Sign in to use this feature.

Years

Between: -

Subjects

remove_circle_outline
remove_circle_outline
remove_circle_outline
remove_circle_outline
remove_circle_outline
remove_circle_outline
remove_circle_outline
remove_circle_outline
remove_circle_outline

Journals

remove_circle_outline
remove_circle_outline
remove_circle_outline
remove_circle_outline
remove_circle_outline
remove_circle_outline
remove_circle_outline
remove_circle_outline
remove_circle_outline

Article Types

Countries / Regions

remove_circle_outline
remove_circle_outline
remove_circle_outline
remove_circle_outline
remove_circle_outline

Search Results (536)

Search Parameters:
Keywords = market curves

Order results
Result details
Results per page
Select all
Export citation of selected articles as:
27 pages, 1175 KB  
Article
ESG Integration and the Financial Stability Trade-Off in Emerging Markets
by Luis Ángel Meneses Cerón, Julián Mauricio Gómez López, Yudith Cristina Caicedo Domínguez and Juana Patricia Diaz Olaya
Int. J. Financial Stud. 2026, 14(2), 26; https://doi.org/10.3390/ijfs14020026 (registering DOI) - 2 Feb 2026
Abstract
This study investigates the impact of ESG practices on the financial stability in a multisector sample of 86 publicly listed Brazilian firms, focusing on the Weighted Average Cost of Capital (WACC) and Altman Z-Score (AZS) as a proxy for insolvency risk. Using Bloomberg [...] Read more.
This study investigates the impact of ESG practices on the financial stability in a multisector sample of 86 publicly listed Brazilian firms, focusing on the Weighted Average Cost of Capital (WACC) and Altman Z-Score (AZS) as a proxy for insolvency risk. Using Bloomberg data from 2010 to 2021, this research applies advanced econometric methods, including Ordinary Least Squares (OLS), Vector Autoregression (VAR) and Fully Modified Ordinary Least Squares (FMOLS), to capture both short- and long-term effects. The findings reveal a financial learning curve: in the short term, ESG adoption can temporarily increase WACC and insolvency risk due to initial implementation costs, whereas in the long term, it reduces financial risk, enhances operational efficiency, and strengthens corporate resilience. These results underscore ESG practices as a strategic determinant of long-term value creation and financial stability. This study offers actionable insights for policymakers, investors, and corporate leaders aiming to align sustainability initiatives with financial performance in emerging market contexts. Full article
Show Figures

Figure 1

29 pages, 8564 KB  
Article
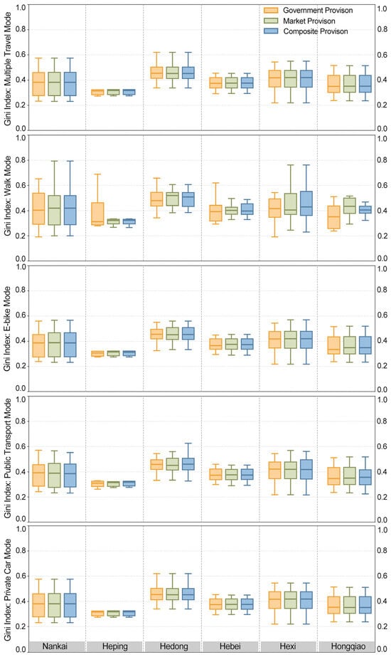
Spatial Equity of Children’s Extracurricular Activity Facilities Under Government–Market Dual Provision Systems: Evidence from Tianjin
by Jiehui Geng, Peng Zeng, Jinxuan Li, Xiaotong Ren and Liangwa Cai
ISPRS Int. J. Geo-Inf. 2026, 15(2), 63; https://doi.org/10.3390/ijgi15020063 (registering DOI) - 1 Feb 2026
Abstract
Ensuring equitable and inclusive access to children’s extracurricular activity facilities represents a profound manifestation of educational equity and is crucial for promoting children’s holistic development and societal sustainability. However, the underlying spatial mechanisms shaping their equity remain insufficiently explored. Using Tianjin’s central urban [...] Read more.
Ensuring equitable and inclusive access to children’s extracurricular activity facilities represents a profound manifestation of educational equity and is crucial for promoting children’s holistic development and societal sustainability. However, the underlying spatial mechanisms shaping their equity remain insufficiently explored. Using Tianjin’s central urban area as a case study, this study examines the spatial accessibility and equity of such facilities under dual government–market provision systems. The multi-mode Huff two-step floating catchment area model (MM-Huff-2SFCA) was employed to assess accessibility across walking, e-bike, public transport, and private car modes, integrating facility quality, household preference, and time-based distance decay. Equity was further evaluated using Lorenz curves and Gini coefficients across multiple spatial scales, while geographically weighted regression (GWR) identified spatial heterogeneity in factors such as child population density, transport infrastructure, household economic status, and basic education coverage. Results indicate that macro-level spatial balance masks substantial micro-scale inequities, particularly among transport-disadvantaged groups. Government and market systems exhibit contrasting spatial logics, forming a compensation–complementarity pattern across urban space. These findings underscore the need for refined and differentiated governance in extracurricular activity facilities planning, integrating spatial planning, transport accessibility, and social equity to advance child-friendly urban development and equitable public service provision. Full article
(This article belongs to the Special Issue Spatial Information for Improved Living Spaces)
Show Figures

Figure 1

19 pages, 4937 KB  
Article
Soybean Polysaccharides Increase the Stability of Lansoprazole Enteric Coated Pellets
by Haibao Zhong, Dingding Li, Weifeng Yang, Yi Liu, Xianping Wu, Baowei Jing and Leisheng Sun
Pharmaceuticals 2026, 19(2), 213; https://doi.org/10.3390/ph19020213 - 26 Jan 2026
Viewed by 168
Abstract
Background/Objectives: Lansoprazole (LNS) is widely used to treat and prevent stomach and intestinal ulcers and as a proton pump inhibitor with low solubility and high permeability. Soluble soybean polysaccharides (SSPS) are well-known disintegrants in food processing but are rarely used in the [...] Read more.
Background/Objectives: Lansoprazole (LNS) is widely used to treat and prevent stomach and intestinal ulcers and as a proton pump inhibitor with low solubility and high permeability. Soluble soybean polysaccharides (SSPS) are well-known disintegrants in food processing but are rarely used in the pharmaceutical field. In this study, we included SSPS as a disintegrant in LNS formulation for pharmaceutical use to investigate the effect of SSPS on the characteristics, dissolution curve, and stability of LNS enteric coated pellets. Methods: The screening of multiple excipients in formulation optimized the release and stability profile of enteric LNS pellets. The final enteric coated LNS pellet containing SSPS were evaluated by LNS crystal form, release profile, and stability. Results: X-ray powder diffraction revealed that this new LNS pellet and commercial reference LNS pellet had similar crystal form by X-ray powder diffraction. Under both long-term and accelerated conditions, these new SSPS-containing LNS pellets had higher release rate and better acid resistance than reference marketed LNS pellets. Conclusions: Inclusion of SSPS in LNS formulation could increase the physicochemical stability of the enteric coated capsules after storage, providing the basis of SSPS for further development and utilization in pharmaceutical formulation as a promising excipient. Full article
Show Figures

Graphical abstract

20 pages, 731 KB  
Article
Option-Implied Zero-Coupon Yields: Unifying Bond and Equity Markets
by Ting-Jung Lee, W. Brent Lindquist, Svetlozar T. Rachev and Abootaleb Shirvani
J. Risk Financial Manag. 2026, 19(1), 91; https://doi.org/10.3390/jrfm19010091 - 22 Jan 2026
Viewed by 86
Abstract
This paper addresses a critical inconsistency in models of the term structure of interest rates (TSIR), where zero-coupon bonds are priced under risk-neutral measures distinct from those used in equity markets. We consider a unified TSIR framework that treats zero-coupon bonds as European [...] Read more.
This paper addresses a critical inconsistency in models of the term structure of interest rates (TSIR), where zero-coupon bonds are priced under risk-neutral measures distinct from those used in equity markets. We consider a unified TSIR framework that treats zero-coupon bonds as European options with deterministic payoffs, ensuring that they are priced under the same risk-neutral measure that governs equity derivatives. Using put–call parity, we extract zero-coupon bond implied yield curves from S&P 500 index options and compare them with the US daily treasury par yield curves. As the implied yield curves contain maturity time T and strike price K as independent variables, we investigate the K—dependence of the implied yield curve. Our findings, that at-the-money option-implied yield curves provide the closest match to treasury par yield curves, support the view that the equity options market contains information that is highly relevant for the TSIR. By insisting that the risk-neutral measure used for bond valuation is the same as that revealed by equity derivatives, we offer a new organizing principle for future TSIR research. Full article
(This article belongs to the Section Financial Markets)
Show Figures

Figure 1

30 pages, 8792 KB  
Article
Incorporating Renewable Generation Uncertainty Into Multi-Objective Dispatch Optimization
by Eduardo Conde Lázaro, Alberto Ramos Millán, Pablo Reina Peral and Carlos Enrique Vázquez Martínez
Energies 2026, 19(2), 545; https://doi.org/10.3390/en19020545 - 21 Jan 2026
Viewed by 88
Abstract
This article analyzes an electrical system based on the IEEE-57 bus case, which integrates thermal and wind generation to meet hourly demand. Using the previous day’s wind forecasts as firm market bids, the optimal Pareto frontier for thermal dispatch is calculated, balancing total [...] Read more.
This article analyzes an electrical system based on the IEEE-57 bus case, which integrates thermal and wind generation to meet hourly demand. Using the previous day’s wind forecasts as firm market bids, the optimal Pareto frontier for thermal dispatch is calculated, balancing total cost and emissions. The system operator selects a dispatch point based on the desired cost–emissions ratio. To reflect real-world uncertainty, the study incorporates statistical deviations in actual wind production derived from historical data. For each deviation scenario, new optimal thermal dispatch curves are generated. This approach allows for preventive scheduling across the range of expected wind deviations and supports real-time adjustments through mechanisms such as redispatching, intraday markets, or secondary/tertiary regulation. Full article
Show Figures

Figure 1

25 pages, 2812 KB  
Article
Field-Scale Techno-Economic Assessment and Real Options Valuation of Carbon Capture Utilization and Storage—Enhanced Oil Recovery Project Under Market Uncertainty
by Chang Liu, Cai-Shuai Li and Xiao-Qiang Zheng
Sustainability 2026, 18(2), 805; https://doi.org/10.3390/su18020805 - 13 Jan 2026
Viewed by 271
Abstract
This study develops a field-based techno-economic model and decision framework for a CO2-enhanced oil recovery and storage project under joint market uncertainty. Historical drilling and completion expenditures calibrate investment cost functions, and three years of production data are fitted with segmented [...] Read more.
This study develops a field-based techno-economic model and decision framework for a CO2-enhanced oil recovery and storage project under joint market uncertainty. Historical drilling and completion expenditures calibrate investment cost functions, and three years of production data are fitted with segmented hyperbolic Arps curves to forecast 20-year oil output. Markov-chain models jointly generate internally consistent pathways for crude oil, ETA, and purchased CO2 prices, which are embedded in a Monte Carlo valuation. The framework outputs probability distributions of NPV and deferral option value; under the mid scenario, their mean values are USD 18.1M and USD 2.0M, respectively. PRCC-based global sensitivity analysis identifies the dominant value drivers as oil price, CO2 price, utilization factor, oil density, pipeline length, and injection volume. Techno-economic boundary maps in the joint oil and CO2 price space then delineate feasible regions and break-even thresholds for key design parameters. Results indicate that CCUS-EOR viability cannot be inferred from oil price or any single cost factor alone, but requires coordinated consideration of subsurface constraints, engineering configuration, and multi-market dynamics, including the value of waiting in unfavorable regimes, contributing to low-carbon development and sustainable energy transition objectives. Full article
Show Figures

Figure 1

35 pages, 8323 KB  
Article
Evaluating Digital Marketing, Innovation, and Entrepreneurial Impact in AI-Built vs. Professionally Developed DeFi Websites
by Nikolaos T. Giannakopoulos, Damianos P. Sakas and Nikos Kanellos
Future Internet 2026, 18(1), 48; https://doi.org/10.3390/fi18010048 - 13 Jan 2026
Viewed by 267
Abstract
This study evaluates whether an AI-built DeFi website case can match professionally developed DeFi platforms in digital marketing performance, innovation-related strategic behavior, and entrepreneurial impact. Using a multi-method design, we compare five established DeFi websites (Aave, Lido, Curve, MakerDAO, Uniswap) against one AI-built [...] Read more.
This study evaluates whether an AI-built DeFi website case can match professionally developed DeFi platforms in digital marketing performance, innovation-related strategic behavior, and entrepreneurial impact. Using a multi-method design, we compare five established DeFi websites (Aave, Lido, Curve, MakerDAO, Uniswap) against one AI-built interface (Nexus Protocol). The analysis is designed as a five-platform benchmarking study of established professional DeFi websites, complemented by one AI-built case (Nexus Protocol) used as an illustrative comparison rather than a representative class of AI-built interface. The objectives are to (i) test differences in traffic composition and acquisition strategies, (ii) quantify how engagement signals predict authority and branded traffic, (iii) examine cognitive processing and trust-cue attention via eye tracking, and (iv) model emergent engagement and authority dynamics using agent-based simulation (ABM). Web analytics (March–October 2025) show significant variation in traffic composition across professional platforms (ANOVA F = 3.41, p = 0.0205), while regression models indicate that time on site and pages per visit positively predict Authority Score (R2 = 0.61) and Branded Traffic (R2 = 0.55), with bounce rate exerting an adverse effect. PCA and k-means clustering identify three strategic archetypes (innovation-driven, balanced-growth, efficiency-focused). Eye-tracking results show that professional interfaces generate tighter fixation clusters and shorter scan paths, indicating higher cognitive efficiency. In contrast, fixation on key UI elements and trust cues is comparable across interface types. ABM outputs further suggest that reduced engagement depth in the AI-built interface yields weaker long-run branded-traffic and authority trajectories. Overall, the study provides an integrated evaluation framework and evidence-based implications for AI-driven interface design in high-trust fintech environments. Full article
Show Figures

Graphical abstract

21 pages, 4367 KB  
Article
Operational Optimization of Combined Heat and Power Units Participating in Electricity and Heat Markets
by Yutong Sha, Zhilong He, Shengwen Wang, Zheng Li and Pei Liu
Processes 2026, 14(2), 210; https://doi.org/10.3390/pr14020210 - 7 Jan 2026
Viewed by 192
Abstract
In the background of electricity market reform, combined heat and power (CHP) units must balance electricity market revenues with reliable heat supply. However, the flexibility of CHP units to confront various features of renewable outputs remains to be explored more thoroughly. In this [...] Read more.
In the background of electricity market reform, combined heat and power (CHP) units must balance electricity market revenues with reliable heat supply. However, the flexibility of CHP units to confront various features of renewable outputs remains to be explored more thoroughly. In this study, day-ahead electricity price curves are classified into four typical categories adopting k-means clustering, featured by diverse temporal trends associated with the output of renewables. An integrated model—capturing the CHP, the battery energy storage system (BESS), and heating network dynamics—supports day-ahead operational optimization. The results suggest that distinct operational strategies are to be implemented under different price profiles. Moreover, incorporating a BESS and exploiting thermal inertia of the network expands arbitrage opportunities and profit from the electricity market. Lastly, an alternation in the operational goal of CHP units is proposed, namely, from thermal-economy-guided to comprehensive-economy-oriented. Comparative results underscore the benefits of the revised strategies. Full article
(This article belongs to the Section Energy Systems)
Show Figures

Figure 1

32 pages, 1486 KB  
Article
Optimal Carbon Emission Reduction Strategies Considering the Carbon Market
by Wenlin Huang and Daming Shan
Mathematics 2026, 14(1), 68; https://doi.org/10.3390/math14010068 - 24 Dec 2025
Viewed by 270
Abstract
In this study, we develop a stochastic optimal control model for corporate carbon management that synergistically combines emission reduction initiatives with carbon trading mechanisms. The model incorporates two control variables: the autonomous emission reduction rate and initial carbon allowance purchases, while accounting for [...] Read more.
In this study, we develop a stochastic optimal control model for corporate carbon management that synergistically combines emission reduction initiatives with carbon trading mechanisms. The model incorporates two control variables: the autonomous emission reduction rate and initial carbon allowance purchases, while accounting for both deterministic and stochastic carbon pricing scenarios. The solution is obtained through a two-step optimization procedure that addresses each control variable sequentially. In the first step, the problem is transformed into a Hamilton–Jacobi–Bellman (HJB) equation in the sense of viscosity solution. A key aspect of the methodology is deriving the corresponding analytical solution based on this equation’s structure. The second-step optimization results are shown to depend on the relationship between the risk-free interest rate and carbon price dynamics. Furthermore, we employ daily closing prices from 16 July 2021, to 31 December 2024, as the sample dataset to calibrate the parameters governing carbon allowance price evolution. The marginal abatement cost (MAC) curve is calibrated using data derived from the Emissions Prediction and Policy Analysis (EPPA) model, enabling the estimation of the emission reduction efficiency parameter. Additional policy-related parameters are obtained from relevant regulatory documents. The numerical results demonstrate how enterprises can implement the model’s outputs to inform carbon emission reduction decisions in practice and offer enterprises a decision-support tool that integrates theoretical rigor and practical applicability for achieving emission targets in the carbon market. Full article
Show Figures

Figure 1

32 pages, 1696 KB  
Article
Financial Statement Fraud Detection Through an Integrated Machine Learning and Explainable AI Framework
by Tsolmon Sodnomdavaa and Gunjargal Lkhagvadorj
J. Risk Financial Manag. 2026, 19(1), 13; https://doi.org/10.3390/jrfm19010013 - 24 Dec 2025
Viewed by 1130
Abstract
Financial statement fraud remains a substantial risk in environments marked by weak regulatory oversight and information asymmetry. This study develops a decision-centric framework that integrates machine learning, explainable artificial intelligence, and decision curve analysis to improve fraud detection under severe class imbalance. Using [...] Read more.
Financial statement fraud remains a substantial risk in environments marked by weak regulatory oversight and information asymmetry. This study develops a decision-centric framework that integrates machine learning, explainable artificial intelligence, and decision curve analysis to improve fraud detection under severe class imbalance. Using 969 firm-year observations from 132 Mongolian firms (2013–2024), we evaluate 21 financial ratios with models including Random Forest, XGBoost, LightGBM, MLP, TabNet, and a Stacking Ensemble trained with SMOTE and class-weighted learning. Performance was assessed using PR-AUC, F1-score, Recall, and DeLong-based significance testing. The Stacking Ensemble achieved the strongest results (PR-AUC = 0.93; F1 = 0.83), outperforming both classical and modern baseline models. Interpretability analyses (SHAP, LIME, and counterfactual explanations) consistently identified leverage, profitability, and liquidity indicators as dominant drivers of fraud risk, supported by a SHAP Stability Index of 0.87. Decision curve analysis showed that calibrated thresholds improved decision efficiency by 7–9% and reduced over-audit costs by 3–4%, while an audit cost simulation estimated annual savings of 80–100 million MNT. Overall, the proposed ML–XAI–DCA framework offers a transparent, interpretable, and cost-efficient approach for enhancing fraud detection in emerging-market contexts with limited textual disclosures. Full article
Show Figures

Figure 1

16 pages, 287 KB  
Article
Exploring the Deep Roots of the Environmental Kuznets Curve (Ekc): Evidence from a Global Sample
by Sinawo Mbangezeli and Andrew Phiri
Economies 2025, 13(12), 369; https://doi.org/10.3390/economies13120369 - 18 Dec 2025
Viewed by 479
Abstract
Our paper adopts a deep-roots approach to examining the Environmental Kuznets Curve (EKC) by tracing its origins beyond industrialization and into the dawn of human civilization. We hypothesize that the roots of environmental degradation lie not only in modern-day markets or technology, but [...] Read more.
Our paper adopts a deep-roots approach to examining the Environmental Kuznets Curve (EKC) by tracing its origins beyond industrialization and into the dawn of human civilization. We hypothesize that the roots of environmental degradation lie not only in modern-day markets or technology, but in the evolutionary arc of societies themselves. Using a two-stage empirical framework applied to a sample of 130 countries, we show that early transitions into agriculture, technology adoption, and human settlement patterns shaped modern growth trajectories, which in turn influence environmental degradation in line with EKC dynamics. Our findings imply that climate change is not merely a policy failure but also a civilizational inheritance, and sustainable futures cannot be engineered solely through contemporary interventions. Therefore, climate policy must evolve from reactive governance to deep-time reengineering to realign humanity’s path with the planet’s limits, not just for today, but for millennia ahead. Full article
49 pages, 9827 KB  
Article
A Novel Hybrid Model Using Demand Concentration Curves, Chaotic AFDB-SFS Algorithm and Bi-LSTM Networks for Heating Oil Price Prediction
by Seçkin Karasu
Electronics 2025, 14(24), 4814; https://doi.org/10.3390/electronics14244814 - 7 Dec 2025
Viewed by 432
Abstract
Nowadays, renewable energy sources are gaining importance, yet global energy demand is primarily met by burning fossil fuels. Fluctuations in fossil fuel availability, driven by geopolitical tensions, supply–demand changes, and natural disasters, can lead to sudden energy price spikes or supply shortages, adversely [...] Read more.
Nowadays, renewable energy sources are gaining importance, yet global energy demand is primarily met by burning fossil fuels. Fluctuations in fossil fuel availability, driven by geopolitical tensions, supply–demand changes, and natural disasters, can lead to sudden energy price spikes or supply shortages, adversely affecting the global economy. Despite its negative impact on carbon emissions and climate change, Heating Oil (HO) offers advantages over other fossil fuels in efficiency, reliability, and availability. Accurate time series prediction models for HO are crucial for stakeholders. This study proposes a novel hybrid model, integrating the Chaotic Adaptive Fitness-Distance Balance-based Stochastic Fractal Search (AFDB-SFS) algorithm with a Bidirectional Long-Short Term Memory (Bi-LSTM) network, for HO close price prediction. The dataset comprises daily observations of five financial time series (close, open, high, low, and volume) over 4260 trading days, yielding a total of 21,300 data points (4260 days × 5 variables). During the feature extraction stage, financial signal processing methods such as Demand Concentration Curve (DCC) and traditional technical indicators are utilized. A total of 189 features are extracted at appropriate intervals for each indicator. Due to the large number of features, the AFDB-SFS algorithm then efficiently identifies the most compatible feature subsets, optimizing the Bi-LSTM model based on three criteria: maximizing R2, minimizing RMSE, and minimizing feature count. Experimental results demonstrate the proposed hybrid model’s superior performance, achieving high accuracy (R2 of 0.9959 and RMSE of 0.0364), outperforming contemporary models in the literature. Furthermore, the model is successfully implemented on the Jetson Orin Nano Developer Platform, enabling real-time, high-frequency HO price predictions with ultra-low latency (1.01 ms for Bi-LSTM), showcasing its practical utility for edge computing applications in commodity markets. Full article
(This article belongs to the Section Computer Science & Engineering)
Show Figures

Figure 1

33 pages, 1438 KB  
Article
Regime-Switching Affine Term Structure Models with Jumps: Evidence from South African Bond Yields
by Malefane Molibeli and Gary van Vuuren
J. Risk Financial Manag. 2025, 18(12), 681; https://doi.org/10.3390/jrfm18120681 - 1 Dec 2025
Viewed by 555
Abstract
We present a unified framework for modelling the term structure of interest rates using affine term structure models (ATSMs) with jumps and regime switches. The novelty lies in combining affine jump diffusion models with regime switching dynamics within a unified framework, allowing for [...] Read more.
We present a unified framework for modelling the term structure of interest rates using affine term structure models (ATSMs) with jumps and regime switches. The novelty lies in combining affine jump diffusion models with regime switching dynamics within a unified framework, allowing for state-dependent jump behaviour while preserving analytical tractability. This integration enables the model to simultaneously capture nonlinear market regimes and discontinuous movements in interest rates—features that traditional affine models or regime switching models alone cannot jointly represent. Estimation is carried out using the Unscented Kalman Filter (UKF) with the belief that it is capable of handling nonlinearity and therefore should estimate the non-Gaussian dynamics well. The yield curve fit demonstrates that both models fit our data well. RMSEs show that the regime switching affine jump diffusion (RS-AJD) model outperforms the affine jump diffusion (AJD) in-sample. Full article
(This article belongs to the Special Issue Modelling for Positive Change: Economics and Finance)
Show Figures

Figure 1

19 pages, 556 KB  
Article
The Impact of Green Bonds and Energy Use on Carbon Dioxide Emissions: Evidence from 17 Financially Developed Countries (2014–2023)
by Bartosz Jóźwik, Ayşegül Toy, Murat Tekbas, Mesut Dogan and Filip Krauze
Energies 2025, 18(23), 6316; https://doi.org/10.3390/en18236316 - 30 Nov 2025
Viewed by 749
Abstract
This study investigates how green bond issuance, energy use, renewable energy, and economic growth relate to per capita CO2 emissions in 17 financially developed countries that are active in green bond markets over the period 2014–2023. We construct an annual panel for [...] Read more.
This study investigates how green bond issuance, energy use, renewable energy, and economic growth relate to per capita CO2 emissions in 17 financially developed countries that are active in green bond markets over the period 2014–2023. We construct an annual panel for Australia, Austria, Canada, Mainland China, Finland, France, Germany, Italy, Japan, Luxembourg, New Zealand, Norway, Spain, Sweden, the United Kingdom, and the United States, and apply panel-corrected standard errors (PCSEs) together with Method of Moments Quantile Regression (MMQR). Diagnostic tests based on Pesaran’s CIPS unit root and Westerlund’s cointegration procedures indicate that the variables are I(1) and cointegrated, while Pesaran-type dependence and slope heterogeneity tests justify the use of robust panel methods. The PCSE results show that total energy consumption is the strongest factor associated with higher emissions, renewable energy consumption is consistently associated with lower emissions, economic growth is positively linked to emissions, and green bond issuance is associated with lower emissions, although the magnitude of this relationship is modest. MMQR estimates reveal that these relationships are heterogeneous across the CO2 distribution. Green bonds are associated with lower emissions only in low-emission country–years, while this association becomes statistically weak at higher quantiles. Renewable energy is linked to lower emissions across all quantiles, with stronger associations in the lower part of the distribution, and the growth–emissions relationship weakens at the top, consistent with an Environmental Kuznets Curve pattern. These findings suggest that expanding renewables and improving the carbon content of energy use remain central for decarbonization, while green bonds may support emission reductions, particularly in cleaner, institutionally advanced economies. Full article
Show Figures

Figure 1

13 pages, 1835 KB  
Article
Thykamine™: A New Player in the Field of Anti-Inflammatory Drugs
by Charles Lynde, Louis Flamand, Vincent McCarty and John Sampalis
Biomedicines 2025, 13(12), 2938; https://doi.org/10.3390/biomedicines13122938 - 29 Nov 2025
Viewed by 755
Abstract
Background/Objectives: Persistent inflammation driven by cytokines/chemokines plays a crucial role in the pathogenesis of numerous chronic inflammatory and autoimmune conditions, including rheumatoid arthritis, atopic dermatitis, and ulcerative colitis. Current therapeutic agents often present limitations due to adverse effects. Thykamine™, a new plant-derived [...] Read more.
Background/Objectives: Persistent inflammation driven by cytokines/chemokines plays a crucial role in the pathogenesis of numerous chronic inflammatory and autoimmune conditions, including rheumatoid arthritis, atopic dermatitis, and ulcerative colitis. Current therapeutic agents often present limitations due to adverse effects. Thykamine™, a new plant-derived multi-target drug, has demonstrated promising anti-inflammatory effects and a favorable safety profile in clinical settings. This study aimed to compare the in vitro chemokine-inhibitory potency of Thykamine™, a novel plant-derived anti-inflammatory compound, with that of six marketed corticosteroid and non-steroidal agents. Methods: This study compared the in vitro potency of Thykamine™ against widely prescribed anti-inflammatory agents, including corticosteroids (betamethasone, clobetasol, hydrocortisone, prednisone) and non-steroidal therapies (crisaborole, pimecrolimus). Potency was assessed by measuring the inhibition of key pro-inflammatory chemokines: MCP-1, MIP-1α, MIP-1β, and RANTES in lipopolysaccharide-stimulated U937 cells. Results: Area-under-the-curve (AUC) analyses confirmed that Thykamine™ inhibited secretion of the chemokines MCP-1, MIP-1α, and MIP-1β with significantly greater potency than all other agents tested. Thykamine™ also suppressed secretion of RANTES similarly to prednisone and significantly more than betamethasone, clobetasol, hydrocortisone, and pimecrolimus but less than crisaborole due to crisaborole’s elevated potency when administered at high concentration. Conclusions: Overall, Thykamine™ showed significantly greater or comparable inhibitory potency, particularly at lower concentrations, without evidence of cytotoxicity. These findings underscore the potential of Thykamine™ as a potent, multi-target anti-inflammatory therapy, which could offer substantial clinical advantages by effectively controlling chemokine-mediated inflammation with potentially fewer adverse effects. The results of this study support the need for evaluation of the clinical therapeutic efficacy of Thykamine™ in a wide range of autoimmune conditions. Full article
(This article belongs to the Special Issue Advances in Pharmacology of Pain and Inflammation)
Show Figures

Figure 1

Back to TopTop