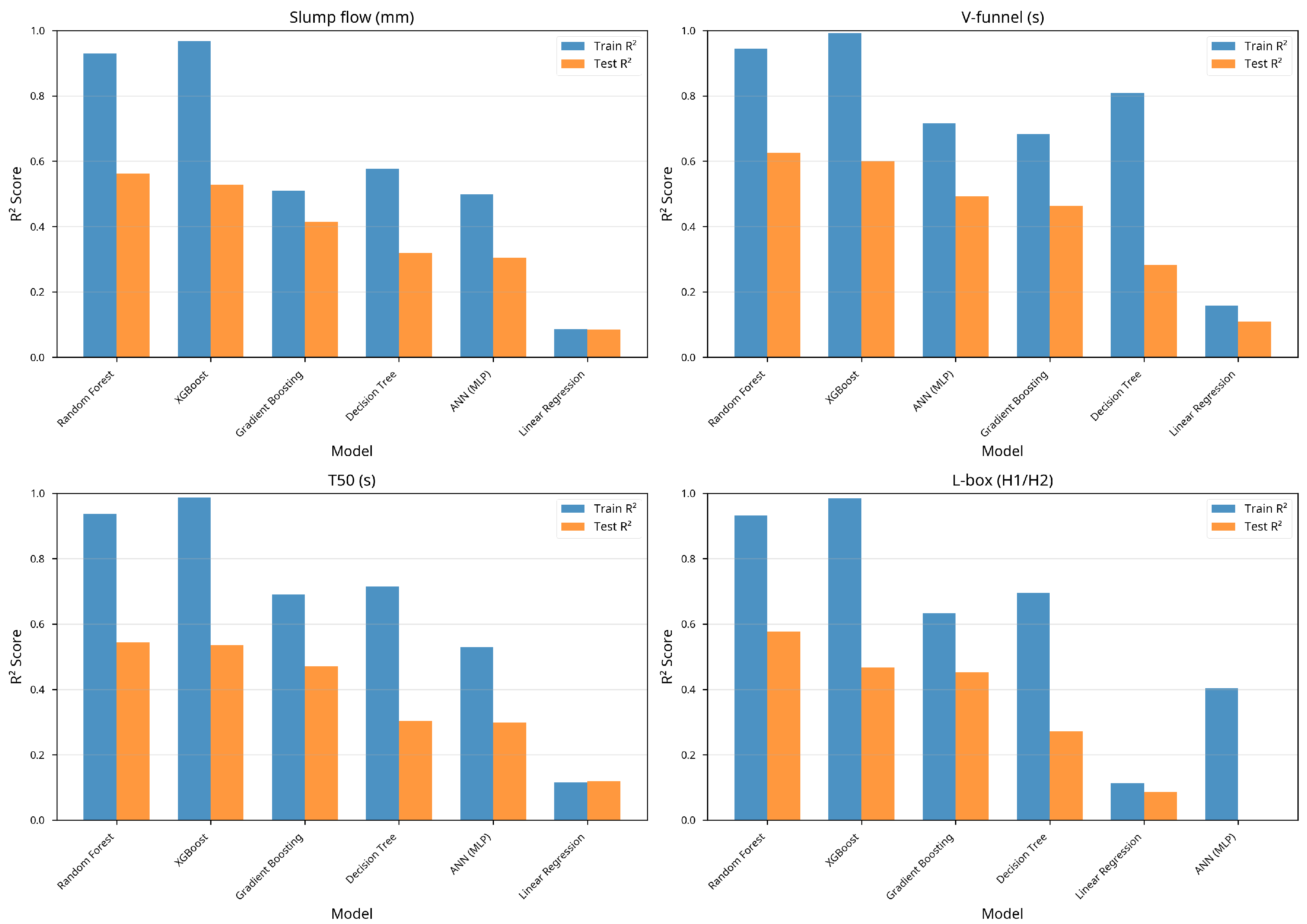
3.1. Predictive Performance of the Machine Learning Framework
Effect of Data Augmentation (Statistical Evidence)
3.2. Model Interpretability via SHAP Analysis
3.2.1. Global Feature Importance
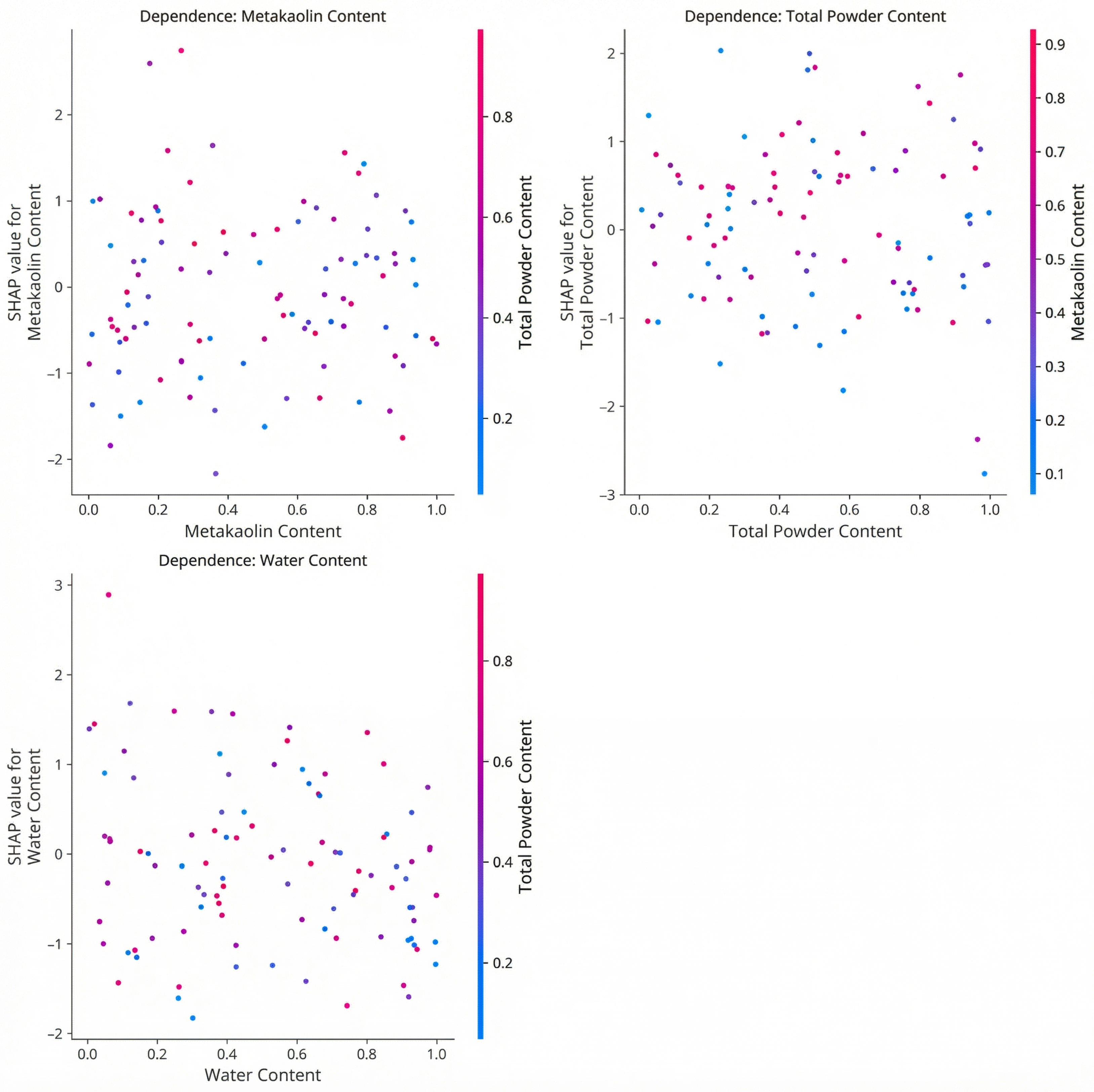
3.2.2. Feature Dependence and Physical Interpretation
3.2.3. Non-Intuitive Interactions and Regime-Dependent Behavior
Superplasticizer Saturation Effect
SCM-Dependent Optimal Water-to-Binder Ratio
- Fly ash–dominated mixtures exhibit optimal performance at –0.42;
- Slag-based mixtures show improved workability at lower ratios of –0.40;
- Silica fume–rich mixtures require even lower ratios, with optimal ranges of –0.38.
Aggregate Ratio Threshold Effect
3.2.4. Limitations of SHAP Under Correlated Input Features
3.2.5. Limitations Related to Material Heterogeneity
3.3. Multi-Objective Optimization for Sustainable SCC Design
3.3.1. Sustainability Benefits of Pareto-Optimal Mixes
3.3.2. Constrained Single-Objective Optimization
3.4. External Validation Using Industrial SCC Mixes
4. Discussion
4.1. Context, Implications, and Future Work
4.1.1. Contextualization with Previous Studies
- Generalization Proof: The external validation results in Figure 12 demonstrate the model’s successful transfer to industrial SCC mixes from Kuwait. Four independent production mixes from a local ready-mix supplier were predicted, and all predictions fall within the mm tolerance, with small and tightly clustered errors and no systematic bias. This confirms that a model trained exclusively on global academic data can generalize to real industrial conditions, providing a rare and robust demonstration of real-world applicability that goes beyond cross-validation statistics alone (see the detailed industrial validation summary for Kuwaiti mixes for full numerical metrics and per-mix errors).
- Transparency and Interpretability: The global SHAP feature importance in Figure 7 shows that the water-to-binder ratio, superplasticizer dosage, and powder content are consistently dominant, fully aligning with expected rheological behavior and reinforcing confidence in the learned relationships. These findings echo previous explainable-AI analyses on the same dataset, which independently identified water-to-binder ratio, aggregate content, and powder volume as the principal drivers of SCC workability. The close agreement between current SHAP patterns and earlier studies suggests that the improved model is not simply overfitting but is reinforcing physically meaningful trends.
- Integrated Sustainability Assessment: The strong dependence of embodied on cement content (Figure 2) and the Pareto front of sustainable SCC designs (Figure 3) illustrate the value of coupling LCA with ML and evolutionary optimization in a unified framework. Compared with the original dataset, the Pareto-optimal solutions achieve noticeable reductions in , energy, and cost while maintaining acceptable workability, confirming that the optimization procedure is not only mathematically sound but also practically beneficial from a sustainability perspective.
4.1.2. Broader Implications of the Findings
- Accelerated Sustainable Design: Engineers can rapidly explore environmentally optimized mixes guided by the Pareto front in Figure 3. These mixes achieve up to 3.9% reduction while preserving workability requirements, shortening design cycles and reducing experimental load. In combination with the optimization-validation results, which show that the vast majority of Pareto-optimal solutions satisfy standard SCC acceptance criteria, the framework effectively delivers a ready-to-use design map of feasible, greener alternatives rather than isolated “point” recommendations.
- Enhanced Quality Control: With accurate predictions of SCC workability from mix proportions (Figure 4 and Figure 6), the model can be integrated into batching systems to provide real-time guidance and reduce the risk of non-compliant deliveries. The external validation on Kuwaiti industrial mixes indicates that the predictive errors remain small and consistent even when materials and production conditions differ from those represented in the training data. This stability suggests that the model can function as a soft sensor for quality control, flagging potentially problematic batches before casting and supporting proactive adjustments in plant operations.
- Advancement of Data-Driven Materials Science: SHAP interaction patterns in Figure 8, Figure 9 and Figure 10 expose complex nonlinear effects and thresholds that traditional mixture design methods cannot capture, providing new mechanistic insights and hypothesis-generation opportunities. For example, the observed interaction between powder content and superplasticizer dosage, or between aggregate grading and water-to-binder ratio, may motivate targeted experimental campaigns aimed at refining existing design guidelines and updating empirical limits used in codes and company specifications.
4.1.3. Limitations of the Work
- Focus on Fresh Properties Only: The present framework targets workability-related fresh properties. Hardened properties such as compressive strength or durability indicators were not included but are essential for full structural optimization. In particular, the current optimization searches within a feasible fresh-state envelope but does not explicitly enforce long-term mechanical or durability constraints, which must still be checked separately.
- LCA Data Uncertainty: The sustainability assessment is based on regional average emission factors and cost data. Real impacts may vary with supplier-specific processes, transportation distances, and energy mixes. As a result, the absolute values of , energy, and cost should be interpreted as approximate indicators rather than precise project-specific quantities, and recalibration with local LCA datasets is advised before use in critical infrastructure projects.
- Literature-Derived Dataset: Although large, the dataset is derived from published studies and may therefore carry publication biases or over-representation of certain mix types. Industrial data from under-represented regions and applications (e.g., precast elements, high-powder or low-cement SCC) remain limited, while the Kuwaiti validation partially offsets this limitation by confirming performance on unseen industrial mixes, broader multi-regional validations would further strengthen confidence in global deployment.
4.1.4. Future Research Directions
- 1.
- Integration of Hardened Properties: Extend the framework to predict compressive strength, modulus of elasticity, and durability metrics, enabling fully performance-based optimization of SCC. A natural next step is to embed multi-objective optimization in a joint fresh–hardened property space, balancing workability, mechanical performance, and durability with environmental and economic indicators.
- 2.
- Advanced Decision Support: Incorporate multi-criteria decision-making (MCDM) methods to help practitioners rank or select solutions from the Pareto front based on project-specific priorities (e.g., carbon-to-cost ratio, robustness to material variability, or construction speed). This would convert the current set of Pareto-optimal mixes into an interactive decision-support tool aligned with stakeholders’ preferences.
- 3.
- Real-Time Intelligent Batching: Couple the predictive models with sensor-driven feedback from batching plants to automatically adjust mix proportions under material variability. In such a closed-loop system, the ML model would serve as a digital twin of workability, continuously updated with plant measurements and enabling adaptive control strategies that maintain SCC performance despite fluctuations in moisture content, grading, or admixture effectiveness.
- 4.
- Transfer Learning and Regional Adaptation: Develop transfer learning pipelines to adapt the globally trained model to regional datasets with minimal local data, increasing accessibility for small- and medium-sized concrete producers. The Kuwaiti industrial validation suggests that only modest local calibration may be needed for good performance; formalizing this process through transfer learning, domain adaptation, or active learning would make the framework more scalable and easier to adopt in new regions and for new material systems (e.g., LC3 binders, recycled aggregates, or novel admixtures).
5. Conclusions
- 1.
- Superior Generalization Capability: The framework is built upon the largest publicly available SCC workability dataset reported to date, comprising 2506 mix designs originally compiled from 156 independent global studies. A physically constrained three-stage data augmentation protocol (Gaussian Noise, Mixup, and SMOTE) substantially enhanced model robustness and mitigated dataset heterogeneity. As a result, the optimized XGBoost model achieved strong predictive accuracy, with for Slump Flow and for on an independent test set.
- 2.
- Demonstrated Real-World Applicability: External validation using four industrial SCC mixes produced in Kuwait confirmed the practical reliability of the framework. All predictions fell within the industry-accepted tolerance of mm, with a Mean Absolute Error of 79.9 mm, providing strong evidence that the model generalizes effectively beyond laboratory-scale datasets and is suitable for field-level application.
- 3.
- Transparent and Physically Grounded Interpretability: Comprehensive SHAP-based explainability analysis transformed the predictive model from a black-box algorithm into a transparent engineering tool. The analysis revealed physically meaningful relationships, consistently identifying the water-to-binder ratio and superplasticizer dosage as dominant drivers of SCC workability, while also uncovering non-intuitive threshold effects and regime-dependent behaviors aligned with established concrete rheology.
- 4.
- Integrated Sustainability-Oriented Optimization: By coupling machine learning predictions with cradle-to-gate life cycle assessment and NSGA-II multi-objective optimization, the framework generated a Pareto front of 50 non-dominated SCC mix designs that balance workability performance with environmental and economic objectives. The optimized solutions achieved average reductions of 3.9% in embodied emissions and 2.2% in embodied energy relative to baseline mixtures, demonstrating the framework’s potential to support low-carbon concrete design.
Outlook and Future Research Directions
Author Contributions
Funding
Institutional Review Board Statement
Informed Consent Statement
Data Availability Statement
Acknowledgments
Conflicts of Interest
Abbreviations
| SCC | Self-Compacting Concrete |
| ML | Machine Learning |
| XAI | Explainable Artificial Intelligence |
| SHAP | SHapley Additive exPlanations |
| LCA | Life Cycle Assessment |
| NSGA-II | Non-Dominated Sorting Genetic Algorithm II |
References
- El Asri, Y.; Benaicha, M.; Zaher, M.; Hafidi Alaoui, A. Prediction of the compressive strength of self-compacting concrete using artificial neural networks based on rheological parameters. Struct. Concr. 2022, 23, 3864–3876. [Google Scholar] [CrossRef]
- Cheng, B.; Mei, L.; Long, W.J.; Kou, S.; Li, L.; Geng, S. Ai-guided proportioning and evaluating of self-compacting concrete based on rheological approach. Constr. Build. Mater. 2023, 399, 132522. [Google Scholar] [CrossRef]
- Safhi, A.E.M.; Dabiri, H.; Soliman, A.; Khayat, K.H. Prediction of self-consolidating concrete properties using XGBoost machine learning algorithm: Part 1–Workability. Constr. Build. Mater. 2023, 408, 133560. [Google Scholar] [CrossRef]
- Cakiroglu, C.; Bekdaş, G.; Kim, S.; Geem, Z.W. Explainable Ensemble Learning Models for the Rheological Properties of Self-Compacting Concrete. Sustainability 2022, 14, 14640. [Google Scholar] [CrossRef]
- Safhi, A.E.M.; Dabiri, H.; Soliman, A.; Khayat, K.H. Prediction of self-consolidating concrete properties using XGBoost machine learning algorithm: Rheological properties. Powder Technol. 2024, 438, 119623. [Google Scholar] [CrossRef]
- Wang, M.; Du, M.; Jia, Y.; Chang, C.; Zhou, S. Carbon Emission Optimization of Ultra-High-Performance Concrete Using Machine Learning Methods. Materials 2024, 17, 1670. [Google Scholar] [CrossRef] [PubMed]
- Jiang, P.; Zhao, D.; Jin, C.; Ye, S.; Luan, C.; Tufail, R.F. Compressive strength prediction and low-carbon optimization of fly ash geopolymer concrete based on big data and ensemble learning. PLoS ONE 2024, 19, e0310422. [Google Scholar] [CrossRef] [PubMed]
- Wakjira, T.G.; Kutty, A.A.; Alam, M.S. A novel framework for developing environmentally sustainable and cost-effective ultra-high-performance concrete (UHPC) using advanced machine learning and multi-objective optimization techniques. Constr. Build. Mater. 2024, 416, 135114. [Google Scholar] [CrossRef]
- Huang, G.; Abou-Chakra, A.; Geoffroy, S.; Absi, J. Improving the mechanical and thermal performance of bio-based concrete through multi-objective optimization. Constr. Build. Mater. 2024, 421, 135673. [Google Scholar] [CrossRef]
- Helali, S.; Albalawi, S.; Alanazi, M.; Alanazi, B.; Bel Hadj Ali, N. Optimizing Carbon Footprint and Strength in High-Performance Concrete Through Data-Driven Modeling. Sustainability 2025, 17, 7808. [Google Scholar] [CrossRef]
- Wang, S.; Xia, P.; Gong, F.; Zeng, Q.; Chen, K.; Zhao, Y. Multi objective optimization of recycled aggregate concrete based on explainable machine learning. J. Clean. Prod. 2024, 445, 141045. [Google Scholar] [CrossRef]
- Chakravarthy H G, N.; Seenappa, K.M.; Naganna, S.R.; Pruthviraja, D. Machine Learning Models for the Prediction of the Compressive Strength of Self-Compacting Concrete Incorporating Incinerated Bio-Medical Waste Ash. Sustainability 2023, 15, 13621. [Google Scholar] [CrossRef]
- Cui, T.; Kulasegaram, S.; Li, H. Design automation of sustainable self-compacting concrete containing fly ash via data driven performance prediction. J. Build. Eng. 2024, 87, 108960. [Google Scholar] [CrossRef]
- Huang, P.; Dai, K.; Yu, X. Machine learning approach for investigating compressive strength of self-compacting concrete containing supplementary cementitious materials and recycled aggregate. J. Build. Eng. 2023, 79, 107904. [Google Scholar] [CrossRef]
- Fang, G.H.; Lin, Z.M.; Xie, C.Z.; Han, Q.Z.; Hong, M.Y.; Zhao, X.Y. Optimized Machine Learning Model for Predicting Compressive Strength of Alkali-Activated Concrete Through Multi-Faceted Comparative Analysis. Materials 2024, 17, 5086. [Google Scholar] [CrossRef] [PubMed]
- Pan, B.; Liu, W.; Zhou, P.; Wu, D.O. Predicting the Compressive Strength of Recycled Concrete Using Ensemble Learning Model. IEEE Access 2025, 13, 2958–2969. [Google Scholar] [CrossRef]
- Wang, J.; Deng, J.; Li, S.; Du, W.; Zhang, Z.; Liu, X. Explainable Machine Learning for Multicomponent Concrete: Predictive Modeling and Feature Interaction Insights. Materials 2025, 18, 4456. [Google Scholar] [CrossRef] [PubMed]
- Saleh, M.A.; Kazemi, F.; Abdelgader, H.S.; Isleem, H.F. Optimization-based multitarget stacked machine-learning model for estimating mechanical properties of conventional and fiber-reinforced preplaced aggregate concrete. Arch. Civ. Mech. Eng. 2025, 25, 185. [Google Scholar] [CrossRef]
- Safhi, A. A Comprehensive Self-Consolidating Concrete Dataset for Advanced Construction Practices. Zenodo 2024. [Google Scholar] [CrossRef]












| No. | Feature Name | Engineering Definition | Unit | Min | Max | Mean | Std. Dev. | Standardization |
|---|---|---|---|---|---|---|---|---|
| 1 | Water-to-Binder Ratio (w/b) | Mass ratio of water to total binder content (cement + SCMs); a key parameter controlling workability and strength. | – | 0.25 | 0.65 | 0.42 | 0.08 | Min–Max |
| 2 | Total Powder Content | Total mass of all powder materials including cement, fly ash, slag, silica fume, limestone powder, and metakaolin. | kg/m3 | 350 | 650 | 485 | 65 | Min–Max |
| 3 | Fine Aggregate/Total Aggregate Ratio | Mass ratio of fine aggregate (sand) to total aggregate; governs particle packing and flowability. | – | 0.40 | 0.60 | 0.50 | 0.05 | Min–Max |
| 4 | Coarse Aggregate/Total Aggregate Ratio | Mass ratio of coarse aggregate to total aggregate; complementary to fine aggregate ratio. | – | 0.40 | 0.60 | 0.50 | 0.05 | Min–Max |
| 5 | Total Aggregate Content | Combined mass of fine and coarse aggregates per unit volume of concrete. | kg/m3 | 1400 | 1900 | 1650 | 120 | Min–Max |
| 6 | Admixture (% of Binder) | Percentage of chemical admixture (superplasticizer) relative to total binder mass. | % | 0.5 | 3.5 | 1.8 | 0.6 | Min–Max |
| 7 | Water Content | Total water mass per cubic meter, including water in admixtures. | kg/m3 | 140 | 220 | 175 | 20 | Min–Max |
| 8 | Volume of Paste | Volume fraction of paste (binder + water + air) in the concrete mixture. | L/m3 | 300 | 420 | 360 | 30 | Min–Max |
| 9 | V/P Ratio | Ratio of paste volume to void volume in the aggregate skeleton; critical for SCC self-compactability. | – | 1.0 | 1.8 | 1.35 | 0.15 | Min–Max |
| 10 | Admixture Content | Absolute mass of chemical admixture per cubic meter of concrete. | kg/m3 | 2 | 15 | 8 | 3 | Min–Max |
| 11 | Cement Content | Mass of Portland cement per cubic meter of concrete. | kg/m3 | 200 | 550 | 380 | 80 | Min–Max |
| 12 | Fly Ash Content | Mass of fly ash (Class F or C); a pozzolanic SCM derived from coal combustion. | kg/m3 | 0 | 250 | 85 | 70 | Min–Max |
| 13 | Slag Content | Mass of ground granulated blast-furnace slag (GGBFS); a latent hydraulic SCM. | kg/m3 | 0 | 300 | 60 | 90 | Min–Max |
| 14 | Silica Fume Content | Mass of silica fume; a highly reactive pozzolan for high-performance concrete. | kg/m3 | 0 | 80 | 15 | 20 | Min–Max |
| 15 | Limestone Powder Content | Mass of limestone powder; used as an inert or semi-reactive filler. | kg/m3 | 0 | 200 | 45 | 60 | Min–Max |
| 16 | Metakaolin Content | Mass of metakaolin; a highly reactive calcined clay pozzolan. | kg/m3 | 0 | 100 | 10 | 25 | Min–Max |
| 17 | J-Ring Flow | Diameter of concrete spread after passing through the J-Ring apparatus; indicates passing ability. | mm | 550 | 750 | 650 | 45 | Min–Max |
| 18 | Sieve Segregation Index (SSI) | Percentage of mortar passing through a 5 mm sieve; measures segregation resistance. | % | 0 | 25 | 12 | 6 | Min–Max |
| 19 | Total SCMs | Sum of all supplementary cementitious materials (fly ash, slag, silica fume, metakaolin). | kg/m3 | 0 | 400 | 170 | 100 | Min–Max |
| 20 | Year | Publication year of the source study, capturing temporal trends in SCC mix design. | Year | 2001 | 2024 | 2015 | 6 | Min–Max |
| No. | Property | Engineering Definition | Unit | Min | Max | Mean | Std. Dev. |
|---|---|---|---|---|---|---|---|
| 1 | Slump Flow | Mean diameter of concrete spread after lifting the slump cone; primary indicator of filling ability. | mm | 500 | 850 | 680 | 65 |
| 2 | Time required for concrete to reach a 500 mm spread diameter; reflects flow rate and viscosity. | s | 1.0 | 8.0 | 3.5 | 1.5 | |
| 3 | V-Funnel | Time for concrete to flow through a V-shaped funnel; evaluates viscosity and passing ability. | s | 4.0 | 25.0 | 10.5 | 4.5 |
| 4 | L-Box () | Ratio of concrete heights at the ends of an L-shaped box; measures passing ability through reinforcement. | – | 0.75 | 1.00 | 0.88 | 0.06 |
| Constraint | Original Data | Augmented Data | Compliance |
|---|---|---|---|
| ratio in [0.25, 0.65] | 100% | 100% | ✓ |
| Total powder in [350, 650] kg/m3 | 100% | 100% | ✓ |
| FA/Agg + CA/Agg = 1.0 | 100% | 100% | ✓ |
| Slump flow in [500, 850] mm | 100% | 99.2% | ✓ |
| All features positive | 100% | 100% | ✓ |
| Material | Emission Factor (kg /kg) | Source | Year | Uncertainty |
|---|---|---|---|---|
| Portland Cement (OPC) | 0.90 | ICE Database v3.0 | 2019 | ±10% |
| Fly Ash | 0.027 | Hammond & Jones | 2011 | ±20% |
| GGBFS | 0.052 | Ecoinvent v3.8 | 2021 | ±15% |
| Silica Fume | 0.014 | Flower & Sanjayan | 2007 | ±25% |
| Limestone Powder | 0.032 | ICE Database v3.0 | 2019 | ±15% |
| Metakaolin | 0.330 | ICE Database v3.0 | 2019 | ±20% |
| Fine Aggregate (Sand) | 0.005 | Ecoinvent v3.8 | 2021 | ±10% |
| Coarse Aggregate (Gravel) | 0.008 | Ecoinvent v3.8 | 2021 | ±10% |
| Water | 0.0003 | Ecoinvent v3.8 | 2021 | ±5% |
| Superplasticizer (PCE) | 1.88 | Sjunnesson | 2005 | ±30% |
| Material | Embodied Energy (MJ/kg) | Source | Uncertainty |
|---|---|---|---|
| Portland Cement (OPC) | 4.60 | ICE Database v3.0 | ±10% |
| Fly Ash | 0.10 | Hammond & Jones | ±25% |
| GGBFS | 1.33 | Ecoinvent v3.8 | ±15% |
| Silica Fume | 0.036 | Flower & Sanjayan | ±30% |
| Limestone Powder | 0.33 | ICE Database v3.0 | ±15% |
| Metakaolin | 2.50 | ICE Database v3.0 | ±20% |
| Fine Aggregate | 0.081 | Ecoinvent v3.8 | ±10% |
| Coarse Aggregate | 0.083 | Ecoinvent v3.8 | ±10% |
| Water | 0.01 | Ecoinvent v3.8 | ±5% |
| Superplasticizer | 35.0 | Sjunnesson | ±30% |
| Material | Unit Cost (USD/kg) | Source | Benchmark Year | Regional Basis |
|---|---|---|---|---|
| Portland Cement | 0.12 | Industry Survey | 2023 | Global Average |
| Fly Ash | 0.05 | Industry Survey | 2023 | Global Average |
| GGBFS | 0.08 | Industry Survey | 2023 | Global Average |
| Silica Fume | 0.45 | Industry Survey | 2023 | Global Average |
| Limestone Powder | 0.03 | Industry Survey | 2023 | Global Average |
| Metakaolin | 0.35 | Industry Survey | 2023 | Global Average |
| Fine Aggregate | 0.015 | Industry Survey | 2023 | Global Average |
| Coarse Aggregate | 0.012 | Industry Survey | 2023 | Global Average |
| Water | 0.002 | Utility Rates | 2023 | Global Average |
| Superplasticizer | 2.50 | Industry Survey | 2023 | Global Average |
| Metric | Baseline | 5th Percentile | 95th Percentile | CoV (%) |
|---|---|---|---|---|
| Emissions (kg/m3) | 385.2 | 352.8 | 421.6 | 8.9 |
| Energy Consumption (MJ/m3) | 2145 | 1985 | 2320 | 7.8 |
| Material Cost (USD/m3) | 78.5 | 71.2 | 86.8 | 9.9 |
| Parameter | Sensitivity Index | ||
|---|---|---|---|
| Cement emission factor | 0.79 | ||
| Cement content | 0.71 | ||
| GGBFS emission factor | 0.04 | ||
| Fly ash emission factor | 0.02 | ||
| Superplasticizer factor | 0.06 | ||
| Aggregate factor | 0.03 |
| Feature | Training Min | Training Max | Unit |
|---|---|---|---|
| Water-to-Binder Ratio | 0.25 | 0.65 | – |
| Total Powder Content | 350 | 650 | kg/m3 |
| Fine Aggregate/Total Aggregate Ratio | 0.40 | 0.60 | – |
| Coarse Aggregate/Total Aggregate Ratio | 0.40 | 0.60 | – |
| Total Aggregate Content | 1400 | 1900 | kg/m3 |
| Admixture (% of Binder) | 0.5 | 3.5 | % |
| Water Content | 140 | 220 | kg/m3 |
| Cement Content | 200 | 550 | kg/m3 |
| Fly Ash Content | 0 | 250 | kg/m3 |
| Slag Content | 0 | 300 | kg/m3 |
| Silica Fume Content | 0 | 80 | kg/m3 |
| Industrial Mix | Grade | Target Slump Flow (mm) | Features Within Range | Coverage (%) |
|---|---|---|---|---|
| Mix 1 | G50 | 650 | 11/11 | 100 |
| Mix 2 | G60 | 680 | 11/11 | 100 |
| Mix 3 | G70 | 700 | 11/11 | 100 |
| Mix 4 | G80 | 720 | 11/11 | 100 |
| Overall | – | – | 44/44 | 100 |
| Industrial Mix | Distance to Centroid | Training Set (Mean ± Std) | Percentile Rank |
|---|---|---|---|
| Mix 1 (G50) | 0.42 | 0.48 ± 0.15 | 38th |
| Mix 2 (G60) | 0.38 | 0.48 ± 0.15 | 28th |
| Mix 3 (G70) | 0.45 | 0.48 ± 0.15 | 42nd |
| Mix 4 (G80) | 0.51 | 0.48 ± 0.15 | 58th |
| Aspect | Details |
|---|---|
| System Boundary | Cradle-to-gate |
| Functional Unit | of SCC (Slump Flow ≥ 650 mm) |
| Emission Factor Sources | ICE Database v3.0, Ecoinvent v3.8, literature |
| Cost Sources | Industry surveys, utility rates (2023) |
| Transportation | Excluded from baseline; sensitivity analysis included |
| Allocation Principles | Economic allocation for industrial by-products |
| Uncertainty Analysis | Monte Carlo simulation (10,000 iterations) |
| Sensitivity Analysis | OAT and transportation scenarios |
| Target Property | Metric | Value | Interpretation |
|---|---|---|---|
| Slump Flow (mm) | 0.835 | Excellent correlation with observed values | |
| MAE (mm) | 38.2 | Low average absolute error | |
| RMSE (mm) | 51.9 | Acceptable prediction dispersion | |
| (s) | 0.828 | Highly reliable correlation | |
| MAE (s) | 0.21 | Very low absolute error | |
| RMSE (s) | 0.30 | High precision in time prediction | |
| V-Funnel (s) | 0.751 | Good correlation for flow time | |
| MAE (s) | 0.35 | Acceptable error range | |
| RMSE (s) | — | — | |
| L-box () | 0.724 | Acceptable predictive correlation | |
| MAE (ratio) | 0.04 | High precision for ratio prediction | |
| RMSE | — | — |
| Target Property | Metric | Without Aug. | With Aug. | Improvement | p-Value |
|---|---|---|---|---|---|
| Slump Flow | 0.782 | 0.835 | +6.8% | 0.003 ** | |
| MAE (mm) | 42.3 | 35.8 | –15.4% | 0.008 ** | |
| RMSE (mm) | 56.1 | 48.2 | –14.1% | 0.011 * | |
| 0.774 | 0.828 | +7.0% | 0.005 ** | ||
| MAE (s) | 0.68 | 0.54 | –20.6% | 0.002 ** | |
| RMSE (s) | 0.89 | 0.72 | –19.1% | 0.004 ** | |
| V-funnel | 0.698 | 0.756 | +8.3% | 0.018 * | |
| MAE (s) | 2.45 | 2.01 | –18.0% | 0.012 * | |
| RMSE (s) | 3.21 | 2.68 | –16.5% | 0.015 * | |
| L-box | 0.712 | 0.768 | +7.9% | 0.021 * | |
| MAE | 0.042 | 0.035 | –16.7% | 0.009 ** | |
| RMSE | 0.055 | 0.046 | –16.4% | 0.014 * |
| Mix ID | Target Slump Flow (mm) | Predicted (mm) | Abs. Error (mm) | Within mm? |
|---|---|---|---|---|
| Kuwait_K700_1 | 600 ± 100 | 678.9 | 78.9 | Yes |
| Kuwait_SRC_Micro | 600 ± 100 | 673.8 | 73.8 | Yes |
| Kuwait_65Nmm2 | 600 ± 100 | 684.6 | 84.6 | Yes |
| Kuwait_SRC_OPC | 600 ± 100 | 682.2 | 82.2 | Yes |
| MAE = 79.9 mm MRE = 13.3% | ||||
Disclaimer/Publisher’s Note: The statements, opinions and data contained in all publications are solely those of the individual author(s) and contributor(s) and not of MDPI and/or the editor(s). MDPI and/or the editor(s) disclaim responsibility for any injury to people or property resulting from any ideas, methods, instructions or products referred to in the content. |
© 2026 by the authors. Licensee MDPI, Basel, Switzerland. This article is an open access article distributed under the terms and conditions of the Creative Commons Attribution (CC BY) license.
Share and Cite
Aldawish, A.; Kulasegaram, S. Sustainability-Focused Evaluation of Self-Compacting Concrete: Integrating Explainable Machine Learning and Mix Design Optimization. Appl. Sci. 2026, 16, 1460. https://doi.org/10.3390/app16031460
Aldawish A, Kulasegaram S. Sustainability-Focused Evaluation of Self-Compacting Concrete: Integrating Explainable Machine Learning and Mix Design Optimization. Applied Sciences. 2026; 16(3):1460. https://doi.org/10.3390/app16031460
Chicago/Turabian StyleAldawish, Abdulaziz, and Sivakumar Kulasegaram. 2026. "Sustainability-Focused Evaluation of Self-Compacting Concrete: Integrating Explainable Machine Learning and Mix Design Optimization" Applied Sciences 16, no. 3: 1460. https://doi.org/10.3390/app16031460
APA StyleAldawish, A., & Kulasegaram, S. (2026). Sustainability-Focused Evaluation of Self-Compacting Concrete: Integrating Explainable Machine Learning and Mix Design Optimization. Applied Sciences, 16(3), 1460. https://doi.org/10.3390/app16031460

